Abstract
Agricultural soils near roadways are increasingly contaminated with presumably contaminating elements (PCEs), raising concerns for food safety and health risks in Bangladesh. This study quantified Mn, As, Co, Cr, Zn, Ni, Cu, Cd and Pb in roadside agricultural farm soils at three depths (0–5, 5–10, 10–15 cm) across industrial, peri-urban, and research areas using ICP-MS. The average mass fractions ranked as Mn > Zn > Cr > Ni > Cu > Pb > Co > As > Cd with peri-urban soils exhibiting the elevated levels of Cr (80.48 mg.kg−1 and Ni (65.81 mg.kg−1). Contamination indices indicated Cd (Contamination Factor: 2.01–2.53) and Ni (Contamination Factor: up to 2.27) as the most enriched elements, with all sites showing a Pollution Load Index (PLI) >1 (1.07–1.66), reflecting cumulative soil deterioration. Cd posed moderate ecological risk (Er: 60.3–75.9), whereas other PCEs were low risk. Health risk assessment showed elevated non-carcinogenic hazard indices (HI: 7.87–10.5 for children; 3.72–4.78 for adults), with Mn, Cr, and Co as major contributors. Cumulative carcinogenic risk (CCR) values were dominated by Cr, reaching 7.22 × 10−4 in industrial areas and 3.98 × 10−4 in peri-urban areas, exceeding the acceptable range (10−6–10−4). Metal mass fractions were consistently higher in surface soils (0–5 cm) than at deeper layers, indicating anthropogenic deposition from traffic and industry. Multivariate analysis distinguished geogenic (Cr-Ni-Cu; Mn-Co-As) from anthropogenic (Cd-Pb-Zn) sources. These findings identify Cd and Cr as priority pollutants, highlighting the need for soil management and pollution control near roadways in Bangladesh.
1. Introduction
Global food safety is increasingly challenged by environmental degradation and agricultural practices that jeopardize both the quality and security of food supplies [1,2]. Soil contamination has become a major global issue, with its primary drivers being industrial growth, rapid urban expansion, inadequate waste management, and unsustainable farming practices [3]. Key soil pollutants including polycyclic aromatic hydrocarbons (PAHs), microplastics (MPs), volatile organic compounds (VOCs) and presumably contaminating elements (PCEs) are increasingly considered significant hazards to soil integrity, as they disrupt soil structure, alter microbial communities, and impair essential biological processes. Recent studies further confirm that these pollutants, particularly PCEs, can alter soil enzyme activity and nutrient cycling, leading to reduced crop productivity and food safety concerns [4,5,6,7,8].
Agricultural soils near roadways are increasingly contaminated by PCEs from vehicular emissions, industrial activities, and atmospheric deposition particularly from tire wear, brake dust, and combustion residues, which are major sources near high-traffic areas [9,10,11,12]. These PCEs are non-biodegradable, and can persist for decades in soil matrices, where they undergo bioaccumulation and biomagnification through the food chain, leading to chronic toxicity, organ dysfunction, and carcinogenic effects [13,14,15,16,17]. Several studies have linked chronic exposure to soil-borne PCEs such as Pb, Cd, and As with developmental delays in children, kidney dysfunction, and increased cancer risks [18,19,20]. Because of their durability and mobility to migrate through soil and groundwater, PCEs present a long-term environmental risk, particularly in regions lacking proper monitoring and mitigation strategies [21]. In developing countries like Bangladesh, where rapid industrial expansion and population growth occur without sufficient environmental safeguards, PCEs contamination of roadside agricultural farm soils is a growing concern [22,23,24].
In Bangladesh, agricultural practices near roadsides are common due to limited arable land, especially in densely populated and industrially active regions like Dhaka, Gazipur, Narayangonj and surrounding districts [25,26]. Although several studies in Bangladesh have investigated PCEs accumulation in soils, few have examined the spatial distribution across industrial, peri-urban, and research-oriented roadside agricultural areas. For instance, a study conducted along the Dhaka–Aricha highway reported PCEs mass fractions sequence Fe > Mn > Pb > Zn > Cu > Cd, with Hazard Index (HI) values exceeding safe thresholds for both adults and children [11]. Similarly, another investigation along the Dhaka–Chattogram highway identified significant contamination by Cd, Cr, and Pb, with Target Hazard Quotient (THQ) values exceeding 1 for Pb and Cr, indicating elevated health risks, particularly for children [10]. These findings confirm the presence of substantial contamination near major roadways; however, comprehensive studies comparing multiple land-use zones while accounting for soil depth variation are still lacking in Bangladesh. Despite isolated findings, a holistic understanding of PCEs mass fractions in different land-use zones and soil profiles is crucial for devising targeted remediation strategies and land management policies.
Assessing PCEs mass fractions at different soil depths is essential to understand their vertical mobility, retention capacity, and potential bioavailability to plants, which vary with land use, soil texture, and pollutant sources [27]. PCEs primarily accumulate in the surface soil layer (0–20 cm), and their vertical distribution provides valuable insights into their migration potential, plant uptake zones, and associated risks to groundwater quality [28]. Nine elements (Cu, Ni Mn, As, Cr, Co, Zn, Cd, and Pb) were analyzed in roadside agricultural soils at three depths (0–5, 5–10, and 10–15 cm) across industrial, peri-urban, and research zones in Bangladesh. These PCEs were chosen as they represent both geogenic and anthropogenic sources and are key indicators of industrial, vehicular, and agrochemical contamination. Cd, Pb, and Cr are highly toxic even at trace levels, while Mn, Ni, and Zn, though essential, become harmful at elevated mass fractions. The objectives of this study are to: (1) quantify the mass fractions (mg/kg) of selected Presumably Contaminating Elements (PCEs) in roadside agricultural soils across industrial, peri-urban, and research zones; (2) evaluate contamination and ecological risk levels using multiple pollution indices (Igeo, CF, PLI, and Er); (3) assess potential health risks related with these elements for both adults and children; and (4) identify geogenic and anthropogenic sources of contamination using multivariate statistical techniques. These objectives collectively aim to provide a spatially comprehensive understanding of soil pollution dynamics near roadways in Bangladesh.
2. Materials and Methods
This research was conducted on roadside agricultural soils across industrial, peri-urban, and research areas of Bangladesh (Figure 1). The industrial sites included Rajendrapur, Vobanipur, and Porabari in Gazipur, as well as Bishonondi, Jalakandi, and Araihazar in Narayanganj. The peri-urban sites encompassed Shikarikanda, Barera, and Moinarmor in Mymensingh, along with Golara, Bathuli, and Noadingi in Manikganj. The research sites comprised in BINA (Bangladesh Institute of Nuclear Agriculture) in Mymensingh, the Bangladesh Jute Research Institute (BJRI) in Manikganj, and the Bangladesh Institute of Research and Training on Applied Nutrition (BIRTAN) in Narayanganj. This region is characterized by a predominantly flat topography, with elevations ranging between 0.5 m and 12 m [29]. The major characteristics of these study sites are summarized in Table 1.
Figure 1.
Roadside agricultural soil sampling area in Bangladesh (Map created using ArcGIS Pro, Redlands, CA, USA, 3.2; basemap source: Esri, OpenStreetMap, Cambridge, UK, and contributors, 2024, red box showing study area in Bangladesh map).
Table 1.
Key environmental characteristics and geographic coordinates (latitude and longitude) of industrial, peri-urban, and research sites in the study.
2.1. Roadside Agricultural Soil Sample Preparation
In the monsoon summer of 2023, a total of 15 farm plots were selected, with five sites each in industrial, peri-urban, and research zones. Site selection considered local soil type, traffic intensity, and agricultural activity to capture representative conditions of each land-use category. A 20 m setback from the roadside was maintained following U.S. EPA and regional soil pollution studies to reduce the direct influence of vehicular exhaust and splash deposition [30]. Traffic density was highest in industrial areas (>2000 vehicles/day), moderate in peri-urban zones (800–1000 vehicles/day), and minimal in research areas (<300 vehicles/day). Soil type and vegetation information for each site are summarized in Table 1. Approximately 500 g soil sample were collected from each plot using auger and hoe. From each site, 5 randomly selected sub-samples were homogenized to form one composite sample which was then put in clearly labeled polyethylene bags (Figure 2). The collected samples were promptly sealed and transported to the laboratory for subsequent analysis. After arrival to BINA, substation in Barishal, samples were air-dried at room temperature (25 °C) for one week. The dried soils were passed through a 2.0 mm nylon mesh sieve to remove coarse materials and debris. Subsequent processing was conducted at the Environmental Science Laboratory, SU, Japan. AS 200 a Retsch digit vibratory sieve shaker, operating at 60 Hz amplitude for 20 min, was used to isolate the fine particle fraction (≤20 µm). The ≤20 µm particle fraction was analyzed because fine soil particles possess a larger specific surface area and greater metal-adsorption capacity, making them sensitive indicators of anthropogenic contamination. Although fine fractions often show higher PCE mass fractions than bulk soils, they provide a conservative measure of contamination potential and are widely used in environmental risk assessments [31,32]. These prepared samples were then subjected to PCEs analysis using standard procedures.
Figure 2.
Cu, Zn and Ni mass fractions at different soil depths in roadside agricultural soils from industrial, peri-urban, and research areas.
2.2. Sample Acid Digestion for PCEs Analysis
To quantify PCEs mass fractions, 50 mg of air-dried roadside agricultural soil samples, consisting of particle sizes ≤20 µm, were placed into 100 mL conical flasks. For each sample, acid digestion was performed with 20 mL of freshly prepared aqua regia, consisting of 15 mL of 36% HCl and mL of 63% HNO3. The mixtures were heated on a hot plate at 150 °C for 90 min until reddish-brown nitrogen dioxide (NO2) fumes ceased to emerge (Figure 3), indicating the completion of digestion. Digests were subsequently concentrated to approximately 1 mL or near dryness, allowed to cool to room temperature, and then diluted to a final volume of 20 mL with 2% HNO3. The resulting solutions were filtered using Whatman Grade 5C filter paper (11 µm pore size and 110 mm diameter) and stored at 4 °C until further analysis. Analytical-grade chemicals were employed throughout the study, and Type I ultrapure water (Milli-Q) was utilized in the preparation of all reagents and solutions. The mass fractions of PCEs were analyzed using an Inductively Coupled Plasma Mass Spectrometer (NexION 350D, PerkinElmer, Shelton, CT, USA). The instrument was equipped with a collision/reaction cell operated in kinetic energy discrimination (KED) mode using helium gas to minimize polyatomic interferences. Calibration was performed using multielement standard solutions (XSTC-662, Spex CertiPrep, Metuchen, NJ, USA) at five mass fractions levels ranging from 0 to 100 µg/L, yielding coefficients of determination (R2 > 0.999). Yttrium (Y, 89) and Indium (In, 115) were used as internal standards to correct for matrix effects and instrumental drift. Analytical blanks, procedural blanks, and quality control standards were analyzed every ten samples to ensure precision and stability. Instrument performance was verified daily using a tuning solution to maintain sensitivity and mass calibration within 3% deviation.
