Drivers of Green Growth: Roles of Innovation and Fragility
Abstract
1. Introduction
2. Literature Review
2.1. Fragile State Index-Green Growth Nexus
2.2. The Nexus Between Green Innovation, Renewable Energy, and Green Growth
2.3. Institutional Quality and Green Growth Nexus
2.4. The Nexus Between Trade Openness and Green Growth
2.5. The Nexus Between Human Development and Green Growth
2.6. The Nexus Between Globalization and Green Growth
2.7. Research Gap
3. Theoretical Framework
4. Data and Methodology
4.1. Data
4.2. Methods
4.2.1. NCA Model
4.2.2. FsQCA Model
5. Empirical Results
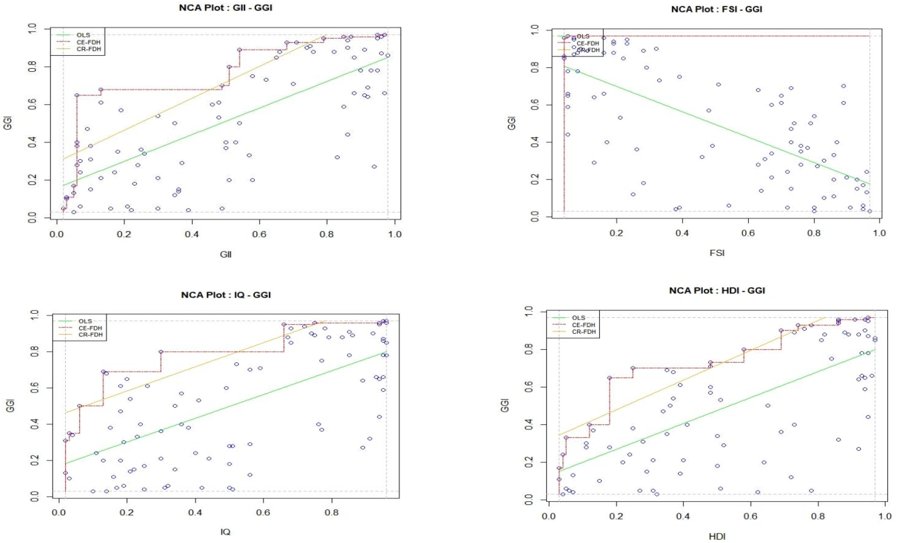
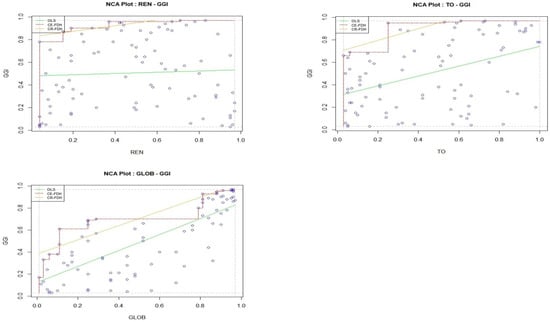
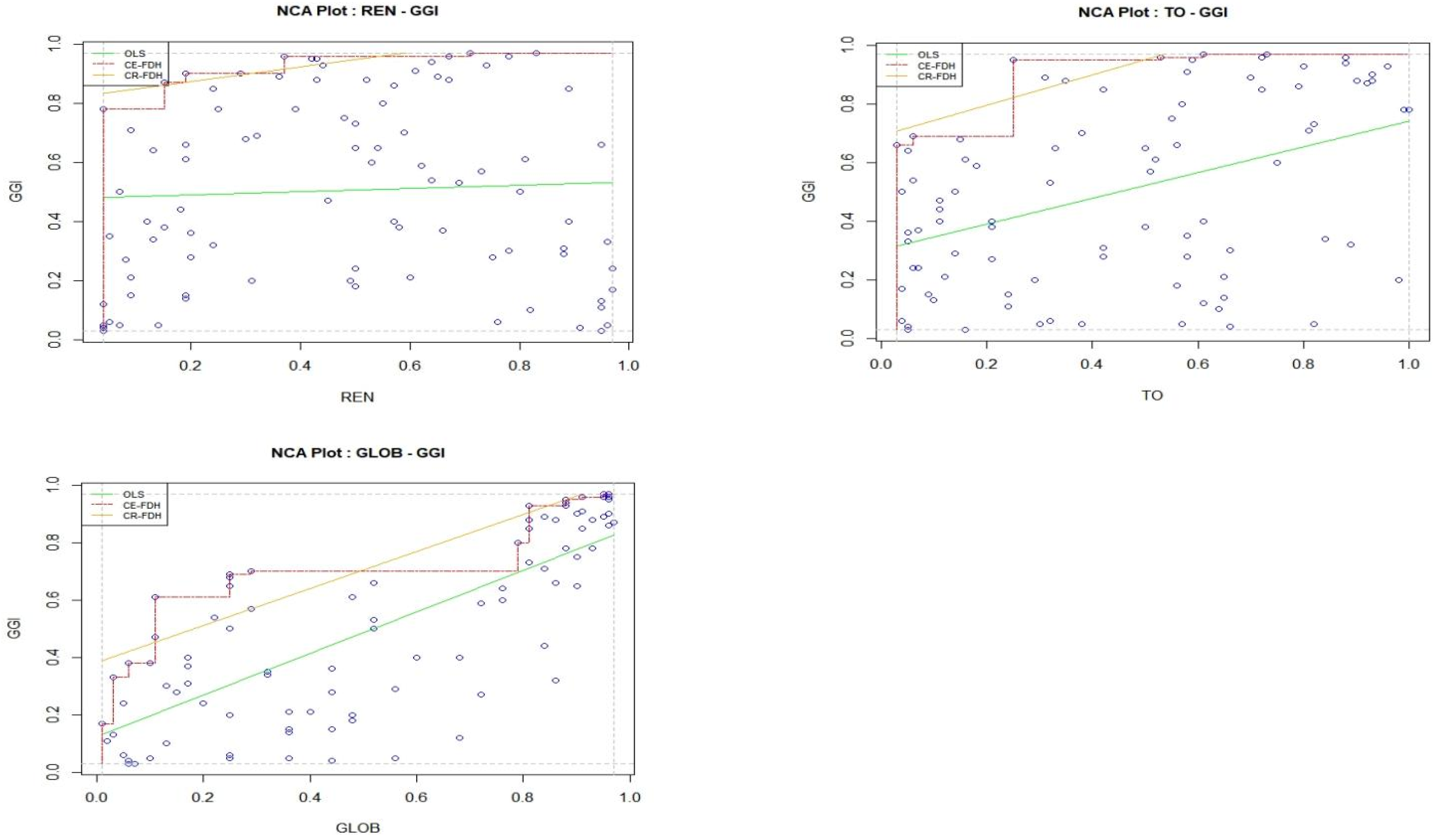
5.1. NCA Result
5.2. FsQCA Result
Sufficiency Analysis Based on fsQCA
5.3. Robustness Analysis
6. Discussion
7. Conclusions and Policy Implications
7.1. Study Limitation
7.2. Directions for Future Research
- -
- Future research on green growth can focus on conducting comparative analyses across countries or regions to identify variations in necessary and sufficient conditions for green growth. This approach may provide insight into country-specific factors and policy implications for promoting sustainable development. Additionally, sector-specific studies within green growth, such as those related to energy, agriculture, transportation, and industry, can assist in understanding the specific conditions and drivers of growth in each sector, leading to more targeted policy recommendations.
- -
- Since green growth is influenced by changing circumstances and policies, dynamic modeling approaches such as agent-based modeling and system dynamics can assist in capturing the complex dynamics, feedback loops, and nonlinear relationships involved, allowing for a more comprehensive analysis of the factors that affect green growth.
