Abstract
Vegetation coverage in the upper reaches of the Yangtze River is very important to the ecological balance in this area, and it also has an impact on the inflow runoff and sediment transport processes of the Three Gorges Reservoir. Based on the normalized vegetation index data (NDVI) with 250 m resolution in the upper reaches of the Yangtze River, annual runoff, sediment transport, land use, meteorology, and other data—and by using the methods of Sen + Mann–Kendall trend analysis, partial correlation analysis, and Hurst index—this paper analyzes the temporal and spatial variation characteristics, driving factors, and the influence on the water and sediment inflow processes of the Three Gorges Reservoir in each sub-basin in the upper reaches of the Yangtze River. The results show that (1) NDVI in the upper Yangtze River showed a fluctuating upward trend from 2001 to 2022, and the overall vegetation cover continued to increase, showing a spatial pattern of low in the west and high in the east. At the same time, the runoff volume of the upper reaches of the Yangtze River did not show a significant upward trend from 2006 to 2022, while the sand transport decreased significantly; (2) Among the NDVI-influencing factors in the upper reaches of the Yangtze River, the area driven by the land use factor accounts for about 43% of the whole study area, followed by precipitation; (3) Precipitation significantly affected runoff, and NDVI was negatively correlated with sand transport in most of the watersheds, suggesting that improved vegetation could help reduce sediment loss. In addition, the future trend of vegetation change was predicted to be dominated by improvement (Hurst > 0.5) based on the Hurst index, which will provide a reference for the NDVI change in the upper Yangtze River and the prediction of sediment inflow to the Three Gorges Reservoir.
1. Introduction
Vegetation, as an important link between the atmosphere and the geosphere, is formed as a result of the long-term interaction of climate change, human activities, and topographic factors [1,2,3]. It occupies a central position in terrestrial ecosystems and plays a key role in hydrological cycles, climate regulation, and terrestrial energy exchange [4]. As an important indicator for monitoring the changes in ecosystems and regional vegetation, the normalized vegetation index (NDVI) can effectively quantify the regional vegetation cover and vegetation growth [5]. Monitoring the dynamic changes in vegetation and exploring the driving factors are becoming hot research topics worldwide [6].
As the largest and most important river basin in China, the Yangtze River Basin shoulders important ecological and economic functions [7]. However, with the rapid development of society and economy, the problems of soil erosion and sedimentation have become more and more serious, especially in the upper reaches of the Yangtze River, where the area of soil erosion is about 229,000 km2, which has become one of the most serious areas of soil erosion in China [8]. The Three Gorges Reservoir, as a functional hub in the Yangtze River Basin, is mainly used for flood control, power generation, and navigation. The large amount of sediment brought by the upstream basin of the Yangtze River and deposited in front of the dam will seriously encroach on the flood control capacity of the Three Gorges Reservoir, reduce the reservoir’s regulating capacity, affect power generation, and, in serious cases, cause obstruction to navigation [9,10,11]. In recent years, many scholars have studied the watershed water–sand processes and their drivers. Shao [12] and Yan et al. [13] analyzed the reasons for the changes in runoff and sand transport in the study area, and concluded that the main drivers for the reduction in runoff and sand transport are human activities and climate change. Wang et al. [14] quantified the synergistic effects of climate and human activities on sediment runoff in the Yangtze River Basin, and the results showed that the drivers of basin runoff changes were dominated by human activities, while the changes in sand transport were mainly driven by the basin’s sand production capacity. Han Yong et al. [15] studied the characteristics of sub-flood water and sand changes in the Qiaobagou watershed under the condition of large-scale vegetation restoration in the Loess Plateau, and the results showed that large-scale vegetation restoration plays a significant role in regulating sub-flood sand transport in typical watersheds in the Loess Plateau. Zhang Huiyong [16] and others studied the influence of extreme rainfall and vegetation restoration on the water–sand connectivity of the basin and the ability to characterize the potential of sand transport, and the study showed that the sediment connectivity of the Yanhe River Basin had a highly negative correlation with the mean NDVI and that the sediment connectivity was significantly affected by the vegetation. Liu et al. [17], through the analysis of the precipitation characteristics of the Daning River Basin and the influence of the vegetation on the runoff sediment, concluded that, in the more than 25 mm daily precipitation trend, the vegetation cover improved significantly, the surface runoff sand-holding capacity was reduced, and the total amount was significantly reduced. Hou et al. [18] used a distributed hydrological model to simulate the response of the Jialing River Basin to changes in climate and vegetation under different discharge scenarios, and concluded that changes in vegetation affect soil erosion, which in turn drives changes in the hydrological processes of the basin. Zhou et al. [19] investigated sedimentation in the Jialing River Basin of the Yangtze River; they found that the flux reduction was distinguished by multiple controlling effects, and concluded that the reduction in sediment flux in the watershed is mainly due to damming, climate change, and vegetation restoration. The above studies show that vegetation restoration can significantly influence watershed water–sediment evolution. This finding is also true in other regions of the world, such as the Nile River Basin in Africa [20] and the Amazon River Basin in South America [21], where vegetation restoration also significantly affects watershed water–sand connectivity and sand transport. The global impacts of vegetation restoration have been widely recognized, but the detailed mechanisms of its action in specific regions still need further in-depth study.
Since the implementation of the “Changzhi Project”, the vegetation cover in the upper reaches of the Yangtze River, including the Three Gorges Reservoir, has been significantly increased [22]. However, systematic studies are still needed to investigate the spatial and temporal evolution of NDVI and its driving mechanism, as well as the role of vegetation cover changes in regulating hydrological sediment processes in the watershed, especially the quantitative influence of vegetation restoration on the fluxes of water and sand entering the Three Gorges Reservoir.
Therefore, this study analyzes climate change based on the 2001–2022 multi-year NDVI of the Upper Yangtze River Basin, combined with rainfall, air temperature, 2001–2022 water–sand data, and multi-period land use, using Sen + Mann–Kendall trend analysis, bias correlation analysis, coefficient of variation, Hurst index, and Pearson correlation analysis. By determining the impact of land use and other factors on vegetation changes, we comprehensively analyze the water–sand sequence trends in different sub-basins and the spatial and temporal trends in the vegetation in the upper Yangtze River, and then select five hydrological stations, namely, Xiangjiaba, Yichang, Gaochang, Beibei, and Wulong, to analyze the impacts of vegetation changes and precipitation on the runoff into the reservoirs and the amount of sand transported in the various basins. Based on the perspective of vegetation cover, this study analyzes the influence of NDVI changes in the upper reaches of the Yangtze River on the inflow runoff and sand transport process of the Three Gorges Reservoir, with a view to providing a reference for the restoration of vegetation in the upper reaches of the Yangtze River and the analysis of the sediment inflow to the Three Gorges Reservoir.
2. Materials and Methods
2.1. Study Area
The Yangtze River is the largest river in China and Asia, and the third-largest river in the world. As the largest and most important river basin in China, the Yangtze River Basin shoulders important ecological and economic functions [7]. The study area of this paper is the upper Yangtze River Basin, with latitude and longitude 90° E~112°30′ E and 25° N~35°54′ N (Figure 1), which is 4504 km long, controlling a basin area of 1,000,000 square kilometers, with large drop, deep canyons and turbulent flow. The main tributaries are the Yalong River, the Minjiang River, the Tuojiang River, the Jialing River, and the Wujiang River. The region is characterized by a subtropical monsoon climate, and the river basin has the most important ecological and economic functions. The region belongs to the subtropical monsoon climate and plateau monsoon climate: hot and humid in summer, cold and dry in winter. Due to the complex topography, climate change is large, and the temperature in high-altitude areas is significantly lower than that in low-altitude areas. Precipitation is mainly concentrated in the summer months, especially from June to August, when there is more rainfall because it is the rainy season [23]. Vegetation types are abundant, including savanna, grassland and meadow, coniferous forest area, deciduous broad-leaved forest area, mixed forest, etc. With the implementation of a series of ecological projects, the vegetation condition has improved, but the ecological environment of the region is still very fragile, natural disasters occur frequently, and the ecological problems are still significant [24]. In this paper, the upper Yangtze River region is divided into Jinsha River Basin, Min-Tuo River Basin, Jialing River Basin, Wujiang River Basin, and Three Gorges Reservoir Basin, according to the natural watersheds.