Figure 3.
Cr, Mn and Pb mass fractions at different soil depths in roadside agricultural soils from industrial, peri-urban, and research areas.
2.3. Quality Assurance (QA)
Strict quality assurance and control protocols were implemented throughout the analysis of PCEs in sample. All glassware was acid-washed and rinsed with deionized water before use to eliminate possible contamination. Reagent blanks were digested and analyzed with the samples to check for contamination. Analytical accuracy was verified using certified reference material (CRM, NIST SRM 2711a—Montana Soil) analyzed in triplicate, with recoveries of 85–107%. Individual recoveries were 100% (Zn), 85% (Cr), 95% (Co), 86% (Pb), 107% (Cu), 97% (Cd), 85% (Ni), and 100% (As). Triplicate analyses were performed for every digest, with precision verified by maintaining relative standard deviations under 5%. Calibration standards were renewed after every ten measurements. Limits of detection (LOD) were 0.041 ng mL−1 (Mn), 0.02 ng mL−1 (Cr), 0.05 ng mL−1 (Cu), 0.09 ng mL−1 (Ni), 0.01 ng mL−1 (Co), 0.07 ng mL−1 (Zn), 0.09 ng mL−1 (Pb), 0.001 ng mL−1 (As), and 0.001 ng mL−1 (Cd) [33]. Matrix effects were minimized using matrix-matched calibration with diluted soil digests. Slightly lower recoveries for Cr (85%) and Pb (86%) were attributed to matrix complexity rather than digestion inefficiency. As RSD values remained <5%, no additional correction factors were applied.
2.4. Estimation of Pollution Indices
Toxic PCEs contamination in roadside agricultural soils samples were assessed using the Igeo, PLI, Er and CF. The indices are determined based on the inherent metal mass fractions in soil and sediment. As no local background values exist for Dhaka, global soil baselines were adopted: Mn (488), Cu (38.9), Cr (59.5), Pb (27), Ni (29), Zn (70), Co (11.3), As (5.2), and Cd (0.2) in mg.kg−1. Geo-accumulation index and contamination factor quantify individual metal contamination, with Igeo incorporating a constant value combined with a logarithmic function 1.5 to account for lithogenic variability, whereas PLI and Ecological risk (Er) evaluate the combined effects of multiple PCEs. These indices were selected for their simplicity, robustness, and consistence within a broader global context.
2.4.1. Geo-Accumulation Index (Igeo)
Igeo index quantifies the level of PCEs pollution in soil samples relative to baseline mass fractions in the global earth’s crust [34]. It is defined as:
where Cn denotes the mass fractions of the metal in the soil sample, and Bn is the corresponding baseline mass fractions derived from soil reference values. Muller first introduced the Igeo in 1969 to assess PCEs contamination in soils, particularly in urban environments, and it has since been widely applied in numerous studies [35,36]. In this study, contamination levels were determined based on Muller’s classification and compared with the global soil background values for PCEs reported by Kabata-Pendias (Table 2). Because no comprehensive regional or national background dataset is currently available for Bangladeshi agricultural soils, the global average soil baseline values reported by Kabata-Pendias were adopted as reference mass fractions. These global values have been widely used in South Asian studies for comparative assessments of soil pollution. Although regional geological variation may slightly influence background levels, applying globally recognized baselines allows consistent benchmarking with international studies.
Table 2.
Igeo index classification and global soil background values of PCEs.
2.4.2. Contamination Factor for PCEs in Agricultural Soil
Contamination factor represents the ratio of a PCEs’s mass fractions in roadside agricultural soil to its corresponding background level in reference soil. It is calculated as follows:
where Cn denotes the mass fraction of a PCEs in roadside soil sample, and Bn denotes its background values [38]. Applying the criteria defined by Gope et al. [39,40] and the CF categories are summarized in Table 3.
Table 3.
CF classification for PCEs in soil.
2.4.3. Pollution Load Index
PLI provides an integrated assessment of PCEs contamination at a given site. PLI is calculated as the nth root of the product of the CF values for all analyzed PCEs, as shown in Equation (3):
Here, CF indicates contamination factor for each element. Based on this classification, a PLI value below 1 indicates the absence of pollution, a PLI equal to 1 corresponds to baseline or background levels, and a PLI greater than 1 signifies increasing environmental deterioration due to contamination [41].
2.4.4. Ecological Risk (Er) for Soil PCEs
Potential Er of individual PCEs at each site was quantified using the equation proposed by Hakanson et al. [41] as follows:
Here, Er denotes the toxic response factor for a given PCEs, and CF is its contamination factor. The present study adopted the following toxic response coefficients (Er): 1 for Mn, C, Pb, Zn, Co, and Ni; 2 for Cr; 10 for As; and 30 for Cd. These values reflect the relative toxicity and potential environmental impact of each element. On the basis of classification criteria [42], the ecological risk index is interpreted in Table 4.
Table 4.
Er classification for PCEs in agriculrural soil.
2.5. Health Risk Assessment for Roadside Agricultural Soil PCEs
Human exposure to PCEs associated with soil occurs primarily through three pathways: ingestion, dermal contact and inhalation. To evaluate the potential health impacts, both carcinogenic and non-carcinogenic risks were quantified following the risk characterization framework proposed by the United States Environmental Protection Agency (EPA) [43,44]. Using standard health risk assessment equations, the average daily intake for each pathway was estimated, as presented below:
The lifetime average daily doses (LADDs) for PCEs were estimated using Equations (8)–(10), which account for chronic exposure over a lifetime. The analytical procedure employed in this work was based on the framework outlined by Wang et al. 2016 [45] as well as the standardized procedures outlined in U.S. EPA guidance documents [46]. The mathematical formulations are provided below:
where the variable C denotes mass fractions of specific PCEs being assessed, with the remaining parameters detailed in Table 5.
Table 5.
Reference exposure factors applied in the human health risk assessment.
Using the equations from 11 to 17and parameters in Table 6, Hazard Quotient, Hazard Index, Carcinogenic Risk, and Cumulative Carcinogenic Risk were calculated for adults and child. For each mass fraction and exposure route, HQ was obtained as the ratio of average daily intake to RfD, while HI represented the total of all HQ values.
Table 6.
RfDs (Reference doses) and CSFs (cancer slope factors) corresponding to the three evaluated exposure pathways for risk evaluation model.
2.6. Statistical Analysis
All statistical analyses and graphical representations were performed using SPSS 25 (IBM Corp., Armonk, NY, USA) and ArcGIS Pro 3.2 (Esri, Redlands, CA, USA). To explore associations among metals and infer potential sources, Spearman’s rank correlation, component analysis (PCA) with varimax rotation, and hierarchical cluster analysis were applied. Since the Shapiro–Wilk test (p < 0.05) indicated non-normal data distribution, the non-parametric Spearman correlation method was adopted to ensure reliable assessment of inter-element relationships.
3. Results
3.1. PCEs Mass Fractions in Roadside Soils Samples Under Various Land Use
The mass fractions of Cu, Zn, and Ni across industrial, peri-urban, and research areas soil at 3 depths (0–5, 5–10 and 10–15 cm) are summarized in Figure 2. Cu showed a clear decreasing trend with depth in all locations. Industrial sites dropped from 18.58 mg.kg−1 at the surface to 14.60 mg.kg−1 at 10–15 cm; peri-urban sites declined from 23.47 to 17.91 mg.kg−1; and research areas decreased from 21.05 to 18.21 mg.kg−1. This pattern likely reflects surface loading from vehicle-derived inputs from brake material erosion and lubricant residues, consistent with findings from geochemical surveys of soils near major roads, which document higher Cu levels in surface horizons due to vehicular emissions [57]. Zn had the highest overall mass fractions among the three PCEs, particularly in peri-urban soils. These profiles indicate substantial surface enrichment, consistent with patterns observed alongside highways where Zn decreases markedly with depth due to surface deposition of traffic-derived particles [57]. Peri-urban areas exhibited high surface Ni (65.81 mg.kg−1), which sharply declined to 33.33 mg.kg−1 at 10–15 cm. Industrial soils were more consistent (21.86 to 20.40 mg.kg−1), and research sites showed moderate, stable levels (33.29 to 32.11 mg.kg−1). Similar patterns was reported in roadside soils, where contaminant loads decrease with distance from the road, and Cd levels were comparable to those reported by Agata B. et al. 2024, confirming predominant anthropogenic influence in surface layers [58].
A notable observation is the atypical distribution of Cr and Mn in industrial areas. Unlike the expected surface enrichment typical of anthropogenic contamination [59], Cr mass fractions remained relatively uniform across all depths (36.47–38.81 mg kg−1), while Mn exhibited a slight peak at the 5–10 cm layer (834.36 mg.kg−1) before decreasing slightly at 10–15 cm. This pattern may indicate enhanced subsurface migration of industrially emitted particulates or the action of surface processes, such as runoff, leaching, or plant uptake, mitigating surface accumulation [60]. In contrast, Pb displayed a pronounced surface enrichment, declining from 21.22 mg.kg−1 at 0–5 cm to 17.46 mg.kg−1 at 10–15 cm, consistent with its known historical and ongoing sources, encompassing residual pollutants from historical leaded fuel use and particulate deposition derived from nearby industrial operations [61]. In the peri-urban area, Cr exhibited the highest surface mass fractions observed. This pronounced gradient indicates a recent, intense anthropogenic input, likely associated wear of automotive components and improper disposal of commercial and domestic waste typical of peri-urban interfaces [62]. The research area, considered as a reference site, generally exhibited the lowest Pb mass fractions (13.67–11.56 mg.kg−1), displaying a consistent decrease with depth, indicative of minimal anthropogenic influence and primarily geogenic sources [63]. Cr and Mn mass fractions in this area were intermediate but also declined with depth, particularly for Mn (690.45 to 520.19 mg.kg−1). Although recovery rates for most elements exceeded 90%, slightly lower values for Cr and Pb may introduce a small underestimation of their actual mass fractions. This effect likely results from matrix interferences rather than analytical bias, and future studies could apply method validation using isotope dilution or collision-cell optimization to improve accuracy.
