Research on Renewable Energy Trading Strategies Based on Evolutionary Game Theory
Abstract
1. Introduction
1.1. Background of Renewable Energy Development
1.2. Evolutionary Game Theory Model
1.3. Purpose and Significance of the Study
1.4. Literature Review
2. Mathematical Modeling of Tripartite Evolutionary Game for Renewable Energy Participation in the Electricity Market
2.1. Evolutionary Game Model
2.2. Participants in the Game
2.3. Game Strategy for Renewable Energy Participation in Guangxi Electricity Market
2.4. Income Matrix for Renewable Energy Participation in Market-Oriented Transactions
3. Analysis of Evolutionary Game Theory Modeling
3.1. Stability Analysis of Evolutionary Strategies for Coal-Fired Power Generation Enterprises
3.2. Stability Analysis of Evolutionary Strategies for Renewable Energy Power Generation Enterprises
3.3. Stability Analysis of Market User Evolution Strategies
3.4. Stability Analysis of Evolutionary Strategies for Equilibrium Points in Tripartite Systems
3.5. Main Findings and Implications of Modeling
4. Case Study
4.1. Boundary Condition Setting
4.2. Stability Analysis
- (1)
- Analysis of the impact of assessment fees.
- (2)
- The Impact of Different Returns on Coal Fired Power Generation Enterprises Under Different Quotations
- (3)
- Impact of feed-in tariffs for renewable energy generators not participating in trading.
- (4)
- The impact of green electricity demand on market users.
4.3. Model Simulation Analysis
4.4. Behavioral Analysis of Decision-Making in Three-Party Bidding Evolutionary Games and Conclusions
- (1)
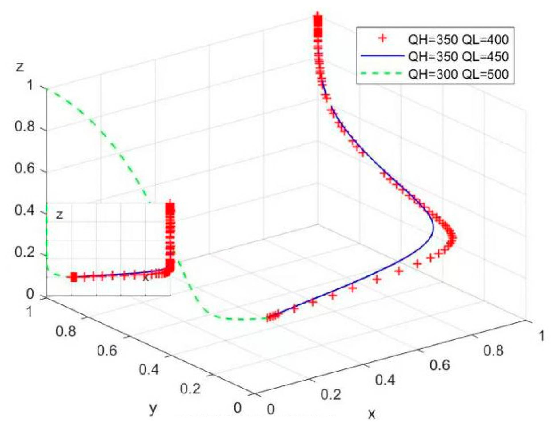
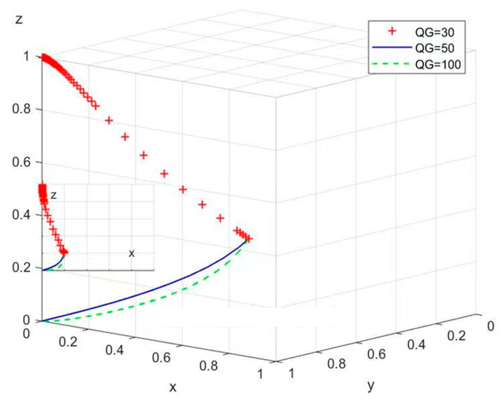
- Analysis of factors influencing whether EC purchases green power. According to the conditions of different assessment fees, it will have an impact on whether EC will eventually buy or not buy green power. If the appraisal fee is small and the penalty for enterprises failing to achieve the consumption weight target is not high enough, EC will choose to pay the assessment fee rather than purchase green power. According to different green power trading price conditions, setting the assessment fees for power grids, power sales enterprises, and power consumption enterprises with consideration of clean energy consumption assessment weights can influence the decision to purchase green power and consume clean energy. According to Figure 3, the larger the assessment fee, the greater the likelihood that green power will be purchased in the trading process. Therefore, local governments and regulators need to set reasonably high assessment fees for the failure to consume a high enough percentage of clean energy, and regulators also need to increase the enforcement of such penalties for enterprises in order to achieve the goals of carbon reduction and renewable energy consumption. This will in turn create a fair and transparent clean energy consumption mechanism in the market and ensure the efficient and orderly consumption of clean energy.