Figure 1.
Schematic diagram of the location, scope, and terrain of the research area.
2.2. Data Sources
The normalized vegetation index (NDVI) data used in this study were obtained from the MODIS MOD13Q1 V6.1 product, a dataset provided by the National Aeronautics and Space Administration (NASA) (https://ladsweb.modaps.eosdis.nasa.gov/). The quality control layer (QA layer) in the MOD13Q1 product applies a cloud mask to the data to remove the effects of cloud cover. Small amounts of missing data due to cloud removal are filled in using an averaging or interpolation of neighboring pixels. The temporal range of the data used in this study was from 2001 to 2022; its temporal resolution was set at 16 days and its spatial resolution at 250 m. The annual NDVI values were calculated by the maximum value compositing (MVC) method, followed by a spatial rasterization of the data for each year using ArcGIS 10.8.2 software. After completing the steps of projection transformation, study area boundary masking, and resampling, the resolution was finally adjusted to 1 km. The projection coordinate system used was the UTM projection. As a result, the year-by-year NDVI images of the Upper Yangtze River Basin from 2001 to 2022 were obtained. Unless otherwise stated, the NDVI mentioned in this paper is based on the annual values derived from the maximum value compositing (MVC) method.
The 2001–2022 land use data were obtained from the MODIS (Moderate Resolution Imaging Spectroradiometer) MCD12Q1 V6.1 product, a dataset that combines moderate-resolution reflectance data from the NASA Terra and Aqua satellites to provide information on land cover types on a global scale. It corrects for differences in the sensor’s response to different observing conditions, ensuring that data possess radiometric consistency, eliminating the effects of atmospheric scattering and absorption on reflectance measurements and improving the accuracy of surface reflectance. The land type was selected as LC_Type1, and the spatial resolution was 500 m. The data were also processed by ArcGIS 10.8.2 for each year to analyze the impact of land use change on NDVI.
The temperature and annual precipitation raster data were obtained from the National Tibetan Plateau Scientific Data Center (China 1-km resolution month-by-month precipitation dataset (1901–2022) and China 1-km resolution month-by-month mean air temperature dataset (1901–2022)); the data were processed using ArcGIS 10.8.2, and then bias-correlation analyses were performed using MATLAB R2022b software.
The annual runoff volume into the reservoir as well as the annual sand transport data were obtained from the Yangtze River Water Conservancy Network (http://www.cjw.gov.cn/zwzc/zjgb/, accessed on 25 November 2024) and five major hydrological stations, namely, Pingshan (water and sand data from Xiangjiaba hydrological station were used for Pingshan station from 2012 to 2016), Yichang, Gaochang, Beibei, and Wulong, which are located in the core areas of the Jinsha River basin, the Min-Tuo River basin, the Jialing River basin, and the Wujiang River basin. These stations are not only evenly distributed, but also located in the important positions of the basins, with high data quality, strictly corrected data, and long-term continuous observation records, which can provide reliable time-series data for hydrological change analysis at the basin scale. However, it is important to note that differences in geography, climate, and human activities in the sub-basins may have different impacts on hydrological processes; therefore, these potential regional biases should be considered in future analyses with the time series 2006–2022 for analyzing the impact of vegetation changes on runoff water and sand. The annual precipitation 2006–2022 time-series data were obtained from the Climate Hazards Center Infrared Precipitation and Station Data (CHIRPS).
2.3. Research Methods
2.3.1. Sen + Mann–Kendall Significance Tests
The Theil–Sen median method, also known as Sen slope estimation, belongs to the category of nonparametric statistical trend analysis methods. The method has high computational efficiency, is more resistant to outliers, and is more robust compared to slope analysis. In view of this, the method has been widely used in trend analysis of long time-series data, especially in the fields of vegetation, hydrology, and climate change characterization [25]. Its calculation formula is as follows:
where and are the data for year i or j in the NDVI time series; Median indicates the median value; and is the median value of the slopes of all data pairs (if > 0, this reflects an increasing trend for NDVI in this time series; conversely, it is a decreasing trend). The significance of the trend was tested by the Mann–Kendall method. The formula is
with
where Z represents the standardized test statistic; S is the original test statistic; VAR(S) is the variance; sgn denotes the sign function; and are the sample time-series data; and n is the total number of observations in the time series. Assuming that a two-sided trend test is conducted, the original hypothesis is rejected when |Z| > Z1−α/2 at the pre-determined significance level α. Z1−α/2 is the critical value corresponding to the confidence level α in the distribution table of the standard normal distribution function. When |Z| ≥ 2.58 or |Z| ≥ 1.96, the trend passes the significance test at 99% or 95% confidence levels; the former is highly significant and the latter is significant. |Z| < 1.96 indicates that the trend is not significant.
Based on the and |Z| values, trends were categorized into six classes [26], covering highly significant degradation/improvement, significant degradation/improvement, and insignificant degradation/improvement (Table 1).
Table 1.
Grading of Change Trends.
2.3.2. Partial Correlation Analysis
Partial correlation analysis (PCA) is a statistical method designed to assess the linear association between two variables while excluding interference from other variables. The Earth system is a complex system of multiple factors, and changes in any single element may trigger corresponding changes in other elements. In this context, partial correlation analysis can effectively address this challenge [27]. In this paper, the second-order partial correlation is used to analyze the effects of temperature, precipitation, and land use on the changes in vegetation NDVI, and the first-order partial correlation is used to analyze the degree of partial correlation between the annual runoff into the reservoir, the annual sand transport and precipitation, and the vegetation NDVI. The expression of the second-order partial correlation analysis is (the same as the first-order) [28]
where is the second-order partial correlation coefficient of x and y after the control variables z and λ; > 0 is positively correlated, and < 0 is negatively correlated. The significance of partial correlation coefficients was tested using t-test.
2.3.3. Coefficient of Variation
The coefficient of variation (CV) is a statistical measure of the degree of dispersion of numerical data, which represents the ratio of the standard deviation to the mean, usually expressed as a percentage. The coefficient of variation can help to compare the degree of dispersion between different data sets or variables, regardless of their scale. Its value is calculated as
where Cv denotes coefficient of variation; denotes sample standard deviation; and denotes sample mean. According to previous research results [7], we can classify the coefficient of variation into five different levels to reflect the degree of fluctuation in the data: low fluctuation change (Cv ≤ 0.05), lower fluctuation change (0.05 < Cv ≤ 0.10), medium fluctuation change (0.10 < Cv ≤ 0.15), higher fluctuation change (0.15 < Cv ≤ 0.20), high fluctuation change (Cv > 0.20).
2.3.4. Pearson Correlation Coefficient
In natural science research, the Pearson correlation coefficient is widely used to assess the correlation between two variables [29,30,31], with values ranging from −1 to 1. The coefficient was developed by Carl Pearson from a similar concept proposed by Francis Galton in the 1880s and is often referred to as the “Pearson product-moment correlation coefficient”. The formula is as follows [7]:
where is the covariance of x and y; is the variance of x; and is the variance of y. is the correlation coefficient in Pearson’s correlation test. When the correlation coefficient is 1, this means that the variables x and y are completely positively correlated; on the contrary, if is −1, this means that the variables x and y are completely negatively correlated. If is close to 0, this means that the correlation between the variables x and y is weaker.