Cd mass fractions decreased consistently with increasing soil depth across all locations (Figure 4). In industrial soils Cd declined from 0.49 mg.kg−1 at 0–5 cm to 0.39 mg.kg−1 at 10–15 cm, while peri-urban soils showed a similar decline (0.51 to 0.40 mg.kg−1). Comparable depth-related decreases in Cd were also reported in roadside soils of India, confirming the predominance of atmospheric deposition and surface accumulation [64]. These patterns imply influences from both soil parent material (lithogenic factors) and anthropogenic inputs such as vehicular and fuel-related emissions, as similarly observed in karst agricultural soils where geological strata, parent material, and agricultural practices jointly governed Co distribution [65]. In industrial and peri-urban soils, As increased with depth, reaching 11.17 and 9.17 mg.kg−1 at 10–15 cm, respectively. Conversely, the research area showed surface enrichment, with As decreasing from 13.42 mg.kg−1 (0–5 cm) to 10.26 mg.kg−1 (10–15 cm). This surface dominance is likely related to agrochemical applications and atmospheric inputs, consistent with observations from Italy where elevated As and Cd in peri-urban agricultural soils contributed significantly to ecological risks [66]. The vertical distribution of PCEs reflects local anthropogenic inputs, lithogenic influence, and irrigation effects, but these patterns should also be viewed in a global context. Table 7 provides a comparative overview of heavy metal mass fractions in agricultural soils from Bangladesh and other regions worldwide, highlighting similarities and differences in contamination profiles. Cr and Ni showed slightly higher mass fractions in peri-urban soils than in industrial zones. This pattern likely results from peri-urban agricultural and urban activities rather than direct industrial inputs. The use of phosphate fertilizers, irrigation with wastewater, and informal waste disposal can increase Cr and Ni accumulation, while traffic congestion along regional highways adds further input. In contrast, industrial sites with more paved or compacted surfaces may limit topsoil retention of these elements. Similar findings in South Asian peri-urban areas link Cr and Ni enrichment to mixed agricultural and urban runoff sources.
Figure 4.
Cd, Co and As mass fractions at different soil depths in roadside agricultural soils from industrial, peri-urban, and research areas.
Table 7.
A comparison of PCEs mass fractions (mg/kg) in agricultural soils from Bangladesh and other countries.
3.2. Igeo Based PCEs Contamination in Agricultural Soils
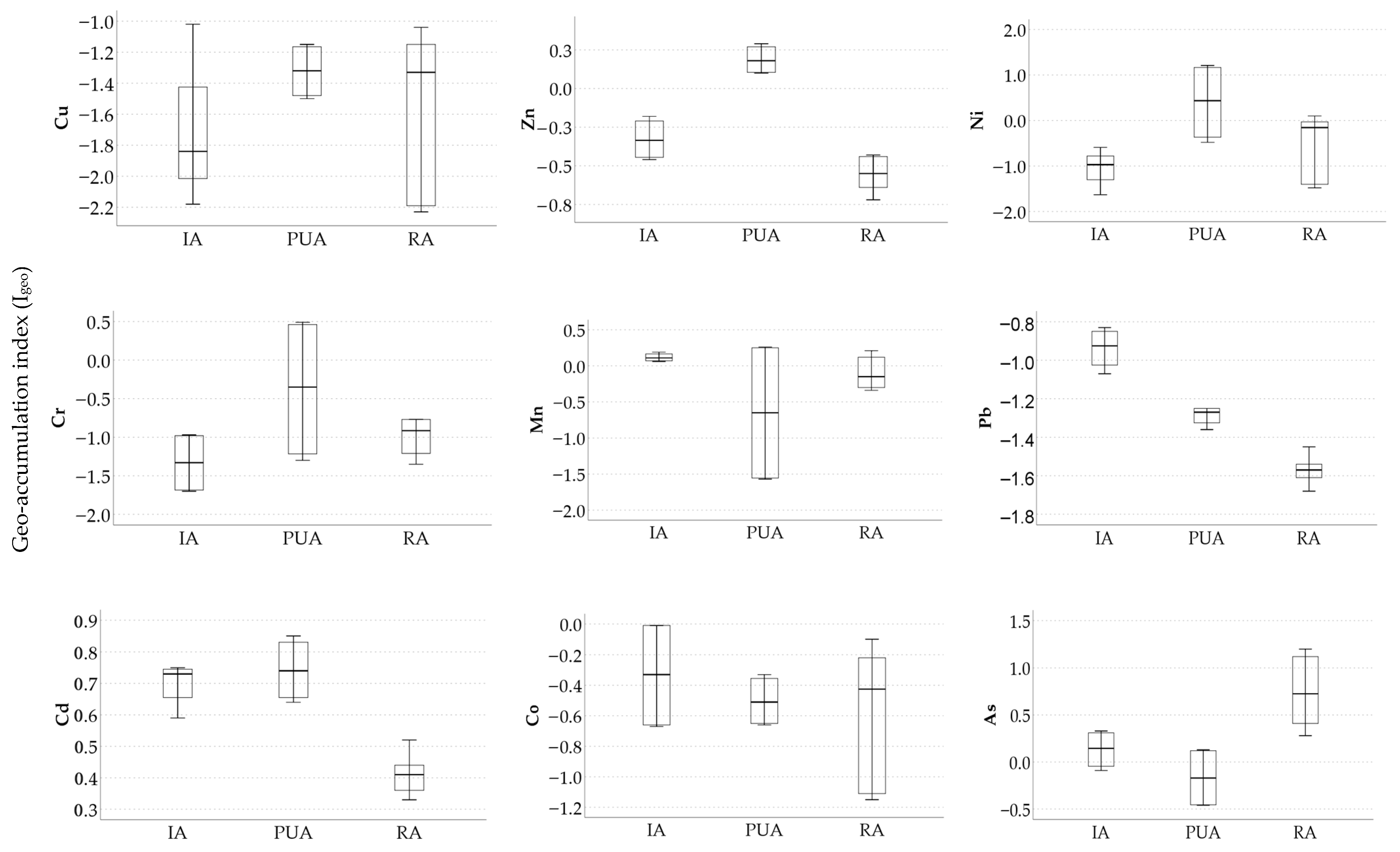
The Igeo values in Figure 5 revealed clear differences in heavy metal enrichment across land-use zones. According to Müller’s classification (Table 1), soils in the research area (RA) were predominantly uncontaminated (Igeo ≤ 0), consistent with their role as reference sites. The peri-urban region showed pronounced metal buildup; Zn, Cr, Ni, and Cd were rated as Class 1, and Ni further reached Class 2, signifying moderate contamination levels. The industrial area (IA) displayed intermediate contamination, particularly for Cd and Mn, while other elements remained within uncontaminated levels. Cd was the most concerning element across the study area.
Figure 5.
Igeo value of PCEs in 3 areas. (IA denotes “industrial area”, PUA denotes “peri-urban area”, RA denotes “Research area”).
Despite its very low global background mass fractions (0.2 mg/kg), Cd in PUA and IA reached Igeo values of 0.7–0.8, corresponding to Class 1 contamination. This indicates strong anthropogenic influence, likely from fertilizers, pesticides, and vehicular emissions. Ni also exceeded background enrichment in PUA, reaching Class 2 contamination, possibly linked to fuel combustion and industrial-urban inputs. Other elements (Cu, Pb, Co, Cr, Zn, Mn, As) largely remained at or below natural background levels, reflecting limited anthropogenic accumulation. These findings closely align with reports from Bangladesh and other South Asian contexts. In roadside and agricultural soils of Bangladesh, Cd recorded a median Igeo of 1.15, falling within Class 1–2 (uncontaminated to moderately contaminated), while most other elements remained at background levels [75]. Similarly, soils around the Dhaka Export Processing Zone (DEPZ) showed evidence of moderate Ni contamination alongside elevated Cd, attributable to industrial emissions and agrochemical applications [76]. Together, these patterns indicate that Cd and Ni pose the most significant contamination risks in peri-urban agricultural soils. While soils from the IA and PUA remained within the uncontaminated to slightly contaminated range, the RA showed the highest Igeo values, reaching up to Class 2 (moderately contaminated). The elevated As, enrichment in RA is therefore more likely attributable to long-term irrigation with As-rich groundwater rather than direct anthropogenic inputs. Comparable outcomes have been observed in Bangladesh, where irrigation with arsenic-contaminated groundwater has led to moderate enrichment of soils and subsequent accumulation in rice crops [77].
3.3. Contamination Factor (CF) Assessment
The values of PCEs in roadside agricultural soils across industrial, peri-urban, and research areas are presented in Table 8. According to the classification of Ahmad and Gope et al. [39,40] the soils were predominantly characterized by low to moderate contamination levels. Cu showed consistently low contamination (CF: 0.48–0.60), while Zn exhibited moderate contamination (CF: 1.02–1.71). Ni and Cr were low in the industrial area but moderate in peri-urban and research sites. Mn, Co, and As indicated moderate contamination, with As in the research area (CF: 2.58) approaching the upper limit of this category. Pb remained low across all sites, whereas Cd was the most critical element (CF: 2.01–2.53), showing moderate contamination close to the considerable threshold. Comparable findings were reported by Islam et al. [10] who observed high CF for Cd and moderate CF for Cr in agricultural soils along the Dhaka–Chattogram, highway in Bangladesh. In contrast, the present study reveals moderate Cd and low Pb, which may be attributed to lower traffic intensity and industrial emissions in these areas.
Table 8.
CF values of elements in roadside agricultural soils and their pollution levels.