- (2)
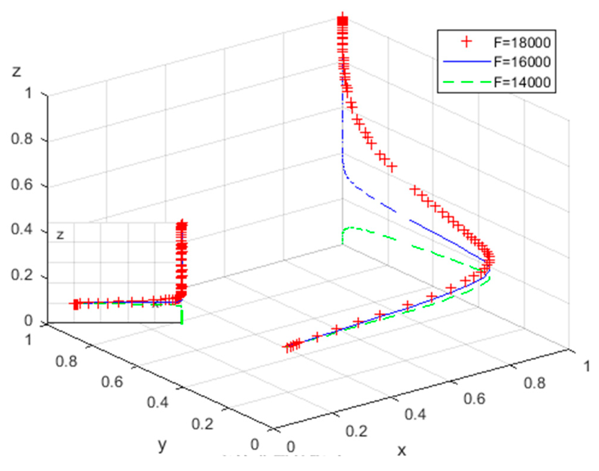
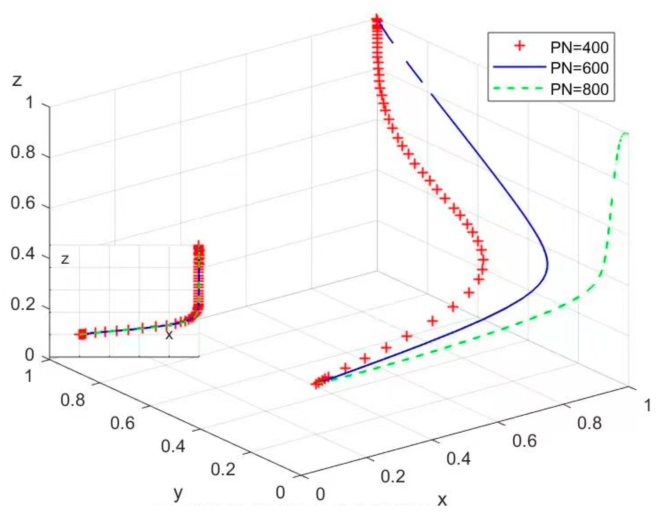
- The price of NE participation in the transaction is affected by market supply and demand. According to the different price conditions of the market, the difference in market demand will have a greater impact on NE taking a different offer. According to the “2022 Guangxi Electricity Market Trading Implementation Plan”, power generation enterprises adopt the market-oriented feed-in tariff mechanism of “benchmark price + up and down fluctuation”, so the maximum price and minimum price of NE in the process of participating in the transaction is limited to a 20% up and down fluctuation of the benchmark price. Therefore, the earnings of NE in different price conditions are more sensitive to the market demand. This means that NE’s revenue under different price conditions is more sensitive to market demand. In the case of tight power supply, the market is not sensitive to the price of electricity, and the difference between the changes in energy demand under different electricity prices is small. In this scenario, the elasticity of demand for electricity is also small, in which case NEs are more inclined to quote higher prices (due to the high cost of coal and the high cost of power generation using coal). In the case of a loose power supply and insufficient start-up rate of large industries, such as under the influence of an epidemic, downward