Spatio-Temporal Evolution of Ecological Resilience in Ecologically Fragile Areas and Its Influencing Factors: A Case Study of the Wuling Mountains Area, China
Abstract
1. Introduction
2. Materials and Methods
2.1. Study Area
2.2. Selection of Influencing Factors
2.3. Data Sources and Preprocessing
2.3.1. Raster Data
2.3.2. Other Data
2.4. Methods
2.4.1. Estimation of Ecological Resilience
2.4.2. Geodetector
3. Results
3.1. Temporal Evolution Characteristics of Ecological Resilience in the Wuling Mountains Area
3.2. Spatial Evolution Characteristics of Ecological Resilience in the Wuling Mountains Area
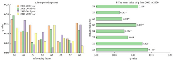
3.3. Factors Influencing Ecological Resilience in the Wuling Mountains Area
4. Discussion
5. Conclusions
- (1)
- The Wuling Mountains region should strengthen the monitoring and prediction of climate change and formulate climate adaptation and ecological restoration strategies.
- (2)
- The Wuling Mountains area should formulate scientific urban planning to optimize the population layout, strengthen the public’s awareness of environmental protection, and work together to maintain the ecological environment.
- (3)
- The Wuling Mountains area should adjust its economic structure to promote industrial transformation, develop a green economy and a low-carbon economy, and promote environmental sustainability in the region.
- (4)
- When producing construction land in the Wuling Mountains area, it is important to prioritize the protection and restoration of the ecological environment to minimize harm.
- (5)
- The Wuling Mountains region should promote technological innovation and clean energy to reduce carbon emissions.
Author Contributions
Funding
Institutional Review Board Statement
Informed Consent Statement
Data Availability Statement
Acknowledgments
Conflicts of Interest
References
- Chen, Y.; Li, Y.Q.; Wang, X.Y.; Yao, C.P.; Niu, Y.Y. Risk and countermeasures of global change in ecologically vulnerable regions of China. J. Desert Res. 2022, 42, 148–158. [Google Scholar]
- Tian, Z.G.; Hu, G.W.; Xie, L.; Mu, X. Ecological Performance Assessment of Ecologically Fragile Areas: A Perspective of Spatiotemporal Analysis. Environ. Sci. Pollut. Res. 2023, 30, 52624–52645. [Google Scholar] [CrossRef] [PubMed]
- Li, L.; Fan, Z.H.; Xiong, K.N.; Shen, H.T.; Guo, Q.; Dan, W.; Li, R. Current Situation and Prospects of the Studies of Ecological Industries and Ecological Products in Eco-Fragile Areas. Environ. Res. 2021, 201, 111613. [Google Scholar] [CrossRef] [PubMed]
- Wang, W.K.; Feng, L.Y.; Zheng, T.; Liu, Y. The Sustainability of Ecotourism Stakeholders in Ecologically Fragile Areas: Implications for Cleaner Production. J. Clean. Prod. 2021, 279, 123606. [Google Scholar] [CrossRef]
- Liu, Y.; Dong, J.; Ren, S.; Liu, Y. Differential Impacts of Degradation on Grassland Ecosystems in the Tibetan Plateau and the Northern Agro-Pastoral Ecotone: A Meta-Analysis. Plant Soil 2023, 496, 677–696. [Google Scholar] [CrossRef]
- Shi, W.Y.; Chen, Y.Z.; Feng, X.M. Identifying the Terrestrial Carbon Benefits from Ecosystem Restoration in Ecologically Fragile Regions. Agric. Ecosyst. Environ. 2020, 296, 106889. [Google Scholar] [CrossRef]
- Zhang, Y.Y.; Yang, Y.J.; Chen, Z.X.; Zhang, S. Multi-Criteria Assessment of the Resilience of Ecological Function Areas in China with a Focus on Ecological Restoration. Ecol. Indic. 2020, 119, 10. [Google Scholar] [CrossRef]
- Holling, C.S. Resilience and Stability of Ecological Systems. Annu. Rev. Ecol. Syst. 1973, 7, 1–23. [Google Scholar] [CrossRef]
