Investigating Traffic Characteristics at Freeway Merging Areas in Heterogeneous Mixed-Flow Environments
Abstract
1. Introduction
- (1)
- This study examines the traffic operational characteristics of mixed traffic flows, consisting of CAVs, cars, and trucks, through the implementation of microscopic simulations on the SUMO platform.
- (2)
- A comprehensive evaluation of mixed traffic flow is conducted, examining key metrics such as capacity, stability, safety, oscillation, fuel consumption, and emissions. This analysis considers the impacts of varying MPRs of CAVs, truck proportions, and the distribution of human driving styles.
2. Methodology
2.1. Car-Following Models for Vehicle Control
2.1.1. Intelligent Driver Model
2.1.2. Cooperative Adaptive Cruise Control
2.2. Calibration of Car-Following Model
2.3. Analysis of Traffic Flow Characteristics
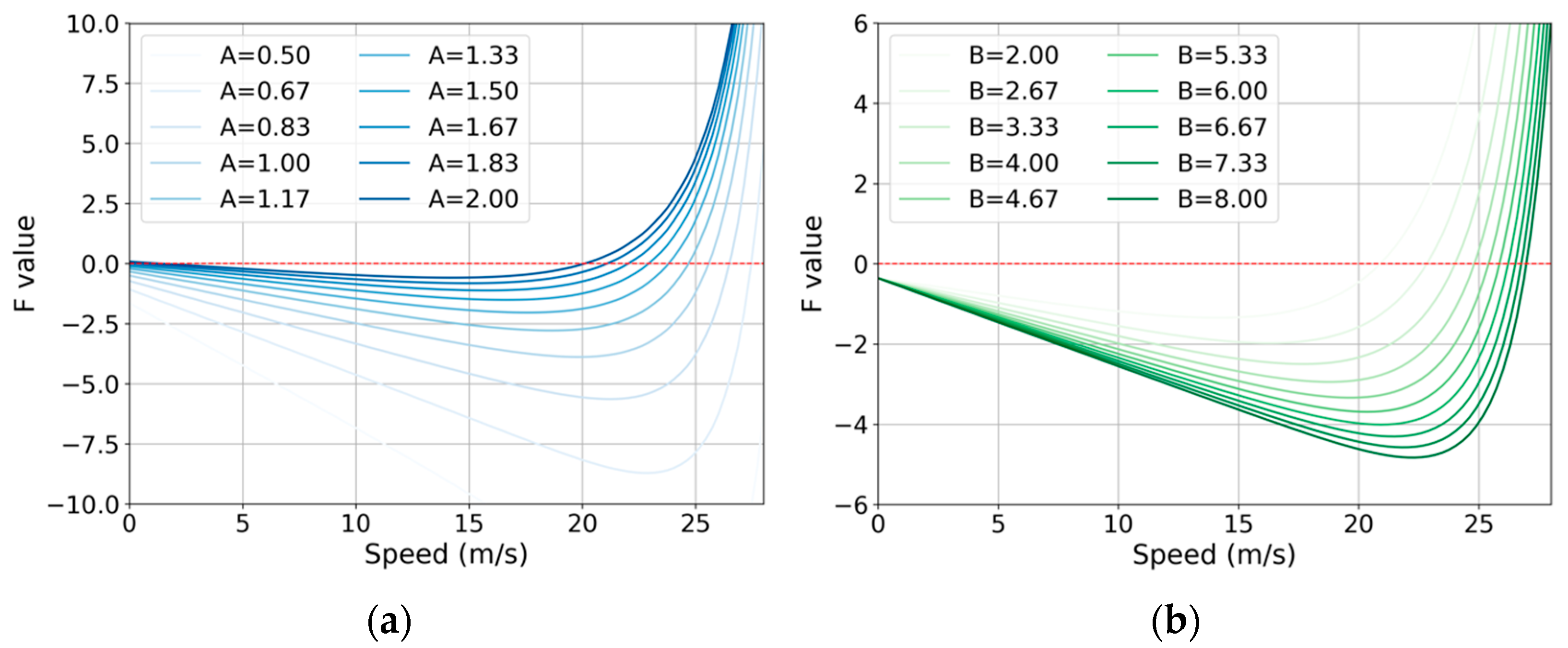
2.3.1. Fundamental Diagram Model
2.3.2. Stability
2.3.3. Fuel Consumption and Emissions
3. Experimental Results
3.1. Data Preparation
3.1.1. HighD Dataset
3.1.2. Car-Following Event Extraction
- The leading and following vehicles must be in the same lane and travel in the same direction;
- The DHW between vehicles must be less than 150 m;
- The THW between vehicles must be less than 6 s;
- The duration of the car-following event must exceed 30 s.
