China’s New-Style Urbanization and Its Impact on the Green Efficiency of Urban Land Use
Abstract
1. Introduction
2. Literature Review
2.1. Definition of GEULU
2.2. Methodology for Estimating GEULU
2.3. Driving Forces of GEULU
3. Materials and Methods
3.1. Study Area
3.2. Indicators and Data Sources
3.2.1. Input–Output System for GEULU
3.2.2. GEULU Under NU
3.2.3. Data Description
3.3. Methods
3.3.1. Super SBM-DDF-GML Model Involving Undesired Outputs
3.3.2. Entropy Weight Method
3.3.3. Nonparametric Kernel Density Estimation (KDE)
3.3.4. Exploratory Spatial Data Analysis (ESDA)
3.3.5. Geographically and Temporally Weighted Regression (GTWR) Model
4. Empirical Results
4.1. Measurement Results of GEULU and Its Characteristics of Spatiotemporal Evolution
4.1.1. Measurement Results of GEULU
4.1.2. Spatiotemporal Evaluation of GEULU at Urban Agglomeration Scale
4.1.3. Spatiotemporal Evaluation of GEULU at City Scale
4.2. Driving Mechanism of NU on the GEULU
4.2.1. A First Look: Why the GTWR Model?
4.2.2. The General Results of the GTWR
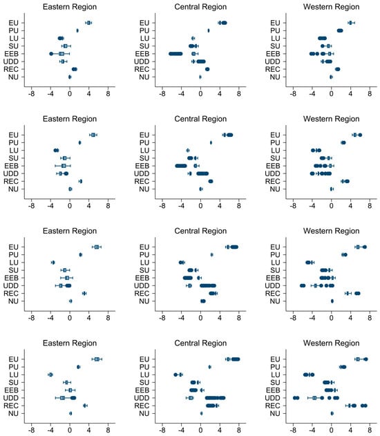
4.2.3. Spatiotemporal Heterogeneity of NU’s Impact on GEULU at Regional Scale
4.2.4. Spatiotemporal Heterogeneity of NU’s Impact on GEULU at Urban Agglomeration Scale
4.2.5. Spatiotemporal Heterogeneity of NU’s Impact on GEULU at City Scale
5. Discussion and Policy Implications
5.1. Interpretation of Findings
5.2. Policy Implications
5.3. Validation and Future Directions
6. Conclusions
Author Contributions
Funding
Institutional Review Board Statement
Informed Consent Statement
Data Availability Statement
Acknowledgments
Conflicts of Interest
Abbreviations
| GEULU | Green efficiency of urban land use |
| NU | New-Style Urbanization |
| SDGs | Sustainable Development Goals |
| SBM-DDF-GML | Slacks-based measure–directional distance function–global Malmquist–Luenberger |
| SFA | Stochastic frontier analysis |
| DEA | Data envelopment analysis |
| ULUE | Urban land use efficiency |
| GTWR | Geographically and temporally weighted regression |
| KDE | Kernel density estimation |
| ESDA | Exploratory spatial data analysis |
| EU | Economic urbanization |
| PU | Population urbanization |
| LU | Land urbanization |
| SU | Social urbanization |
| EEB | Ecological and environmental benefits |
| UDD | Urban development digitalization |
| REC | Research and education clustering |
| JJJ | Beijing–Tianjin–Hebei |
| YRD | Yangtze River Delta |
| GHM | Guangdong–Hong Kong–Macao Greater Bay Area |
| CC | Chengdu–Chongqing |
| MYR | Middle Yangtze River |
| SP | Shandong Peninsula |
| CP | Central Plains |
| GZP | Guanzhong Plains |
| GFZ | Guangdong–Fujian–Zhejiang Coastal Area |
| BG | Beibu Gulf |
| HC | Harbin–Changchun |
| CSL | Central and Southern Liaoning |
| CS | Central Shanxi |
| CG | Central Guizhou |
| CY | Central Yunnan |
| HBEY | Hohhot–Baotou–Ordos–Yulin |
| LX | Lanzhou–Xining |
| NYR | Ningxia Yellow River |
References
- Liu, Y.; Fang, F.; Li, Y. Key issues of land use in China and implications for policy making. Land Use Policy 2014, 40, 6–12. [Google Scholar] [CrossRef]
- Chakraborty, S.; Maity, I.; Dadashpoor, H.; Novotnẏ, J.; Banerji, S. Building in or out? Examining urban expansion patterns and land use efficiency across the global sample of 466 cities with million+ inhabitants. Habitat Int. 2022, 120, 102503. [Google Scholar] [CrossRef]