- -
- Combining qualitative and quantitative research methods, such as interviews or case studies, can provide a more comprehensive understanding of the underlying mechanisms and contextual factors affecting green growth. This integration of methods can enhance analysis and inform policy decisions.
- -
- In future research, examining the role of research and development (R and D) and green investments alongside other influencing factors can add new dimensions to the study.
- -
- In future studies, researchers can incorporate financial aspects and the development of the financial system to explore their impact on green growth using the fsQCA model, adding new dimensions to the research.
Author Contributions
Funding
Institutional Review Board Statement
Informed Consent Statement
Data Availability Statement
Acknowledgments
Conflicts of Interest
Appendix A
| Albania | Algeria | Argentina | Armenia | Australia | Austria |
| Azerbaijan | Belarus | Belgium | Bolivia | Botswana | Brazil |
| Bulgaria | Cameroon | Canada | Chile | China | Colombia |
| Costa Rica | Croatia | Cyprus | Czechia | Denmark | Dominican Republic |
| Ecuador | Egypt | El Salvador | Estonia | Ethiopia | Finland |
| France | Germany | Ghana | Greece | Guatemala | Honduras |
| Hungary | Iceland | India | Indonesia | Ireland | Israel |
| Italy | Japan | Jordan | Kazakhstan | Kenya | Kuwait |
| Latvia | Lebanon | Lithuania | Luxembourg | Madagascar | Malaysia |
| Mexico | Mongolia | Morocco | Netherlands | New Zealand | Nicaragua |
| Nigeria | Norway | Pakistan | Panama | Paraguay | Peru |
| Philippines | Poland | Portugal | Qatar | Romania | Russian Federation |
| Saudi Arabia | Serbia | Singapore | Slovak Republic | Slovenia | South Africa |
| Spain | Sri Lanka | Sweden | Switzerland | Tanzania | Turkiye |
| Uganda | Ukraine | United States | Uruguay | Vietnam | Zambia |
| Solution for High Green Growth (GGI) | Countries |
|---|---|
| Solution 1 (~FSI*REN*TO) | Latvia (0.74, 0.93), Denmark (0.71, 0.97), Austria (0.67, 0.96), Lithuania (0.67, 0.88), Croatia (0.65, 0.89), Estonia (0.64, 0.94), Sweden (0.61, 0.97), Portugal (0.58, 0.91), Switzerland (0.57, 0.86), Iceland (0.56, 0.66), Romania (0.55, 0.8), Finland (0.53, 0.96), Slovenia (0.52, 0.88), Albania (0.51, 0.57) |
| Solution 2 (REN*TO*GLOB) | Latvia (0.74, 0.93), Denmark (0.71, 0.97), Austria (0.67, 0.96), Lithuania (0.67, 0.88), Croatia (0.65, 0.89), Estonia (0.64, 0.94), Sweden (0.61, 0.97), Portugal (0.58, 0.91), Switzerland (0.57, 0.86), Romania (0.55, 0.8), Finland (0.53, 0.96), Serbia (0.53, 0.6), Iceland (0.52, 0.66), Slovenia (0.52, 0.88) |
| Solution 3 (GII*REN*~TO*~GLOB) | Tanzania (0.57, 0.33) |
| Solution 4 (~FSI*HDI*REN*GLOB) | Norway (0.89, 0.85), Sweden (0.83, 0.97), Finland (0.78, 0.96), Latvia (0.74, 0.93), Denmark (0.71, 0.97), Austria (0.67, 0.96), Lithuania (0.67, 0.88), Croatia (0.65, 0.89), Estonia (0.64, 0.94), NewZealand (0.62, 0.59), Portugal (0.61, 0.91), Chile (0.57, 0.4), Switzerland (0.57, 0.86), Romania (0.55, 0.8), Canada (0.54, 0.65), Iceland (0.52, 0.66), Slovenia (0.52, 0.88), Uruguay (0.52, 0.29), CostaRica (0.51, 0.53) |
| Solution 5 (GII*~FSI*IQ*HDI*TO*GLOB) | Ireland (0.93, 0.78), Netherlands (0.92, 0.87), Luxembourg (0.88, 0.78), Belgium (0.86, 0.9), Singapore (0.85, 0.78), Switzerland (0.79, 0.86), Slovenia (0.76, 0.88), Czechia (0.75, 0.96), Denmark (0.73, 0.97), Austria (0.72, 0.96), Estonia (0.72, 0.94), Hungary (0.68, 0.9), Latvia (0.68, 0.93), Slovak Republic (0.68, 0.93), Lithuania (0.66, 0.88), Poland (0.65, 0.85), Sweden (0.61, 0.97), Germany (0.59, 0.95), Portugal (0.58, 0.91), Greece (0.55, 0.75) |
| Solution for Low Green Growth (~GGI) | Countries |
|---|---|
| Solution 1 (~GII*~IQ*~REN*~GLOB) | Algeria (0.86, 0.97), Bolivia (0.85, 0.62), Dominican Republic (0.7, 0.32), Azerbaijan (0.68, 0.65), Belarus (0.68, 0.66), Kazakhstan (0.68, 0.94), Armenia (0.64, 0.86), Egypt, ArabRep. (0.64, 0.85), Lebanon (0.64, 0.79), Argentina (0.56, 0.64), Kuwait (0.56, 0.96), South Africa (0.56, 0.85), Ecuador (0.55, 0.53), Mexico (0.52, 0.39), Mongolia (0.51, 0.95) |
| Solution 2 (FSI*~IQ*~REN*~TO) | Algeria (0.8, 0.97), Russian Federation (0.79, 0.5), Egypt (0.78, 0.85), Bolivia (0.76, 0.62), Turkiye (0.69, 0.8), China (0.68, 0.31), South Africa (0.66, 0.85), Dominican Republic (0.63, 0.32), Ecuador (0.55, 0.53), Kazakhstan (0.54, 0.94) |
| Solution 3 (~GII*~IQ*~TO*GLOB) | Costa Rica (0.52, 0.47) |
| Solution 4 (FSI*~REN*~TO*GLOB) | Israel (0.72, 0.73), Russian Federation (0.52, 0.5) |
| Solution 5 (FSI*~IQ*~HDI*~TO*~GLOB) | Cameroon (0.9, 0.87), Nigeria (0.9, 0.97), Uganda (0.89, 0.76), Pakistan (0.81, 0.94), Tanzania (0.77, 0.67), Guatemala (0.76, 0.6), Madagascar (0.76, 0.89), Bolivia (0.75, 0.62), Ethiopia (0.75, 0.83), Algeria (0.68, 0.97), Ecuador (0.66, 0.53), China (0.65, 0.31), Brazil (0.64, 0.5), Egypt (0.64, 0.85), Colombia (0.63, 0.46), Dominican Republic (0.63, 0.32), Zambia (0.62, 0.95), Sri Lanka (0.61, 0.39), Indonesia (0.6, 0.76), Paraguay (0.58, 0.69) |
| Solution 6 (FSI*~IQ*~HDI*~REN*~GLOB) | Bolivia (0.75, 0.62), Algeria (0.68, 0.97), Azerbaijan (0.65, 0.65), China (0.65, 0.31), Egypt (0.64, 0.85), Lebanon (0.64, 0.79), Dominican Republic (0.63, 0.32), Armenia (0.61, 0.86), SouthAfrica (0.56, 0.85), Ecuador (0.55, 0.53), Mexico (0.52, 0.39), Vietnam (0.51, 0.8) |
| Solution 7 (~GII*FSI*~HDI*~TO*~GLOB) | Nigeria (0.94, 0.97), Pakistan (0.93, 0.94), Uganda (0.93, 0.76), Cameroon (0.9, 0.87), Guatemala (0.83, 0.6), Kenya (0.78, 0.96), Madagascar (0.76, 0.89), Bolivia (0.75, 0.62), Indonesia (0.72, 0.76), Algeria (0.68, 0.97), Ecuador (0.66, 0.53), Brazil (0.64, 0.5), Egypt (0.64, 0.85), Colombia (0.63, 0.46), Dominican Republic (0.63, 0.32), Zambia (0.62, 0.95), Sri Lanka (0.61, 0.39), Peru (0.6, 0.79), Ghana (0.58, 0.72) |
| Solution 8 (~GII*FSI*~IQ*~HDI*~REN) | Bolivia (0.75, 0.62), Egypt (0.71, 0.85), Jordan (0.69, 0.95), Lebanon (0.69, 0.79), Algeria (0.68, 0.97), Azerbaijan (0.65, 0.65), SouthAfrica (0.64, 0.85), Dominican Republic (0.63, 0.32), Armenia (0.61, 0.86), Ecuador (0.55, 0.53), Mexico (0.52, 0.39) |
| Solution 9 (~GII*~IQ*~HDI*TO*~GLOB) | Honduras (0.66, 0.7), Lebanon (0.64, 0.79), Nicaragua (0.64, 0.9), Armenia (0.61, 0.86), Azerbaijan (0.58, 0.65), Mexico (0.52, 0.39), Albania (0.51, 0.43), Mongolia (0.51, 0.95) |
References
- Shahzad, U.; Ferraz, D.; Nguyen, H.H.; Cui, L. Investigating the spill overs and connectedness between financial globalization, high-tech industries and environmental footprints: Fresh evidence in context of China. Technol. Forecast. Soc. Chang. 2022, 174, 121205. [Google Scholar] [CrossRef]
- Bowen, A. Green Growth: What Does It Mean. Environmental Scientist. 2012. Available online: https://www.lse.ac.uk/granthaminstitute/publication/green-growth-what-does-it-mean/ (accessed on 21 October 2024).