3.2. Classification of Driving Styles
3.3. Calibration Results Analysis
4. Simulation Analysis
4.1. Simulation Settings
4.2. Fundamental Diagrams
4.3. Traffic Stability
4.3.1. Stability Analysis
4.3.2. Fluctuation in Speed and Acceleration
4.4. Traffic Safety
4.5. Traffic Oscillation
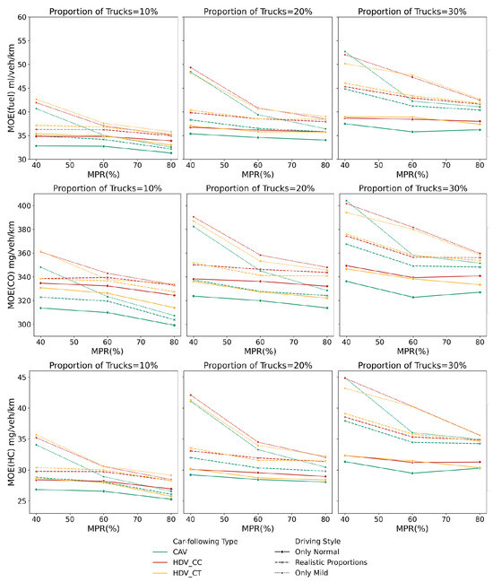
4.6. Fuel Consumption and Emissions
5. Conclusions
- (1)
- As the MPR of CAVs increases, the road capacity improves significantly. However, this enhancement is more sensitive to variations in the truck proportions within the traffic flow. For instance, when the MPR of CAVs increases from 40% to 80%, the road capacity improves by approximately 25% under the same truck proportion. Moreover, as the proportion of mild driving styles among HDVs increases, the effect on road capacity becomes more significant, particularly at higher MPRs of CAVs. This is primarily reflected in greater reductions in capacity when the truck proportion increases or when the proportion of mild drivers rises.
- (2)
- With an increase in the MPR of CAVs and the proportion of normal driving styles among human drivers, the stability improves markedly, resulting in smaller speed differences within the vehicle string once stability is restored. As the MPR of CAVs increases from 40% to 80%, the stability recovery time decreases by approximately 33%. When all human drivers exhibit mild driving styles, the recovery time increases by 25% compared to scenarios where all drivers adopt normal driving styles. When the truck proportion rises, the trend of longer transition times from disturbance to stability becomes less pronounced. Nevertheless, it remains evident that a higher truck proportion correlates with greater speed disparities within the vehicle string after stability is regained.
- (3)
- In traffic safety, when the proportion of normal driving styles among human drivers is high, an increase in the MPR of CAVs has a minimal impact on the safety of human drivers. However, when all human drivers adopt mild driving styles, an increase in the MPR of CAVs results in a significant decline in safety, as evidenced by higher CIF values. In this context, an increase in the truck proportion enhances safety, with this improvement being particularly noticeable in environments with a high MPR of CAVs. Hence, the introduction of CAVs should prioritize adaptation to the mild driving styles of human drivers to avoid safety degradation caused by higher MPRs of CAVs, ultimately leading to an overall improvement in traffic safety.
- (4)
- Finally, an increase in the truck proportion or the proportion of mild drivers leads to higher fuel consumption and emissions, with this effect being more pronounced in environments with low MPRs of CAVs. Traffic oscillation analysis reveals that these scenarios result in more severe congestion, contributing to poorer ecological and environmental outcomes. Additionally, fuel consumption and emissions are higher in the CC type than in the CT type as cars tend to exhibit more aggressive behaviors when following other cars.