2.3.5. Hurst Index
The Hurst index originated from a pioneering study by British hydrologists and was later optimized by Mandelbrot and Wallis. It is mainly used to analyze the long-term evolutionary persistence presented by time-series data. The index has been widely used in various research fields such as hydrology, climatology, and vegetation [32]. The Hurst index helps to reveal the long-term evolutionary dynamics of time-series data and predicts the stability of future trends. The process of its calculation method is as follows:
For the time series NDVIt, t = 1, 2, 3, …, n, define its mean sequence:
Cumulative deviation calculation:
Calculation of extreme deviation:
Calculation of standard deviation:
Calculation of the Hurst Index:
Fitting a straight line to obtain the Hurst index:
where c represents the relationship constant, H denotes the Hurst index, and a is the intercept. The value of Hurst index ranges between 0 and 1. When 0.6 < H ≤ 1, this indicates that the future change trend will continue the pattern from the past, showing a strong homoscedastic continuity; the closer the value of H is to 1, the more significant the continuity. In the range of 0.5 < H ≤ 0.6, the future change trend is still similar to that from the past, but it shows a weaker homoscedastic continuity; when H is equal to 0.5, this indicates that the change in the time series shows a stochastic characteristic. In the range of 0 ≤ H < 0.4, the future trend shows a strong inverse continuity with the past: the closer the H value is to 0, the more obvious the inversion. A range of 0.4 ≤ H < 0.5 indicates that there is a weak inverse continuity between the future trend and the past [33]. By combining the results of analyzing the NDVI trend and Hurst index, the future direction of vegetation change can be effectively judged.
3. Results
3.1. Characteristics of Spatial and Temporal Variations of NDVI in Different Watersheds
3.1.1. Time-Varying Characteristics
Statistics on the NDVI values of each watershed in the upper Yangtze River region from 2001 to 2022 show that the annual NDVI values of each watershed show a fluctuating upward trend (Figure 2) and the NDVI of the whole study area increases at a rate of 0.0018/a (p < 0.01). The annual NDVI value of the Jinsha River basin is the lowest, remaining between 0.53 and 0.59. Although the vegetation condition continues to improve with the implementation of a series of ecological projects, the ecological problems in the upper reaches of the Yangtze River are still prominent [24]. Among them, the Jialing River basin, the Three Gorges Reservoir Basin, and the Wujiang River Basin have the highest annual NDVI values, and the NDVI value of the Jialing River Basin increases from 0.72 in 2001 to 0.79 in 2022, a rise of 9%. In the Three Gorges Reservoir Basin, NDVI varied from 0.73 to 0.80. In the Wujiang River Basin, the NDVI value increased by 9% from 0.72 in 2001 to 0.79 in 2022 (Table 2), and the overall vegetation cover was stable.
Figure 2.
Annual variation of NDVI in various basins in the upper reaches of the Yangtze River from 2001 to 2022.
Table 2.
NDVI values in various basins in the upper reaches of the Yangtze River from 2001 to 2022.
3.1.2. Characteristics of Spatial Variation
The spatial distribution of NDVI in the upper reaches of the Yangtze River from 2001 to 2022 is shown in Figure 3. Based on the actual situation, this study utilized the equal-interval method to classify the spatial distribution of NDVI into five types: low vegetation cover (0 < NDVI ≤ 0.2), medium–low vegetation cover (0.2 < NDVI ≤ 0.4), medium vegetation cover (0.4 < NDVI ≤ 0.6), medium–high vegetation cover (0.6 < NDVI ≤ 0.8), and high vegetation cover (0.8 < NDVI ≤ 1.0). The overall condition of NDVI in the region is good, with a mean value of 0.7, and the overall trend is increasing from northwest to southeast. Low vegetation cover is mainly concentrated in the Jinsha River basin, which includes the eastern part of the Tibetan Plateau and the Hengduan Mountains area, where the ecological environment is affected by the high altitude and the cold and dry climate, so the vegetation is relatively sparse. Compared to the western plateau, the eastern and southern reaches of the Yangtze River are characterized by a humid climate, abundant water resources, fertile soils, and less human interference, all of which combine to produce a relatively good vegetation cover.
Figure 3.
Spatial distribution of NDVI in the Upper Yangtze River Basin from 2001 to 2022.
Combining the annual maximum NDVI data of the study area from 2001 to 2022, the corresponding data were imported using MATLAB, and the spatial trend of NDVI in the study area was obtained based on the Sen + Mann–Kendall trend analysis method (Figure 4). It was found that the study area as a whole was dominated by an improving trend, with an area share of 78%, which was mainly concentrated in the Jialing River basin, most of the basins in the Three Gorges Reservoir area, and the Wujiang River basin. The degradation trend was dominated by the Jinsha River Basin and the Sichuan Basin area in the Min-Tuo River Basin, accounting for 22% of the area. Overall, the area of improvement in the upper reaches of the Yangtze River is much larger than the area of degradation, and the overall state of vegetation cover shows a trend of continuous improvement.
Figure 4.
Significance of spatial variation in NDVI in the Upper Yangtze River Basin from 2001 to 2022.
3.1.3. Characterization of Spatial Fluctuations
The analysis of spatial variability in NDVI data in the Yangtze River Basin from 2001 to 2022 showed that the vegetation dynamics in the study area were characterized by significant spatial heterogeneity (Figure 5). From the viewpoint of spatial distribution pattern, the coefficient of variation for NDVI in the study area ranged from 0 to 3.004, and the overall spatial distribution pattern of “high and low fluctuations coexist, low fluctuations dominate, and regional differentiation is significant” was presented. Among them, the low-fluctuation area (52%) and the relatively low-fluctuation area (36%) were mainly distributed in the lower reaches of Jinsha River, the southern part of Min-Tuo River, and the northern part of Jialing River Basin in the Longnan Mountains. The vegetation cover in these areas remained relatively stable thanks to the barrier effect of the mountainous terrain. It is worth noting that the higher-fluctuation area and the high-fluctuation area show significant spatial coupling characteristics with the river system, and its distribution pattern is closely related to the inter-annual flow changes of tributaries [34]. At the same time, there are also sporadic distributions around the built-up areas of the city and near the snow line of the high mountains; the latter is mainly affected by the changes in the snow line, with an area proportion of about 4%.
Figure 5.
Spatial fluctuation of annual NDVI in the Upper Yangtze River Basin from 2001 to 2022.