- Wu, Q.; Cao, Y.; Fang, X.; Wang, J.; Li, G. A systematic coupling analysis framework and multi-stage interaction mechanism between urban land use efficiency and ecological carrying capacity. Sci. Total. Environ. 2022, 853, 158444. [Google Scholar] [CrossRef] [PubMed]
- Amponsah, O.; Blija, D.K.; Ayambire, R.A.; Takyi, S.A.; Mensah, H.; Braimah, I. Global urban sprawl containment strategies and their implications for rapidly urbanising cities in Ghana. Land Use Policy 2022, 114, 105979. [Google Scholar] [CrossRef]
- Chen, Y.; Chen, S.; Miao, J. Does smart city pilot improve urban green economic efficiency: Accelerator or inhibitor. Environ. Impact Assess. Rev. 2024, 104, 107328. [Google Scholar] [CrossRef]
- Sumari, N.S.; Cobbinah, P.B.; Ujoh, F.; Xu, G. On the absurdity of rapid urbanization: Spatio-temporal analysis of land-use changes in Morogoro, Tanzania. Cities 2020, 107, 102876. [Google Scholar] [CrossRef]
- Li, W.; Cai, Z.; Jin, L. Urban green land use efficiency of resource-based cities in China: Multidimensional measurements, spatial-temporal changes, and driving factors. Sustain. Cities Soc. 2024, 104, 105299. [Google Scholar] [CrossRef]
- Cao, X.; Liu, Y.; Li, T.; Liao, W. Analysis of Spatial Pattern Evolution and Influencing Factors of Regional Land Use Efficiency in China Based on ESDA-GWR. Sci. Rep. 2019, 9, 520. [Google Scholar] [CrossRef]
- Liu, S.; Xiao, W.; Li, L.; Ye, Y.; Song, X. Urban land use efficiency and improvement potential in China: A stochastic frontier analysis. Land Use Policy 2020, 99, 105046. [Google Scholar] [CrossRef]
- Zheng, H.; Wu, Y.; He, H.; Delang, C.O.; Qian, J.; Lu, J.; Yao, Z.; Li, G. Urban land use eco-efficiency and improvement in the western region of China. J. Clean. Prod. 2023, 412, 137385. [Google Scholar] [CrossRef]
- Cheng, Z.; Li, X.; Zhang, Q. Can new-type urbanization promote the green intensive use of land? J. Environ. Manag. 2023, 342, 118150. [Google Scholar] [CrossRef] [PubMed]
- Xu, A.; Song, M.; Wu, Y.; Luo, Y.; Zhu, Y.; Qiu, K. Effects of new urbanization on China’s carbon emissions: A quasi-natural experiment based on the improved PSM-DID model. Technol. Forecast. Soc. 2024, 200, 123164. [Google Scholar] [CrossRef]
- Barnett, C.; Parnell, S. Ideas, implementation and indicators: Epistemologies of the post-2015 urban agenda. Environ. Urban. 2016, 28, 87–98. [Google Scholar] [CrossRef]
- Zhao, Z.; Bai, Y.; Wang, G.; Chen, J.; Yu, J.; Liu, W. Land eco-efficiency for new-type urbanization in the Beijing-Tianjin-Hebei Region. Technol. Forecast. Soc. 2018, 137, 19–26. [Google Scholar] [CrossRef]
- Li, J.; Zhou, K.; Cheng, Z. Does China’s “Belt and Road” Initiative promote green total factor productivity growth in countries along the route? J. Clean. Prod. 2022, 367, 133004. [Google Scholar] [CrossRef]
- Anselin, L. Local Indicators of Spatial Association—LISA. Geogr. Anal. 1995, 27, 93–115. [Google Scholar] [CrossRef]
- Wu, C.; Wei, Y.D.; Huang, X.; Chen, B. Economic transition, spatial development and urban land use efficiency in the Yangtze River Delta, China. Habitat Int. 2017, 63, 67–78. [Google Scholar] [CrossRef]
- Howarth, R.B.; Norgaard, R.B. Environmental Valuation under Sustainable Development. Am. Econ. Rev. 1992, 82, 473–477. [Google Scholar]
- Liu, Y. Introduction to land use and rural sustainability in China. Land Use Policy 2018, 74, 1–4. [Google Scholar] [CrossRef]
- Skea, J.I.M.; Nishioka, S. Policies and practices for a low-carbon society. Clim. Policy 2008, 8, S5–S16. [Google Scholar] [CrossRef]