Author Contributions
Funding
Institutional Review Board Statement
Informed Consent Statement
Data Availability Statement
Conflicts of Interest
References
- Gong, B.; Wang, F.; Lin, C.; Wu, D. Modeling HDV and CAV mixed traffic flow on a foggy two-lane highway with cellular automata and game theory model. Sustainability 2022, 14, 5899. [Google Scholar] [CrossRef]
- Chen, D.; Srivastava, A.; Ahn, S.; Li, T. Traffic dynamics under speed disturbance in mixed traffic with automated and non-automated vehicles. Transp. Res. Part C Emerg. Technol. 2020, 113, 293–313. [Google Scholar]
- Chen, X.; Wu, H.; Han, B.; Liu, W.; Montewka, J.; Liu, R.W. Orientation-aware ship detection via a rotation feature decoupling supported deep learning approach. Eng. Appl. Artif. Intell. 2023, 125, 106686. [Google Scholar]
- Zhou, J.; Zhu, F. Modeling the fundamental diagram of mixed human-driven and connected automated vehicles. Transp. Res. Part C Emerg. Technol. 2020, 115, 102614. [Google Scholar]
- Yang, S.; Du, M.; Chen, Q. Impact of connected and autonomous vehicles on traffic efficiency and safety of an on-ramp. Simul. Model. Pract. Theory 2021, 113, 102374. [Google Scholar] [CrossRef]
- Yao, Z.; Ma, Y.; Ren, T.; Jiang, Y. Impact of the heterogeneity and platoon size of connected vehicles on the capacity of mixed traffic flow. Appl. Math. Model. 2024, 125, 367–389. [Google Scholar]
- Shladover, S.E.; Su, D.; Lu, X.-Y. Impacts of cooperative adaptive cruise control on freeway traffic flow. Transp. Res. Rec. 2012, 2324, 63–70. [Google Scholar]
- Jiang, Y.; Cong, H.; Wang, Y.; Wu, Y.; Li, H.; Yao, Z. A new control strategy of CAVs platoon for mitigating traffic oscillation in a two-lane highway. Phys. A Stat. Mech. Appl. 2023, 630, 129289. [Google Scholar]
- Shi, X.; Li, X. Constructing a fundamental diagram for traffic flow with automated vehicles: Methodology and demonstration. Transp. Res. Part B Methodol. 2021, 150, 279–292. [Google Scholar]
- Chen, X.; Zheng, J.; Li, C.; Wu, B.; Wu, H.; Montewka, J. Maritime traffic situation awareness analysis via high-fidelity ship imaging trajectory. Multimed. Tools Appl. 2024, 83, 48907–48923. [Google Scholar]
- Yang, X.; Zou, Y.; Chen, L. Operation analysis of freeway mixed traffic flow based on catch-up coordination platoon. Accid. Anal. Prev. 2022, 175, 106780. [Google Scholar] [CrossRef]
- Peng, Y.; Liu, D.; Wu, S.; Yang, X.; Wang, Y.; Zou, Y. Enhancing mixed traffic flow with platoon control and lane management for connected and autonomous vehicles. Sensors 2025, 25, 644. [Google Scholar] [CrossRef]
- Sinha, A.; Chand, S.; Wijayaratna, K.P.; Virdi, N.; Dixit, V. Comprehensive safety assessment in mixed fleets with connected and automated vehicles: A crash severity and rate evaluation of conventional vehicles. Accid. Anal. Prev. 2020, 142, 105567. [Google Scholar] [CrossRef]
- Sinha, A.; Chand, S.; Wijayaratna, K.P.; Virdi, N.; Dixit, V. Crash severity and rate evaluation of conventional vehicles in mixed fleets with connected and automated vehicles. Procedia Comput. Sci. 2020, 170, 688–695. [Google Scholar] [CrossRef]
- Shin, S.; Cho, Y.; Lee, S.; Park, J. Assessing traffic-flow safety at various levels of autonomous-vehicle market penetration. Appl. Sci. 2024, 14, 5453. [Google Scholar] [CrossRef]