3.2. Trend Analysis of Water–Sediment Sequences in Different Sub-Basins
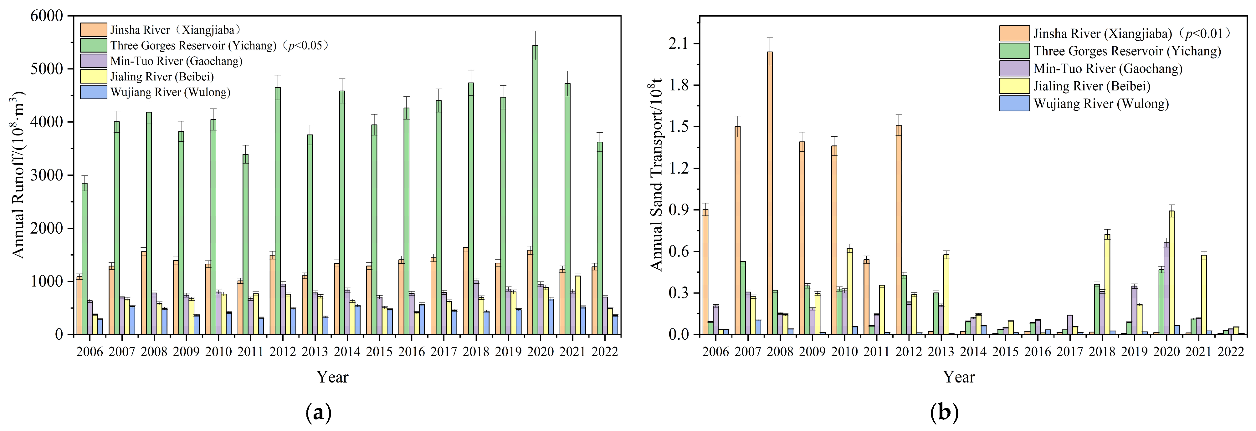
Based on the hydrological observation data of the Yangtze River Basin from 2006 to 2022 (Figure 6), the analysis shows that the annual runoff volume of each sub-basin generally shows a non-significant increase, with the Three Gorges Reservoir area leading the way in terms of average annual runoff volume, which is significantly higher than that of other regions. In terms of sand transport, the Jinsha River basin was always in the leading position before 2013, but with the commissioning of the Xiangjiaba and Luoxidu power stations, the backbone of the “West-East Electricity Transmission”, upstream from the Pingshan Station in 2012 and 2013 [35], respectively, their sand retention effect has been enhanced significantly, and they have become the key driving factors influencing the evolution of water and sand in the lower reaches of the Jinsha River [36,37]. Statistical analysis of the runoff and sand transport in each sub-basin during the study period by the M-K trend test showed that only the runoff in the Three Gorges Reservoir area showed a significant change (p < 0.05), while the sand transport in the Jinsha River showed a significant downward trend (p < 0.01); the rest of the basins did not reach the level of significance.
Figure 6.
Interannual variability of runoff (a) and sand transport (b) in the Yangtze River Basin. Error bars indicate percentage of data for each year (5%).
3.3. Analysis of NDVI Drivers
3.3.1. Relationship Between NDVI and Annual Precipitation
As can be seen in Figure 7, the Pearson correlation coefficients between annual NDVI and precipitation in the upper Yangtze River Basin range from −0.883 to 0.913, and NDVI shows a positive correlation with annual precipitation in the upper part of the Jinsha River basin, most of the Jialing River basin, most of the Wujiang River, and the main part of the Three Gorges Reservoir area, which cover a total area of about 74% of the study area. Comparatively, NDVI and annual precipitation in the Min-Tuo River basin and the lower Jinsha River show negative or no significant correlation, covering an area of about 26% of the study area. The average correlation coefficient between NDVI and annual precipitation in the upper Yangtze River Basin was 0.166, showing a positive correlation trend, indicating that precipitation changes in the last 22 years have promoted the growth of vegetation in the region. After the significance test of the correlation coefficients, it was found that about 20% of the regions passed the significance test of p < 0.05, of which 8% passed the test of p < 0.01. These regions were mainly concentrated in the positive correlation portion, which further verified the positive effect of precipitation changes on the growth of vegetation.
Figure 7.
Spatial distribution of NDVI and precipitation correlation coefficients (a) and correlation coefficients significance (b) in the upper Yangtze River Basin from 2001 to 2022.
3.3.2. Impact of Land-Use Change on NDVI
The various types of land use in the Upper Yangtze River Basin in 2001, 2010, and 2022 are shown in Figure 8. The results of the study show that the land use types in the basin mainly include grassland, woody prairie, savanna, farmland, mixed forest, cropland, deciduous broad-leaved forest, and evergreen broad-leaved forest, which together account for 97% of the study area. Among these, the grasslands are mainly concentrated in the Jinsha River basin and the upper reaches of the Min-Tuo River, accounting for about 33% to 34% of the total area of the study area. Woody prairie and savanna, on the other hand, are mainly located in the southeastern part of the study area, covering 31% to 36% of the total area of the watershed. Cultivated land and farmland are mainly located in the eastern part of the Yangtze River Basin, especially in the Sichuan Basin and the Longnan area of the Jialing River Basin. The Sichuan Basin is one of the most important agricultural bases in China because of its flat topography and fertile soils, covering about 14% of the total area of the study area.
Figure 8.
Distribution of land cover types in the Upper Yangtze River Basin in 2001, 2010, and 2022.
The land transfer analysis showed (Figure 9) that, between 2001 and 2022, the areas of woody prairie, savanna, grassland, shrubland, permanent wetland, and cropland in the Upper Yangtze River Basin showed a decreasing trend, with net decreases of 122,132 km2, 141,386 km2, 37,578 km2, 4365 km2, 6498 km2, and 48,198 km2. Meanwhile, the land area of mixed forest, evergreen coniferous forest, deciduous broad-leaved forest, evergreen broad-leaved forest, farmland, water bodies, and urban and built-up areas showed an overall increasing trend; in particular, the areas of mixed forest and deciduous broad-leaved forest increased significantly, with net increases of 147,856 km2 and 129,834 km2, respectively. Between 2001 and 2005, there was a significant expansion in the area of forested land, mainly originating from the transfer of savanna and shrubland, while, between 2005 and 2010, there was a significant outflow of woody prairie, cropland, and farmland, mainly to savanna and forested land. Between 2010 and 2015, the land use change was more dramatic, with mixed forests decreasing by 352,876 km2 and shifting mainly to shrubland. Between 2015 and 2022, significant shrublands and woody savannas were converted to woodlands, with an increase of 4299 km2 in urban and built-up areas. In addition, between 2001 and 2022, the total area of forested land in the Upper Yangtze River Basin increased by a net 9%, mainly due to the “Returning Cultivated Land to Forests” policy implemented since 2000, which encourages farmers to reduce the area of cultivated land and increase the area of forested land in order to reduce soil erosion and improve the ecological environment. At the same time, the area of cities and built-up areas has increased by 10,975 km2, reflecting the region’s rapid economic development and urbanization, which may also have led to a decline in vegetation cover.
Figure 9.
Vegetation change for different land cover types in the upper Yangtze River Basin from 2001 to 2022.
3.3.3. Correlation Analysis Between NDVI and Impact Factors
In this study, the interaction mechanism between vegetation cover (NDVI) and precipitation, air temperature, and land use types in the upper reaches of the Yangtze River was systematically explored using partial correlation analysis. The results showed that the partial correlation coefficients between precipitation and NDVI ranged from −0.897 to 0.913, with a mean value of 0.156, of which 73% of the study area showed positive correlation, mainly in the upper reaches of the Jinsha River, the Jialing River, the Three Gorges Reservoir area, and the Wujiang River Basin (Figure 10). The negative correlation area accounted for 27% of the study area, mainly in the lower reaches of the Jinsha River and the Min-Tuo River Basin. The areas that passed the significance test (p < 0.05) accounted for 15% of the total area of the study area, of which 6% reached the highly significant level (p < 0.01), and these significantly correlated areas were discretely distributed in the upper Jinsha River, Jialing River, Three Gorges Reservoir, and Wujiang River Basin. It is worth noting that positive values of partial correlation coefficients indicate that precipitation positively promotes vegetation growth, while negative values reflect its inhibitory effect.
Figure 10.
Spatial distribution of partial correlation coefficient (A–C) and partial correlation significance (D–F) between NDVI and climate factors in the upper Yangtze River Basin from 2000 to 2022.
The correlation coefficients of temperature and vegetation NDVI in the study area ranged from −0.967 to 0.991, with a mean value of 0.082. The spatial distribution characteristics showed that 64% of the areas showed positive correlation, among which the upper Jinsha River was the most concentrated, and the rest of the watersheds were sporadically distributed, while 36% showed negative correlation, which was mainly concentrated in the right part of the watershed. The results of significance test showed that only 8% of the regions passed the significance level test of p < 0.05, and these regions were mainly scattered in the upper Jinsha River and other basins, while 92% of the regions did not pass the significance test, which indicated that the correlation between air temperature and vegetation NDVI in the study area was weak overall.