- Desalegn, G.; Tangl, A. Enhancing green finance for inclusive green growth: A systematic approach. Sustainability 2022, 14, 7416. [Google Scholar] [CrossRef]
- Li, J.; Dong, K.; Dong, X. Green energy as a new determinant of green growth in China: The role of green technological innovation. Energy Econ. 2022, 114, 106260. [Google Scholar] [CrossRef]
- Abro, A.A.; Alam, N.; Murshed, M.; Mahmood, H.; Musah, M.; Rahman, A.A. Drivers of green growth in the Kingdom of Saudi Arabia: Can financial development promote environmentally sustainable economic growth? Environ. Sci. Pollut. Res. 2023, 30, 23764–23780. [Google Scholar] [CrossRef]
- Yi, H.; Liu, Y. Green economy in China: Regional variations and policy drivers. Glob. Environ. Chang. 2015, 31, 11–19. [Google Scholar] [CrossRef]
- Liu, Y.; Dong, F. How technological innovation impacts urban green economy efficiency in emerging economies: A case study of 278 Chinese cities. Resour. Conserv. Recycl. 2021, 169, 105534. [Google Scholar] [CrossRef]
- Wu, S.; Deng, X.; Qi, Y. Factors driving coordinated development of urban green economy: An empirical evidence from the Chengdu-Chongqing economic circle. Int. J. Environ. Res. Public Health 2022, 19, 6107. [Google Scholar] [CrossRef]
- Fainshmidt, S.; Witt, M.A.; Aguilera, R.V.; Verbeke, A. The contributions of qualitative comparative analysis (QCA) to international business research. J. Int. Bus. Stud. 2020, 51, 455–466. [Google Scholar] [CrossRef]
- Dul, J. Identifying single necessary conditions with NCA and fsQCA. J. Bus. Res. 2016, 69, 1516–1523. [Google Scholar] [CrossRef]
- Kazemzadeh, E.; Fuinhas, J.A.; Salehnia, N.; Koengkan, M.; Shirazi, M.; Osmani, F. Factors driving CO2 emissions: The role of energy transition and brain drain. Environ. Dev. Sustain. 2024, 26, 1673–1700. [Google Scholar] [CrossRef]
- Liu, Y.; Zhou, C.; Li, L.; Su, L.; Zhang, Y. Fragile States Metric System: An Assessment Model Considering Climate Change. Sustainability 2018, 10, 1767. [Google Scholar] [CrossRef]
- Bodea, C.; Elbadawi, I.A. Political violence and economic growth. World Bank Policy Res. Work. Pap. 2008, 4692, 1–35. [Google Scholar]
- North, D.C.; Wallis, J.J.; Weingast, B.R. Violence and Social Order: A Conceptual Framework for Interpreted Recorded Human History; Cambridge University Press: Cambridge, UK, 2009. [Google Scholar]
- Bakaboukila Ayessa, E.; Hakizimana, J. Effects of political instability on economic growth in the Republic of Congo. Mod. Econ. 2021, 12, 1896–1912. [Google Scholar] [CrossRef]
- Baklouti, N.; Boujelbene, Y. An econometric study of the role of political stability on the relationship between democracy and economic growth. Panoeconomicus 2020, 67, 187–206. [Google Scholar] [CrossRef]
- Aisen, A.; Veiga, F.J. How does political instability affect economic growth? In IMF Working Papers; International Monetary Fund: Washington, DC, USA, 2011; Volume 2011, pp. 1–26. [Google Scholar] [CrossRef]
- Gurgul, H.; Lach, Ł. Political instability and economic growth: Evidence from two decades of transition in CEE. Commun. Post-Commun. Stud. 2013, 46, 189–202. [Google Scholar] [CrossRef]
- Gakpa, L.L. Instabilité politique, IDE et effets sur la croissance économique dans les pays d’Afrique subsaharienne: Un modèle à équations simultanées dynamiques. Reg. Dev. 2019, 50, 89–117. [Google Scholar]
- Farjallah, N.; Abdelhamid, M. Effet de l’instabilité des institutions politiques sur la croissance économique en Tunisie: Une approche par le modèle ARDL. Int. J. Econ. Strateg. Manag. Bus. Process. 2017, 8, 148–157. [Google Scholar]
- Ndokang, L.; Tsambou, A.D. Instabilité politique en République centrafricaine (RCA) et performance de croissance de l’économie camerounaise. Les Cah. CEDIMES 2019, 13, 9–28. [Google Scholar]
- Chen, J.; Su, F.; Jain, V.; Salman, A.; Tabash, M.I.; Haddad, A.M.; Zabalawi, E.; Abdalla, A.A.; Shabbir, M.S. Does renewable energy matter to achieve sustainable development goals? The impact of renewable energy strategies on sustainable economic growth. Front. Energy Res. 2022, 10, 829252. [Google Scholar] [CrossRef]
- Aghion, P.; Dechezlepretre, A.; Hemous, D.; Martin, R.; Van Reenen, J. Carbon taxes, path dependency, and directed technical change: Evidence from the auto industry. J. Polit. Econ. 2016, 124, 1–51. [Google Scholar] [CrossRef]
- Jiang, Z.; Lyu, P.; Ye, L.; Zhou, W. Green innovation transformation, economic sustainability and energy consumption during China’s new normal stage. J. Clean. Prod. 2020, 273, 123044. [Google Scholar] [CrossRef]
- Ahmed, F.; Kousar, S.; Pervaiz, A.; Trinidad-Segovia, J.E.; Casado-Belmonte, M.P. Role of green innovation, trade, and energy to promote green economic growth: A case of South Asian Nations. Environ. Sci. Pollut. Res. 2022, 29, 6871–6885. [Google Scholar] [CrossRef] [PubMed]
- Zhao, N.; Liu, X.; Pan, C.; Wang, C. The performance of green innovation: From an efficiency perspective. Socio-Econ. Plan. Sci. 2021, 78, 101062. [Google Scholar] [CrossRef]
- Chen, R.; Ramzan, M.; Hafeez, M.; Ullah, S. Green innovation-green growth nexus in BRICS: Does financial globalization matter? J. Innov. Knowl. 2023, 8, 100286. [Google Scholar] [CrossRef]
- Mensah, C.N.; Long, X.; Dauda, L.; Boamah, K.B.; Salman, M.; Appiah-Twum, F.; Tachie, A.K. Technological innovation and green growth in the Organization for Economic Cooperation and Development economies. J. Clean. Prod. 2019, 240, 118204. [Google Scholar] [CrossRef]
- Jayasooriya, S. Nexus of financial development, innovation for green growth in ASEAN countries. MPRA Pap. 2020, 98212. Available online: https://mpra.ub.uni-muenchen.de/98212/1/MPRA_paper_98212.pdf (accessed on 3 July 2023).