- Zhao, B.; Lin, Y.; Hao, H.; Yao, Z. Fuel consumption and traffic emissions evaluation of mixed traffic flow with connected automated vehicles at multiple traffic scenarios. J. Adv. Transp. 2022, 2022, 6345404. [Google Scholar] [CrossRef]
- Bandeira, J.M.; Macedo, E.; Fernandes, P.; Rodrigues, M.; Andrade, M.; Coelho, M.C. Potential pollutant emission effects of connected and automated vehicles in a mixed traffic flow context for different road types. IEEE Open J. Intell. Transp. Syst. 2021, 2, 364–383. [Google Scholar] [CrossRef]
- Mu, R.; Yamamoto, T. Analysis of traffic flow with micro-cars with respect to safety and environmental impact. Transp. Res. Part A Policy Pract. 2019, 124, 217–241. [Google Scholar] [CrossRef]
- Beza, A.D.; Maghrour Zefreh, M.; Torok, A. Impacts of different types of automated vehicles on traffic flow characteristics and emissions: A microscopic traffic simulation of different freeway segments. Energies 2022, 15, 6669. [Google Scholar] [CrossRef]
- Yang, D.; Qiu, X.; Yu, D.; Sun, R.; Pu, Y. A cellular automata model for car–truck heterogeneous traffic flow considering the car–truck following combination effect. Phys. A Stat. Mech. Appl. 2015, 424, 62–72. [Google Scholar] [CrossRef]
- Zhang, J.; Wu, K.; Cheng, M.; Yang, M.; Cheng, Y.; Li, S. Safety evaluation for connected and autonomous vehicles’ exclusive lanes considering penetrate ratios and impact of trucks using surrogate safety measures. J. Adv. Transp. 2020, 2020, 5847814. [Google Scholar] [CrossRef]
- Mason, A.D.; Woods, A.W. Car-following model of multispecies systems of road traffic. Phys. Rev. E 1997, 55, 2203. [Google Scholar] [CrossRef]
- Jin, S.; Wang, D.-H.; Huang, Z.-Y.; Tao, P.-F. Visual angle model for car-following theory. Phys. A Stat. Mech. Appl. 2011, 390, 1931–1940. [Google Scholar] [CrossRef]
- Huai, T.; Shah, S.D.; Miller, J.W.; Younglove, T.; Chernich, D.J.; Ayala, A. Analysis of heavy-duty diesel truck activity and emissions data. Atmos. Environ. 2006, 40, 2333–2344. [Google Scholar] [CrossRef]
- Kamakate, F.; Schipper, L. Trends in truck freight energy use and carbon emissions in selected OECD countries from 1973 to 2005. Energy Policy 2009, 37, 3743–3751. [Google Scholar] [CrossRef]
- He, L.; Zhang, S.; Hu, J.; Li, Z.; Zheng, X.; Cao, Y.; Xu, G.; Yan, M.; Wu, Y. On-road emission measurements of reactive nitrogen compounds from heavy-duty diesel trucks in China. Environ. Pollut. 2020, 262, 114280. [Google Scholar] [CrossRef]
- Chen, X.; Sun, J.; Ma, Z.; Sun, J.; Zheng, Z. Investigating the long-and short-term driving characteristics and incorporating them into car-following models. Transp. Res. Part C Emerg. Technol. 2020, 117, 102698. [Google Scholar] [CrossRef]
- Zhu, H.; Zhou, Y.; Wu, W. Modeling traffic flow mixed with automated vehicles considering drivers’ character difference. Phys. A Stat. Mech. Appl. 2020, 549, 124337. [Google Scholar] [CrossRef]
- Feng, Y.; Pickering, S.; Chappell, E.; Iravani, P.; Brace, C. Driving style analysis by classifying real-world data with support vector clustering. In Proceedings of the 2018 3rd IEEE International Conference on Intelligent Transportation Engineering (ICITE), Singapore, 3–5 September 2018; IEEE: New York, NY, USA, 2018; pp. 264–268. [Google Scholar]