The partial correlation coefficients between land use and vegetation normalized vegetation index (NDVI) fluctuated within the range of −0.986 to 0.991, with a mean value of about −0.089. Statistical analysis showed that the proportion of regions with positive and negative correlation between NDVI and land use were 67% and 33%, respectively. Further analysis showed that 19% of the regions passed the test of significance level p < 0.05, and these regions were mainly concentrated in the lower reaches of the Jinsha River, the lower reaches of the Min-Tuo River, and most parts of the Jialing River, as well as the Three Gorges Reservoir area and the Wujiang River Basin.
The results of the study based on the absolute value analysis of the partial correlation coefficient showed that the climate factor with the largest absolute value in the raster image was identified as the dominant driver affecting the NDVI of the regional vegetation [28] (Figure 11). Quantitative analysis showed that precipitation, temperature, and land use factors dominated 34%, 25%, and 41% of NDVI changes in the study area, respectively, with the land use factor having the most prominent degree of influence. The comprehensive study data indicate that the evolution of land use pattern is a key environmental factor triggering the dynamic changes of NDVI in the upper reaches of the Yangtze River.
Figure 11.
Spatial distribution of dominant climate factors for NDVI changes in the upper Yangtze River Basin from 2001 to 2022.
4. Discussion
4.1. Effects of Vegetation NDVI and Precipitation Changes on Runoff Sediment Processes
There is a complex relationship between runoff and sand transport processes on vegetation changes and precipitation [38]. Precipitation is an important factor causing changes in runoff and sand transport, and, theoretically, vegetation restoration can influence these processes by increasing water retention and reducing soil erosion [39], reducing surface yield through retention and improving soil infiltration, and inhibiting erosion through protective effects on surface soils, thereby slowing down the process of soil erosion [40,41,42]. NDVI can directly and quantitatively reflect the growth status and coverage of vegetation [43,44] and more accurately capture the influence of vegetation on runoff and sedimentation processes. In addition, many scholars have widely used NDVI for related analysis [16,45], further verifying its validity and reliability in this field.
In order to study the specific effects of vegetation NDVI and precipitation changes on runoff and sand transport, data from five major hydrological stations, namely, Xiangjiaba, Yichang, Gaochang, Beibei, and Wulong, were selected for this paper, and the partial correlation analysis method was used. The results of the analysis show that, for most of the basins, precipitation is still the main influencing factor of runoff and has a significant positive correlation with runoff (Table 3). Although NDVI was mostly positively correlated with runoff, there may be other under-considered factors, as the data did not pass the significance test. Sand transport was affected by both precipitation and vegetation, with a positive correlation with precipitation and a negative correlation with vegetation NDVI. According to the results of the correlation analysis, the effect of vegetation on sand transport is more significant than that on runoff, which suggests that vegetation restoration may play a more prominent role in reducing sediment loss.
Table 3.
Partial correlation coefficients between hydrological factors, NDVI, and precipitation.
Studies in the Amazon Basin have shown that an increase in vegetation cover significantly reduces sediment transport [21], and studies in the European region have confirmed the important role of vegetation restoration in reducing soil erosion [46]. The findings of this study further validate the contribution of vegetation restoration to soil and water conservation. However, patterns of vegetation–hydrology interactions vary globally depending on geographic location, climatic conditions, and human activities. For example, vegetation restoration in arid and semi-arid regions may be limited by water resources, resulting in a smaller impact on runoff and sand transport [47]. In northwest China, for example, runoff coefficients and water resources showed a decreasing trend in Inner Mongolia and Gansu, suggesting that large-scale afforestation may be ecologically unsustainable in these regions, while runoff coefficients and water resources showed an increasing trend in Qinghai and Xinjiang, which was mainly related to climate change. This suggests that ecological water demand and climate change need to be taken into account when revegetation is carried out in arid regions [48]. In contrast, revegetation projects in humid regions with abundant precipitation show more significant ecological benefits in controlling soil erosion and reducing sediment content [49]. This phenomenon confirms that regional water resources and climatic characteristics have a decisive influence on the effectiveness of revegetation.
4.2. Future Trends in Vegetation Cover
The spatial characteristics of vegetation changes in the Upper Yangtze River Basin over the past 22 years were studied; however, the future trends are not clear. The future trend of NDVI change in the upper Yangtze River region was predicted by combining it with the Hurst index, as shown in Figure 12. The results show that 75% of the overall vegetation change exhibits persistence, implying that the trend of NDVI change in most regions may continue the pattern between 2001 and 2022. Within this, the proportion showing a strong isotropic trend was 46%. In contrast, 25% of the vegetation change trends were characterized by anticontinuity.
Figure 12.
Persistence of NDVI in the Upper Yangtze River Basin from 2001 to 2022.
In order to deeply analyze the future trend of NDVI vegetation evolution in the upper reaches of the Yangtze River, this study conducted a superposition analysis of the spatial distribution of the Hurst index and the trend of NDVI change to derive the future direction of NDVI change (Figure 13). The results showed that the proportion of areas with continuous improvement reached 66%, while the proportion of areas with reverse continuous degradation from degradation to improvement was 4%. Overall, the combined proportion of future benign areas in the upper reaches of the Yangtze River is 70%, showing that the trend of NDVI change is mainly in the direction of improvement. On the other hand, the proportion of persistently degraded areas is 19%, the proportion of reverse persistently improved areas that change from improvement to degradation is 11%, and the combined proportion of future malignant development areas is 30%. These malignant development areas are mainly concentrated in the Sichuan Basin, the Jinsha River Basin, and the Min-Tuo River Basin. These potentially degraded areas should be prioritized for inclusion in the priority management scope of ecological restoration projects. Through site-specific ecological restoration measures, such as the introduction of drought-tolerant vegetation or the implementation of soil and water conservation projects in degraded areas, the risk of future vegetation degradation can be effectively reduced and the overall ecological function of the watershed can be enhanced.
Figure 13.
Future trends of NDVI changes in the upper reaches of the Yangtze River.
The effect of vegetation change on sediment loss is an important ecological process. In the projections of future trends in vegetation change, most areas of the upper Yangtze River show an improving trend in vegetation, which will help to further reduce sediment loss. In particular, those areas with sustained improvements in vegetation will effectively enhance the soil consolidation capacity and reduce precipitation-induced soil erosion. At the same time, these improvements will also slow down the process of sediment production and transport, ultimately reducing the impact of sediment on the watershed. Therefore, vegetation restoration and protection are not only conducive to improving the stability of the ecosystem, but also help to control sediment loss and further optimize the soil and water conservation status of the watershed. For future ecological protection and management strategies, the restoration and expansion of vegetation should be emphasized to achieve more effective sediment control and ecological environment improvement.
4.3. Relevance of Research Results to Sustainable Development Goals
This study makes an important contribution to the realization of several UN Sustainable Development Goals (SDGs) by analyzing the NDVI changes in the upper Yangtze River and their impacts on the water–sand processes entering the Three Gorges Reservoir. First, this study reveals the complex relationship between vegetation cover changes and water–sand processes in the upper reaches of the Yangtze River, providing a scientific basis for enhancing climate resilience and supporting the realization of SDG 13 (Climate Action). Studies have shown that, through vegetation restoration and ecosystem management, soil erosion can be effectively reduced and greenhouse gas emissions can be lowered, thus mitigating the impacts of climate change [49,50]. Second, NDVI changes reflect the dynamics of vegetation cover in the upper reaches of the Yangtze River, providing an important reference for assessing the health of the ecosystem, which is closely related to the objectives of SDG 15 (Life on Land). By analyzing the relationship between NDVI and water–sand processes, we found that ecological restoration measures (e.g., afforestation and soil and water conservation projects) can significantly improve vegetation cover and reduce soil erosion, demonstrating successful cases of ecological restoration, which provides a reference for ecological conservation efforts in other regions of the world [51,52,53]. In addition, the Three Gorges Reservoir serves as an important water resource regulation facility in the upper reaches of the Yangtze River, and this study reveals synergies between NDVI changes and water quality improvement, supporting the realization of SDG 6 (Clean Drinking Water and Sanitation). The ecological restoration measures can effectively reduce sediment input and improve water quality in the reservoir, thus guaranteeing the supply of clean water and providing a scientific basis for optimizing reservoir management and water resource allocation. This study not only provides scientific support for ecological restoration in the upper reaches of the Yangtze River, but also offers lessons that can be learned for sustainable development in other regions of the world, demonstrating the potential of integrated multidisciplinary analysis methods and the application of data science, geographic information systems (GIS), and remote sensing technologies in solving complex environmental problems, further enhancing the impact of the study on the science of sustainable development.
