Analysis of the Pollution Load Contribution Rate of Inflowing Tributaries for the Sustainable Management of the Seomjin River (Seombon D)
Abstract
1. Introduction
2. Research Content and Unit Watershed Status
2.1. Study Area
2.2. Research Analysis Method
2.3. Unit Watershed Status and Observation Data
3. Results and Discussion
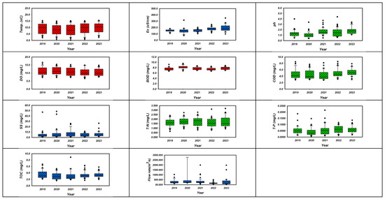
3.1. Status Analysis
3.2. Statistical Analysis
3.3. Analysis of Cumulative Effluent Load
3.4. Contribution Rate Analysis
4. Conclusions
Author Contributions
Funding
Institutional Review Board Statement
Informed Consent Statement
Data Availability Statement
Acknowledgments
Conflicts of Interest
References
- Wang, H.; Guan, Y.; Hu, M.; Hou, Z.; Ping, Y.; Zhang, Z.; Zhang, Q.; Shang, F.; Lin, K.; Feng, C. Enhancing Pollution Management in Watersheds: A Critical Review of Total Maximum Daily Load (TMDL) Implementation. Environ. Res. 2025, 264, 120394. [Google Scholar] [CrossRef] [PubMed]
- Shahrulniza, N.A.; Hamidon, N. The Study of Total Maximum Daily Load of Parit Tiram Using Water Quality Modelling. Prog. Eng. Appl. Technol. 2024, 5, 445–451. [Google Scholar]
- Im, J.; Kong, D. Analysis of Water Quality and Aquatic Ecosystem Improvement Effect According to TMDL in Jinwi River Watershed. J. Environ. Impact Assess. 2021, 30, 355–360. [Google Scholar] [CrossRef]
- Kim, S.-G.; Oh, S.-Y.; Park, S.-Y.; Na, E.-H.; Kim, Y.-S. Improvement and Implementation to Enhance the Effectiveness of the Total Pollution Load Control System. J. Korean Soc. Water Environ. 2023, 39, 343–355. [Google Scholar] [CrossRef]
- Lee, B.-Y.; Lee, C.-H. Effects of the Voluntary Scheme of Total Maximum Daily Load Based on Water Quality and Annual Evaluation Data in the Gyeongan Watershed, South Korea. J. Korean Soc. Water Environ. 2021, 37, 263–274. [Google Scholar] [CrossRef]
- Ha, D.-W.; Baek, J.; Jung, K.-Y.; Shim, H.; Choi, B.; Lee, Y.; Shin, D.S. Long-Term Water Quality Fluctuations in the Seomjin River System Determined Using LOWESS and Seasonal Kendall Analyses. Water Air Soil Pollut. 2022, 233, 535. [Google Scholar] [CrossRef]
- Kal, B.-S.; Cho, S.-H.; Park, C.-D.; Mun, H.-S.; Joo, Y.-E.; Park, J.-B. Watershed Water Quality Management Plan Using SWAT and Load Duration Curve. J. Korean Assoc. Geogr. Inf. 2021, 24, 41–57. [Google Scholar] [CrossRef]
- Choi, D.-H.; Jung, J.-W.; Lee, K.-S.; Choi, Y.-J.; Yoon, K.-S.; Cho, S.-H.; Park, H.-N.; Lim, B.-J.; Chang, N.-I. Estimation of Pollutant Load Delivery Ratio for Flow Duration Using L-Q Equation from the Oenam-Cheon Watershed in Juam Lake. J. Environ. Sci. Int. 2012, 21, 31–39. [Google Scholar] [CrossRef]