- Lu, Q.-L.; Qurashi, M.; Varesanovic, D.; Sodnik, J.; Antoniou, C. Exploring the influence of automated driving styles on network efficiency. Transp. Res. Procedia 2021, 52, 380–387. [Google Scholar] [CrossRef]
- Li, Y.; Zhang, S.; Pan, Y.; Zhou, B.; Peng, Y. Exploring the stability and capacity characteristics of mixed traffic flow with autonomous and human-driven vehicles considering aggressive driving. J. Adv. Transp. 2023, 2023, 2578690. [Google Scholar] [CrossRef]
- Sun, Z.; Yan, Q.; Liu, Y.; Fu, Z.; Yang, L. Fundamental diagram and stability analysis of mixed traffic considering heterogeneous car-following behaviors and platoon factors. Intell. Transp. Infrastruct. 2024, 3, liae010. [Google Scholar] [CrossRef]
- Yang, D.; Jin, P.J.; Pu, Y.; Ran, B. Stability analysis of the mixed traffic flow of cars and trucks using heterogeneous optimal velocity car-following model. Phys. A Stat. Mech. Appl. 2014, 395, 371–383. [Google Scholar] [CrossRef]
- Qin, Y.; Wang, H.; Ran, B. Stability analysis of connected and automated vehicles to reduce fuel consumption and emissions. J. Transp. Eng. Part A Syst. 2018, 144, 04018068. [Google Scholar] [CrossRef]
- Park, S.; Ahn, K.; Rakha, H.A. Environmental impact of freight signal priority with connected trucks. Sustainability 2019, 11, 6819. [Google Scholar] [CrossRef]
- Ye, L.; Yamamoto, T. Evaluating the impact of connected and autonomous vehicles on traffic safety. Phys. A Stat. Mech. Its Appl. 2019, 526, 121009. [Google Scholar] [CrossRef]
- Sala, M.; Soriguera, F. Capacity of a freeway lane with platoons of autonomous vehicles mixed with regular traffic. Transp. Res. Part B Methodol. 2021, 147, 116–131. [Google Scholar] [CrossRef]
- Wang, Y.; Xu, R.; Zhang, K. A car-following model for mixed traffic flows in intelligent connected vehicle environment considering driver response characteristics. Sustainability 2022, 14, 11010. [Google Scholar] [CrossRef]
- Oikonomou, M.G.; Ziakopoulos, A.; Chaudhry, A.; Thomas, P.; Yannis, G. From conflicts to crashes: Simulating macroscopic connected and automated driving vehicle safety. Accid. Anal. Prev. 2023, 187, 107087. [Google Scholar] [CrossRef]
- Yao, Z.; Wu, Y.; Wang, Y.; Zhao, B.; Jiang, Y. Analysis of the impact of maximum platoon size of CAVs on mixed traffic flow: An analytical and simulation method. Transp. Res. Part C Emerg. Technol. 2023, 147, 103989. [Google Scholar] [CrossRef]
- Jiang, C.; Yin, S.; Yao, Z.; He, J.; Jiang, R.; Jiang, Y. Safety evaluation of mixed traffic flow with truck platoons equipped with (cooperative) adaptive cruise control, stochastic human-driven cars and trucks on port freeways. Phys. A Stat. Mech. Appl. 2024, 643, 129802. [Google Scholar] [CrossRef]
- Liu, Q.; Gao, C.; Wang, H.; Cai, Y.; Chen, L.; Lv, C. Learning from trajectories: How heterogeneous CACC platoons affect the traffic flow in highway merging area. IEEE Trans. Veh. Technol. 2024, 73, 16212–16224. [Google Scholar] [CrossRef]
- Treiber, M.; Hennecke, A.; Helbing, D. Microscopic simulation of congested traffic. In Traffic and Granular Flow’99: Social, Traffic, and Granular Dynamics; Springer: Berlin/Heidelberg, Germany, 2000; pp. 365–376. [Google Scholar]