- Ma, S.Y.; Liu, D.; Tian, Y.J.; Fu, C.; Li, J.; Ju, P.; Sun, P.; Ye, Z.; Liu, Y.; Watanabe, Y. Critical Transitions and Ecological Resilience of Large Marine Ecosystems in the Northwestern Pacific in Response to Global Warming. Glob. Chang. Biol. 2021, 27, 5310–5328. [Google Scholar] [CrossRef]
- Wang, Y.Y.; Cai, Y.P.; Xie, Y.L.; Chen, L.; Zhang, P. An Integrated Approach for Evaluating Dynamics of Urban Eco-Resilience in Urban Agglomerations of China. Ecol. Indic. 2023, 146, 109859. [Google Scholar] [CrossRef]
- Wu, X.; Zhang, J.J.; Geng, X.L.; Wang, T.; Wang, K.; Liu, S. Increasing Green Infrastructure-Based Ecological Resilience in Urban Systems: A Perspective from Locating Ecological and Disturbance Sources in a Resource-Based City. Sustain. Cities Soc. 2020, 61, 102354. [Google Scholar] [CrossRef]
- Xie, X.L.; Zhou, G.; Yu, S.B. Study on Rural Ecological Resilience Measurement and Optimization Strategy Based on PSR-“Taking Weiyuan in Gansu Province as an Example”. Sustainability 2023, 15, 5462. [Google Scholar] [CrossRef]
- Wang, S.J.; Cui, Z.T.; Lin, J.J.; Xie, J.; Su, K. The Coupling Relationship between Urbanization and Ecological Resilience in the Pearl River Delta. J. Geogr. Sci. 2022, 32, 44–64. [Google Scholar] [CrossRef]
- Zhang, C.; Li, Y.F.; Zhu, X.D. A Social-Ecological Resilience Assessment and Governance Guide for Urbanization Processes in East China. Sustainability 2016, 8, 1101. [Google Scholar] [CrossRef]
- Peng, L.; Wu, H.W.; Li, Z.H. Spatial–Temporal Evolutions of Ecological Environment Quality and Ecological Resilience Pattern in the Middle and Lower Reaches of the Yangtze River Economic Belt. Remote Sens. 2023, 15, 430. [Google Scholar] [CrossRef]
- Li, G.Z.; Wang, L.Q. Study of Regional Variations and Convergence in Ecological Resilience of Chinese Cities. Ecol. Indic. 2023, 154, 110667. [Google Scholar] [CrossRef]
- Zhou, X.F. Measuring methods for the resilience of social ecological systems. Acta Ecol. Sin. 2017, 37, 4278–4288. [Google Scholar]
- Cumming, G.S.; Barnes, G.; Perz, S.; Schmink, M.; Sieving, K.E.; Southworth, J.; Binford, M.; Holt, R.D.; Stickler, C.; Van Holt, T. An Exploratory Framework for the Empirical Measurement of Resilience. Ecosystems 2005, 8, 975–987. [Google Scholar] [CrossRef]
- Whitford, W.G.; Rapport, D.J.; Desoyza, A.G. Using Resistance and Resilience Measurements for «Fitness» Tests in Ecosystem Health. J. Environ. Manag. 1999, 57, 21–29. [Google Scholar] [CrossRef]
- Zhang, J.F.; Sun, J.; Ma, B.B.; Du, W. Assessing the Ecological Vulnerability of the Upper Reaches of the Minjiang River. PLoS ONE 2017, 12, e0181825. [Google Scholar] [CrossRef]
- Shi, C.C.; Zhu, X.P.; Wu, H.W.; Li, Z. Assessment of Urban Ecological Resilience and Its Influencing Factors: A Case Study of the Beijing-Tianjin-Hebei Urban Agglomeration of China. Land 2022, 11, 921. [Google Scholar] [CrossRef]
- Folke, C. Resilience: The Emergence of a Perspective for Social–Ecological Systems Analyses. Glob. Environ. Chang. 2006, 16, 253–267. [Google Scholar] [CrossRef]
- Dakos, V.; Kéfi, S. Ecological Resilience: What to Measure and How. Environ. Res. Lett. 2022, 17, 043003. [Google Scholar] [CrossRef]
- Carpenter, S.R.; Westley, F.; Turner, M.G. Surrogates for Resilience of Social–Ecological Systems. Ecosystems 2005, 8, 941–944. [Google Scholar] [CrossRef]
- Tong, Y.J.; Lei, J.; Zhang, S.B.; Zhang, X.; Rong, T.; Fan, L.; Duan, Z. Analysis of the Spatial and Temporal Variability and Factors Influencing the Ecological Resilience in the Urban Agglomeration on the Northern Slope of Tianshan Mountain. Sustainability 2023, 15, 4828. [Google Scholar] [CrossRef]