3.4. Pollution Load Index
PLI indicates an integrated assessment of heavy PCEs contamination in soils, where PLI < 1 indicate zero pollution, PLI = 1 represents only baseline level, and PLI > 1 reflects site deterioration. In the present study, all areas exhibited PLI > 1, indicating cumulative PCEs enrichment and corresponding deterioration of soil quality (Figure 6). The industrial area recorded the highest PLI (1.66), followed by the peri-urban (1.26) and research areas (1.07), suggesting that industrial sites are subjected to greater anthropogenic pressure, while peri-urban and research sites, though less impacted. Comparable observations were reported by Zakir et al. [78] in Dhaka metropolitan city, where PLI values for roadside soils ranged from 0.32 to 1.74, indicating variable but notable contamination across urban sites.
Figure 6.
Pollution load index values of agricultural soils across different land-use categories.
3.5. Ecological Risk (Er) of Roadside Agricultural Soil PCEs
The Er assessment revealed that most elements, including Cr, Co, Ni, Cu, Mn, Pb, Zn, and As, posed a low potential ecological risk (Er < 40), whereas Cd consistently exhibited a moderate ecological risk (60.30–75.90) across all land-use categories (Table 9). This pattern aligns with previous studies in Bangladesh, where Cd has been recognized as the dominant contributor to ecological and health risks in roadside and agricultural soils, largely due to its high toxicity coefficient and mobility [10,79]. The elevated Cd risk is often attributed to phosphate fertilizer inputs, irrigation with contaminated groundwater, and industrial or traffic-related deposition, which have been regarded as major sources of soil Cd contamination in Bangladesh [80].
Table 9.
Ecological risk of PCEs in the roadside agricultural soil samples of Bangladesh.
3.6. Source Apportionment
Principal Component Analysis (PCA) and Spearman’s Correlation Analysis (CA) were employed to identify and characterize the potential sources of PCEs in roadside agricultural soil.
3.6.1. Principal Component Analysis
PCA revealed three major components explaining 82.35% of the total variance, indicating distinct source contributions of PCEs in roadside agricultural soils in Figure 7. Component 1 (31.93% variance) was dominated by Cr, Ni, and Cu, suggesting geogenic control related to parent material weathering. Component 2 (29.46%) showed high loadings of Mn, Co, and As, which can be linked to mixed inputs from natural lithogenic processes and irrigation with As-contaminated groundwater. Component 3 (20.95%) was primarily associated with Cd, Pb, and Zn, reflecting strong anthropogenic influences such as vehicular emissions, phosphate fertilizer application, and industrial discharges. Such clear separation between natural and anthropogenic metal groups through PCA has also been observed in recent studies from Bangladesh and China, highlighting the utility of multivariate statistics for source apportionment in polluted environments [81,82,83].
Figure 7.
Three-dimensional illustration of the first three principal component showing the grouping of PCEs in roadside agricultural soils, indicating geogenic (Cr–Ni–Cu; Mn–Co–As) and anthropogenic (Cd–Pb–Zn) sources.
3.6.2. Spearman’s Correlation Analysis (SCA)
Spearman’s rank correlation was applied to find the relationships among PCEs and their possible sources in roadside agricultural soils (Table 10). Significant positive correlations were found between Cr–Ni (0.859, p < 0.01) and Mn–Co (0.692, p < 0.01), indicating a geogenic association likely derived from the parent materials. Significant correlations such as Cd–Zn (0.811, p < 0.01) and Cd–Pb (0.688, p < 0.01) reflect anthropogenic inputs, including traffic emissions, tire and brake wear, and industrial discharge. Moderate relationships among Cu–Ni (0.741, p < 0.01) and Cr–Co (0.675, p < 0.01) further support mixed industrial and vehicular sources. Negative correlations between Cd–As (−0.733, p < 0.01) and Pb–As (−0.535, p < 0.05) suggest different origins or contrasting mobilities under varying soil conditions. Weak associations of Zn with most elements imply distinct inputs and limited co-accumulation. Overall, the results indicate that Cr, Ni, and Co are mainly lithogenic, while Cd, Pb, Zn, and Cu predominantly originate from anthropogenic activities. Similar geogenic–anthropogenic groupings of elements in agricultural and roadside soils have been reported in earlier studies [84,85].
Table 10.
Spearman’s correlation matrix of PCEs in roadside agriculture soil of Bangladesh.
3.6.3. Hierarchical Cluster Analysis (HCA)
To clarify the relationships and potential sources of PCEs in roadside agricultural soils, a HCA was conducted. The dendrogram (Figure 8) grouped elements according to the similarity of their mass-fraction patterns across sites, providing an intuitive view of inter-element associations [86,87].
Figure 8.
Hierarchical cluster dendrogram showing grouping patterns of PCEs in roadside agricultural soils.
Cluster I included As, Pb, Cd, and Zn, with a particularly strong Zn–Cd linkage consistent with the highest Spearman correlation (0.811, p < 0.01). This association, widely reported in polluted soils, reflects anthropogenic influences such as industrial discharge, fertilizer inputs, and traffic-related emissions [88]. The coupling of Pb and Cd with Zn–Cd suggests co-contamination from mixed vehicular and urban sources. Cluster II comprised Cu, Cr, Mn, Ni and Co. The close Cr–Ni and Ni–Cu relationships indicate a common lithogenic or mechanical origin, including engine wear and metallic corrosion. The association of Mn and Co further implies partial geogenic control with minor anthropogenic input [89]. The distinct separation between Cluster I (Zn, Cd, Pb, As) and Cluster II (Cr, Ni, Cu, Mn, Co) confirms that PCEs in roadside soils originate from a combination of human-induced and geogenic sources, consistent with the correlation analysis.
3.7. Heath Risk Assessment
3.7.1. Hazard Quotient (HQ) Representing Non-Carcinogenic Health Risk
The HQ values obtained from PCEs demonstrate that non-carcinogenic risks associated with PCEs in roadside agricultural soils are generally low, with all HQs falling well below the safe threshold of 1 (Table 11). HQs for Cu ranged between 1.75 × 10−8 (child, industrial) and 2.52 × 10−9 (adult, research area) for ingestion, while Zn showed similarly low ingestion HQs (1.03 × 10−8–1.14 × 10−9). Individual HQs for most elements and pathways were <1, indicating limited risk from single elements. Mn, Cr, and Co were the dominant contributors. It is noteworthy that children showed consistently elevated HQ values than adults in all elements and pathways, reflecting age-related susceptibility, these findings correspond with prior research suggesting that children possess greater sensitivity to PCEs toxicity compared with adults [90]. These results also align with earlier studies that found inhalation and dermal pathways often dominate over ingestion in roadside agricultural soils [91].
Table 11.
HQ of PCEs in roadside agricultural soils through ingestion, inhalation, and dermal exposure pathways.
3.7.2. Hazard Index (HI) Indicating Non-Carcinogenic Risk
HI values in Table 12 illustrate that cumulative non-carcinogenic risks from PCEs in roadside agricultural soils exceed the safe threshold of 1 across all land-use categories, with children consistently more vulnerable than adults (industrial: 1.05 × 101 vs. 4.78 × 100; peri-urban: 7.87 × 100 vs. 3.72 × 100; research: 9.21 × 100 vs. 4.24 × 100). Mn was the dominant contributor (up to 9.76), followed by Cr and Co, while Cu and Zn posed negligible risks. Similar child-dominant HI patterns were reported in China, where Mn and Cr were major risk drivers [92]. Elevated HI values linked to Cr, Pb, and As were also observed in urban soils [93]. Recent findings further emphasize that exposure model refinements significantly affect children’s HI estimates [94], underscoring the need for careful soil management and targeted interventions to protect sensitive populations [95]. Although the U.S. EPA model provides a standardized framework for assessing exposure, its parameters may underestimate risk in Bangladeshi rural settings where children’s soil ingestion rates are higher due to outdoor play and limited hygiene facilities. Therefore, the derived hazard and carcinogenic risk estimates may represent conservative values, and locally calibrated exposure parameters are recommended for future assessments.
Table 12.
Roadside agricultural soil hazard index for PCEs in industrial, peri-urban, and research areas.
3.8. Exposure Estimation
3.8.1. Average Daily Dose (ADD) of PCEs
The ADD values of Cr, Co Zn, Ni, Cu, Mn, Pb, Cd and As through ingestion, dermal and inhalation routes for children and adults in the three examined areas are illustrated in Table 13. Inhalation and dermal exposure routes contributed substantially more to ADDs than ingestion, which was consistently the lowest pathway for all elements and locations. Mn exhibited the highest exposure levels in industrial children, with ingestion of 2.90 × 10−8 mg·kg−1·day−1, inhalation of 1.36 × 10−4 mg·kg−1·day−1, and dermal exposure of 8.13 × 10−5 mg·kg−1·day−1, with inhalation ADDs exceeding ingestion by approximately four orders of magnitude. Zn and Cr also showed comparatively elevated ADDs via inhalation and dermal routes, as observed for Zn inhalation in industrial children at 1.43 × 10−5 mg·kg−1·day−1. Children were consistently more vulnerable than adults due to higher intake per body weight and age-dependent exposure parameters [96], for instance, the child inhalation ADD for Mn in the industrial area (1.36 × 10−4 mg·kg−1·day−1) was more than twice the corresponding adult value (5.97 × 10−5 mg·kg−1·day−1). The predominance of dermal and inhalation pathways is consistent with the toxicokinetic behavior of PCEs, which readily penetrate the respiratory tract and skin [97]. Comparable soil-to human exposure risks have also been reported in Bangladesh, where roadside and agricultural soils near industrial areas were enriched with trace elements, raising concerns regarding food safety and human health [98].
Table 13.
ADD (mg kg−1 day−1) of PCEs derived from soil via dermal, inhalation, and skin absorption routes.
3.8.2. Lifetime Average Daily Dose (LADD) of PCEs
The LADD of PCEs via three exposure pathways for the different study areas are presented in Table 14. Inhalation was major exposure pathway for most elements followed by dermal contact, whereas ingestion contributed the lowest LADDs in all areas. Mn exhibited the highest exposure levels, with inhalation doses LADDs of 3.74 × 10−4 mg·kg−1·day−1 in the industrial area, 6.60 × 10−5 mg·kg−1·day−1 in the peri urban, and 8.13 × 10−5 mg·kg−1·day−1 in the research area, consistent with previous studies reporting Mn accumulation in urban soils [99]. Dermal LADDs were also notable, whereas ingestion LADDs were several orders of magnitude lower. Zn and Cr showed elevated LADDs through inhalation and dermal pathways, particularly in industrial areas, reflecting their prevalence in traffic-impacted soils [100]. Pb and Cd posed significant risks via inhalation, with dermal exposure contributing to overall intake, corroborating findings from other urban roadside soils [101]. Ni, Co, and As exhibited comparatively lower LADDs but remain of concern due to their toxicity. As inhalation LADDs in industrial areas reached 4.06 × 10−6 mg·kg−1·day−1, highlighting potential human health risks observed in Greece and similar urban environments [102].