commodity prices, and other factors, the demand side continues to be weak and the demand for electricity is more elastic. Under these conditions, NE is more inclined to quote low prices to stimulate enterprises to increase production and use electricity.
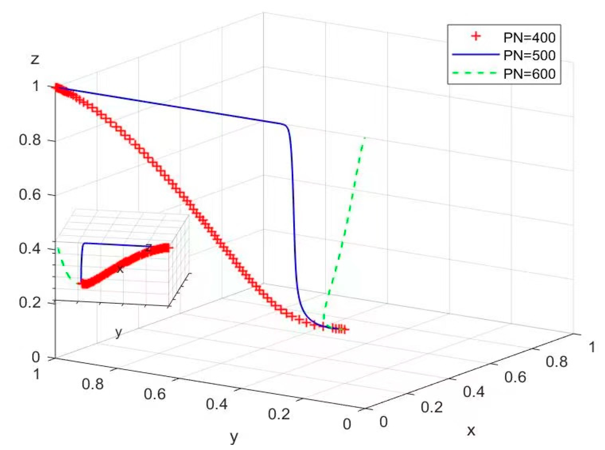
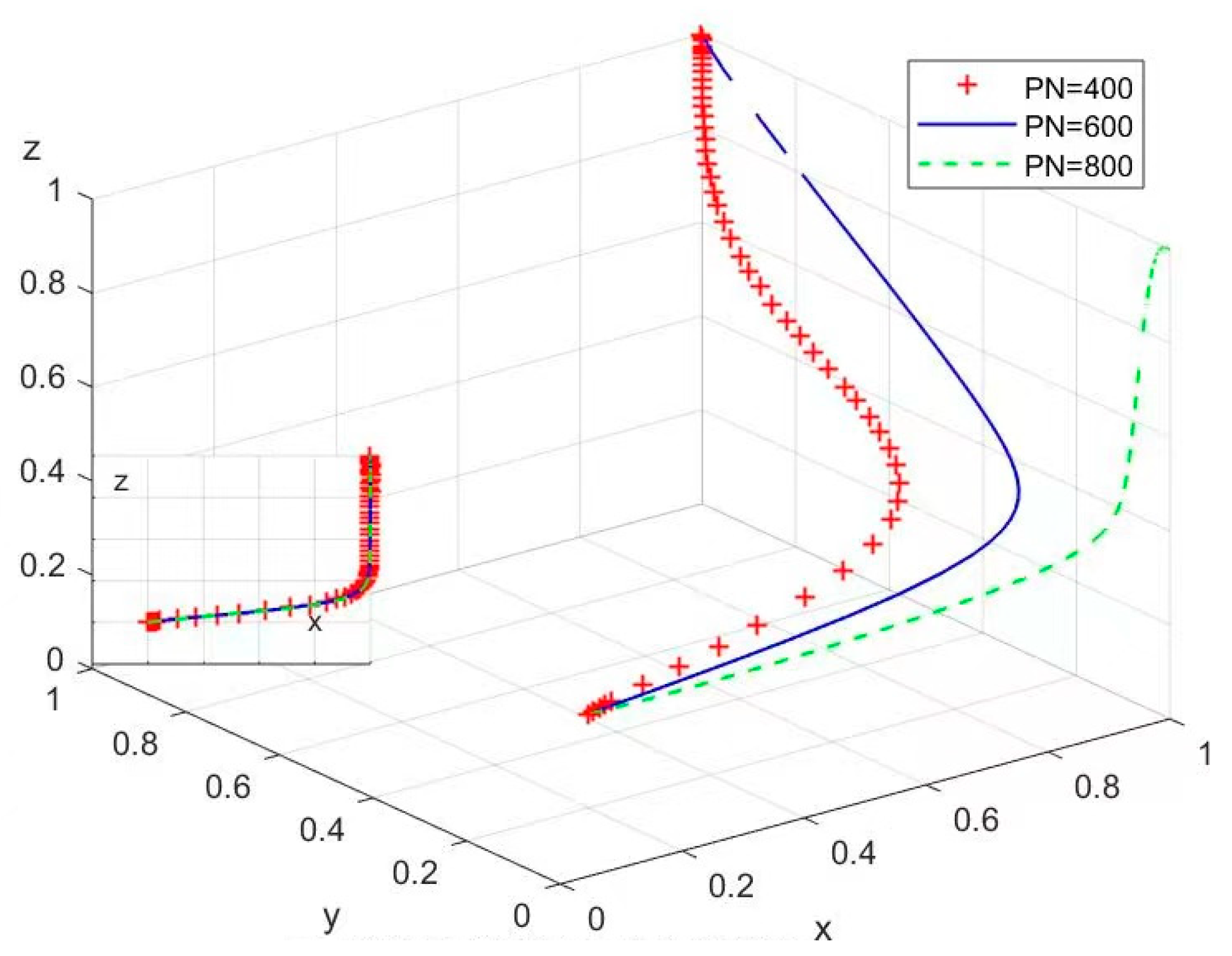
- (3)
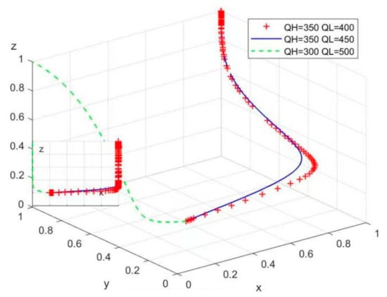
- Impact analysis on the situation of whether TEs participate in trading or not. The benefits of TE participation or non-participation in trading are related to feed-in tariffs. According to Figure 12, it can be seen that the willingness of TEs to participate in market-based trading is inversely proportional to the feed-in price of green power. This means that the higher the feed-in price of green power, the higher the probability that TEs will not participate in trading. Therefore, if the feed-in price for renewable energy power enterprises is set too high or subsidized too much, it is not conducive to the entry of renewable energy—such as wind power and PV—into the market. It is necessary to reasonably set the feed-in price of new energy enterprises. Too high is not conducive to market-based consumption; too low will inhibit the construction and investment in new energy generation. Through the market, the price of consumption is formed to guide the new energy production and consumption and achieve a better allocation of new energy generation resources.