- Fu, A.H.; Cheng, Y.; Li, W.H.; Zhu, C.G.; Chen, Y.P. Effects of ecological water conveyance on ecological resilience of desert riparian forests in the lower reaches of Tarim River. Arid Land Geogr. 2021, 44, 620–628. [Google Scholar]
- Wang, J.; Wang, K.L.; Zhang, M.Y.; Zhang, C. Impacts of Climate Change and Human Activities on Vegetation Cover in Hilly Southern China. Ecol. Eng. 2015, 81, 451–461. [Google Scholar] [CrossRef]
- Parmesan, C.; Yohe, G. A Globally Coherent Fingerprint of Climate Change Impacts across Natural Systems. Nature 2003, 421, 37–42. [Google Scholar] [CrossRef] [PubMed]
- Xu, Y.; Dai, Q.-Y.; Lu, Y.-G.; Zhao, C.; Huang, W.-T.; Xu, M.; Feng, Y.-X. Identification of Ecologically Sensitive Zones Affected by Climate Change and Anthropogenic Activities in Southwest China through a NDVI-Based Spatial-Temporal Model. Ecol. Indic. 2024, 158, 111482. [Google Scholar] [CrossRef]
- Meléndez, A.S.; Burry, L.S.; Palacio, P.I.; Trivi, M.E.; Quesada, M.N.; Zuccarelli Freire, V.; D’Antoni, H. Ecosystems Dynamics and Environmental Management: An NDVI Reconstruction Model for El Alto-Ancasti Mountain Range (Catamarca, Argentina) from 442 AD through 1980 AD. Quat. Sci. Rev. 2024, 324, 108450. [Google Scholar] [CrossRef]
- Li, D.; Yang, J.; Hu, T.; Wang, G.; Cushman, S.A.; Wang, X.; László, K.; Su, R.; Yuan, L.; Li, B.; et al. The Seeds of Ecological Recovery in Urbanization—Spatiotemporal Evolution of Ecological Resiliency of Dianchi Lake Basin, China. Ecol. Indic. 2023, 153, 110431. [Google Scholar] [CrossRef]
- Tiantian, C.; Qiang, W.; Yuxi, W.; Li, P. Differentiation Characteristics of Karst Vegetation Resilience and Its Response to Climate and Ecological Restoration Projects. Land Degrad. Dev. 2023, 34, 5055–5070. [Google Scholar] [CrossRef]
- Ma, F.; Wang, Z.H.; Sun, Q.P.; Yuen, K.F.; Zhang, Y.; Xue, H.; Zhao, S. Spatial–Temporal Evolution of Urban Resilience and Its Influencing Factors: Evidence from the Guanzhong Plain Urban Agglomeration. Sustainability 2020, 12, 2593. [Google Scholar] [CrossRef]
- Dong, X.J.; Shi, T.; Zhang, W.; Zhou, Q. Temporal and Spatial Differences in the Resilience of Smart Cities and Their Influencing Factors: Evidence from Non-Provincial Cities in China. Sustainability 2020, 12, 1321. [Google Scholar] [CrossRef]
- Ding, Y.T.; Zhang, M.; Qian, X.Y.; Li, C.; Chen, S.; Wang, W. Using the Geographical Detector Technique to Explore the Impact of Socioeconomic Factors on PM2.5 Concentrations in China. J. Clean. Prod. 2019, 211, 1480–1490. [Google Scholar] [CrossRef]
- Peng, W.F.; Kuang, T.T.; Tao, S. Quantifying Influences of Natural Factors on Vegetation NDVI Changes Based on Geographical Detector in Sichuan, Western China. J. Clean. Prod. 2019, 233, 353–367. [Google Scholar] [CrossRef]
- Zhu, L.J.; Meng, J.J.; Zhu, L.K. Applying Geodetector to Disentangle the Contributions of Natural and Anthropogenic Factors to NDVI Variations in the Middle Reaches of the Heihe River Basin. Ecol. Indic. 2020, 117, 106545. [Google Scholar] [CrossRef]
- Du, H.; Xia, J.; Yan, Y.; Lu, Y.; Li, J. Spatiotemporal Variations of Extreme Precipitation in Wuling Mountain Area (China) and Their Connection to Potential Driving Factors. Sustainability 2022, 14, 8312. [Google Scholar] [CrossRef]
- Cai, C.; Tang, J.; He, X.; Liu, Y. The Coupling Coordination between Tourism Urbanization and Ecosystem Services Value and Its Obstacle Factors in Ecologically Fragile Areas: A Case Study of the Wuling Mountain Area of Hunan Province, China. Environ. Sci. Pollut. Res. 2023, 30, 115125–115151. [Google Scholar] [CrossRef]