Table 14.
LADD (mg·kg−1·day−1) of PCEs via ingestion, inhalation, and dermal routes.
3.9. Carcinogenic Risk (CR)
CR of PCEs in soil samples indicated that inhalation was the predominant exposure route compared to ingestion, with particularly elevated risks associated with Cr in Table 15. Inhalation CR values for Cr ranged from 7.22 × 10−4 in the industrial area to 2.25 × 10−4 in the research area, markedly exceeding the generally acceptable risk threshold of 1 × 10−6–1 × 10−4 [103]. In contrast, ingestion CRs for Cr, Cd, and Pb were negligible (10−12–10−13). Other elements such as Co, Ni, and Cd exhibited inhalation CRs in the range of 10−5–10−6, which, while lower than Cr, still fall within or close to levels of potential concern, especially in the industrial area. The spatial trend showed a consistent decline in inhalation CR values from industrial to peri-urban and research areas, reflecting the influence of anthropogenic emissions, particularly from industrial and traffic activities, on soil contamination and subsequent human health risks. Previous studies have similarly identified inhalation as the primary pathway contributing to carcinogenic risk from PCEs in dust and roadside or industrial soils, aligning with the present findings [104]. Cancer slope factors (CSFs) were not available for all exposure pathways which may result in partial estimation of total carcinogenic risk. These missing parameters were acknowledged, and CR values were interpreted accordingly as conservative estimates.
Table 15.
Carcinogenic risk of PCEs via ingestion and inhalation.
3.10. Cumulative Carcinogenic Risk (CCR)
The CCR of PCEs in roadside soil samples revealed Cr as the dominant contributor, with values of 7.22 × 10−4, 3.98 × 10−4, and 2.25 × 10−4 in the industrial, peri-urban, and research areas, respectively (Table 16). The results fall either above or close to the maximum permissible range for carcinogenic risk (1 × 10−6–1 × 10−4), indicating a potential health concern. Co, Ni, and Cd contributed comparatively lower but non-negligible risks, particularly in the industrial area (6.38 × 10−5, 8.65 × 10−6, and 1.46 × 10−6, respectively), while Pb exhibited negligible risks (~10−13). The cumulative CCR decreased in the order of industrial (7.88 × 10−4) > peri-urban (4.18 × 10−4) > research area (2.42 × 10−4), indicating the impact of human-induced activities, including industrial discharges and vehicular emissions.
Table 16.
Cumulative Carcinogenic risk CCR of PCEs across industrial, peri-urban and research areas.
Comparable results were reported by Jin et al. 2024 [105] who observed elevated CCR values along National Highway 107 in China, where Cr was identified as the primary contributor to cancer risk, and by Shen et al. 2024 [106], who similarly highlighted Cr as the dominant carcinogenic element in peri-urban soils of Shanghai. The results emphasize the significant contribution of chromium to cancer risk in roadside agricultural settings and point to the necessity for focused pollution control measures.
4. Conclusions
Roadside agricultural soils in Bangladesh are moderately contaminated with PCEs, with Cd and Ni showing the greatest enrichment (CF: 2.0–2.5 and up to 2.3, respectively). PLI values (1.07–1.66) confirmed cumulative soil deterioration, while Cd posed moderate ecological risk (Er: 60–76). Health risk assessments indicated that cumulative HIs exceeded safe limits, particularly for children (HI up to 10.5), with Mn, Cr, and Co as dominant contributors. Cr-driven CCR values (up to 7.22 × 10−4) exceeded acceptable thresholds, highlighting its carcinogenic potential. Metal mass fractions generally declined with soil depth, with the highest enrichment at 0–5 cm, reflecting surface accumulation from vehicular emissions, fertilizers, and industrial activities. Source apportionment identified both lithogenic (Cr, Ni, Cu, Mn, Co, As) and anthropogenic (Cd, Pb, Zn) inputs. Given the elevated HI and CCR values, Cd and Cr are identified as priority pollutants requiring urgent intervention. Potential mitigation strategies include (1) application of phosphate-free and low-Cd fertilizers; (2) amendment of soils with biochar or lime to immobilize toxic elements; (3) adoption of phytoremediation using metal-tolerant plants such as Brassica juncea and Vetiveria zizanioides; and (4) development of roadside buffer vegetation to reduce atmospheric deposition. Policy frameworks should also establish routine soil monitoring and enforce emission control for small-scale industries and vehicles in peri-urban and industrial corridors.
Author Contributions
M.S.R.: Responsible for methodology, conceptualization and preparation of the original manuscript draft; Q.W.: Supervision, conducted investigation, secured funding, and contributed to editing and review; M.S.: Supervising, investigation; W.W.: Guidelines, methodology, editing and review; Y.I. PCEs analysis and data recording; A.S. editing; review; T.O.M.: data analysis, editing and review. All authors have read and agreed to the published version of the manuscript.
Funding
This research received partial funding from the Special Funds for Innovative Area Research and Basic Research (Category B) (Nos. 22H03747, FY2022–FY2024, Nos. 25K03267, FY2025–FY2029) of Grant-in-Aid for Scientific Research of the Japanese Ministry of Education, Culture, Sports, Science, and Technology (MEXT).
Institutional Review Board Statement
Not applicable.
Informed Consent Statement
Not applicable.
Data Availability Statement
All original contributions of this study are provided in the article; further information can be obtained from the corresponding authors.
Acknowledgments
Preliminary preparation of roadside agricultural soil samples was carried out at BINA substation in Barishal, Bangladesh, while a portion of the toxic metal analyses was subsequently performed at the Center for Environmental Science (CES), Saitama University, Japan. We acknowledge all the authors for their contribution.
Conflicts of Interest
The authors have no relevant conflict of interest.
References
- Pearson, A.J.; Mukherjee, K.; Fattori, V.; Lipp, M. Opportunities and Challenges for Global Food Safety in Advancing Circular Policies and Practices in Agrifood Systems. npj Sci. Food 2024, 8, 60. [Google Scholar] [CrossRef]
- Rai, P.K.; Lee, S.S.; Zhang, M.; Tsang, Y.F.; Kim, K.-H. Heavy Metals in Food Crops: Health Risks, Fate, Mechanisms, and Management. Environ. Int. 2019, 125, 365–385. [Google Scholar] [CrossRef]
- Chen, H.; Gao, B.; Li, Y. Soil Pollution and Remediation: Emerging Challenges and Innovations. Front. Environ. Sci. 2025, 13, 1606054. [Google Scholar] [CrossRef]
- Bian, J.; Peng, N.; Zhou, Z.; Yang, J.; Wang, X. A Critical Review of Co-Pollution of Microplastics and Heavy Metals in Agricultural Soil Environments. Ecotoxicol. Environ. Saf. 2024, 286, 117248. [Google Scholar] [CrossRef] [PubMed]
- Alengebawy, A.; Abdelkhalek, S.T.; Qureshi, S.R.; Wang, M.-Q. Heavy Metals and Pesticides Toxicity in Agricultural Soil and Plants: Ecological Risks and Human Health Implications. Toxics 2021, 9, 42. [Google Scholar] [CrossRef] [PubMed]
- Rashid, A.; Schutte, B.J.; Ulery, A.; Deyholos, M.K.; Sanogo, S.; Lehnhoff, E.A.; Beck, L. Heavy Metal Contamination in Agricultural Soil: Environmental Pollutants Affecting Crop Health. Agronomy 2023, 13, 1521. [Google Scholar] [CrossRef]
- Hou, D.; Jia, X.; Wang, L.; McGrath, S.P.; Zhu, Y.-G.; Hu, Q.; Zhao, F.-J.; Bank, M.S.; O’Connor, D.; Nriagu, J. Global Soil Pollution by Toxic Metals Threatens Agriculture and Human Health. Science 2025, 388, 316–321. [Google Scholar] [CrossRef]
- Aponte, H.; Meli, P.; Butler, B.; Paolini, J.; Matus, F.; Merino, C.; Cornejo, P.; Kuzyakov, Y. Meta-Analysis of Heavy Metal Effects on Soil Enzyme Activities. Sci. Total Environ. 2020, 737, 139744. [Google Scholar] [CrossRef]
- Adimalla, N.; Chen, J.; Qian, H. Spatial Characteristics of Heavy Metal Contamination and Potential Human Health Risk Assessment of Urban Soils: A Case Study from an Urban Region of South India. Ecotoxicol. Environ. Saf. 2020, 194, 110406. [Google Scholar] [CrossRef]
- Islam, M.S.; Nur-E-Alam, M.; Iqbal, M.A.; Khan, M.B.; Mamun, S.A.; Miah, M.Y.; Rasheduzzaman, M.; Appalasamy, S.; Salam, M.A. Spatial Distribution of Heavy Metal Abundance at Distance Gradients of Roadside Agricultural Soil from the Busiest Highway in Bangladesh: A Multi-Index Integration Approach. Environ. Res. 2024, 250, 118551. [Google Scholar] [CrossRef]