- Ou, J.; Liu, X.; Wang, S.; Xie, R.; Li, X. Investigating the differentiated impacts of socioeconomic factors and urban forms on CO2 emissions: Empirical evidence from Chinese cities of different developmental levels. J. Clean. Prod. 2019, 226, 601–614. [Google Scholar] [CrossRef]
- Mirmozaffari, M.; Shadkam, E.; Khalili, S.M.; Kabirifar, K.; Yazdani, R.; Asgari Gashteroodkhani, T. A novel artificial intelligent approach: Comparison of machine learning tools and algorithms based on optimization DEA Malmquist productivity index for eco-efficiency evaluation. Int. J. Energy Sect. Manag. 2021, 15, 523–550. [Google Scholar] [CrossRef]
- Tan, S.; Hu, B.; Kuang, B.; Zhou, M. Regional differences and dynamic evolution of urban land green use efficiency within the Yangtze River Delta, China. Land Use Policy 2021, 106, 105449. [Google Scholar] [CrossRef]
- Koroso, N.H.; Zevenbergen, J.A.; Lengoiboni, M. Urban land use efficiency in Ethiopia: An assessment of urban land use sustainability in Addis Ababa. Land Use Policy 2020, 99, 105081. [Google Scholar] [CrossRef]
- Li, G.; Guo, F.; Di, D. Regional competition, environmental decentralization, and target selection of local governments. Sci. Total. Environ. 2021, 755, 142536. [Google Scholar] [CrossRef]
- Shafiei, E.; Davidsdottir, B.; Stefansson, H.; Asgeirsson, E.I.; Fazeli, R.; Gestsson, M.H.; Leaver, J. Simulation-based appraisal of tax-induced electro-mobility promotion in Iceland and prospects for energy-economic development. Energ. Policy 2019, 133, 110894. [Google Scholar] [CrossRef]
- He, S.; Yu, S.; Li, G.; Zhang, J. Exploring the influence of urban form on land-use efficiency from a spatiotemporal heterogeneity perspective: Evidence from 336 Chinese cities. Land Use Policy 2020, 95, 104576. [Google Scholar] [CrossRef]
- Jiao, L.; Xu, Z.; Xu, G.; Zhao, R.; Liu, J.; Wang, W. Assessment of urban land use efficiency in China: A perspective of scaling law. Habitat Int. 2020, 99, 102172. [Google Scholar] [CrossRef]
- Liu, Y.; Zhang, Z.; Zhou, Y. Efficiency of construction land allocation in China: An econometric analysis of panel data. Land Use Policy 2018, 74, 261–272. [Google Scholar] [CrossRef]
- Hui, E.C.M.; Wu, Y.; Deng, L.; Zheng, B. Analysis on coupling relationship of urban scale and intensive use of land in China. Cities 2015, 42, 63–69. [Google Scholar] [CrossRef]
- Ruan, L.; He, T.; Xiao, W.; Chen, W.; Lu, D.; Liu, S. Measuring the coupling of built-up land intensity and use efficiency: An example of the Yangtze River Delta urban agglomeration. Sustain. Cities Soc. 2022, 87, 104224. [Google Scholar] [CrossRef]
- Battese, G.E.; Coelli, T.J. Frontier production functions, technical efficiency and panel data: With application to paddy farmers in India. J. Prod. Anal. 1992, 3, 153–169. [Google Scholar] [CrossRef]
- Tao, X.; Wang, P.; Zhu, B. Provincial green economic efficiency of China: A non-separable input–output SBM approach. Appl. Energy 2016, 171, 58–66. [Google Scholar] [CrossRef]
- Ferreira, M.D.P.; Féres, J.G. Farm size and Land use efficiency in the Brazilian Amazon. Land Use Policy 2020, 99, 104901. [Google Scholar] [CrossRef]
- Lannier, A.L.; Porcher, S. Efficiency in the public and private French water utilities: Prospects for benchmarking. Appl. Econ. 2014, 46, 556–572. [Google Scholar] [CrossRef]
- Xiao, Y.; Ma, D.; Zhang, F.; Zhao, N.; Wang, L.; Guo, Z.; Zhang, J.; An, B.; Xiao, Y. Spatiotemporal differentiation of carbon emission efficiency and influencing factors: From the perspective of 136 countries. Sci. Total. Environ. 2023, 879, 163032. [Google Scholar] [CrossRef]