- Lee, S.; Shin, J.Y.; Lee, G.; Sung, Y.; Kim, K.; Lim, K.J.; Kim, J. Analysis of Water Pollutant Load Characteristics and Its Contributions During Dry Season: Focusing on Major Streams Inflow into South-Han River of Chungju-Dam Downstream. J Korean Soc Env. Eng. 2018, 40, 247–257. [Google Scholar] [CrossRef]
- Park, S.-J. Evaluation of the Contribution Ratio That the Pollution Loads of the Drainage Areas Affect Soyang-Lake. J. Korea Acad. Ind. Coop. Soc. 2014, 15, 5363–5368. [Google Scholar] [CrossRef]
- Huang, M. Characteristics of Water Quality and Estimation of Pollution Loads in the Main Rivers Surrounding Erhai Lake. Pollut. Stud. 2023, 4, 2068. [Google Scholar] [CrossRef]
- Simeonov, V.; Stratis, J.A.; Samara, C.; Zachariadis, G.; Voutsa, D.; Anthemidis, A.; Sofoniou, M.; Kouimtzis, T. Assessment of the Surface Water Quality in Northern Greece. Water Res. 2003, 37, 4119–4124. [Google Scholar] [CrossRef] [PubMed]
- Jarvie, H.; Whitton, B.; Neal, C. Nitrogen and Phosphorus in East Coast British Rivers: Speciation, Sources and Biological Significance. Sci. Total Environ. 1998, 210–211, 79–109. [Google Scholar] [CrossRef]
- Hwang, H.-S.; Rhee, H.-P.; Park, J.-H.; Kim, Y.-S.; Lee, S.-J.; Ahn, K.-H. Study on Estimation and Application of Discharge Coefficient about Nonpoint Source Pollutants Using Watershed Model. J. Korean Soc. Water Environ. 2015, 31, 653–664. [Google Scholar] [CrossRef]
- Hwang, H.-S.; Rhee, H.-P.; Ahn, K.-H.; Park, J.-H.; Kim, Y.-S.; Lee, S.-J. A Study on Estimated Pollutant Delivery Load for the Basic Plan of TPLC. J. Korean Soc. Water Environ. 2016, 32, 375–383. [Google Scholar] [CrossRef]
- Water Environment Division 4th Master Plan for Quantity Regulation of Water Pollution in Seomjin River; Jeollanam-do Eastern Region Office: Jeollanam-do, Republic of Korea, 2024.







| Tributary | Administrative District | No. of Sub-Basin | No. of TMDL Basin | Area (km2) | 4th Phase (′21~′25) Target Water Quality (mg/L) | ||
|---|---|---|---|---|---|---|---|
| BOD5 | T-P | ||||||
| Boseong B | Jeollanam-do | Boseong county | 10 | 1 | 580.659 | 1.3 | 0.030 |
| Suncheon city | 14 | ||||||
| Whasun county | 7 | ||||||
| Seombon D | Jeollanam-do | Gurye county | 2 | 1 | 650.287 | 1.3 | 0.051 |
| Suncheon city | 1 | ||||||
| Jeollabuk-do | Gokseong county | 31 | |||||
| Namwon city | 5 | ||||||
| Sunchang county | 1 | ||||||
| Unit Basin Items | Seombon C | Boseong B | Seombon D | ||||
|---|---|---|---|---|---|---|---|
| Year | BOD (kg/d) | T-P (kg/d) × 100 | BOD (kg/d) | T-P (kg/d) × 100 | BOD (kg/d) | T-P (kg/d) × 100 | |
| 2019 | 1495.643 | 6588.429 | 462.354 | 1307.040 | 3771.816 | 16,474.785 | |
| 2020 | 2148.450 | 12,161.283 | 424.111 | 1247.631 | 7272.512 | 41,819.189 | |
| 2021 | 2419.246 | 9020.088 | 522.045 | 1188.294 | 5816.151 | 24,154.060 | |
| 2022 | 1560.933 | 3203.116 | 384.716 | 607.671 | 2088.283 | 9705.173 | |