- Islam, S.; Sarker, M.E.; Mohammad, M.; Hoque, M.; Kabir, M.H.; Ahmed, F.T.; Hossain, M.N. Quantification of Heavy Metals Concentration and Assessment of Ecological Health Risk in Roadside Agricultural Land of Dhaka-Aricha Highway, Bangladesh. Iran. J. Earth Sci. 2024, 16, 1–12. [Google Scholar] [CrossRef]
- Angon, P.B.; Islam, M.S.; KC, S.; Das, A.; Anjum, N.; Poudel, A.; Suchi, S.A. Sources, Effects and Present Perspectives of Heavy Metals Contamination: Soil, Plants and Human Food Chain. Heliyon 2024, 10, e28357. [Google Scholar] [CrossRef] [PubMed]
- Hossain Bhuiyan, M.A.; Chandra Karmaker, S.; Bodrud-Doza, M.; Rakib, M.A.; Saha, B.B. Enrichment, Sources and Ecological Risk Mapping of Heavy Metals in Agricultural Soils of Dhaka District Employing SOM, PMF and GIS Methods. Chemosphere 2021, 263, 128339. [Google Scholar] [CrossRef]
- Proshad, R.; Dey, H.C.; Ritu, S.A.; Baroi, A.; Khan, M.S.U.; Islam, M.; Idris, A.M. A Review on Toxic Metal Pollution and Source-Oriented Risk Apportionment in Road Dust of a Highly Polluted Megacity in Bangladesh. Environ. Geochem. Health 2023, 45, 2729–2762. [Google Scholar] [CrossRef]
- Vasilachi, I.C.; Stoleru, V.; Gavrilescu, M. Analysis of Heavy Metal Impacts on Cereal Crop Growth and Development in Contaminated Soils. Agriculture 2023, 13, 1983. [Google Scholar] [CrossRef]
- Perković, S.; Paul, C.; Vasić, F.; Helming, K. Human Health and Soil Health Risks from Heavy Metals, Micro(Nano)Plastics, and Antibiotic Resistant Bacteria in Agricultural Soils. Agronomy 2022, 12, 2945. [Google Scholar] [CrossRef]
- Li, G.; Chi, H.; Hou, Y.; Williams, P.N.; Liu, Z.; Cai, C. Accurate Bioaccessibility Assessment of Soil Heavy Metals by Combining Their Speciation and in Vitro Model with Human Gut Microbiota. Environ. Sci. Eur. 2024, 36, 209. [Google Scholar] [CrossRef]
- Zheng, S.; Wang, Q.; Yuan, Y.; Sun, W. Human Health Risk Assessment of Heavy Metals in Soil and Food Crops in the Pearl River Delta Urban Agglomeration of China. Food Chem. 2020, 316, 126213. [Google Scholar] [CrossRef] [PubMed]
- Tchounwou, P.B.; Yedjou, C.G.; Patlolla, A.K.; Sutton, D.J. Heavy Metal Toxicity and the Environment. In Molecular, Clinical and Environmental Toxicology: Volume 3: Environmental Toxicology; Springer: Berlin/Heidelberg, Germany, 2012; pp. 133–164. [Google Scholar]
- Samma, S.; Khan, M.S.I.; Chowdhury, M.T.I.; Islam, M.A.; Fick, J.; Kaium, A. Evaluating Soil-Vegetable Contamination with Heavy Metals in Bogura, Bangladesh: A Risk Assessment Approach. Environ. Health Insights 2024, 18, 11786302241282601. [Google Scholar] [CrossRef]
- Priya, A.K.; Muruganandam, M.; Ali, S.S.; Kornaros, M. Clean-Up of Heavy Metals from Contaminated Soil by Phytoremediation: A Multidisciplinary and Eco-Friendly Approach. Toxics 2023, 11, 422. [Google Scholar] [CrossRef]
- Shammi, S.A.; Salam, A.; Khan, M.A.H. Assessment of Heavy Metal Pollution in the Agricultural Soils, Plants, and in the Atmospheric Particulate Matter of a Suburban Industrial Region in Dhaka, Bangladesh. Environ. Monit. Assess. 2021, 193, 104. [Google Scholar] [CrossRef]
- Sahen, M.S.; Naim, M.A.H.K.; Hosen, M.S.; Pranta, M.A.; Hasan, M.; Rahman, M.M.; Rahman, S.; Don, A.W. Multi-Compartmental Risk Assessment of Heavy Metal Contamination in Soil, Plants, and Wastewater: A Model from Industrial Gazipur, Bangladesh. Environ. Monit. Assess. 2025, 197, 397. [Google Scholar] [CrossRef] [PubMed]
- Sultana, R.; Tanvir, R.U.; Hussain, K.A.; Chamon, A.S.; Mondol, M.N. Heavy Metals in Commonly Consumed Root and Leafy Vegetables in Dhaka City, Bangladesh, and Assessment of Associated Public Health Risks. Environ. Syst. Res. 2022, 11, 15. [Google Scholar] [CrossRef]
- Islam, M.M.; Karim, M.R.; Zheng, X.; Li, X. Heavy Metal and Metalloid Pollution of Soil, Water and Foods in Bangladesh: A Critical Review. Int. J. Environ. Res. Public Health 2018, 15, 2825. [Google Scholar] [CrossRef]
- Naser, H.M.; Sultana, S.; Gomes, R.; Noor, S. Heavy Metal Pollution of Soil and Vegetable Grown Near Roadside at Gazipur. Bangladesh J. Agric. Res. 2012, 37, 9–17. [Google Scholar] [CrossRef]
- Xu, J.; Wang, S.; Yao, T.; She, X.; Gan, Z. Vertical Distributions and Bioavailabilities of Heavy Metals in Soil in An-Tea Plantations in Qimen County, China. Processes 2022, 10, 664. [Google Scholar] [CrossRef]
- Liu, G.; Xue, W.; Tao, L.; Liu, X.; Hou, J.; Wilton, M.; Gao, D.; Wang, A.; Li, R. Vertical Distribution and Mobility of Heavy Metals in Agricultural Soils along Jishui River Affected by Mining in Jiangxi Province, China. Clean 2014, 42, 1450–1456. [Google Scholar] [CrossRef]
- Hoque, M.A.; Hoque, M.M.; Ahmed, K.M. Declining Groundwater Level and Aquifer Dewatering in Dhaka Metropolitan Area, Bangladesh: Causes and Quantification. Hydrogeol. J. 2007, 15, 1523–1534. [Google Scholar] [CrossRef]
- Sabet Aghlidi, P.; Cheraghi, M.; Lorestani, B.; Sobhanardakani, S.; Merrikhpour, H. Analysis, Spatial Distribution and Ecological Risk Assessment of Arsenic and Some Heavy Metals of Agricultural Soils, Case Study: South of Iran. J. Environ. Health Sci. Eng. 2020, 18, 665–676. [Google Scholar] [CrossRef]
- Huang, B.; Yuan, Z.; Li, D.; Zheng, M.; Nie, X.; Liao, Y. Effects of Soil Particle Size on the Adsorption, Distribution, and Migration Behaviors of Heavy Metal(Loid)s in Soil: A Review. Environ. Sci. Process Impacts 2020, 22, 1596–1615. [Google Scholar] [CrossRef]
- Lanzerstorfer, C. Heavy Metals in the Finest Size Fractions of Road-Deposited Sediments. Environ. Pollut. 2018, 239, 522–531. [Google Scholar] [CrossRef]
- Rana, M.S.; Wang, Q.; Wang, W.; Enyoh, C.E.; Islam, M.R.; Isobe, Y.; Kabir, M.H. Sources, Distribution, and Health Implications of Heavy Metals in Street Dust across Industrial, Capital City, and Peri-Urban Areas of Bangladesh. Atmosphere 2024, 15, 1088. [Google Scholar] [CrossRef]
- Wang, L.; Du, J.; Qiao, Y.; Li, X. Geoaccumulation Index and Enrichment Factor to Assess Heavy Metal Contamination in Estuarine Intertidal Sediments and Their Adjacent Arable Soils in Dalian, Northeastern China. In Proceedings of the 2010 4th International Conference on Bioinformatics and Biomedical Engineering, Chengdu, China, 18–20 June 2010; IEEE: New York, NY, USA, 2010; pp. 1–4. [Google Scholar]
- Rouhani, A.; Bradák, B.; Makki, M.; Ashtiani, B.; Hejcman, M. Ecological Risk Assessment and Human Health Risk Exposure of Heavy Metal Pollution in the Soil around an Open Landfill Site in a Developing Country (Khesht, Iran). Arab. J. Geosci. 2022, 15, 1523. [Google Scholar] [CrossRef]
- Yuan, X.; Xue, N.; Han, Z. A Meta-Analysis of Heavy Metals Pollution in Farmland and Urban Soils in China over the Past 20 Years. J. Environ. Sci. 2021, 101, 217–226. [Google Scholar] [CrossRef] [PubMed]
- Kabata-Pendias, A. Trace Elements in Soils and Plants; CRC Press: Boca Raton, FL, USA, 2010; pp. 343–360. [Google Scholar]
- Hans Wedepohl, K. The Composition of the Continental Crust. Geochim. Cosmochim. Acta 1995, 59, 1217–1232. [Google Scholar] [CrossRef]
- Gope, M.; Masto, R.E.; George, J.; Hoque, R.R.; Balachandran, S. Bioavailability and Health Risk of Some Potentially Toxic Elements (Cd, Cu, Pb and Zn) in Street Dust of Asansol, India. Ecotoxicol. Environ. Saf. 2017, 138, 231–241. [Google Scholar] [CrossRef] [PubMed]
- Ahmad, W.; Alharthy, R.D.; Zubair, M.; Ahmed, M.; Hameed, A.; Rafique, S. Toxic and Heavy Metals Contamination Assessment in Soil and Water to Evaluate Human Health Risk. Sci. Rep. 2021, 11, 17006. [Google Scholar] [CrossRef]
- Hakanson, L. An Ecological Risk Index for Aquatic Pollution Control. A Sedimentological Approach. Water Res. 1980, 14, 975–1001. [Google Scholar] [CrossRef]
- Kamani, H.; Mahvi, A.H.; Seyedsalehi, M.; Jaafari, J.; Hoseini, M.; Safari, G.H.; Dalvand, A.; Aslani, H.; Mirzaei, N.; Ashrafi, S.D. Contamination and Ecological Risk Assessment of Heavy Metals in Street Dust of Tehran, Iran. Int. J. Environ. Sci. Technol. 2017, 14, 2675–2682. [Google Scholar] [CrossRef]
- U.S. Environmental Protection Agency. Supplemental Guidance for Developing Soil Screening Levels for Superfund Sites, Appendix A—Generic SSLs for the Residential and Commercial/Industrial Scenarios; Office of Emergency and Remedial Response: Washington, DC, USA, 2002; p. 9355-4.