5. Conclusions
5.1. Main Conclusions
- (1)
- Building and improving the trading system of the electricity market. In order to effectively respond to the different game strategies of different market entities, it is necessary to establish a more standardized and comprehensive market mechanism. Through the connection of multiple types of trading varieties in different time dimensions, the medium- to long-term market, spot market, capacity market, and auxiliary services market must all be integrated into a single, unified market entity. This will promote the maximum consumption of renewable-energy-market-oriented trading methods. In addition, adjusting the daily and intraday balance deviation through the spot market can address the volatility and intermittency of renewable energy output, such as that of wind power and PV. The benefits of traditional energy can be stabilized through regulatory services, while the costs and benefits of the system can be balanced and guided by renewable energy, based on the principle of equal rights and responsibilities. By establishing a capacity market mechanism, we can ensure the safe operation of the system with a high proportion of renewable energy access, which provides theoretical support for domestic and global power market renewable energy consumption.
- (2)
- Establishing trading varieties that meet the needs of market-oriented support. Due to the different game strategies of traditional coal-fired power plants, renewable energy producers, and users, different transaction boundary conditions—such as price and electricity quantity—will affect market trends. Therefore, on the basis of the existing green electricity trading mechanism, through the innovation of market-oriented trading varieties, we can enrich the participation of renewable energy in electricity-market-oriented trading, such as clean energy export trading, new energy and thermal power bundling trading, and cross-provincial and cross-regional clean energy trading, effectively balancing the contradiction between traditional energy development and clean energy consumption and expanding the space for clean energy trading. This also provides empirical support for the subsequent optimization of the market mechanism and promotion of the market-based consumption of renewable energy.
- (3)
- Continuously enhancing technical support for market-oriented transactions. In order to better guide the participation of renewable energy sources in the Guangxi electricity market, we will develop more trading varieties that are suitable for clean energy consumption on the basis of existing trading varieties, and increase the development of existing technology support systems to meet the diversified trading experience of market entities. At present, new energy storage can participate in the electricity market as independent energy storage. Based on policy guidance, various entities such as virtual power plants and new energy vehicles may also participate in the electricity market in the future. This has created the need for new requirements for transaction frequency, transaction cycle, transaction flexibility, and transaction deviation settlement. As a core hub of market transactions, trading institutions need to rely on digital and intelligent means to (a) improve the power market information technology support system to adapt to the participation of various entities in trading, (b) provide good trading service support, and (c) carry out timely research on the layout of key trading technologies to promote the consumption of clean energy that relies on technological means.
5.2. Limitations and Recommendations for Future Research
Author Contributions
Funding
Institutional Review Board Statement
Data Availability Statement
Conflicts of Interest
References
- Dawei, R.; Jinyu, X.; Jinming, H.; Du, E.; Jin, C.; Liu, X. Construction and evolution of China’s new power system under dual carbon goal. Power Syst. Technol. 2022, 46, 3831–3839. [Google Scholar]
- Chongqing, K.; Ershun, D.; Hongye, G.; Li, Y.W.; Fang, Y.C.; Zhang, N.; Zhong, H.W. Primary exploration of six essential factors in new power system. Power Syst. Technol. 2023, 47, 1741–1750. [Google Scholar]
- Zhou, D.; Ding, H.; Zhou, P.; Wang, Q. Renewable energy technology diffusion model based on process division. Chin. J. Manag. Sci. 2022, 30, 217–225. [Google Scholar]