- Hickel, J.; Kallis, G. Is green growth possible? New Polit. Econ. 2020, 25, 469–486. [Google Scholar] [CrossRef]
- Eren, B.M.; Taspinar, N.; Gokmenoglu, K.K. The impact of financial development and economic growth on renewable energy consumption: Empirical analysis of India. Sci. Total Environ. 2019, 663, 189–197. [Google Scholar] [CrossRef]
- Rahman, M.M.; Velayutham, E. Renewable and non-renewable energy consumption–economic growth nexus: New evidence from South Asia. Renew. Energy 2020, 147, 399–408. [Google Scholar] [CrossRef]
- Wang, Z.; Zhang, B.; Wang, B. Renewable energy consumption, economic growth and human development index in Pakistan: Evidence from simultaneous equation model. J. Clean. Prod. 2018, 184, 1081–1090. [Google Scholar] [CrossRef]
- Ozcan, B.; Ozturk, I. Renewable energy consumption–economic growth nexus in emerging countries: A bootstrap panel causality test. Renew. Sustain. Energy Rev. 2019, 104, 30–37. [Google Scholar] [CrossRef]
- Narayan, S.; Doytch, N. An investigation of renewable and non-renewable energy consumption and economic growth nexus using industrial and residential energy consumption. Energy Econ. 2017, 68, 160–176. [Google Scholar] [CrossRef]
- Destek, M.A.; Sinha, A. Renewable, non-renewable energy consumption, economic growth, trade openness and ecological footprint: Evidence from organisation for economic co-operation and development countries. J. Clean. Prod. 2020, 242, 118537. [Google Scholar] [CrossRef]
- Xie, F.; Liu, C.; Chen, H.; Wang, N. Threshold effects of new energy consumption transformation on economic growth. Sustainability 2018, 10, 4124. [Google Scholar] [CrossRef]
- Upreti, P. Factors affecting economic growth in developing countries. Major Themes Econ. 2015, 17, 37–54. [Google Scholar]
- Rodríguez-Martínez, C.C.; García-Sánchez, I.M.; Vicente-Galindo, P.; Galindo-Villardón, P. Exploring relationships between environmental performance, e-government, and corruption: A multivariate perspective. Sustainability 2019, 11, 6497. [Google Scholar] [CrossRef]
- Abdelbary, I.; Benhin, J. Governance, capital and economic growth in the Arab region. Q. Rev. Econ. Financ. 2019, 73, 184–191. [Google Scholar] [CrossRef]
- Samarasinghe, T. Impact of governance on economic growth. MPRA Pap. 2018, 89834. [Google Scholar]
- Sarkodie, S.A.; Adams, S. Renewable energy, nuclear energy, and environmental pollution: Accounting for political, institutional quality in South Africa. Sci. Total Environ. 2018, 643, 1590–1601. [Google Scholar] [CrossRef]
- Raju, A.S.; Balasubramaniam, N.; Srinivasan, R. Governance evolution and impact on economic growth: A South Asian perspective. In Open Government: Concepts, Methodologies, Tools, and Applications; IGI Global: New Delhi, India, 2020; pp. 2111–2139. [Google Scholar]
- Ahmed, F.; Kousar, S.; Pervaiz, A.; Shabbir, A. Do institutional quality and financial development affect sustainable economic growth? Evidence from South Asian countries. Borsa Istanb. Rev. 2022, 22, 189–196. [Google Scholar] [CrossRef]
- Nguyen, C.P.; Nguyen, N.A.; Schinckus, C.; Su, T.D. The ambivalent role of institutions in CO2 emissions: The case of emerging countries. Int. J. Energy Econ. Policy 2018, 8, 7. [Google Scholar]
- Abid, M. Does economic, financial, and institutional developments matter for environmental quality? A comparative analysis of EU and MEA countries. J. Environ. Manag. 2017, 188, 183–194. [Google Scholar] [CrossRef] [PubMed]
- Tawiah, V.; Zakari, A.; Adedoyin, F.F. Determinants of green growth in developed and developing countries. Environ. Sci. Pollut. Res. 2021, 28, 39227–39242. [Google Scholar] [CrossRef] [PubMed]
- Wolde-Rufael, Y.; Weldemeskel, E.M. Environmental policy stringency, renewable energy consumption, and CO2 emissions: Panel cointegration analysis for BRIICTS countries. Int. J. Green Energy 2020, 17, 568–582. [Google Scholar] [CrossRef]
- Zahonogo, P. Trade and economic growth in developing countries: Evidence from sub-Saharan Africa. J. Afr. Trade 2017, 3, 41–56. [Google Scholar] [CrossRef]
- Musila, J.W.; Yiheyis, Z. The impact of trade openness on growth: The case of Kenya. J. Policy Model. 2015, 37, 342–354. [Google Scholar] [CrossRef]
- Sheikh, M.A.; Malik, M.A.; Masood, R.Z. Assessing the effects of trade openness on sustainable development: Evidence from India. Asian J. Sustain. Soc. Responsib. 2020, 5, 1. [Google Scholar] [CrossRef]
- Shirazi, K.J.; Taghvaee, M.V.; Nasiri, M.; Arani, A.A. Sustainable development and openness in oil-exporting countries: Green growth and brown growth. Econ. Struct. 2020, 9, 40. [Google Scholar] [CrossRef]
- Jelassi, M.M.; Trabelsi, J.; Turki, M. Does the J-curve hypothesis hold for a small open economy? Evidence from time-varying coefficients of a distributed-lag model for Tunisia. Int. Econ. 2017, 152, 107–115. [Google Scholar] [CrossRef]
- Shen, J.; Wei, Y.D.; Yang, Z. The impact of environmental regulations on the location of pollution-intensive industries in China. J. Clean. Prod. 2017, 148, 785–794. [Google Scholar] [CrossRef]
- Ulasan, B. Trade openness and economic growth: Panel evidence. Appl. Econ. Lett. 2015, 22, 163–167. [Google Scholar] [CrossRef]
- Iqbal, M.A.; Majeed, M.T.; Luni, T. Human capital, trade openness, and CO2 emissions: Evidence from heterogeneous income groups. Pak. J. Commer. Soc. Sci. 2021, 15, 559–585. [Google Scholar]
- Khan, H.; Weili, L.; Khan, I.; Khamphengxay, S. Renewable energy consumption, trade openness, and environmental degradation: A panel data analysis of developing and developed countries. Math. Probl. Eng. 2021, 2021, 6691046. [Google Scholar] [CrossRef]
- Wang, Z.; Rasool, Y.; Asghar, M.M.; Wang, B. Dynamic linkages among CO2 emissions, human development, financial development, and globalization: Empirical evidence based on PMG long-run panel estimation. Environ. Sci. Pollut. Res. 2019, 26, 36248–36263. [Google Scholar] [CrossRef]
- Akbar, M.; Hussain, A.; Akbar, A.; Ullah, I. The dynamic association between healthcare spending, CO2 emissions, and human development index in OECD countries: Evidence from panel VAR model. Environ. Dev. Sustain. 2021, 23, 10470–10489. [Google Scholar] [CrossRef]
- Abid, N.; Wu, J.; Ahmad, F.; Draz, M.U.; Chandio, A.A.; Xu, H. Incorporating environmental pollution and human development in the energy-growth nexus: A novel long-run investigation for Pakistan. Int. J. Environ. Res. Public Health 2020, 17, 5154. [Google Scholar] [CrossRef]