- Pan, L.; Wang, Y.; Ma, J.; Hu, Y.; Su, B.; Fang, G.; Wang, L.; Xiang, B. A Review of Heavy Metal Pollution Levels and Health Risk Assessment of Urban Soils in Chinese Cities. Environ. Sci. Pollut. Res. 2018, 25, 1055–1069. [Google Scholar] [CrossRef]
- Wang, J.; Li, S.; Cui, X.; Li, H.; Qian, X.; Wang, C.; Sun, Y. Bioaccessibility, Sources and Health Risk Assessment of Trace Metals in Urban Park Dust in Nanjing, Southeast China. Ecotoxicol. Environ. Saf. 2016, 128, 161–170. [Google Scholar] [CrossRef]
- USEPA. Guidelines for Carcinogen Risk Assessment; US Environmental Protection Agency: Washington, DC, USA, 2005. [Google Scholar]
- U.S. Environmental Protection Agency. Risk Assessment Guidance for Superfund (RAGS) Volume III-Part A: Process for Conducting Probabilistic Risk Assessment, Appendix B; Office of Emergency and Remedial Response US Environmental Protection Agency, III: Washington, DC, USA, 2001; p. 2015-09.
- Li, X.; Poon, C.; Liu, P.S. Heavy Metal Contamination of Urban Soils and Street Dusts in Hong Kong. Appl. Geochem. 2001, 16, 1361–1368. [Google Scholar] [CrossRef]
- U.S. Environmental Protection Agency. Risk Assessment Guidance for Superfund: Pt. A. Human Health Evaluation Manual; Office of Emergency and Remedial Response, US Environmental Protection Agency: Washington, DC, USA, 1989; Volume 1.
- Kurt-Karakus, P.B. Determination of Heavy Metals in Indoor Dust from Istanbul, Turkey: Estimation of the Health Risk. Environ. Int. 2012, 50, 47–55. [Google Scholar] [CrossRef]
- Zheng, N.; Liu, J.; Wang, Q.; Liang, Z. Health Risk Assessment of Heavy Metal Exposure to Street Dust in the Zinc Smelting District, Northeast of China. Sci. Total Environ. 2010, 408, 726–733. [Google Scholar] [CrossRef]
- Ali, M.U.; Liu, G.; Yousaf, B.; Abbas, Q.; Ullah, H.; Munir, M.A.M.; Fu, B. Pollution Characteristics and Human Health Risks of Potentially (Eco)Toxic Elements (PTEs) in Road Dust from Metropolitan Area of Hefei, China. Chemosphere 2017, 181, 111–121. [Google Scholar] [CrossRef]
- Gu, Y.-G.; Lin, Q.; Gao, Y.-P. Metals in Exposed-Lawn Soils from 18 Urban Parks and Its Human Health Implications in Southern China’s Largest City, Guangzhou. J. Clean. Prod. 2016, 115, 122–129. [Google Scholar] [CrossRef]
- Yang, S.; Zhao, J.; Chang, S.X.; Collins, C.; Xu, J.; Liu, X. Status Assessment and Probabilistic Health Risk Modeling of Metals Accumulation in Agriculture Soils across China: A Synthesis. Environ. Int. 2019, 128, 165–174. [Google Scholar] [CrossRef] [PubMed]
- Han, J.; Liang, L.; Zhu, Y.; Xu, X.; Wang, L.; Shang, L.; Wu, P.; Wu, Q.; Qian, X.; Qiu, G.; et al. Heavy Metal(Loid)s in Farmland Soils on the Karst Plateau, Southwest China: An Integrated Analysis of Geochemical Baselines, Source Apportionment, and Associated Health Risk. Land. Degrad. Dev. 2022, 33, 1689–1703. [Google Scholar] [CrossRef]
- Han, Q.; Wang, M.; Cao, J.; Gui, C.; Liu, Y.; He, X.; He, Y.; Liu, Y. Health Risk Assessment and Bioaccessibilities of Heavy Metals for Children in Soil and Dust from Urban Parks and Schools of Jiaozuo, China. Ecotoxicol. Environ. Saf. 2020, 191, 110157. [Google Scholar] [CrossRef]
- Yang, J.; Zhao, Y.; Ruan, X.; Zhang, G. Anthropogenic Contribution and Migration of Soil Heavy Metals in the Vicinity of Typical Highways. Agronomy 2023, 13, 303. [Google Scholar] [CrossRef]
- Bartkowiak, A.; Lemanowicz, J.; Rydlewska, M.; Sowiński, P. The Impact of Proximity to Road Traffic on Heavy Metal Accumulation and Enzyme Activity in Urban Soils and Dandelion. Sustainability 2024, 16, 812. [Google Scholar] [CrossRef]
- Li, X.; Liu, L.; Wang, Y.; Luo, G.; Chen, X.; Yang, X.; Hall, M.H.P.; Guo, R.; Wang, H.; Cui, J.; et al. Heavy Metal Contamination of Urban Soil in an Old Industrial City (Shenyang) in Northeast China. Geoderma 2013, 192, 50–58. [Google Scholar] [CrossRef]
- Wei, B.; Yang, L. A Review of Heavy Metal Contaminations in Urban Soils, Urban Road Dusts and Agricultural Soils from China. Microchem. J. 2010, 94, 99–107. [Google Scholar] [CrossRef]
- Trujillo-González, J.M.; Torres-Mora, M.A.; Keesstra, S.; Brevik, E.C.; Jiménez-Ballesta, R. Heavy Metal Accumulation Related to Population Density in Road Dust Samples Taken from Urban Sites under Different Land Uses. Sci. Total Environ. 2016, 553, 636–642. [Google Scholar] [CrossRef] [PubMed]
- Cai, K.; Li, C. Street Dust Heavy Metal Pollution Source Apportionment and Sustainable Management in A Typical City—Shijiazhuang, China. Int. J. Environ. Res. Public Health 2019, 16, 2625. [Google Scholar] [CrossRef]
- Alloway, B.J. (Ed.) Heavy Metals in Soils: Trace Metals and Metalloids in Soils and Their Bioavailability; Springer: Dordrecht, The Netherlands, 2013; Volume 22, ISBN 978-94-007-4469-1. [Google Scholar]
- Kaur, J.; Bhat, S.A.; Singh, N.; Bhatti, S.S.; Kaur, V.; Katnoria, J.K. Assessment of the Heavy Metal Contamination of Roadside Soils Alongside Buddha Nullah, Ludhiana, (Punjab) India. Int. J. Environ. Res. Public Health 2022, 19, 1596. [Google Scholar] [CrossRef]
- Pan, Y.; Li, X.; Chen, M.; Wang, X.; Leng, Y. Driving Factors and Spatial Patterns of Cobalt in Agricultural Soils of a Karst Area under the Combined Influence of Geology and Agricultural Activities: A Case Study of Zhijin County, China. J. Hazard. Mater. 2025, 496, 139509. [Google Scholar] [CrossRef]
- Monaci, F.; Baroni, D. Spatial Distribution and Ecological Risk of Potentially Toxic Elements in Peri-Urban Soils of a Historically Industrialised Area. Environ. Monit. Assess. 2025, 197, 948. [Google Scholar] [CrossRef] [PubMed]
- Shah, S.H.A.; Sajjad, R.U.; Javed, A.; Habib, U.; Ahmad, F.; Mohamed, A. Geotechnical Investigation and Stabilization of Soils through Limestone Powder at Abbottabad, Khyber-Pakhtunkhwa, Pakistan: A Cost Effective and Sustainable Approach. Front. Earth Sci. 2023, 11, 1243975. [Google Scholar] [CrossRef]
- Proshad, R.; Kormoker, T.; Islam, S.M.; Hanif, M.A.; Chandra, K. Chronic Exposure Assessment of Toxic Elements from Agricultural Soils around the Industrial Areas of Tangail District, Bangladesh. Arch. Agric. Environ. Sci. 2018, 3, 317–336. [Google Scholar] [CrossRef]
- Proshad, R.; Ahmed, S.; Rahman, M.; Kumar, T. Apportionment of Hazardous Elements in Agricultural Soils Around the Vicinity of Brick Kiln in Bangladesh. J. Environ. Anal. Toxicol. 2017, 7, 1000439. [Google Scholar] [CrossRef]
- Xu, C.; Pu, J.; Wen, B.; Xia, M. Potential Ecological Risks of Heavy Metals in Agricultural Soil Alongside Highways and Their Relationship with Landscape. Agriculture 2021, 11, 800. [Google Scholar] [CrossRef]
- Bhatti, S.S.; Bhat, S.A.; Kumar, V.; Kaur, M.; Minakshi; Sambyal, V.; Singh, J.; Vig, A.P.; Nagpal, A.K. Ecological Risk Assessment of Metals in Roadside Agricultural Soils: A Modified Approach. Hum. Ecol. Risk Assess. Int. J. 2018, 24, 186–201. [Google Scholar] [CrossRef]
- Gong, C.; Wang, S.; Wang, D.; Lu, H.; Dong, H.; Liu, J.; Yan, B.; Wang, L. Ecological and Human Health Risk Assessment of Heavy Metal(Loid)s in Agricultural Soil in Hotbed Chives Hometown of Tangchang, Southwest China. Sci. Rep. 2022, 12, 8563. [Google Scholar] [CrossRef]
- Jiang, H.-H.; Cai, L.-M.; Wen, H.-H.; Luo, J. Characterizing Pollution and Source Identification of Heavy Metals in Soils Using Geochemical Baseline and PMF Approach. Sci. Rep. 2020, 10, 6460. [Google Scholar] [CrossRef]
- Kormoker, T.; Proshad, R.; Islam, S.; Ahmed, S.; Chandra, K.; Uddin, M.; Rahman, M. Toxic Metals in Agricultural Soils near the Industrial Areas of Bangladesh: Ecological and Human Health Risk Assessment. Toxin Rev. 2021, 40, 1135–1154. [Google Scholar] [CrossRef]
- Saleem, M.; Pierce, D.; Wang, Y.; Sens, D.A.; Somji, S.; Garrett, S.H. Heavy Metal(Oid)s Contamination and Potential Ecological Risk Assessment in Agricultural Soils. J. Xenobiot. 2024, 14, 634–650. [Google Scholar] [CrossRef]
- Rahman, S.H.; Khanam, D.; Adyel, T.M.; Islam, M.S.; Ahsan, M.A.; Akbor, M.A. Assessment of Heavy Metal Contamination of Agricultural Soil around Dhaka Export Processing Zone (DEPZ), Bangladesh: Implication of Seasonal Variation and Indices. Appl. Sci. 2012, 2, 584–601. [Google Scholar] [CrossRef]