- Charnes, A.; Cooper, W.W.; Rhodes, E. Measuring the efficiency of decision making units. Eur. J. Oper. Res. 1978, 2, 429–444. [Google Scholar] [CrossRef]
- Lampe, H.W.; Hilgers, D. Trajectories of efficiency measurement: A bibliometric analysis of DEA and SFA. Eur. J. Oper. Res. 2015, 240, 1–21. [Google Scholar] [CrossRef]
- Mok, V.; Yeung, G.; Han, Z.; Li, Z. Leverage, Technical Efficiency and Profitability: An application of DEA to foreign-invested toy manufacturing firms in China. J. Contemp. China 2007, 16, 259–274. [Google Scholar] [CrossRef]
- Tone, K. A slacks-based measure of efficiency in data envelopment analysis. Eur. J. Oper. Res. 2001, 130, 498–509. [Google Scholar] [CrossRef]
- Song, Y.; Yeung, G.; Zhu, D.; Xu, Y.; Zhang, L. Efficiency of urban land use in China’s resource-based cities, 2000–2018. Land Use Policy 2022, 115, 106009. [Google Scholar] [CrossRef]
- Cook, W.D.; Seiford, L.M. Data envelopment analysis (DEA)—Thirty years on. Eur. J. Oper. Res. 2009, 192, 1–17. [Google Scholar] [CrossRef]
- Andersen, P.; Petersen, N.C. A Procedure for Ranking Efficient Units in Data Envelopment Analysis. Manag. Sci. 1993, 39, 1261–1264. [Google Scholar] [CrossRef]
- Tone, K. Dealing with undesirable outputs in DEA: A Slacks-Based Measure (SBM) approach. Nippon. Opereshonzu Risachi Gakkai Shunki Kenkyu Happyokai Abus. 2004, 2004, 44–45. [Google Scholar]
- Chung, Y.H.; Färe, R.; Grosskopf, S. Productivity and Undesirable Outputs: A Directional Distance Function Approach. J. Environ. Manag. 1997, 51, 229–240. [Google Scholar] [CrossRef]
- Färe, R.; Grosskopf, S.; Lindgren, B.; Roos, P. Productivity changes in Swedish pharamacies 1980–1989: A non-parametric Malmquist approach. J. Prod. Anal. 1992, 3, 85–101. [Google Scholar] [CrossRef]
- Oh, D.-h. A global Malmquist-Luenberger productivity index. J. Prod. Anal. 2010, 34, 183–197. [Google Scholar] [CrossRef]
- Pan, W.; Pan, W.; Hu, C.; Tu, H.; Zhao, C.; Yu, D.; Xiong, J.; Zheng, G. Assessing the green economy in China: An improved framework. J. Clean. Prod. 2019, 209, 680–691. [Google Scholar] [CrossRef]
- Huang, L.; Zhang, H.; Si, H.; Wang, H. Can the digital economy promote urban green economic efficiency? Evidence from 273 cities in China. Ecol. Indic. 2023, 155, 110977. [Google Scholar] [CrossRef]
- Wu, H.; Fang, S.; Zhang, C.; Hu, S.; Nan, D.; Yang, Y. Exploring the impact of urban form on urban land use efficiency under low-carbon emission constraints: A case study in China’s Yellow River Basin. J. Environ. Manag. 2022, 311, 114866. [Google Scholar] [CrossRef]
- Liao, X.; Fang, C.; Shu, T.; Ren, Y. Spatiotemporal impacts of urban structure upon urban land-use efficiency: Evidence from 280 cities in China. Habitat Int. 2023, 131, 102727. [Google Scholar] [CrossRef]
- Awada, L.; Phillips, P.W.B. The distribution of returns from land efficiency improvement in multistage production systems. Can. J. Agric. Econ. 2021, 69, 73–92. [Google Scholar] [CrossRef]
- Zhou, Y.; Lu, Y. Spatiotemporal evolution and determinants of urban land use efficiency under green development orientation: Insights from 284 cities and eight economic zones in China, 2005–2019. Appl. Geogr. 2023, 161, 103117. [Google Scholar] [CrossRef]
- Herzig, A.; Nguyen, T.T.; Ausseil, A.-G.E.; Maharjan, G.R.; Dymond, J.R.; Arnhold, S.; Koellner, T.; Rutledge, D.; Tenhunen, J. Assessing resource-use efficiency of land use. Environ. Model. Softw. 2018, 107, 34–49. [Google Scholar] [CrossRef]