- Han, D.; Li, M.; Yan, Z. Evaluation method of diffusion capability of user-side distributed photovoltaic technology. In Proceedings of the CSEE, Virtual, 18–20 February 2021; Volume 41, pp. 985–993. [Google Scholar]
- Li, S.; Wang, J. Research on the Impact of Trading under Different Distributions of Initial Emission Rights on Market Structure. J. Wuhan Univ. Technol. 2004, 2, 40–43. [Google Scholar]
- Chen, D. Overview of Emission Trading Theory and Its Research. Foreign Econ. Manag. 2004, 5, 45–49. [Google Scholar]
- Li, S.; Huang, T. Decision mechanism for free allocation of initial emission rights under transaction cost conditions. Appl. Syst. Eng. Theory Method 2006, 8, 318–321. [Google Scholar]
- Wang, J.; Guo, J. Carbon emission accounting and carbon benefit evaluation of wind-hydrogen-coal chemical multi-functional coupling system in wind coal enriched areas. High Volt. Eng. 2023, 49, 94–104. [Google Scholar]
- Hou, J.; Sun, W.; Xiao, J.; J Jin, C.; Du, E.; Huang, J. Collaborative optimization of key technology progress and low-carbon transition of power systems. Autom. Electr. Power Syst. 2022, 46, 1–9. [Google Scholar]
- Zhang, H.; Han, D.; Liu, T.; Huang, Y. Analysis of market coupling mechanism between distributed photovoltaic penetration and electricity market under background of carbon neutrality. J. Shanghai Jiaotong Univ. 2023, 57, 464–472. [Google Scholar]
- Zhang, L.; Ge, L.; Chen, C.; Tang, M. Simulation on the development of residential distributed photovoltaic power generation under the declining trend of feed-in-tariff. J. Syst. Simul. 2021, 33, 1397–1405. [Google Scholar]
- Jamali, M.B.; Rasti-Barzoki, M. A game-theoretic approach for examining government support strategies and licensing contracts in an electricity supply chain with technology spillover: A case study of Iran. Energy 2022, 242, 122919. [Google Scholar] [CrossRef]
- Xie, M.; Huang, Y.; Li, G.; Liu, M. Evolutionary game decision method and mechanism analysis of distributed energy resources dynamically aggregated into virtual power plant. Power Syst. Technol. 2023, 1–20, early access. [Google Scholar]
- He, X.; Dong, P.; Liu, M.; Huang, S.; Li, J. Multi-region P2P energy sharing mechanism based on two-stage evolutionary game model. Power Syst. Technol. 2023, 47, 163–174. [Google Scholar]
- Chen, J.; Li, X.; Lu, B. Point to point power market mode and behavior evolution from the perspective of cooperative alliance. Power Syst. Technol. 2023, 1–20, early access. [Google Scholar]
- Chai, R.; Li, G. Renewable clean energy and clean utilization of traditional energy: An evolutionary game model of energy structure transformation of power enterprises. Syst. Eng. Theory Pract. 2022, 42, 184–197. [Google Scholar]
- Chen, J.; Gao, J. Coordination mechanism and simulation of household photovoltaic county development based on evolutionary game. Power Syst. Technol. 2023, 47, 669–678. [Google Scholar]
- Wang, D.; Li, C.; Mao, J.; Yang, Q. What affects the implementation of the renewable portfolio standard? An analysis of the four-party evolutionary game. Renew. Energy 2023, 204, 250–261. [Google Scholar] [CrossRef]
- Hu, Y.; Chi, Y.; Zhou, W.; Li, J.; Wang, Z.; Yuan, Y. The interactions between renewable portfolio standards and carbon emission trading in China: An evolutionary game theory perspective. Energy 2023, 271, 127047. [Google Scholar] [CrossRef]
- Guo, M.; Xia, M.; Chen, Q. A review of the energy-cyber-transportation-social coupling network based on energy self-organization. In Proceedings of the CSEE, Virtual, 18–20 February 2021; Volume 41, pp. 5521–5539. [Google Scholar]
- Li, C.; Shi, J.; Liu, N.; Ma, L.; Li, C. Analysis model of power user group evolution based on complex network. In Proceedings of the CSEE, Virtual, 25–27 February 2022; Volume 42, pp. 5835–5847. [Google Scholar]
- Xu, C.; Dong, S.; Lu, B.; Wu, Z.; Xu, H. Evolving model of regional energy network considering town growth characteristics. Power Syst. Technol. 2023, 47, 529–538. [Google Scholar]
- Chen, R.; Fan, R.; Wang, D.; Yao, Q. Effects of multiple incentives on electric vehicle charging infrastructure deployment in China: An evolutionary analysis in complex network. Energy 2023, 264, 125747. [Google Scholar] [CrossRef]