- Milanés, V.; Shladover, S.E. Modeling cooperative and autonomous adaptive cruise control dynamic responses using experimental data. Transp. Res. Part C Emerg. Technol. 2014, 48, 285–300. [Google Scholar] [CrossRef]
- Milanés, V.; Shladover, S.E.; Spring, J.; Nowakowski, C.; Kawazoe, H.; Nakamura, M. Cooperative adaptive cruise control in real traffic situations. IEEE Trans. Intell. Transp. Syst. 2013, 15, 296–305. [Google Scholar] [CrossRef]
- Zhou, J.; Zhu, F. Analytical analysis of the effect of maximum platoon size of connected and automated vehicles. Transp. Res. Part C Emerg. Technol. 2021, 122, 102882. [Google Scholar] [CrossRef]
- Punzo, V.; Zheng, Z.; Montanino, M. About calibration of car-following dynamics of automated and human-driven vehicles: Methodology, guidelines and codes. Transp. Res. Part C Emerg. Technol. 2021, 128, 103165. [Google Scholar] [CrossRef]
- Ali, A.F.; Tawhid, M.A. A hybrid PSO and DE algorithm for solving engineering optimization problems. Appl. Math. Inf. Sci. 2016, 10, 431–449. [Google Scholar] [CrossRef]
- Huang, Y.; Ye, Y.; Sun, J.; Tian, Y. Characterizing the impact of autonomous vehicles on macroscopic fundamental diagrams. IEEE Trans. Intell. Transp. Syst. 2023, 24, 6530–6541. [Google Scholar] [CrossRef]
- Kim, B.; Heaslip, K.P. Identifying suitable car-following models to simulate automated vehicles on highways. Int. J. Transp. Sci. Technol. 2023, 12, 652–664. [Google Scholar] [CrossRef]
- Lidbe, A.D.; Hainen, A.M.; Jones, S.L. Comparative study of simulated annealing, tabu search, and the genetic algorithm for calibration of the microsimulation model. Simulation 2017, 93, 21–33. [Google Scholar] [CrossRef]
- Ahmad, M.F.; Isa, N.A.M.; Lim, W.H.; Ang, K.M. Differential evolution: A recent review based on state-of-the-art works. Alex. Eng. J. 2022, 61, 3831–3872. [Google Scholar] [CrossRef]
- Sajid, M.; Jafar, A.; Sharma, S. Hybrid genetic and simulated annealing algorithm for capacitated vehicle routing problem. In Proceedings of the 2020 Sixth International Conference on Parallel, Distributed and Grid Computing (PDGC), Waknaghat, India, 6–8 November 2020; IEEE: New York, NY, USA, 2020; pp. 131–136. [Google Scholar]
- Van Aerde, M.; Rakha, H. Multivariate calibration of single regime speed-flow-density relationships [road traffic management]. In Proceedings of the Pacific Rim TransTech Conference, 1995 Vehicle Navigation and Information Systems Conference Proceedings, 6th International VNIS, A Ride into the Future, Seattle, WA, USA, 30 July–2 August 1995; IEEE: New York, NY, USA, 1995; pp. 334–341. [Google Scholar]
- Ngoduy, D. Analytical studies on the instabilities of heterogeneous intelligent traffic flow. Commun. Nonlinear Sci. Numer. Simul. 2013, 18, 2699–2706. [Google Scholar] [CrossRef]
- Ahn, K.; Rakha, H.; Trani, A.; Van Aerde, M. Estimating vehicle fuel consumption and emissions based on instantaneous speed and acceleration levels. J. Transp. Eng. 2002, 128, 182–190. [Google Scholar] [CrossRef]