- Noda, K.; Iida, A.; Watanabe, S.; Osawa, K. Efficiency and sustainability of land-resource use on a small island. Environ. Res. Lett. 2019, 14, 054004. [Google Scholar] [CrossRef]
- Zhang, J.; Chen, Y.; Li, Z.; Song, J.; Fang, G.; Li, Y.; Zhang, Q. Study on the utilization efficiency of land and water resources in the Aral Sea Basin, Central Asia. Sustain. Cities Soc. 2019, 51, 101693. [Google Scholar] [CrossRef]
- Li, H.; Wang, Z.; Zhu, M.; Hu, C.; Liu, C. Study on the spatial–temporal evolution and driving mechanism of urban land green use efficiency in the Yellow River Basin cities. Ecol. Indic. 2023, 154, 110672. [Google Scholar] [CrossRef]
- Ma, D.; Zhang, J.; An, B.; Guo, Z.; Zhang, F.; Yan, Y.; Peng, G. Research on urban land green use efficiency and influencing factors based on DEA and ESTDA models: Taking 284 cities in China as an example. Ecol. Indic. 2024, 160, 111824. [Google Scholar] [CrossRef]
- Xue, D.; Yue, L.; Ahmad, F.; Draz, M.U.; Chandio, A.A.; Ahmad, M.; Amin, W. Empirical investigation of urban land use efficiency and influencing factors of the Yellow River basin Chinese cities. Land Use Policy 2022, 117, 106117. [Google Scholar] [CrossRef]
- Koroso, N.H.; Lengoiboni, M.; Zevenbergen, J.A. Urbanization and urban land use efficiency: Evidence from regional and Addis Ababa satellite cities, Ethiopia. Habitat Int. 2021, 117, 102437. [Google Scholar] [CrossRef]
- Caprotti, F.; Cowley, R.; Datta, A.; Broto, V.C.; Gao, E.; Georgeson, L.; Herrick, C.; Odendaal, N.; Joss, S. The New Urban Agenda: Key opportunities and challenges for policy and practice. Urban Res. Pract. 2017, 10, 367–378. [Google Scholar] [CrossRef]
- Chen, W.; Wang, G.; Xu, N.; Ji, M.; Zeng, J. Promoting or inhibiting? New-type urbanization and urban carbon emissions efficiency in China. Cities 2023, 140, 104429. [Google Scholar] [CrossRef]
- Deng, S. Exploring the relationship between new-type urbanization and sustainable urban land use: Evidence from prefecture-level cities in China. Sustain. Comput. Inform. Syst. 2021, 30, 100446. [Google Scholar] [CrossRef]
- Bruns-Berentelg, J.; Noring, L.; Grydehøj, A. Developing urban growth and urban quality: Entrepreneurial governance and urban redevelopment projects in Copenhagen and Hamburg. Urban Stud. 2020, 59, 161–177. [Google Scholar] [CrossRef]
- Zhang, W.; Xu, Y.; Streets, D.G.; Wang, C. Can new-type urbanization realize low-carbon development? A spatiotemporal heterogeneous analysis in 288 cities and 18 urban agglomerations in China. J. Clean. Prod. 2023, 420, 138426. [Google Scholar] [CrossRef]
- Han, F.; Xie, R.; Fang, J.; Liu, Y. The effects of urban agglomeration economies on carbon emissions: Evidence from Chinese cities. J. Clean. Prod. 2018, 172, 1096–1110. [Google Scholar] [CrossRef]
- Chen, Q.; Zheng, L.; Wang, Y.; Wu, D.; Li, J. A comparative study on urban land use eco-efficiency of Yangtze and Yellow rivers in China: From the perspective of spatiotemporal heterogeneity, spatial transition and driving factors. Ecol. Indic. 2023, 151, 110331. [Google Scholar] [CrossRef]
- Bai, Y.; Deng, X.; Jiang, S.; Zhang, Q.; Wang, Z. Exploring the relationship between urbanization and urban eco-efficiency: Evidence from prefecture-level cities in China. J. Clean. Prod. 2018, 195, 1487–1496. [Google Scholar] [CrossRef]
- Zheng, H.; Wu, Y.; He, H.; Delang, C.O.; Lu, J.; Yao, Z.; Dong, S. Urbanization and urban energy eco-efficiency: A meta-frontier super EBM analysis based on 271 cities of China. Sustain. Cities Soc. 2024, 101, 105089. [Google Scholar] [CrossRef]