| 2023 | 2359.616 | 6017.444 | 408.888 | 774.867 | 4374.065 | 19,058.79 | |
| Item | Kolmogorov–Smirnova | Descriptive Statistics | Standard Error | |
|---|---|---|---|---|
| Temp. (°C) | 0.000 | Skewness | −0.235 | 0.173 |
| Kurtosis | −1.135 | 0.344 | ||
| EC (uS/cm) | 0.000 | Skewness | 1.255 | 0.173 |
| Kurtosis | 4.587 | 0.344 | ||
| pH | 0.005 | Skewness | 0.474 | 0.173 |
| Kurtosis | 0.024 | 0.344 | ||
| DO (mg/L) | 0.000 | Skewness | 0.336 | 0.173 |
| Kurtosis | −1.070 | 0.344 | ||
| BOD (mg/L) | 0.000 | Skewness | 1.279 | 0.173 |
| Kurtosis | 2.273 | 0.344 | ||
| COD (mg/L) | 0.000 | Skewness | 1.379 | 0.173 |
| Kurtosis | 3.093 | 0.344 | ||
| SS (mg/L) | 0.000 | Skewness | 7.179 | 0.173 |
| Kurtosis | 62.775 | 0.344 | ||
| T-N (mg/L) | 0.030 | Skewness | 0.364 | 0.173 |
| Kurtosis | −0.133 | 0.344 | ||
| T-P (mg/L) | 0.001 | Skewness | 1.371 | 0.173 |
| Kurtosis | 3.422 | 0.344 | ||
| TOC (mg/L) | 0.000 | Kurtosis | 1.388 | 0.173 |
| Skewness | 2.932 | 0.344 | ||
| Flow rate (m3/s) | 0.000 | Kurtosis | 5.736 | 0.173 |
| Skewness | 40.307 | 0.344 | ||
| Items | Temp. (°C) | pH | EC (uS/cm) | DO (mg/L) | BOD (mg/L) | COD (mg/L) | SS (mg/L) | T-N (mg/L) | T-P (mg/L) | TOC (mg/L) | Flow Rate (m3/s) |
|---|---|---|---|---|---|---|---|---|---|---|---|
| Temp. (°C) | 1.000 | ||||||||||
| pH | −0.220 ** | 1.000 | |||||||||
| EC (uS/cm) | −0.368 ** | 0.146 * | 1.000 | ||||||||
| DO (mg/L) | −0.818 ** | 0.408 ** | 0.370 ** | 1.000 | |||||||
| BOD (mg/L) | −0.006 | −0.046 | 0.037 | −0.065 | 1.000 | ||||||
| COD (mg/L) | 0.576 ** | −0.193 ** | −0.074 | −0.580 ** | 0.358 ** | 1.000 | |||||
| SS (mg/L) | 0.557 ** | −0.351 ** | −0.343 ** | −0.662 ** | 0.332 ** | 0.719 ** | 1.000 | ||||
| T-N (mg/L) | −0.613 ** | −0.062 | 0.170 * | 0.401 ** | −0.002 | −0.160 * | −0.087 | 1.000 | |||
| T-P (mg/L) | 0.742 ** | −0.376 ** | −0.214 ** | −0.735 ** | 0.243 ** | 0.809 ** | 0.762 ** | −0.228 ** | 1.000 | ||
| TOC (mg/L) | 0.600 ** | −0.272 ** | −0.141 * | −0.576 ** | 0.296 ** | 0.898 ** | 0.672 ** | −0.174 * | 0.777 ** | 1.000 | |
| Flow rate (m3/s) | 0.318 ** | −0.206 ** | −0.534 ** | −0.356 ** | −0.125 | 0.031 | 0.438 ** | 0.054 | 0.209 ** | 0.104 | 1.000 |
| Year | Unit Basin | Flow Rate (m3/sec) | BOD (mg/L) | Delivery Pollutant Loads (kg/d) | Contribution Ratio (%) | T-P (mg/L) | Delivery Pollutant Loads (kg/d) | Contribution Ratio (%) |
|---|---|---|---|---|---|---|---|---|
| 2019 | Seombon D | 31.227 | 1.3 | 3507.417 | 0.054 | 145.693 | ||
| Boseong B | 6.068 | 0.9 | 471.848 | 13.45% | 0.025 | 13.107 | 9.00% | |
| Seombon C | 13.87 | 1.2 | 1438.042 | 41.00% | 0.043 | 51.530 | 35.37% | |
| Total | 54.45% | 44.37% | ||||||
| 2020 | Seombon D | 75.235 | 1.1 | 7150.334 | 0.041 | 266.512 | ||