- Lin, X.; Zhao, Y.; Ahmad, M.; Ahmed, Z.; Rjoub, H.; Adebayo, T.S. Linking innovative human capital, economic growth, and CO2 emissions: An empirical study based on Chinese provincial panel data. Int. J. Environ. Res. Public Health 2021, 18, 8503. [Google Scholar] [CrossRef]
- Maccari, N. Environmental sustainability and human development: A greening of human development index. Int. J. Sustain. Hum. Dev. 2014, 2, 29–34. [Google Scholar] [CrossRef]
- Samimi, J.A.; Kashefi, A.; Salatin, P.; Lashkarizadeh, M. Environmental performance and HDI: Evidence from countries around the world. Middle East J. Sci. Res. 2011, 10, 294–301. [Google Scholar]
- Pineiro-Chousa, J.; Vizcaíno-González, M.; Caby, J. Financial development and standardized reporting: A comparison among developed, emerging, and frontier markets. J. Bus. Res. 2019, 101, 797–802. [Google Scholar] [CrossRef]
- Sarwar, S.; Shahzad, U.; Chang, D.; Tang, B. Economic and non-economic sector reforms in carbon mitigation: Empirical evidence from Chinese provinces. Struct. Chang. Econ. Dyn. 2019, 49, 146–154. [Google Scholar] [CrossRef]
- Farooq, M.U.; Shahzad, U.; Sarwar, S.; ZaiJun, L. The impact of carbon emission and forest activities on health outcomes: Empirical evidence from China. Environ. Sci. Pollut. Res. 2019, 26, 12894–12906. [Google Scholar] [CrossRef] [PubMed]
- Huang, C.; Wu, X.; Wang, X.; He, T.; Jiang, F.; Yu, J. Exploring the relationships between achievement goals, community identification, and online collaborative reflection: A deep learning and Bayesian approach. Educ. Technol. Soc. 2021, 24, 210–223. [Google Scholar]
- Wang, X.; Wang, L.; Wang, S.; Fan, F.; Ye, X. Marketisation as a channel of international technology diffusion and green total factor productivity: Research on the spillover effect from China’s first-tier cities. Technol. Anal. Strateg. Manag. 2021, 33, 491–504. [Google Scholar] [CrossRef]
- Shahbaz, M.; Hoang, T.H.V.; Mahalik, M.K.; Roubaud, D. Energy consumption, financial development, and economic growth in India: New evidence from a nonlinear and asymmetric analysis. Energy Econ. 2017, 63, 199–212. [Google Scholar] [CrossRef]
- Anser, M.K.; Usman, M.; Godil, D.I.; Shabbir, M.S.; Sharif, A.; Tabash, M.I.; Lopez, L.B. Does globalization affect the green economy and environment? The relationship between energy consumption, carbon dioxide emissions, and economic growth. Environ. Sci. Pollut. Res. 2021, 28, 51105–51118. [Google Scholar] [CrossRef]
- Zafar, M.; Kousar, S.; Sabir, S.A. Impact of globalization on green growth: A case of OECD countries. J. Indian Stud. 2019, 5, 231–244. [Google Scholar]
- Akadiri, S.S.; Adebayo, T.S. Asymmetric nexus among financial globalization, non-renewable energy, renewable energy use, economic growth, and carbon emissions: Impact on environmental sustainability targets in India. Environ. Sci. Pollut. Res. 2022, 29, 16311–16323. [Google Scholar] [CrossRef]
- Ahmad, M.; Wu, Y. Combined role of green productivity growth, economic globalization, and eco-innovation in achieving ecological sustainability for OECD economies. J. Environ. Manag. 2022, 302 Pt A, 113980. [Google Scholar] [CrossRef]
- Ulucak, Z.Ş.; İlkay, S.Ç.; Özcan, B.; Gedikli, A. Financial globalization and environmental degradation nexus: Evidence from emerging economies. Resour. Policy 2020, 67, 101698. [Google Scholar] [CrossRef]
- Sun, Y.; Tang, S.; Dou, Z.; Wang, T. How environment and technology affect the regional manufacturing industry development. Heliyon 2024, 10, e35321. [Google Scholar] [CrossRef] [PubMed]
- Acemoglu, D.; Johnson, S.; Robinson, J.A. The Colonial Origins of Comparative Development: An Empirical Investigation. Am. Econ. Rev. 2001, 91, 1369–1401. [Google Scholar] [CrossRef]
- North, D.C. Institutions, Institutional Change and Economic Performance; Cambridge University Press: Cambridge, UK, 1990. [Google Scholar]
- Ostrom, E. Governing the Commons: The Evolution of Institutions for Collective Action; Cambridge University Press: Cambridge, UK, 1990. [Google Scholar]
- Dasgupta, S.; Laplante, B.; Wang, H.; Wheeler, D. Confronting the Environmental Kuznets Curve. J. Econ. Perspect. 2006, 16, 147–168. [Google Scholar] [CrossRef]
- Pan, Y.; Zhang, S.; Zhang, M. The impact of entrepreneurship of farmers on agriculture and rural economic growth: Innovation-driven perspective. Innov. Green Dev. 2024, 3, 100093. [Google Scholar] [CrossRef]
- Ioakeimidou, D.; Chatzoudes, D.; Symeonidis, S.; Chatzoglou, P. HRA adoption via organizational analytics maturity: Examining the role of institutional theory, resource-based view and diffusion of innovation. Int. J. Manpow. 2023, 45, 958–983. [Google Scholar] [CrossRef]
- Gorji, A.A.; Martek, I. The role of renewable energy as a ‘green growth’ strategy for the built environment. Buildings 2023, 13, 1356. [Google Scholar] [CrossRef]
- Belmonte-Ureña, L.J.; Plaza-Úbeda, J.A.; Vazquez-Brust, D.; Yakovleva, N. Circular economy, degrowth, and green growth as pathways for research on sustainable development goals: A global analysis and future agenda. Ecol. Econ. 2021, 185, 107050. [Google Scholar] [CrossRef]
- Dorobantu, S.; Kaul, A.; Zelner, B. Nonmarket strategy research through the lens of new institutional economics: An integrative review and future directions. Strat. Manag. J. 2017, 38, 114–140. [Google Scholar] [CrossRef]
- Wang, Y.; Sun, X.; Guo, X. Environmental regulation and green productivity growth: Empirical evidence on the Porter Hypothesis from OECD industrial sectors. Energy Policy 2019, 132, 611–619. [Google Scholar] [CrossRef]
- Green Growth Index. 2024. Available online: https://greengrowthindex.gggi.org/ (accessed on 21 October 2024).
- Global Innovation Index. 2024. Available online: https://www.wipo.int/web/global-innovation-index (accessed on 21 October 2024).
- Fragile States Index (FSI). 2024. Available online: https://fragilestatesindex.org/excel/ (accessed on 21 October 2024).
- World Bank Open Data (WBD). Worldwide Governance Indicators (WGI). 2024. Available online: https://info.worldbank.org/governance/wgi/ (accessed on 21 October 2024).
- Human Development Index (HDI). 2024. Available online: https://hdr.undp.org/data-center/human-development-index#/indicies/HDI (accessed on 21 October 2024).
- World Bank Open Data (WBD). Renewable Energy Consumption (% of Total Final Energy Consumption). 2024. Available online: https://data.worldbank.org/indicator/EG.FEC.RNEW.ZS (accessed on 21 October 2024).
- World Bank Open Data (WBD). Trade (% of GDP). 2024. Available online: https://data.worldbank.org/indicator/NE.TRD.GNFS.ZS (accessed on 21 October 2024).