- Krajewski, R.; Bock, J.; Kloeker, L.; Eckstein, L. The highd dataset: A drone dataset of naturalistic vehicle trajectories on german highways for validation of highly automated driving systems. In Proceedings of the 2018 21st International Conference on Intelligent Transportation Systems (ITSC), Maui, HI, USA, 4–7 November 2018; IEEE: New York, NY, USA, 2018; pp. 2118–2125. [Google Scholar]
- Zhu, M.; Wang, X.; Tarko, A. Modeling car-following behavior on urban expressways in Shanghai: A naturalistic driving study. Transp. Res. Part C Emerg. Technol. 2018, 93, 425–445. [Google Scholar] [CrossRef]
- Lespinats, S.; Colange, B.; Dutykh, D. Nonlinear Dimensionality Reduction Techniques; Springer: Berlin/Heidelberg, Germany, 2022. [Google Scholar]
- Yao, X.; Yan, Q.; Sun, Z.; Calvert, S.C.; Hoogendoorn, S.P. Investigation on car-following heterogeneity and its impacts on traffic safety and sustainability. Transp. A Transp. Sci. 2024; in press. [Google Scholar] [CrossRef]
- Thiedig, J. An Economic Cost-Benefit Analysis of a General Speed Limit on German Highways; Free University Berlin, School of Business & Economics: Berlin, Germany, 2018. [Google Scholar]
- Song, L.; Fan, W. Intersection capacity adjustments considering different market penetration rates of connected and automated vehicles. Transp. Plan. Technol. 2023, 46, 286–303. [Google Scholar] [CrossRef]
- Wang, P.; Wu, X.; He, X. Vibration-theoretic approach to vulnerability analysis of nonlinear vehicle platoons. IEEE Trans. Intell. Transp. Syst. 2023, 24, 11334–11344. [Google Scholar] [CrossRef]
- Rakha, H.; Crowther, B. Comparison of Greenshields, Pipes, and Van Aerde car-following and traffic stream models. Transp. Res. Rec. 2002, 1802, 248–262. [Google Scholar] [CrossRef]
- Montanino, M.; Monteil, J.; Punzo, V. From homogeneous to heterogeneous traffic flows: Lp String stability under uncertain model parameters. Transp. Res. Part B Methodol. 2021, 146, 136–154. [Google Scholar] [CrossRef]
- Sun, J.; Zheng, Z.; Sun, J. Stability analysis methods and their applicability to car-following models in conventional and connected environments. Transp. Res. Part B Methodol. 2018, 109, 212–237. [Google Scholar] [CrossRef]
- Caputo, J.-G.; Dutykh, D. Nonlinear waves in networks: Model reduction for the sine-Gordon equation. Phys. Rev. E 2014, 90, 022912. [Google Scholar] [CrossRef]
- Dutykh, D.; Caputo, J.-G. Wave dynamics on networks: Method and application to the sine-Gordon equation. Appl. Numer. Math. 2018, 131, 54–71. [Google Scholar] [CrossRef]
- Caputo, J.G.; Dutykh, D.; Gleyse, B. Coupling conditions for water waves at forks. Symmetry 2019, 11, 434. [Google Scholar] [CrossRef]



















| Studies | Vehicle Type | Driving Style | Traffic Flow Characteristics | ||||||
|---|---|---|---|---|---|---|---|---|---|
| HDV | CAV | Fundamental Diagram | Stability | Safety | Consumption | Emission | |||
| Car | Truck | ||||||||
| Yang et al. [33] | ✓ | ✓ | ✓ | ||||||
| Qin et al. [34] | ✓ | ✓ | ✓ | ✓ | |||||
| Park et al. [35] | ✓ | ✓ | ✓ | ✓ | ✓ | ||||
| Ye and Yamamoto [36] | ✓ | ✓ | ✓ | ||||||
| Zhu et al. [28] | ✓ | ✓ | ✓ | ||||||
| Zhang et al. [21] | ✓ | ✓ | ✓ | ✓ | |||||
| Sala and Soriguera [37] | ✓ | ✓ | |||||||
| Zhao et al. [16] | ✓ | ✓ | ✓ | ✓ | |||||
| Wang et al. [38] | ✓ | ✓ | ✓ | ||||||
| Li et al. [31] | ✓ | ✓ | ✓ | ✓ | |||||
| Oikonomou et al. [39] | ✓ | ✓ | ✓ | ✓ | |||||