- Zhang, J.; Sun, X.; Li, H.; Philbin, S.P.; Ballesteros-Pérez, P.; Skitmore, M.; Lin, H. Investigating the role of emissions trading policy to reduce emissions and improve the efficiency of industrial green innovation. J. Manag. Sci. Eng. 2021, 6, 377–392. [Google Scholar] [CrossRef]
- Leng, A.; Zhang, Y. The effect of enterprise digital transformation on audit efficiency—Evidence from China. Technol. Forecast. Soc. 2024, 201, 123215. [Google Scholar] [CrossRef]
- Rab, S.; Wan, M.; Yadav, S. Let’s get digital. Nat. Phys. 2022, 18, 960. [Google Scholar] [CrossRef]
- Song, M.; Pan, H.; Shen, Z.; Tamayo-Verleene, K. Assessing the influence of artificial intelligence on the energy efficiency for sustainable ecological products value. Energ. Econ. 2024, 131, 107392. [Google Scholar] [CrossRef]
- Long, Y.; Liu, L.; Yang, B. Different types of environmental concerns and heterogeneous influence on green total factor productivity: Evidence from Chinese provincial data. J. Clean. Prod. 2023, 428, 139295. [Google Scholar] [CrossRef]
- Zhang, C.; Wang, Z. Analysis of spatiotemporal difference and driving factors of green total factor energy efficiency in RCEP members: Insights from SBM-GML and Tobit models. Environ. Sci. Pollut. R. 2023, 30, 15623–15640. [Google Scholar] [CrossRef]
- Färe, R.; Grosskopf, S.; Pasurka, C.A. Environmental production functions and environmental directional distance functions. Energy 2007, 32, 1055–1066. [Google Scholar] [CrossRef]
- Fukuyama, H.; Weber, W.L. A directional slacks-based measure of technical inefficiency. Socioecon. Plann. Sci. 2009, 43, 274–287. [Google Scholar] [CrossRef]
- Guiaşu, S. Weighted entropy. Rep. Math. Phys. 1971, 2, 165–179. [Google Scholar] [CrossRef]
- Wang, J.-J.; Jing, Y.-Y.; Zhang, C.-F.; Zhao, J.-H. Review on multi-criteria decision analysis aid in sustainable energy decision-making. Renew. Sustain. Energy Rev. 2009, 13, 2263–2278. [Google Scholar] [CrossRef]
- Yang, T.; Zhou, K.; Zhang, C. Spatiotemporal patterns and influencing factors of green development efficiency in China’s urban agglomerations. Sustain. Cities Soc. 2022, 85, 104069. [Google Scholar] [CrossRef]
- Agovino, M.; Ferrara, M.; Garofalo, A. An exploratory analysis on waste management in Italy: A focus on waste disposed in landfill. Land Use Policy 2016, 57, 669–681. [Google Scholar] [CrossRef]
- Ge, K.; Wang, Y.; Liu, X.; Lu, X.; Ke, S. Spatio-temporal differences and convergence mechanisms of green transition of urban land use against the background of industrial integration: A case study of the Yangtze River Economic Belt in China. Ecol. Indic. 2024, 159, 111727. [Google Scholar] [CrossRef]
- Moran, P.A.P. Notes on Continuous Stochastic Phenomena. Biometrika 1950, 37, 17–23. [Google Scholar] [CrossRef]
- Huang, B.; Wu, B.; Barry, M. Geographically and temporally weighted regression for modeling spatio-temporal variation in house prices. Int. J. Geogr. Inf. Sci. 2010, 24, 383–401. [Google Scholar] [CrossRef]
- Mennis, J. Mapping the Results of Geographically Weighted Regression. Cartogr. J. 2006, 43, 171–179. [Google Scholar] [CrossRef]
- Tienhaara, K. Varieties of green capitalism: Economy and environment in the wake of the global financial crisis. Environ. Polit. 2014, 23, 187–204. [Google Scholar] [CrossRef]
- Ting, H.-I. Financial development, role of government, and bank profitability: Evidence from the 2008 financial crisis. J. Econ. Finance. 2017, 41, 370–391. [Google Scholar] [CrossRef]