- KOF Swiss Economic Institute. 2024. Available online: https://kof.ethz.ch/en/ (accessed on 21 October 2024).
- Ragin, C.C. Redesigning Social Inquiry: Fuzzy Sets and Beyond; University of Chicago Press: Chicago, IL, USA, 2008. [Google Scholar]
- Fiss, P.C. Building better causal theories: A fuzzy set approach to typologies in organization research. Acad. Manag. J. 2011, 54, 393–420. [Google Scholar] [CrossRef]
- Misangyi, V.F.; Greckhamer, T.; Furnari, S.; Fiss, P.C.; Crilly, D.; Aguilera, R. Embracing causal complexity: The emergence of a neo-configurational perspective. J. Manag. 2017, 43, 255–282. [Google Scholar] [CrossRef]
- Dul, J. Necessary condition analysis (NCA): Logic and methodology of “necessary but not sufficient” causality. Organ. Res. Methods 2016, 19, 10–52. [Google Scholar] [CrossRef]
- Dul, J.; van der Laan, E.; Kuik, R. A statistical significance test for necessary condition analysis. Organ. Res. Methods 2020, 23, 385–395. [Google Scholar] [CrossRef]
- Fan, X.; Wang, Y.; Lu, X. Digital transformation drives sustainable innovation capability improvement in manufacturing enterprises: Based on FsQCA and NCA Approaches. Sustainability 2022, 15, 542. [Google Scholar] [CrossRef]
- Ragin, C.C. The Comparative Method: Moving Beyond Qualitative and Quantitative Strategies; University of California Press: Berkeley, CA, USA, 1987. [Google Scholar]
- Schneider, C.Q.; Wagemann, C. Set-Theoretic Methods for the Social Sciences: A Guide to Qualitative Comparative Analysis; Cambridge University Press: Cambridge, UK, 2012. [Google Scholar]
- Rihoux, B.; Ragin, C.C. Configurational Comparative Methods: Qualitative Comparative Analysis (QCA) and Related Techniques; Sage Publications: Thousand Oaks, CA, USA, 2009. [Google Scholar]
- Dou, Z.; Sun, Y. System Identification of Enterprise Innovation Factor Combinations—A Fuzzy-Set Qualitative Comparative Analysis Method. Systems 2024, 12, 53. [Google Scholar] [CrossRef]
- Vis, B.; Dul, J. Analyzing relationships of necessity not just in kind but also in degree: Complementing fsQCA with NCA. Sociol. Methods Res. 2018, 47, 872–899. [Google Scholar] [CrossRef]
- Torres, P.; Godinho, P. Levels of necessity of entrepreneurial ecosystems elements. Small Bus. Econ. 2022, 59, 29–45. [Google Scholar] [CrossRef]
- Chen, Y.; Chen, Z. Can e-government online services offer enhanced governance support? A national-level analysis based on fsQCA and NCA. J. Innov. Knowl. 2024, 9, 100526. [Google Scholar] [CrossRef]
- Pappas, I.O.; Woodside, A.G. Fuzzy-set qualitative comparative analysis (fsQCA): Guidelines for research practice in Information Systems and Marketing. Int. J. Inf. Manag. 2021, 58, 102310. [Google Scholar] [CrossRef]
- Ding, H. What kinds of countries have better innovation performance? A country-level fsQCA and NCA study. J. Innov. Knowl. 2022, 7, 100215. [Google Scholar] [CrossRef]
- Woodside, A.G.; Zhang, M. Cultural diversity and marketing transactions: Are market integration, large community size, and world religions necessary for fairness in ephemeral exchanges? Psychol. Mark. 2013, 30, 263–276. [Google Scholar] [CrossRef]
- Huang, Y.; Li, S.; Xiang, X.; Bu, Y.; Guo, Y. How can the combination of entrepreneurship policies activate regional innovation capability? A comparative study of Chinese provinces based on fsQCA. J. Innov. Knowl. 2022, 7, 100227. [Google Scholar] [CrossRef]
- Jezierska-Thöle, A.; Gwiaździńska-Goraj, M.; Dudzińska, M. Environmental, social, and economic aspects of the green economy in Polish rural areas—A spatial analysis. Energies 2022, 15, 3332. [Google Scholar] [CrossRef]
- Loiseau, E.; Saikku, L.; Antikainen, R.; Droste, N.; Hansjürgens, B.; Pitkänen, K.; Leskinen, P.; Kuikman, P.; Thomsen, M. Green economy and related concepts: An overview. J. Clean. Prod. 2016, 139, 361–371. [Google Scholar] [CrossRef]
- Freeman, C. The greening of technology and models of innovation. Technol. Forecast. Soc. Chang. 1996, 53, 27–39. [Google Scholar] [CrossRef]
- Acemoglu, D.; Akcigit, U.; Hanley, D.; Kerr, W. Transition to clean technology. J. Political Econ. 2016, 124, 52–104. [Google Scholar] [CrossRef]
- Danquah, M.; Ouattara, B.; Quartey, P. Technology transfer and national efficiency: Does absorptive capacity matter? Afr. Dev. Rev. 2018, 30, 162–174. [Google Scholar] [CrossRef]
- Wen, H.; Chen, S.; Lee, C.C. Impact of low-carbon city construction on financing, investment, and total factor productivity of energy-intensive enterprises. Energy J. 2023, 44, 51–74. [Google Scholar] [CrossRef]
- Hashmi, R.; Alam, K. Dynamic relationship among environmental regulation, innovation, CO2 emissions, population, and economic growth in OECD countries: A panel investigation. J. Clean. Prod. 2019, 231, 1100–1109. [Google Scholar] [CrossRef]
- Hussain, J.; Lee, C.C.; Chen, Y. Optimal green technology investment and emission reduction in emissions-generating companies under the support of green bond and subsidy. Technol. Forecast. Soc. Chang. 2022, 183, 21952. [Google Scholar] [CrossRef]
- Aghion, P.; Hemous, D.; Veugelers, R. No green growth without innovation. In Bruegel Policy Brief; Brugel: Bruxelles, Belgium, 2009; pp. 1–8. Available online: http://aei.pitt.edu/12218/1/pb_climatervpa_231109_01.pdf (accessed on 21 October 2024).