- Li, Z.L.; Chen, H.L.; Liu, D. Measurement of tourism ecological level based on the emergy value theory and spatial heterogeneity in Wuling Mountain Area. J. Nat. Resour. 2021, 36, 3203–3214. [Google Scholar] [CrossRef]
- Frazier, A.E.; Renschler, C.S.; Miles, S.B. Evaluating Post-Disaster Ecosystem Resilience Using MODIS GPP Data. Int. J. Appl. Earth Obs. Geoinf. 2013, 21, 43–52. [Google Scholar] [CrossRef]
- Huang, A.; Xu, Y.Q.; Sun, P.L.; Zhou, G.; Liu, C.; Lu, L.; Xiang, Y.; Wang, H. Land Use/Land Cover Changes and Its Impact on Ecosystem Services in Ecologically Fragile Zone: A Case Study of Zhangjiakou City, Hebei Province, China. Ecol. Indic. 2019, 104, 604–614. [Google Scholar] [CrossRef]
- Yang, X.D.; Bai, Y.P.; Che, L.; Qiao, F.; Xie, L. Incorporating Ecological Constraints into Urban Growth Boundaries: A Case Study of Ecologically Fragile Areas in the Upper Yellow River. Ecol. Indic. 2021, 124, 107436. [Google Scholar] [CrossRef]
- Pan, J.J.; Ren, Z.P.; Xu, S.B.; Li, P.; Zhang, X.M.; Xu, Y.T.; Ren, Z.Y. Variation Characteristics of NDVI of different vegetation types in Ningxia, China and their response to climate. J. Earth Sci. Environ. 2023, 45, 819–832. [Google Scholar] [CrossRef]
- Li, J.J.; Lv, Z.M.; Shi, X.P.; Li, Z. Spatiotemporal variations analysis for land use in Fen River Basin based on terrain gradient. Trans. Chin. Soc. Agric. Eng. 2016, 32, 230–236. [Google Scholar] [CrossRef]
- Ma, X.; Zhang, J.; Wang, P.; Zhou, L.; Sun, Y. Estimating the Nonlinear Response of Landscape Patterns to Ecological Resilience Using a Random Forest Algorithm: Evidence from the Yangtze River Delta. Ecol. Indic. 2023, 153, 110409. [Google Scholar] [CrossRef]
- Huang, J.; Zhong, P.; Zhang, J.; Zhang, L. Spatial-Temporal Differentiation and Driving Factors of Ecological Resilience in the Yellow River Basin, China. Ecol. Indic. 2023, 154, 110763. [Google Scholar] [CrossRef]
- Shamsipour, A.; Jahanshahi, S.; Mousavi, S.S.; Shoja, F.; Ansari Golenji, R.; Tayebi, S.; Alavi, S.A.; Sharifi, A. Assessing and Mapping Urban Ecological Resilience Using the Loss-Gain Approach: A Case Study of Tehran, Iran. Sustain. Cities Soc. 2024, 103, 105252. [Google Scholar] [CrossRef]
- Hu, Y.; Wei, F.; Fu, B.; Wang, S.; Zhang, W.; Zhang, Y. Changes and Influencing Factors of Ecosystem Resilience in China. Environ. Res. Lett. 2023, 18, 094012. [Google Scholar] [CrossRef]
- Shi, Y.J.; Zhai, G.F.; Xu, L.H.; Zhou, S.; Lu, Y.; Liu, H.; Huang, W. Assessment Methods of Urban System Resilience: From the Perspective of Complex Adaptive System Theory. Cities 2021, 112, 103141. [Google Scholar] [CrossRef]
- Coulson, D.; Joyce, L. Indexing Variability: A Case Study with Climate Change Impacts on Ecosystems. Ecol. Indic. 2006, 6, 749–769. [Google Scholar] [CrossRef]
- Nelson, D.R.; Adger, W.N.; Brown, K. Adaptation to Environmental Change: Contributions of a Resilience Framework. Annu. Rev. Environ. Resour. 2007, 32, 395–419. [Google Scholar] [CrossRef]
- Côté, I.M.; Darling, E.S. Rethinking Ecosystem Resilience in the Face of Climate Change. PLoS Biol. 2010, 8, e1000438. [Google Scholar] [CrossRef] [PubMed]
- He, M.; Wang, H.S.; Sun, J.X. Characters of ecosystem vulnerability in southwestern China based on vegetation productivity. Chin. J. Appl. Ecol. 2019, 30, 429–438. [Google Scholar] [CrossRef] [PubMed]
- Wang, J.F.; Xu, C.D. Geodetector: Principle and prospective. Acta Geogr. Sin. 2017, 72, 116–134. [Google Scholar] [CrossRef]
- Wang, S.; Li, Z.; Long, Y.; Yang, L.; Ding, X.; Sun, X.; Chen, T. Impacts of Urbanization on the Spatiotemporal Evolution of Ecological Resilience in the Plateau Lake Area in Central Yunnan, China. Ecol. Indic. 2024, 160, 111836. [Google Scholar] [CrossRef]