- Ren, W.; Xue, B.; Yang, J.; Lu, C. Effects of the Northeast China Revitalization Strategy on Regional Economic Growth and Social Development. Chin. Geogr. Sci. 2020, 30, 791–809. [Google Scholar] [CrossRef]
- Hu, W.; Li, Z.; Chen, D.; Zhu, Z.; Peng, X.; Liu, Y.; Liao, D.; Zhao, K. Unlocking the potential of collaborative innovation to narrow the inter-city urban land green use efficiency gap: Empirical study on 19 urban agglomerations in China. Environ. Impact Assess. Rev. 2024, 104, 107341. [Google Scholar] [CrossRef]
- Yuan, Y.; Wang, M.; Zhu, Y.; Huang, X.; Xiong, X. Urbanization’s effects on the urban-rural income gap in China: A meta-regression analysis. Land Use Policy 2020, 99, 104995. [Google Scholar] [CrossRef]











| Urban Agglomeration | Abbreviation | Area (10,000 km2) | Population (Million Persons) | GDP (100 Million CNY) |
|---|---|---|---|---|
| Beijing–Tianjin–Hebei | JJJ | 21.80 | 107 | 86,000 |
| Yangtze River Delta | YRD | 22.50 | 175 | 212,000 |
| Guangdong–Hong Kong–Macao Greater Bay Area | GHM | 5.50 | 78 | 90,000 |
| Chengdu–Chongqing | CC | 18.50 | 103 | 68,000 |
| Middle Yangtze River | MYR | 31.70 | 130 | 92,000 |
| Shandong Peninsula | SP | 7.40 | 103 | 73,000 |
| Central Plains | CP | 28.70 | 160 | 81,266 |
| Guanzhong Plains | GZP | 10.71 | 38.87 | 22,000 |
| Guangdong–Fujian–Zhejiang Coastal Area | GFZ | 27.00 | 93.65 | 69,695 |
| Beibu Gulf | BG | 11.66 | 44 | 22,000 |
| Harbin–Changchun | HC | 26.40 | 44.09 | 20,468 |
| Central and Southern Liaoning | CSL | 8.15 | 20 | 21,000 |
| Central Shanxi | CS | 7.41 | 15.43 | 8937 |
| Central Guizhou | CG | 5.38 | 11.78 | 12,600 |
| Central Yunnan | CY | 11.14 | 19.56 | 12,800 |
| Hohhot–Baotou–Ordos–Yulin | HBEY | 17.50 | 12 | 13,211 |
| Lanzhou–Xining | LX | 9.75 | 10.61 | 5198 |
| Ningxia Yellow River | NYR | 6.64 | 6.85 | 3568 |
| Dimensions | Indicators | Association |
|---|---|---|
| Economic urbanization (EU) | Per capita GDP (CNY) | + |
| Percentage of the secondary industry in the GDP (%) | + | |
| Percentage of the tertiary industry in the GDP (%) | + | |
| Per capita disposable income of urban residents (CNY) | + | |
| Per capita retail sales of consumer goods (CNY) | + | |
| Population urbanization (PU) | Urban population proportion (%) | + |
| Urban population density (persons/km2) | + | |
| Urban registered unemployment rate (%) | − | |
| Per capita consumption expenditure of urban residents (CNY) | + | |
| Land urbanization (LU) | Proportion of the built-up area to the total administrative area (%) | + |
| Park green space area (hectares) | + | |
| Per capita urban road area (square meters) | + | |
| Social urbanization (SU) | Number of public transport vehicles per ten thousand people | + |
| Number of health technical personnel per thousand people (per person) | + | |
| Number of medical and health institution beds per thousand people (beds/1000 persons) | + | |
| Per capita public library collection (volumes) | + | |
| Engel coefficient of urban residents (%) | − | |
| Ecological and environmental benefits (EEBs) | Proportion of environment protection-related words in the government work report (%) | + |
| Urban domestic waste harmless treatment rate (%) | + | |
| Industrial solid waste utilization rate (%) | + | |
| Urban sewage treatment rate (%) | + | |
| Green total factor productivity (%) | + | |
| Urban development digitalization (UDD) | Proportion of digital-related words in the government work report (%) | + |