4.4. Shortcomings and Prospects
This study analyzed the spatial and temporal changes of NDVI and its driving factors in the upper Yangtze River basin, and explored the important role of vegetation restoration in reducing sediment loss. Meanwhile, the future trend of NDVI was predicted based on the Hurst index, indicating that most of the area will maintain the improving trend. However, there are some limitations in the study. First, the resampling process of NDVI data leads to a certain degree of loss of spatial details and mixed pixel problems. Although a resolution of 1 km can meet the needs of analyzing the overall vegetation cover condition in the large-scale analysis of this study, this resolution may not be sufficient to capture subtle spatial variations in the refinement of local areas or specific vegetation types. In addition, NDVI, as a quantitative indicator, mainly reflects the greenness and coverage of vegetation, while the vegetation type itself has an important influence on the hydrological cycle and sediment transport, and different vegetation types may have different water-holding capacity and soil erosion control capacity. Therefore, future studies may consider incorporating detailed information on vegetation types to more fully understand the influence of vegetation structure on water–sediment processes in the upper Yangtze River. Second, partial correlation analysis is an effective method to assess the relationship of multiple variables, but this study only selected data from five major hydrological stations, which may have the problem of insufficient sample size, and, although these stations are representative regionally, they may not adequately reflect the complexity and diversity of the entire Upper Yangtze River Basin due to the limited sample size. Future studies could expand the sample size, use more hydrological station data, and consider introducing advanced statistical methods such as machine learning to enhance the representativeness and robustness of the results.
5. Conclusions
In this paper, NDVI data from 2001 to 2022, annual runoff and sand transport data from 2006 to 2022, climate data, and land use and hydrological factor data of the upper Yangtze River were selected, and spatial and temporal changes in the upper Yangtze River Basin were analyzed through trend analysis. The response of vegetation to changes in climatic factors, land use, and hydrological factors was explored, and the following conclusions were obtained:
- (1)
- Between 2001 and 2022, the NDVI of the upper reaches of the Yangtze River showed a significant fluctuating increase, with a mean value of 0.679, of which the NDVI value of the Jinsha River basin was relatively low among all the basins. The spatial distribution characteristics show that the NDVI of the vegetation in the study area exhibits significant spatial heterogeneity of “low in the west and high in the east”, and the overall vegetation cover is maintained at a high level. From the trend of change, the area of improved vegetation is significantly larger than that of degraded areas, indicating that the vegetation cover in the study area continues to improve. Characterization of spatial fluctuation shows that the study area as a whole is dominated by low fluctuation, and local areas show medium–high fluctuation characteristics;
- (2)
- The hydrological characteristics of the Yangtze River Basin show significant spatial heterogeneity. Among them, the Three Gorges Reservoir area, as the region with the largest runoff, has a statistically significant trend in annual runoff, while the annual runoff of other basins does not show significant changes. It is worth noting that the Jinsha River basin experienced a significant turnaround in sand transport around 2013, which is mainly attributed to the sediment interception effect caused by the construction of backbone dams and power stations in the “West-East Electricity Transmission” project. In the basin as a whole, reservoir sediment interception has become a key driver, influencing the evolution of water and sand in the lower Jinsha River;
- (3)
- Normalized vegetation index (NDVI) was significantly positively correlated with precipitation in 74% of the upper Yangtze River Basin, confirming the role of precipitation changes in promoting the growth of vegetation in the region. The evolution of land use pattern had a significant effect on NDVI: the continuous expansion of forested land area (mainly due to the implementation of the policy of “returning farmland to forest”) significantly increased the vegetation cover; the expansion of construction land due to the urbanization process resulted in the reduction of vegetation cover; and the shrinkage of arable land and grassland area weakened the capacity of regional vegetation cover. The partial correlation analysis further reveals that: the partial correlation coefficient between precipitation and NDVI is positive in 73% of the study areas; the correlation between temperature and NDVI is relatively weak, with a positive correlation in only 64% of the areas; and the correlation between land use and NDVI is the most significant, with a positive correlation in 67% of the areas. The results showed that the evolution of land use pattern is the dominant factor influencing the changes of vegetation NDVI in the region, which directly regulates the growth dynamics and cover condition of vegetation by changing the surface cover type. Therefore, ecological protection should be emphasized in land-use planning, limiting the disorderly expansion of cities and built-up areas, protecting existing woodlands and grasslands, and promoting sustainable land-use practices through policy guidance, such as the promotion of eco-agriculture, to reduce the reduction in the area of arable land and grasslands;
- (4)
- Based on the dominant characteristics of the sediment reduction effect of human activities, this study selected five key hydrological stations in the watershed as the research object and used the bias-correlation analysis technique to systematically investigate the dual influence mechanism of vegetation reconstruction and precipitation variability on the runoff and sand transport process. The data show that precipitation is the core factor driving the runoff variability, while the vegetation cover shows a significant negative correlation with the amount of sand transport. This finding confirms that the revegetation project has significant benefits in suppressing soil erosion and reducing the intensity of sand transport, which has important practical guidance value for watershed ecosystem restoration. In view of the significant effect of vegetation restoration on reducing soil erosion and sand transport, ecological restoration projects such as “returning farmland to forests” should continue to be promoted, especially in areas with low vegetation NDVI, such as the Jinsha River basin. At the same time, the vegetation structure should be optimized, and plant species suitable for local climate and soil conditions should be selected to improve the stability and ecological function of the vegetation.
Author Contributions
Conceptualization, Y.M. and M.L.; methodology, Y.M.; software, Y.M.; data curation, H.Y. and P.C.; writing—original draft preparation, Y.M.; writing—review and editing, M.L. and P.C.; visualization, Y.M. and H.P.; supervision, H.P.; project administration, H.Y. All authors have read and agreed to the published version of the manuscript.
Funding
This work was funded by the Smart Natural Yangtze River and Hydropower Science Key Laboratory of Hubei Province Open research Fund project (ZH242202000923).
Institutional Review Board Statement
Not applicable.
Informed Consent Statement
Informed consent was obtained from all subjects involved in the study.
Data Availability Statement
All data, models, or code generated or used during the study are available from the author by request (hzhpan@yangtzeu.edu.cn).
Acknowledgments
The authors would like to thank the data support provided by various data source websites in the article. The authors would like to thank Huaming Yao and Hongzhong Pan for their guidance on the paper, and support of these projects for the paper.
Conflicts of Interest
Authors Yiming Ma and Huaming Yao were employed by the company China Yangtze Power Co., Ltd. The remaining authors declare that the research was conducted in the absence of any commercial or financial relationships that could be construed as a potential conflict of interest.