- Lee, C.-C.; Yan, J.; Li, T. Ecological Resilience of City Clusters in the Middle Reaches of Yangtze River. J. Clean. Prod. 2024, 443, 141082. [Google Scholar] [CrossRef]
- Chang, Q.; Sha, Y.; Chen, Y. The Coupling Coordination and Influencing Factors of Urbanization and Ecological Resilience in the Yangtze River Delta Urban Agglomeration, China. Land 2024, 13, 111. [Google Scholar] [CrossRef]
- Wang, J.; Wang, J.; Zhang, J. Spatial Distribution Characteristics of Natural Ecological Resilience in China. J. Environ. Manag. 2023, 342, 118133. [Google Scholar] [CrossRef]











| Type | Influencing Factors | Indicators | Unit |
|---|---|---|---|
| Physical and geographic factors | X1 | Average annual temperature | °C |
| X2 | Annual precipitation | mm | |
| X3 | Slope | ° | |
| X4 | Elevation | m | |
| Social and economic factors | X5 | Population density | Person/km2 |
| X6 | GDP | 10,000 yuan/km2 | |
| X7 | Proportion of construction land | % | |
| X8 | Carbon emissions | 10,000 tons |
| Data Name | Time (Year) | Resolution | Data Source |
|---|---|---|---|
| NDVI | 2000–2020 | 30 m | RESDC |
| DEM | \ | 250 m | RESDC |
| Average Annual Temperature, Precipitation | 2000, 2005, 2010, 2015, 2020 | 1 km | RESDC |
| LUCC | 2000, 2005, 2010, 2015, 2020 | 250 m | RESDC |
| GDP, Population Density | 2000, 2005, 2010, 2015, 2019 | 1 km | RESDC |
| Carbon Emissions | 2000–2017 | \ | CEADs |
| Year | Ecological Resilience Index | Spatial Autocorrelation Index | |||
|---|---|---|---|---|---|
| Mean | Standard Deviation | Moran’s I | Z Score | p Value | |
| 2000–2005 | 0.171 | 0.297 | 0.512 | 5.792 | 0.000 |
| 2005–2010 | 0.209 | 0.314 | 0.461 | 5.238 | 0.000 |
| 2010–2015 | 0.356 | 0.321 | 0.481 | 5.643 | 0.000 |
| 2015–2020 | 0.235 | 0.245 | 0.660 | 7.478 | 0.000 |
Disclaimer/Publisher’s Note: The statements, opinions and data contained in all publications are solely those of the individual author(s) and contributor(s) and not of MDPI and/or the editor(s). MDPI and/or the editor(s) disclaim responsibility for any injury to people or property resulting from any ideas, methods, instructions or products referred to in the content. |
© 2024 by the authors. Licensee MDPI, Basel, Switzerland. This article is an open access article distributed under the terms and conditions of the Creative Commons Attribution (CC BY) license (https://creativecommons.org/licenses/by/4.0/).
Share and Cite
Wu, J.; Yang, M.; Zuo, J.; Yin, N.; Yang, Y.; Xie, W.; Liu, S. Spatio-Temporal Evolution of Ecological Resilience in Ecologically Fragile Areas and Its Influencing Factors: A Case Study of the Wuling Mountains Area, China. Sustainability 2024, 16, 3671. https://doi.org/10.3390/su16093671
Wu J, Yang M, Zuo J, Yin N, Yang Y, Xie W, Liu S. Spatio-Temporal Evolution of Ecological Resilience in Ecologically Fragile Areas and Its Influencing Factors: A Case Study of the Wuling Mountains Area, China. Sustainability. 2024; 16(9):3671. https://doi.org/10.3390/su16093671
Chicago/Turabian StyleWu, Jilin, Manhong Yang, Jinyou Zuo, Ningling Yin, Yimin Yang, Wenhai Xie, and Shuiliang Liu. 2024. "Spatio-Temporal Evolution of Ecological Resilience in Ecologically Fragile Areas and Its Influencing Factors: A Case Study of the Wuling Mountains Area, China" Sustainability 16, no. 9: 3671. https://doi.org/10.3390/su16093671
APA StyleWu, J., Yang, M., Zuo, J., Yin, N., Yang, Y., Xie, W., & Liu, S. (2024). Spatio-Temporal Evolution of Ecological Resilience in Ecologically Fragile Areas and Its Influencing Factors: A Case Study of the Wuling Mountains Area, China. Sustainability, 16(9), 3671. https://doi.org/10.3390/su16093671