- Arent, D.; Arndt, C.; Miler, M.; Tarp, F.; Zinaman, O. Introduction and synthesis. In The Political Economy of Clean Energy Transitions; Arent, D., Arndt, C., Miler, M., Tarp, F., Zinaman, O., Eds.; Oxford University Press: Oxford, UK, 2017; pp. 3–15. [Google Scholar] [CrossRef]
- Gordon, G.; Greenfield, O. How can a green economy power the SDGs? In Green Economy Coalition; CAFOD Policy Brief: London, UK, 2017. [Google Scholar]
- Qi, S.; Cheng, S. China’s national emissions trading scheme: Integrating cap, coverage, and allocation. Clim. Policy 2018, 18 (Suppl. 1), 45–59. [Google Scholar] [CrossRef]
- Geng, Y.; Xinbei, W.; Qinghua, Z.; Hengxin, Z. Regional initiatives on promoting cleaner production in China: A case of Liaoning. J. Clean. Prod. 2010, 18, 1502–1508. [Google Scholar] [CrossRef]
- Muhammad, S.; Long, X. Rule of law and CO2 emissions: A comparative analysis across 65 Belt and Road Initiative (BRI) countries. J. Clean. Prod. 2021, 279, 123539. [Google Scholar] [CrossRef]
- Mohammed, A.I.; Yunos, N.F.M.; Idris, M.A.; Najmi, N.H.; Jamal, Z.A.Z.; Nomura, T. Phase transformations of Langkawi ilmenite ore during carbothermal reduction using palm char as renewable reductant. Chem. Eng. Res. Des. 2022, 178, 583–589. [Google Scholar] [CrossRef]
- Adams, S.; Adom, P.K.; Klobodu, E.K.M. Urbanization, regime type, durability, and environmental degradation in Ghana. Environ. Sci. Pollut. Res. 2016, 23, 23825–23839. [Google Scholar] [CrossRef]
- Banik, D. Democracy and sustainable development. Anthr. Sci. 2022, 1, 233–245. [Google Scholar] [CrossRef]
- Teixeira, A.A.; Queirós, A.S. Economic growth, human capital, and structural change: A dynamic panel data analysis. Res. Policy 2016, 45, 1636–1648. [Google Scholar] [CrossRef]
- Yao, Y.; Pan, J.; Wang, W.; Liu, Z.; Kan, H.; Qiu, Y.; Meng, X.; Wang, W. Association of particulate matter pollution and case fatality rate of COVID-19 in 49 Chinese cities. Sci. Total Environ. 2020, 741, 140396. [Google Scholar] [CrossRef]
- Ahmed, W.; Angel, N.; Edson, J.; Bibby, K.; Bivins, A.; O’Brien, J.W.; Choi, P.M.; Kitajima, M.; Simpson, S.L.; Jiaying, L.; et al. First confirmed detection of SARS-CoV-2 in untreated wastewater in Australia: A proof of concept for the wastewater surveillance of COVID-19 in the community. Sci. Total Environ. 2020, 728, 138764. [Google Scholar] [CrossRef]
- Ahmed, Z.; Ahmad, M.; Rjoub, H.; Kalugina, O.A.; Hussain, N. Economic growth, renewable energy consumption, and ecological footprint: Exploring the role of environmental regulations and democracy in sustainable development. Sustain. Dev. 2022, 30, 595–605. [Google Scholar] [CrossRef]
- Opoku, E.E.O.; Dogah, K.E.; Aluko, O.A. The contribution of human development towards environmental sustainability. Energy Econ. 2022, 106, 105782. [Google Scholar] [CrossRef]
- Jackson, R.B.; Saunois, M.; Bousquet, P.; Canadell, J.G.; Poulter, B.; Stavert, A.R.; Bergamaschi, P.; Niwa, Y.; Tsuruta, A. Increasing anthropogenic methane emissions arise equally from agricultural and fossil fuel sources. Environ. Res. Lett. 2019, 15, 071002. [Google Scholar] [CrossRef]
- Azam, A.; Rafiq, M.; Shafique, M.; Yuan, J. Mitigating carbon emissions in China: The role of clean energy, technological innovation, and political-institutional quality. Front. Environ. Sci. 2022, 10, 182. [Google Scholar] [CrossRef]
- Lima, P.A.B.; Jesus, G.M.K.; Ortiz, C.R.; Frascareli, F.C.O.; Souza, F.B.; Mariano, E.B. Sustainable Development as Freedom: Trends and Opportunities for the Circular Economy in Human Development Literature. Sustainability 2021, 13, 13407. [Google Scholar] [CrossRef]
- Xuan, D.; Jiang, X.; Fang, Y. Can globalization and the green economy hedge natural resources? Functions of population growth and financial development in BRICS countries. Resour. Policy 2023, 82, 103414. [Google Scholar] [CrossRef]
- Canuto, O. How Globalization is Changing Innovation. World Econ. Forum. 2018. Available online: https://www.weforum.org/agenda/2018/08/globalisation-has-the-potential-to-nurture-innovation-heres-how/ (accessed on 21 October 2024).
- Chen, C.; Pinar, M.; Stengos, T. Renewable Energy Consumption and Economic Growth Nexus: Evidence from a Threshold Model. Energy Policy 2020, 139, 111295. [Google Scholar] [CrossRef]
- Tausz-Posch, S.; Borowiak, K.; Dempsey, R.W.; Norton, R.M.; Seneweera, S.; Fitzgerald, G.J.; Tausz, M. The effect of elevated CO2 on photochemistry and antioxidative defense capacity in wheat depends on environmental growing conditions—A FACE study. Environ. Exp. Bot. 2013, 88, 81–92. [Google Scholar] [CrossRef]
- Jacobs, B. A dragon and a dove? A comparative overview of Chinese and European trade relations with Sub-Saharan Africa. J. Curr. Chin. Aff. 2012, 40, 17–60. [Google Scholar] [CrossRef]
- Gault, F. Social impacts of the development of science, technology and innovation indicators. In MERIT Working Papers, 2011–008, Maastricht Economic and Social Research Institute on Innovation and Technology (MERIT); United Nations University: Shibuya, Japan, 2011. [Google Scholar] [CrossRef][Green Version]
- Leal, P.H.; Marques, A.C. Are de jure and de facto globalization undermining the environment? Evidence from high and low globalized EU countries. J. Environ. Manag. 2019, 250, 109460. [Google Scholar] [CrossRef]
- Shahbaz, M.; Shahzad, S.J.H.; Mahalik, M.K. Is Globalization Detrimental to CO2 Emissions in Japan? New Threshold Analysis. Environ. Model. Assess. 2018, 23, 557–568. [Google Scholar] [CrossRef]
- Stollenwerk, E. Measuring statehood on the sub-national level in Nigeria. In Measuring Statehood on a Sub-National Level: A Dialogue among Methods; SFB-Governance Working Paper Series; Heucher, A., Linke-Behrens, L., Schettler, L., Eds.; Collaborative Research Center (SFB) 700: Berlin, Germany, 2017; Volume 71. [Google Scholar]
- Mao, X. Theoretical thinking on the influence of geographical environment on cultural development. Tangdu J. 2001, 3, 55–61. Available online: http://kns.cnki.net/KCMS/detail/detail.aspx?dbcode=CJFQ&dbname=CJFD2001&filename=TDXK200103014&v=MDAwNDFyQ1VSTEtmWXVkdUZ5N2hWTHZBTVNuVFpiRzRIdERNckk5RVlJUjhlWDFMdXhZUzdEaDFUM3FUcldNMUY= (accessed on 8 April 2018).