- Corinaldesi, C.; Schwabeneder, D.; Lettner, G.; Auer, H. A rolling horizon approach for real-time trading and portfolio optimization of end-user flexibilities. Sustain. EnergyGrids Netw. 2020, 24, 100392. [Google Scholar] [CrossRef]
- Wang, G.; Chao, Y.; Cao, Y.; Jiang, T.; Han, W.; Chen, Z. A comprehensive review of research works based on evolutionary game theory for sustainable energy development. Energy Rep. 2022, 8, 114–136. [Google Scholar] [CrossRef]
- Majeed, A.; Wang, Y.; Muniba; Islam, M.A. The Impact of Social Preferences on Supply Chain Performance: An Application of the Game Theory Model. Complexity 2023, 2023, 4911514. [Google Scholar] [CrossRef]

















| Parameter | Definition |
|---|---|
| Decision space of NE, TE, EC | |
| PH/PL | The price at which NE participates in transactions at high/low prices |
| PN | Settlement price for TE not participating in electricity trading |
| PG | TE green power trading price |
| Cost of NE | |
| Cost of TE | |
| QN | The amount of online electricity that TE does not participate in forelectricity trading |
| QH | EC’s demand for electricity at high transaction prices |
| QL | EC’s demand for electricity at low transaction prices |
| Strategy | EC Purchases Green Electricity z | EC Does Not Purchase Green Electricity 1 − z | |
|---|---|---|---|
| NE adopts high price x | TE participates in electricity trading y | ||
| TE does not participate in electricity trading 1 − y | |||
| NE adopts low price 1 − x | TE participates in electricity trading y | ||
| TE does not participate in electricity trading 1 − y | |||
| Equilibrium | det (J) | tr (J) | λ1 λ2 λ3 |
|---|---|---|---|
| (0,0,0) | |||
| (0,0,1) | |||
| (0,1,0) | |||
| (1,0,0) | |||
| (0,1,1) | |||
| (1,0,1) | |||
| (1,1,0) | |||
| (1,1,1) | |||
| (x*,y*,0) | |||
| (x*,y*,1) |
| Equilibrium Point | λ1 λ2 λ3 | Conditions That Need to Be Met to Achieve Stability | Stable Situation |
|---|---|---|---|
| (0,0,0) | 1, 3, and 5 | Stable point | |
| (0,0,1) | 1, 3, and 6 | Stable point | |
| (0,1,0) | 4, 5, and 7 | Stable point | |
| (1,0,0) | 2, 5, and 9 | Stable point | |
| (0,1,1) | 4, 6, and 7 | Stable point | |
| (1,0,1) | 2, 6, and 9 | Stable point | |
| (1,1,0) | 5, 8, and 10 | Stable point | |
| (1,1,1) | 6, 8, and 10 | Stable point | |
| (x*, y*,0) | 5 | Unstable point | |
| (x*,y*,1) | 6 | Unstable point |
| Price Parameter Type | Price (CNY/MW·h) |
|---|---|
| Market average price | 485.6 |
| Benchmark grid electricity price of coal-fired power plants | 420.7 |
| Market price ceiling | 504.8 |
| Market price floor | 336.5 |
| Wind power and photovoltaic grid connection prices | 420.7 |
| Average price of green electricity trading | 510 |
| Price parameter type | 485.6 |
Disclaimer/Publisher’s Note: The statements, opinions and data contained in all publications are solely those of the individual author(s) and contributor(s) and not of MDPI and/or the editor(s). MDPI and/or the editor(s) disclaim responsibility for any injury to people or property resulting from any ideas, methods, instructions or products referred to in the content. |
© 2024 by the authors. Licensee MDPI, Basel, Switzerland. This article is an open access article distributed under the terms and conditions of the Creative Commons Attribution (CC BY) license (https://creativecommons.org/licenses/by/4.0/).
Share and Cite
Huang, F.; Fan, H.; Shang, Y.; Wei, Y.; Almutairi, S.Z.; Alharbi, A.M.; Ma, H.; Wang, H. Research on Renewable Energy Trading Strategies Based on Evolutionary Game Theory. Sustainability 2024, 16, 2671. https://doi.org/10.3390/su16072671
Huang F, Fan H, Shang Y, Wei Y, Almutairi SZ, Alharbi AM, Ma H, Wang H. Research on Renewable Energy Trading Strategies Based on Evolutionary Game Theory. Sustainability. 2024; 16(7):2671. https://doi.org/10.3390/su16072671
Chicago/Turabian StyleHuang, Fei, Hua Fan, Yunlong Shang, Yuankang Wei, Sulaiman Z. Almutairi, Abdullah M. Alharbi, Hengrui Ma, and Hongxia Wang. 2024. "Research on Renewable Energy Trading Strategies Based on Evolutionary Game Theory" Sustainability 16, no. 7: 2671. https://doi.org/10.3390/su16072671
APA StyleHuang, F., Fan, H., Shang, Y., Wei, Y., Almutairi, S. Z., Alharbi, A. M., Ma, H., & Wang, H. (2024). Research on Renewable Energy Trading Strategies Based on Evolutionary Game Theory. Sustainability, 16(7), 2671. https://doi.org/10.3390/su16072671