- Ivy, N.; Mukherjee, T.; Bhattacharya, S.; Ghosh, A.; Sharma, P. Arsenic Contamination in Groundwater and Food Chain with Mitigation Options in Bengal Delta with Special Reference to Bangladesh. Environ. Geochem. Health 2023, 45, 1261–1287. [Google Scholar] [CrossRef]
- Zakir, H.M.; Sultana, N.; Akter, M. Heavy Metal Contamination in Roadside Soils and Grasses: A Case Study from Dhaka City, Bangladesh. J. Chem. Biol. Phys. Sci. (JCBPS) 2014, 4, 1661. [Google Scholar]
- Al Mamun, S.; Saha, S.; Ferdush, J.; Tusher, T.R.; Abu-Sharif, M.; Alam, M.F.; Balks, M.R.; Parveen, Z. Cadmium Contamination in Agricultural Soils of Bangladesh and Management by Application of Organic Amendments: Evaluation of Field Assessment and Pot Experiments. Environ. Geochem. Health 2021, 43, 3557–3582. [Google Scholar] [CrossRef]
- Hossain, S.; Latifa, G.A.; Prianqa; Al Nayeem, A. Review of Cadmium Pollution in Bangladesh. J. Health Pollut. 2019, 9, 190913. [Google Scholar] [CrossRef] [PubMed]
- Anwar, A.; Mezbah Uddin, A.H.M.; Hasan, M.S.; Parvez, M.S.; Sipos, B.; Bibi, D.; Sajtos, Z.; Tótmérész, B.; Magura, T.; Simon, E. Assessment of Anthropogenic Activities Impact Based on Metals in Soil and Tree Leaves along Roadside in Bangladesh. Sci. Rep. 2025, 15, 6960. [Google Scholar] [CrossRef] [PubMed]
- Li, W.; Cao, X.; Hu, Y.; Cheng, H. Source Apportionment and Risk Assessment of Heavy Metals in Agricultural Soils in a Typical Mining and Smelting Industrial Area. Sustainability 2024, 16, 1673. [Google Scholar] [CrossRef]
- Chakraborty, T.K.; Islam, M.S.; Ghosh, G.C.; Ghosh, P.; Zaman, S.; Hossain, M.R.; Habib, A.; Nice, M.S.; Rahman, M.S.; Islam, K.R.; et al. Receptor Model-Based Sources and Risks Appraisal of Potentially Toxic Elements in the Urban Soils of Bangladesh. Toxicol. Rep. 2023, 10, 308–319. [Google Scholar] [CrossRef]
- Chabukdhara, M.; Nema, A.K. Heavy Metals Assessment in Urban Soil around Industrial Clusters in Ghaziabad, India: Probabilistic Health Risk Approach. Ecotoxicol. Environ. Saf. 2013, 87, 57–64. [Google Scholar] [CrossRef]
- Chakraborty, M.; Rahat, M.M.R.; Choudhury, T.R.; Nigar, R.; Liu, G.; Habib, A. Heavy Metal Contamination and Health Risk Assessment of Road Dust from Landfills in Dhaka-Narayanganj, Bangladesh. Emerg. Contam. 2024, 10, 100278. [Google Scholar] [CrossRef]
- Qi, D.; Chen, H.; Hu, L.; Sun, J. Multimethod Analysis of Heavy Metal Pollution and Source Apportionment in a Southeastern Chinese Region. Appl. Sci. 2024, 14, 10559. [Google Scholar] [CrossRef]
- Hou, D.; O’Connor, D.; Nathanail, P.; Tian, L.; Ma, Y. Integrated GIS and Multivariate Statistical Analysis for Regional Scale Assessment of Heavy Metal Soil Contamination: A Critical Review. Environ. Pollut. 2017, 231, 1188–1200. [Google Scholar] [CrossRef]
- Qiutong, X.; Mingkui, Z. Source Identification and Exchangeability of Heavy Metals Accumulated in Vegetable Soils in the Coastal Plain of Eastern Zhejiang Province, China. Ecotoxicol. Environ. Saf. 2017, 142, 410–416. [Google Scholar] [CrossRef]
- Zhang, H.; Cai, A.; Wang, X.; Wang, L.; Wang, Q.; Wu, X.; Ma, Y. Risk Assessment and Source Apportionment of Heavy Metals in Soils from Handan City. Appl. Sci. 2021, 11, 9615. [Google Scholar] [CrossRef]
- Hanfi, M.Y.; Yarmoshenko, I.V. Health Risk Assessment Quantification from Heavy Metals Contamination in the Urban Soil and Urban Surface Deposited Sediment. J. Taibah Univ. Sci. 2020, 14, 285–293. [Google Scholar] [CrossRef]
- Ayaz, H.; Nawaz, R.; Nasim, I.; Irshad, M.A.; Irfan, A.; Khurshid, I.; Okla, M.K.; Wondmie, G.F.; Ahmed, Z.; Bourhia, M. Comprehensive Human Health Risk Assessment of Heavy Metal Contamination in Urban Soils: Insights from Selected Metropolitan Zones. Front. Environ. Sci. 2023, 11, 1260317. [Google Scholar] [CrossRef]
- Panqing, Y.; Abliz, A.; Xiaoli, S.; Aisaiduli, H. Human Health-Risk Assessment of Heavy Metal–Contaminated Soil Based on Monte Carlo Simulation. Sci. Rep. 2023, 13, 7033. [Google Scholar] [CrossRef] [PubMed]
- Chaithanya, M.S.; Das, B.; Vidya, R. Distribution, Chemical Speciation and Human Health Risk Assessment of Metals in Soil Particle Size Fractions from an Industrial Area. J. Hazard. Mater. Adv. 2023, 9, 100237. [Google Scholar] [CrossRef]
- Wang, X.; Xu, F.; Gui, Y.; Liu, Y. Enhancing Health Risk Assessment for Soil Heavy Metal (Loid)s Using a Copula-Based Monte Carlo Simulation Method. Ecotoxicol. Environ. Saf. 2025, 300, 118419. [Google Scholar] [CrossRef]
- Wu, Y.; Xia, Y.; Mu, L.; Liu, W.; Wang, Q.; Su, T.; Yang, Q.; Milinga, A.; Zhang, Y. Health Risk Assessment of Heavy Metals in Agricultural Soils Based on Multi-Receptor Modeling Combined with Monte Carlo Simulation. Toxics 2024, 12, 643. [Google Scholar] [CrossRef]
- Miletić, A.; Lučić, M.; Onjia, A. Exposure Factors in Health Risk Assessment of Heavy Metal(Loid)s in Soil and Sediment. Metals 2023, 13, 1266. [Google Scholar] [CrossRef]
- Abd Elnabi, M.K.; Elkaliny, N.E.; Elyazied, M.M.; Azab, S.H.; Elkhalifa, S.A.; Elmasry, S.; Mouhamed, M.S.; Shalamesh, E.M.; Alhorieny, N.A.; Abd Elaty, A.E.; et al. Toxicity of Heavy Metals and Recent Advances in Their Removal: A Review. Toxics 2023, 11, 580. [Google Scholar] [CrossRef] [PubMed]
- Mizan, A.; Mamun, M.A.H.; Islam, M.S. Metal Contamination in Soil and Vegetables around Savar Tannery Area, Dhaka, Bangladesh: A Preliminary Study for Risk Assessment. Heliyon 2023, 9, e13856. [Google Scholar] [CrossRef]
- Shi, P.; Xiao, J.; Wang, Y.; Chen, L. Assessment of Ecological and Human Health Risks of Heavy Metal Contamination in Agriculture Soils Disturbed by Pipeline Construction. Int. J. Environ. Res. Public Health 2014, 11, 2504–2520. [Google Scholar] [CrossRef]
- Kuang, Y.; Chen, X.; Zhu, C. Characteristics of Soil Heavy Metal Pollution and Health Risks in Chenzhou City. Processes 2024, 12, 623. [Google Scholar] [CrossRef]
- Chen, S.; Han, L.; Wu, Y.; Liu, X.; Liu, C.; Liu, Y.; Li, H.; Li, J. Health Risk Assessment of Road-Dust-Bound Heavy Metals via Ingestion Exposure from One Typical Inland City of Northern China: Incorporation of Sources and Bioaccessibility. Sustainability 2024, 16, 6550. [Google Scholar] [CrossRef]
- Papadopoulos, I.; Golia, E.E.; Kantzou, O.-D.; Papadimou, S.G.; Bourliva, A. Exploring Heavy Metals Exposure in Urban Green Zones of Thessaloniki (Northern Greece): Risks to Soil and People’s Health. Toxics 2025, 13, 632. [Google Scholar] [CrossRef]
- Hu, Q.; Zhang, C.; Chen, Y.; Pei, N.; Zhao, Y.; Sun, L.; Lan, J.; Liu, F.; Guo, Z.; Mu, L.; et al. Concentration Characteristics, Source Analysis, and Health Risk Assessment of Water-Soluble Heavy Metals in PM2.5 During Winter in Taiyuan, China. Atmosphere 2025, 16, 980. [Google Scholar] [CrossRef]
- Zhao, S.; Zhang, X.; Wang, J.; Lin, J.; Cao, D.; Zhu, M. Carcinogenic and Non-Carcinogenic Health Risk Assessment of Organic Compounds and Heavy Metals in Electronic Cigarettes. Sci. Rep. 2023, 13, 16046. [Google Scholar] [CrossRef] [PubMed]
- Jin, X.; Tong, X.; Hua, S.; Xu, Y. Ecological and Health Risk Assessment of Soil Heavy Metal Contamination Along National Highway 107 in China. Ecol. Chem. Eng. 2024, 31, 155–175. [Google Scholar] [CrossRef]
- Shen, C.; Wang, M.; Su, J.; Sun, H.; Hu, W.; Lin, K.; Wu, J.; Liu, F.; Chen, X.; Sha, C. Characteristics, Source Apportionment, and Health Risk of Heavy Metals in the Soils of Peri-Urban Shanghai Chongming Island. ACS Omega 2024, 9, 42734–42745. [Google Scholar] [CrossRef]
Disclaimer/Publisher’s Note: The statements, opinions and data contained in all publications are solely those of the individual author(s) and contributor(s) and not of MDPI and/or the editor(s). MDPI and/or the editor(s) disclaim responsibility for any injury to people or property resulting from any ideas, methods, instructions or products referred to in the content. |
© 2025 by the authors. Licensee MDPI, Basel, Switzerland. This article is an open access article distributed under the terms and conditions of the Creative Commons Attribution (CC BY) license (https://creativecommons.org/licenses/by/4.0/).