References
- Ning, T.; Liu, W.; Lin, W.; Song, X. NDVI Variation and Its Responses to Climate Change on the Northern Loess Plateau of China from 1998 to 2012. Adv. Meteorol. 2015, 2015, 725427. [Google Scholar] [CrossRef]
- Chen, T.; Xia, J.; Zou, L.; Hong, S. Quantifying the Influences of Natural Factors and Human Activities on NDVI Changes in the Hanjiang River Basin, China. Remote Sens. 2020, 12, 3780. [Google Scholar] [CrossRef]
- Hu, Y.; Dao, R.; Hu, Y. Vegetation Change and Driving Factors: Contribution Analysis in the Loess Plateau of China during 2000–2015. Sustainability 2019, 11, 1320. [Google Scholar] [CrossRef]
- Guo, E.; Wang, Y.; Wang, C.; Sun, Z.; Bao, Y.; Mandula, N.; Jirigala, B.; Bao, Y.; Li, H. NDVI Indicates Long-Term Dynamics of Vegetation and Its Driving Forces from Climatic and Anthropogenic Factors in Mongolian Plateau. Remote Sens. 2021, 13, 688. [Google Scholar] [CrossRef]
- Jiang, P.; Hu, L.; Xiao, J.; Kuerban, Y. Spatiotemporal Dynamics of NDVI Xinjiang and Quantitative Attribution Base on Geodetector. Res. Soil Conserv. 2022, 29, 212–220+242. [Google Scholar] [CrossRef]
- Huang, C.; Yang, Q.; Huang, W. Analysis of the Spatial and Temporal Changes of NDVI and Its Driving Factors in the Wei and Jing River Basins. Int. J. Environ. Res. Public Health 2021, 18, 11863. [Google Scholar] [CrossRef] [PubMed]
- Chen, J.; Fang, X.; Wen, Z.; Chen, Q.; Ma, M.; Huang, Y.; Wu, S.; Yang, L.E. Spatio-Temporal Patterns and Impacts of Sediment Variations in Downstream of the Three Gorges Dam on the Yangtze River, China. Sustainability 2018, 10, 4093. [Google Scholar] [CrossRef]
- Liu, S.; Wang, Z.; Li, D. Comparison of sediment carrying capacity to sediment concentration in upper reaches of Yangtze River. J. Hydroelectr. Eng. 2022, 41, 46–55. [Google Scholar] [CrossRef]
- Yuan, J.; Xu, Q.; Dong, B.; Wang, T.; Yang, C. Sediment deposition of Three Gorges Reservoir and its impact on the reservoir area in recent 20 years. J. Lake Sci. 2023, 35, 632–641. [Google Scholar] [CrossRef]
- Hu, C. The development and practice of “storage, clearing and drainage” utilization of reservoirs in sandy rivers in China. J. Hydraul. Eng. 2016, 47, 283–291. [Google Scholar] [CrossRef]
- Jin, X.; Xu, C. Sedimentation in the joint scheduling of reservoir clusters in the upper reaches of the Yangtze River. Yangtze River 2018, 49, 1–8+31. [Google Scholar] [CrossRef]
- Shao, Y.; Mu, X.; He, Y.; Chen, K. Variations in runoff, sediment load, and their relationship for a major sediment source area of the Jialing River basin, southern China. Hydrol. Process. 2021, 35, e14297. [Google Scholar] [CrossRef]
- Yan, H.; Zhang, X.; Xu, Q. Variation of runoff and sediment inflows to the Three Gorges Reservoir: Impact of upstream cascade reservoirs. J. Hydrol. 2021, 603, 126875. [Google Scholar] [CrossRef]
- Wang, H.; Ma, Y.; Hong, F.; Yang, H.; Huang, L.; Jiao, X.; Guo, W. Evolution of Water–Sediment Situation and Attribution Analysis in the Upper Yangtze River, China. Water 2023, 15, 574. [Google Scholar] [CrossRef]
- Han, Y.; Yang, Q.; Gao, H.; Xu, H. Runoff and Sediment Characteristics of Flood Event in Typical Watershed on the Loess Plateau Based on Vegetation Restoration. J. Soil Water Conserv. 2023, 37, 278–283+293. [Google Scholar] [CrossRef]
- Zhang, H.; Wu, L.; Guo, J.; Liu, S.; Guo, J. Relationship between structural and functional connectivity of vegetation restoration watershed under extreme rainfall conditions. Agric. Eng. 2023, 39, 103–113. [Google Scholar]
- Liu, Y.; Wen, A.; Yan, D.; Shi, Z. Influence of Precipitation Characteristics and Vegetation on Runoff and Sediment: A Case on the Basin in the Three Gorges Reservoir Region. Water 2022, 14, 2141. [Google Scholar] [CrossRef]
- Hou, X.; Zhang, S.; Ruan, Q.; Tang, C. Synergetic impact of climate and vegetation cover on runoff, sediment, and nitrogen and phosphorus losses in the Jialing River Basin, China. J. Clean. Prod. 2022, 361, 132141. [Google Scholar] [CrossRef]
- Zhou, Y.; Li, D.; Lu, J.; Yao, S.; Yan, X.; Jin, Z.; Liu, L.; Lu, X.X. Distinguishing the multiple controls on the decreased sediment flux in the Jialing River basin of the Yangtze River, Southwestern China. CATENA 2020, 193, 104593. [Google Scholar] [CrossRef]
- Liu, H.; Liu, Y.-X.; Zhao, W.-W.; Peng, D. Soil conservation assessment via climate change and vegetation growth scenarios in the Nile River basin. J. Mt. Sci. 2021, 18, 863–877. [Google Scholar] [CrossRef]
- Maeda, E.E.; Formaggio, A.R.; Shimabukuro, Y.E. Impacts of Land Use and Land Cover Changes on Sediment Yield in a Brazilian Amazon Drainage Basin. GIScience Remote Sens. 2008, 45, 443–453. [Google Scholar] [CrossRef]
- Wang, H.; He, M.; Ran, N.; Xie, D.; Wang, Q.; Teng, M.; Wang, P. China’s Key Forestry Ecological Development Programs: Implementation, Environmental Impact and Challenges. Forests 2021, 12, 101. [Google Scholar] [CrossRef]
- Yang, S.; Liu, Y.; Wei, R.; Dong, X.; Lin, Q.; Zhang, C. Characteristics of spatial and temporal changes in vegetation cover during the growing season in the upper Yangtze River basin and its causes. Resour. Environ. Yangtze Basin 2022, 31, 1523–1533. [Google Scholar]
- Zhang, X.; Shao, Q.; Ning, J.; Liu, S.; Niu, L.; Yang, X.; Huang, H. Analysis of spatial differences in the degree of ecological restoration and vegetation restoration potential in the upper reaches of the Yangtze River. Geogr. Res. 2023, 42, 1904–1920. [Google Scholar]
- Sen, P.K. Estimates of the Regression Coefficient Based on Kendall’s Tau. J. Am. Stat. Assoc. 1968, 63, 1379–1389. [Google Scholar] [CrossRef]
- Lei, Q.; Hu, Z.W.; Wang, J.Z.; Zhang, Y.H.; Wu, G.F. Spatiotemporal dynamics of NDVI in China from 1985 to 2015: Ecosystem variation, regional differences, and response to climatic factors. Acta Ecol. Sin. 2023, 43, 6378–6391. [Google Scholar]
- Yi, Y.; Wang, B.; Shi, M.; Meng, Z.; Zhang, C. Variation in Vegetation and Its Driving Force in the Middle Reaches of the Yangtze River in China. Water 2021, 13, 2036. [Google Scholar] [CrossRef]
- Zeng, X.; Chen, T. Analysis of the driving forces of vegetation dynamic changes in southwest China. China Environ. Sci. 2023, 43, 6561–6570. [Google Scholar] [CrossRef]
- Jiang, W.; Niu, Z.; Wang, L.; Yao, R.; Gui, X.; Xiang, F.; Ji, Y. Impacts of Drought and Climatic Factors on Vegetation Dynamics in the Yellow River Basin and Yangtze River Basin, China. Remote Sens. 2022, 14, 930. [Google Scholar] [CrossRef]