| Boseong B | 7.3 | 0.6 | 378.432 | 5.29% | 0.015 | 9.461 | 3.55% | |
| Seombon C | 24.92 | 1.1 | 2368.397 | 33.12% | 0.037 | 79.664 | 29.89% | |
| Total | 38.42% | 33.44% | ||||||
| 2021 | Seombon D | 34.011 | 1.7 | 4995.536 | 0.055 | 161.620 | ||
| Boseong B | 6.248 | 0.9 | 485.844 | 9.73% | 0.019 | 10.257 | 6.35% | |
| Seombon C | 15.068 | 1.7 | 2213.188 | 44.30% | 0.05 | 65.094 | 40.28% | |
| Total | 54.03% | 46.62% | ||||||
| 2022 | Seombon D | 16.66 | 1.5 | 2159.136 | 0.062 | 89.244 | ||
| Boseong B | 2.999 | 1.4 | 362.759 | 16.80% | 0.028 | 7.255 | 8.13% | |
| Seombon C | 8.259 | 2.2 | 1569.871 | 72.71% | 0.044 | 31.397 | 35.18% | |
| Total | 89.51% | 43.31% | ||||||
| 2023 | Seombon D | 13.265 | 1.8 | 2062.973 | 0.057 | 65.327 | ||
| Boseong B | 3.523 | 1.5 | 456.581 | 22.13% | 0.022 | 6.697 | 10.25% | |
| Seombon C | 11.946 | 2.4 | 2477.123 | 120.08% | 0.047 | 48.510 | 74.26% | |
| Total | 142.21% | 84.51% | ||||||
Disclaimer/Publisher’s Note: The statements, opinions and data contained in all publications are solely those of the individual author(s) and contributor(s) and not of MDPI and/or the editor(s). MDPI and/or the editor(s) disclaim responsibility for any injury to people or property resulting from any ideas, methods, instructions or products referred to in the content. |
© 2025 by the authors. Licensee MDPI, Basel, Switzerland. This article is an open access article distributed under the terms and conditions of the Creative Commons Attribution (CC BY) license (https://creativecommons.org/licenses/by/4.0/).
Share and Cite
Ha, D.-W.; Baek, J.-H.; Hwang, S.-Y.; Lee, Y.-J.; Lee, W.-S.; Choi, J.-Y. Analysis of the Pollution Load Contribution Rate of Inflowing Tributaries for the Sustainable Management of the Seomjin River (Seombon D). Sustainability 2025, 17, 411. https://doi.org/10.3390/su17020411
Ha D-W, Baek J-H, Hwang S-Y, Lee Y-J, Lee W-S, Choi J-Y. Analysis of the Pollution Load Contribution Rate of Inflowing Tributaries for the Sustainable Management of the Seomjin River (Seombon D). Sustainability. 2025; 17(2):411. https://doi.org/10.3390/su17020411
Chicago/Turabian StyleHa, Don-Woo, Jong-Hun Baek, Seong-Yun Hwang, Young-Jea Lee, Won-Seok Lee, and Ji-Yeon Choi. 2025. "Analysis of the Pollution Load Contribution Rate of Inflowing Tributaries for the Sustainable Management of the Seomjin River (Seombon D)" Sustainability 17, no. 2: 411. https://doi.org/10.3390/su17020411
APA StyleHa, D.-W., Baek, J.-H., Hwang, S.-Y., Lee, Y.-J., Lee, W.-S., & Choi, J.-Y. (2025). Analysis of the Pollution Load Contribution Rate of Inflowing Tributaries for the Sustainable Management of the Seomjin River (Seombon D). Sustainability, 17(2), 411. https://doi.org/10.3390/su17020411