| Yao et al. [40] | ✓ | ✓ | ✓ | ✓ | ✓ | ✓ | |||
| Sun et al. [32] | ✓ | ✓ | ✓ | ✓ | ✓ | ||||
| Jiang et al. [41] | ✓ | ✓ | ✓ | ✓ | |||||
| Liu et al. [42] | ✓ | ✓ | ✓ | ✓ | |||||
| This paper | ✓ | ✓ | ✓ | ✓ | ✓ | ✓ | ✓ | ✓ | ✓ |
| Type | Method | Silhouette Coefficient | Cluster 0 | Cluster 1 |
|---|---|---|---|---|
| CC | Spectral | 0.3541 | 656 (77.00%) | 196 (23.00%) |
| CT | Ward agglomerative | 0.4757 | 77 (83.70%) | 15 (16.30%) |
| TC | Spectral | 0.4044 | 38 (45.24%) | 46 (54.76%) |
| TT | K-means | 0.4451 | 45 (58.44%) | 32 (41.56%) |
| Type | Statistic | Intercept | Cluster | F-Value (Cluster) | p-Value (Cluster) |
|---|---|---|---|---|---|
| CC | Wilks’ Lambda | 0.7304 | 0.3839 | 339.8376 | <0.001 |
| Pillai’s Trace | 0.2696 | 0.6161 | 339.8376 | <0.001 | |
| CT | Wilks’ Lambda | 0.7814 | 0.3683 | 37.3130 | <0.001 |
| Pillai’s Trace | 0.2186 | 0.6317 | 37.3130 | <0.001 | |
| TC | Wilks’ Lambda | 0.4766 | 0.3327 | 39.6101 | <0.001 |
| Pillai’s Trace | 0.5234 | 0.6673 | 39.6101 | <0.001 | |
| TT | Wilks’ Lambda | 0.4779 | 0.2756 | 47.3139 | <0.001 |
| Pillai’s Trace | 0.5221 | 0.7244 | 47.3139 | <0.001 |
| Type | Driving Style | ||||
|---|---|---|---|---|---|
| CC | Cluster 0 (Normal) | 1.13 | 4.07 | 3.83 | 1.33 |
| Cluster 1 (Mild) | 0.97 | 4.11 | 5.36 | 2.07 | |
| CT | Cluster 0 (Normal) | 1.33 | 4.01 | 3.51 | 1.31 |
| Cluster 1 (Mild) | 1.09 | 3.92 | 5.05 | 2.26 | |
| TC | Cluster 0 (Normal) | 0.91 | 3.95 | 4.56 | 1.51 |
| Cluster 1 (Mild) | 0.76 | 3.96 | 5.42 | 2.28 | |
| TT | Cluster 0 (Normal) | 1.22 | 4.08 | 3.65 | 1.59 |
| Cluster 1 (Mild) | 1.05 | 3.78 | 5.35 | 2.57 |
Disclaimer/Publisher’s Note: The statements, opinions and data contained in all publications are solely those of the individual author(s) and contributor(s) and not of MDPI and/or the editor(s). MDPI and/or the editor(s) disclaim responsibility for any injury to people or property resulting from any ideas, methods, instructions or products referred to in the content. |
© 2025 by the authors. Licensee MDPI, Basel, Switzerland. This article is an open access article distributed under the terms and conditions of the Creative Commons Attribution (CC BY) license (https://creativecommons.org/licenses/by/4.0/).
Share and Cite
Wu, S.; Zou, Y.; Liu, D.; Chen, X.; Wang, Y.; Moeinaddini, A. Investigating Traffic Characteristics at Freeway Merging Areas in Heterogeneous Mixed-Flow Environments. Sustainability 2025, 17, 2282. https://doi.org/10.3390/su17052282
Wu S, Zou Y, Liu D, Chen X, Wang Y, Moeinaddini A. Investigating Traffic Characteristics at Freeway Merging Areas in Heterogeneous Mixed-Flow Environments. Sustainability. 2025; 17(5):2282. https://doi.org/10.3390/su17052282
Chicago/Turabian StyleWu, Shubo, Yajie Zou, Danyang Liu, Xinqiang Chen, Yinsong Wang, and Amin Moeinaddini. 2025. "Investigating Traffic Characteristics at Freeway Merging Areas in Heterogeneous Mixed-Flow Environments" Sustainability 17, no. 5: 2282. https://doi.org/10.3390/su17052282
APA StyleWu, S., Zou, Y., Liu, D., Chen, X., Wang, Y., & Moeinaddini, A. (2025). Investigating Traffic Characteristics at Freeway Merging Areas in Heterogeneous Mixed-Flow Environments. Sustainability, 17(5), 2282. https://doi.org/10.3390/su17052282