- Cui, L.F.; Wang, Z.D.; Deng, L.H.; Qu, S. Vegetation dynamics and their relations with climate change at seasonal scales in the Yangtze river basin, China. Appl. Ecol. Environ. Res. 2020, 18, 3543–3556. [Google Scholar] [CrossRef]
- Zuo, D.; Han, Y.; Xu, Z.; Li, P.; Ban, C.; Sun, W.; Pang, B.; Peng, D.; Kan, G.; Zhang, R.; et al. Time-lag effects of climatic change and drought on vegetation dynamics in an alpine river basin of the Tibet Plateau, China. J. Hydrol. 2021, 600, 126532. [Google Scholar] [CrossRef]
- Qu, S.; Wang, L.; Lin, A.; Yu, D.; Yuan, M.; Li, C. Distinguishing the impacts of climate change and anthropogenic factors on vegetation dynamics in the Yangtze River Basin, China. Ecol. Indic. 2020, 108, 105724. [Google Scholar] [CrossRef]
- Duo, A.; Zhao, W.; Gong, Z.; Zhang, M.; Fan, Y. Temporal analysis of climate change and its relationship with vegetation cover on the north China plain from 1981 to 2013. Acta Ecol. Sin. 2017, 37, 576–592. [Google Scholar]
- Hu, M.; Yu, H.; Kong, B.; Xiong, Z.; Xu, T. Characteristics of spatial and temporal changes in vegetation cover in the Jialing River Basin from 2001 to 2020. Yangtze River 2022, 53, 82–89+96. [Google Scholar] [CrossRef]
- Lu, C.; Dong, X.; Tang, J.; Liu, G. Impacts of large cascade reservoirs on runoff and sediment load variations in Jinsha River Basin. Sci. Soil Water Conserv. 2019, 17, 36–43. [Google Scholar] [CrossRef]
- Qin, L.; Dong, X.; Du, Z.; Chen, X. Characteristics of water and sand changes in the lower Jinsha River and analysis of sand interception in terraced reservoirs. J. Sediment Res. 2019, 44, 24–30. [Google Scholar] [CrossRef]
- Liu, S.; Zhang, X.; Xu, Q.; Yue, Y. Characterization of suspended-mass sand transport in the Jinsha River basin over the past 50 years. J. Sediment Res. 2020, 45, 30–37. [Google Scholar] [CrossRef]
- Ouyang, W.; Hao, F.; Skidmore, A.K.; Toxopeus, A.G. Soil erosion and sediment yield and their relationships with vegetation cover in upper stream of the Yellow River. Sci. Total Environ. 2010, 409, 396–403. [Google Scholar] [CrossRef] [PubMed]
- Gao, H.; Wu, Z. Vegetation restoration in the Toudaoqian-Tongguan zone of the Yellow River and its impact on water-sand processes. Acta Ecol. Sin. 2021, 76, 1206–1217. [Google Scholar]
- Zhang, F.; Shi, X.; Zeng, C.; Wang, G.; Chen, Y.; Wang, L.; Zhang, H.; Yu, Z. Changes and impacts of riverine sand transport on the Tibetan Plateau. Bull. Chin. Acad. Sci. 2019, 34, 1274–1284. [Google Scholar] [CrossRef]
- Zhang, Y.; Liu, B.; Zhang, Q.; Xie, Y. Effect of Different Vegetation Types on Soil Erosion by Water. Acta Bot. Sin. 2003, 10, 1204–1209. [Google Scholar]
- Shao, Q.; Xiao, T.; Liu, J.; Xiao, T.; Qi, Y. Soil erosion rates and characteristics of typical alpine meadow using ~137Cs technique in Qinghai-Tibet Plateau. Chin. Sci. Bull. 2011, 56, 1708–1713. [Google Scholar] [CrossRef]
- Cao, R. A simple method to improve the quality of NDVI time-series data by integrating spatiotemporal information with the Savitzky-Golay filter. Remote Sens. Environ. 2018, 217, 244–257. [Google Scholar] [CrossRef]
- Li, S.; Xu, L.; Chen, J.; Jiang, Y.; Sun, S.; Yu, S.; Tan, Z.; Li, X. Monitoring vegetation dynamics (2010–2020) in Shengnongjia Forestry District with cloud-removed MODIS NDVI series by a spatio-temporal reconstruction method. Egypt. J. Remote Sens. Space Sci. 2023, 26, 527–543. [Google Scholar] [CrossRef]
- Zhang, H.; Li, L.; Zhao, X.; Chen, F.; Wei, J.; Feng, Z.; Hou, T.; Chen, Y.; Yue, W.; Shang, H.; et al. Changes in Vegetation NDVI and Its Response to Climate Change and Human Activities in the Ferghana Basin from 1982 to 2015. Remote Sens. 2024, 16, 1296. [Google Scholar] [CrossRef]
- Bienes, R.; Marques, M.J.; Sastre, B.; García-Díaz, A.; Ruiz-Colmenero, M. Eleven years after shrub revegetation in semiarid eroded soils. Influence in soil properties. Geoderma 2016, 273, 106–114. [Google Scholar] [CrossRef]
- Gutierrez-Cori, O.; Espinoza, J.C.; Li, L.; Wongchuig, S.; Arias, P.A.; Ronchail, J.; Segura, H. On the Hydroclimate-Vegetation Relationship in the Southwestern Amazon During the 2000–2019 Period. Front. Water 2021, 3, 648499. [Google Scholar] [CrossRef]
- Zhang, W.; Hu, G.; Dang, Y.; Weindorf, D.C.; Sheng, J. Afforestation and the impacts on soil and water conservation at decadal and regional scales in Northwest China. J. Arid. Environ. 2016, 130, 98–104. [Google Scholar] [CrossRef]
- He, X.; Miao, Z.; Wang, Y.; Yang, L.; Zhang, Z. Response of soil erosion to climate change and vegetation restoration in the Ganjiang River Basin, China. Ecol. Indic. 2024, 158, 111429. [Google Scholar] [CrossRef]
- Zhang, B.; He, C.; Burnham, M.; Zhang, L. Evaluating the coupling effects of climate aridity and vegetation restoration on soil erosion over the Loess Plateau in China. Sci. Total Environ. 2016, 539, 436–449. [Google Scholar] [CrossRef]
- Aradottir, A.L.; Hagen, D. Chapter Three—Ecological Restoration: Approaches and Impacts on Vegetation, Soils and Society. In Advance Agronomy; Sparks, D.L., Ed.; Academic Press: Cambridge, MA, USA, 2013; Volume 120, pp. 173–222. [Google Scholar] [CrossRef]
- Hu, J.; Zhou, Q.; Cao, Q.; Hu, J. Effects of ecological restoration measures on vegetation and soil properties in semi-humid sandy land on the southeast Qinghai-Tibetan Plateau, China. Glob. Ecol. Conserv. 2022, 33, e02000. [Google Scholar] [CrossRef]
- Zhang, D.; Ge, W.; Zhang, Y. Evaluating the vegetation restoration sustainability of ecological projects: A case study of Wuqi County in China. J. Clean. Prod. 2020, 264, 121751. [Google Scholar] [CrossRef]
Disclaimer/Publisher’s Note: The statements, opinions and data contained in all publications are solely those of the individual author(s) and contributor(s) and not of MDPI and/or the editor(s). MDPI and/or the editor(s) disclaim responsibility for any injury to people or property resulting from any ideas, methods, instructions or products referred to in the content. |
© 2025 by the authors. Licensee MDPI, Basel, Switzerland. This article is an open access article distributed under the terms and conditions of the Creative Commons Attribution (CC BY) license (https://creativecommons.org/licenses/by/4.0/).