- Alola, A.A.; Adebayo, T.S.; Onifade, S.T. Examining the dynamics of ecological footprint in China with spectral Granger causality and quantile-on-quantile approaches. Int. J. Sustain. Dev. World Ecol. 2022, 29, 263–276. [Google Scholar] [CrossRef]
- Manni, M.; Aghaei, M.; Sizkouhi, A.M.M.; Kumar, R.R.R.; Stølen, R.; Steen-Hansen, A.; Di Sabatino, M.; Moazami, A.; Völler, S.; Jelle, B.P. Solar Energy in the Built Environment. In Reference Module in Earth Systems and Environmental Sciences; Elsevier: Amsterdam, The Netherlands, 2023; pp. 1–20. [Google Scholar]
- Liu, C.; Yang, R.; Wang, K.; Zhang, J. Community-Focused Renewable Energy Transition with Virtual Power Plant in an Australian City—A Case Study. Buildings 2023, 13, 844. [Google Scholar] [CrossRef]
- Kazemzadeh, E.; Fuinhas, J.A.; Shirazi, M.; Koengkan, M.; Silva, N. Does economic complexity increase energy intensity? Energy Effic. 2023, 16, 29. [Google Scholar] [CrossRef]
- Dai, H.; Xie, X.; Xie, Y.; Liu, J.; Masui, T. Green growth: The economic impacts of large-scale renewable energy development in China. Appl. Energy 2015, 162, 435–449. [Google Scholar] [CrossRef]
- Wang, Q.; Zhang, F. The effects of trade openness on decoupling carbon emissions from economic growth: Evidence from 182 countries. J. Clean. Prod. 2021, 279, 123838. [Google Scholar] [CrossRef]
- Frankel, J.; Rose, A. Is trade good or bad for the environment? Sorting out the causality. Rev. Econ. Stat. 2005, 87, 85–91. [Google Scholar] [CrossRef]
- Shahbaz, M.; Hye, Q.M.A.; Tiwari, A.K.; Leitao, N.C. Economic growth, energy consumption, financial development, international trade, and CO2 emissions in Indonesia. Renew. Sustain. Energy Rev. 2013, 25, 109–121. [Google Scholar] [CrossRef]



| Variable Abbreviation | Variable Definition | Sources |
|---|---|---|
| GGI | Green growth index | Green growth index [86] |
| GII | Global innovation index | Global innovation index [87] |
| FSI | The fragile states index (FSI) is a metric used to assess the fragility of governments. A higher FSI value indicates a greater level of fragility. | Fragile states index (FSI) [88] |
| IQ | The measurement of institutional quality (IQ) in this study involves the utilization of five indicators: corruption, law and order, democratic accountability (ranging from 0 to 6), bureaucratic quality (ranging from 0 to 4), and state stability (on a scale of 0 to 12). All five indicators were transformed to a scale of 0 to 10 to ensure consistency. The aggregated sum of these indicators was then used to calculate the overall institutional quality. Higher values on this scale indicate better institutional quality. | World bank data (WBD) [89] |
| HDI | Human development index | Human development index (HDI) [90] |
| REN | Renewable energy consumption (% of total energy) | WBD [91] |
| TO | Trade openness (% GDP) | WBD [92] |
| GLOB | Globalization | KOF Swiss Economic Institute [93] |
| Variable | Fuzzy-Set Calibrations | Measure Description | |||||
|---|---|---|---|---|---|---|---|
| Full Inclusion | Crossover | Full Exclusion | Mean | SD | Min | Max | |
| GGI | 70.8085 | 49.7100 | 26.7910 | 49.53256 | 13.40976 | 22.36 | 75.32 |
| GII | 59.170 | 36.450 | 23.945 | 38.95556 | 11.64297 | 20.4 | 67.2 |
| FSI | 93.885 | 60.000 | 19.745 | 56.49444 | 23.51205 | 16.9 | 98.5 |
| IQ | 43.75000 | 29.32292 | 20.80729 | 31.27122 | 7.288511 | 18.16 | 44.826 |
| HDI | 0.94655 | 0.81800 | 0.54690 | 0.800011 | 0.121777 | 0.498 | 0.962 |
| REN | 82.1535 | 19.0000 | 1.1910 | 27.716 | 23.97837 | 0.03 | 90.22 |
| TO | 174.78324 | 75.83622 | 32.77681 | 88.4286 | 58.2094 | 26.314 | 381.52 |
| GLOB | 88.67443 | 71.57930 | 53.20171 | 72.06667 | 11.45503 | 45 | 91 |
| Condition | Accuracy (%) | Effect Size (d) | p-Value |
|---|---|---|---|
| GII | 100% | 0.210 * | 0.000 |
| FSI | 100% | 0.001 | 0.935 |
| IQ | 100% | 0.193 * | 0.000 |
| HDI | 100% | 0.261 * | 0.000 |
| REN | 100% | 0.047 | 0.002 |
| TO | 100% | 0.076 | 0.000 |
| GLOB | 100% | 0.298 * | 0.000 |
| GGI | GII | FSI | IQ | HDI | REN | TO | GLOB |
|---|---|---|---|---|---|---|---|
| 0 | NN | NN | NN | NN | NN | NN | NN |
| 10 | NN | NN | NN | NN | NN | NN | NN |
| 20 | NN | NN | NN | NN | NN | NN | NN |
| 30 | NN | NN | NN | NN | NN | NN | NN |
| 40 | 11.6 | NN | NN | 8.3 | NN | NN | 2.8 |
| 50 | 23.1 | NN | 5.9 | 20.9 | NN | NN | 17.9 |
| 60 | 34.7 | NN | 20.9 | 33.6 | NN | NN | 33.1 |
| 70 | 46.2 | NN | 35.9 | 46.2 | NN | NN | 48.3 |
| 80 | 57.8 | 0.9 | 50.9 | 58.8 | 12.4 | 14.8 | 63.5 |
| 90 | 69.4 | 1.1 | 65.9 | 71.5 | 18.5 | 33.3 | 78.7 |
| 100 | 80.9 | 2.3 | 81.0 | 84.1 | 59.1 | 51.9 | 93.8 |
| Configurations | Raw Coverage | Unique Coverage | Consistency |
|---|---|---|---|
| Model: GGI = f(GII, FSI, IQ, HDI, REN, TO, GLOB) | |||
| ~FSI*REN*TO | 0.457225 | 0.0226522 | 0.957182 |
| REN*TO*GLOB | 0.445349 | 0.00725752 | 0.963827 |
| GII*REN*~TO*~GLOB | 0.247196 | 0.023312 | 0.909385 |
| ~FSI*HDI*REN*GLOB | 0.511986 | 0.0457444 | 0.952927 |
| GII*~FSI*IQ*HDI*TO*GLOB | 0.535958 | 0.135474 | 0.92556 |
| Solution coverage | 0.712778 | ||
| Solution consistency | 0.891364 | ||
| Configurations | Raw Coverage | Unique Coverage | Consistency |
|---|---|---|---|
| Model: ~GGI = f(GII, FSI, IQ, HDI, REN, TO, GLOB) | |||
| ~GII*~IQ*~REN*~GLOB | 0.476982 | 0.0163934 | 0.929134 |
| FSI*~IQ*~REN*~TO | 0.422188 | 0.00651246 | 0.889309 |
| ~GII*~IQ*~TO*GLOB | 0.338873 | 0.0116774 | 0.925767 |
| FSI*~REN*~TO*GLOB | 0.332585 | 0.0170671 | 0.925625 |
| FSI*~IQ*~HDI*~TO*~GLOB | 0.579385 | 0.00538957 | 0.904946 |
| FSI*~IQ*~HDI*~REN*~GLOB | 0.435437 | 0.00202107 | 0.920266 |
| ~GII*FSI*~HDI*~TO*~GLOB | 0.591287 | 0.0235797 | 0.911073 |
| ~GII*FSI*~IQ*~HDI*~REN | 0.450708 | 0.0157198 | 0.908145 |
| ~GII*~IQ*~HDI*TO*~GLOB | 0.382663 | 0.0136986 | 0.948775 |
| Solution coverage | 0.781496 | ||
| Solution consistency | 0.870435 | ||
Disclaimer/Publisher’s Note: The statements, opinions and data contained in all publications are solely those of the individual author(s) and contributor(s) and not of MDPI and/or the editor(s). MDPI and/or the editor(s) disclaim responsibility for any injury to people or property resulting from any ideas, methods, instructions or products referred to in the content. |
© 2025 by the authors. Licensee MDPI, Basel, Switzerland. This article is an open access article distributed under the terms and conditions of the Creative Commons Attribution (CC BY) license (https://creativecommons.org/licenses/by/4.0/).
Share and Cite
Kazemzadeh, E.; Salehnia, N.; Yu, Y.; Radulescu, M. Drivers of Green Growth: Roles of Innovation and Fragility. Sustainability 2025, 17, 735. https://doi.org/10.3390/su17020735
Kazemzadeh E, Salehnia N, Yu Y, Radulescu M. Drivers of Green Growth: Roles of Innovation and Fragility. Sustainability. 2025; 17(2):735. https://doi.org/10.3390/su17020735
Chicago/Turabian StyleKazemzadeh, Emad, Narges Salehnia, Yang Yu, and Magdalena Radulescu. 2025. "Drivers of Green Growth: Roles of Innovation and Fragility" Sustainability 17, no. 2: 735. https://doi.org/10.3390/su17020735
APA StyleKazemzadeh, E., Salehnia, N., Yu, Y., & Radulescu, M. (2025). Drivers of Green Growth: Roles of Innovation and Fragility. Sustainability, 17(2), 735. https://doi.org/10.3390/su17020735