| Number of internet broadband access users (10k households) | + | |
| Proportion of total telecommunications business volume of GDP (%) | + | |
| Number of mobile phone users (10k households) | + | |
| Degree of digital transformation of listed companies | + | |
| Research and education clustering (REC) | Proportion of education expenditure to fiscal expenditure (%) | + |
| Number of faculty members and students in higher education institutions (10k persons) | + | |
| Proportion of expenditure on science and technology to fiscal expenditure (%) | + | |
| Number of patent applications | + | |
| Degree of AI adoption by listed companies | + |
| Years | Moran’s I | Z Value | Years | Moran’s I | Z Value |
|---|---|---|---|---|---|
| 2006 | 0.035 ** | 2.333 | 2014 | 0.078 *** | 4.848 |
| 2007 | 0.046 *** | 2.984 | 2015 | 0.070 *** | 4.389 |
| 2008 | 0.027 ** | 1.999 | 2016 | 0.080 *** | 4.987 |
| 2009 | 0.055 *** | 3.491 | 2017 | 0.026 * | 1.846 |
| 2010 | 0.040 *** | 2.617 | 2018 | 0.028 ** | 2.019 |
| 2011 | 0.029 ** | 2.019 | 2019 | 0.097 *** | 6.265 |
| 2012 | 0.055 *** | 3.553 | 2020 | 0.092 *** | 5.855 |
| 2013 | 0.053 *** | 3.361 | - | - | - |
| Models | Bandwidth | R2 | Adjusted R2 | AICc | Residual Squares |
|---|---|---|---|---|---|
| OLS | - | 0.004 | - | 15,821.930 | 10,193.040 |
| GWR | 0.539 | 0.005 | 0.004 | 15,823.300 | 10,177.400 |
| TWR | 0.710 | 0.006 | 0.004 | 15,820.700 | 10,173.200 |
| GTWR | 0.414 | 0.008 | 0.006 | 15,818.500 | 10,151.600 |
| Parameters | Minimum | Lower Quartile | Median | Upper Quartile | Maximum |
|---|---|---|---|---|---|
| EU | 3.293 | 4.632 | 5.172 | 5.682 | 7.825 |
| PU | 1.451 | 1.898 | 2.114 | 2.289 | 2.914 |
| LU | −5.491 | −3.781 | −3.161 | −2.389 | −1.272 |
| SU | −2.434 | −1.208 | −0.881 | −0.506 | 0.572 |
| EEBs | −6.269 | −1.217 | −0.265 | 0.053 | 1.221 |
| UDD | −7.664 | −2.636 | −2.105 | −1.639 | 4.806 |
| REC | 0.799 | 1.951 | 2.688 | 3.142 | 7.091 |
| NU | −0.278 | −0.138 | 0.025 | 0.163 | 0.665 |
Disclaimer/Publisher’s Note: The statements, opinions and data contained in all publications are solely those of the individual author(s) and contributor(s) and not of MDPI and/or the editor(s). MDPI and/or the editor(s) disclaim responsibility for any injury to people or property resulting from any ideas, methods, instructions or products referred to in the content. |
© 2025 by the authors. Licensee MDPI, Basel, Switzerland. This article is an open access article distributed under the terms and conditions of the Creative Commons Attribution (CC BY) license (https://creativecommons.org/licenses/by/4.0/).
Share and Cite
Zhang, T.; Tan, Y.; Robinson, G.M.; Bai, W. China’s New-Style Urbanization and Its Impact on the Green Efficiency of Urban Land Use. Sustainability 2025, 17, 2299. https://doi.org/10.3390/su17052299
Zhang T, Tan Y, Robinson GM, Bai W. China’s New-Style Urbanization and Its Impact on the Green Efficiency of Urban Land Use. Sustainability. 2025; 17(5):2299. https://doi.org/10.3390/su17052299
Chicago/Turabian StyleZhang, Tingyu, Yan Tan, Guy M. Robinson, and Wenqian Bai. 2025. "China’s New-Style Urbanization and Its Impact on the Green Efficiency of Urban Land Use" Sustainability 17, no. 5: 2299. https://doi.org/10.3390/su17052299
APA StyleZhang, T., Tan, Y., Robinson, G. M., & Bai, W. (2025). China’s New-Style Urbanization and Its Impact on the Green Efficiency of Urban Land Use. Sustainability, 17(5), 2299. https://doi.org/10.3390/su17052299

