The Synergistic Effect of the Carbon Emission Trading Scheme on Pollution and Carbon Reduction in China’s Power Industry
Abstract
1. Introduction
2. Research Background and Theoretical Assumptions
2.1. Policy Background
2.2. Theoretical Assumptions
2.2.1. Synergistic Effect of the CETS on Pollution and Carbon Reduction
2.2.2. Mechanisms of CETS Pollution and Carbon Reduction
3. Research Design
3.1. Methodology
3.2. Data Description
3.3. Descriptive Statistics
4. Empirical Results
4.1. Benchmark Results
4.2. Robustness Test
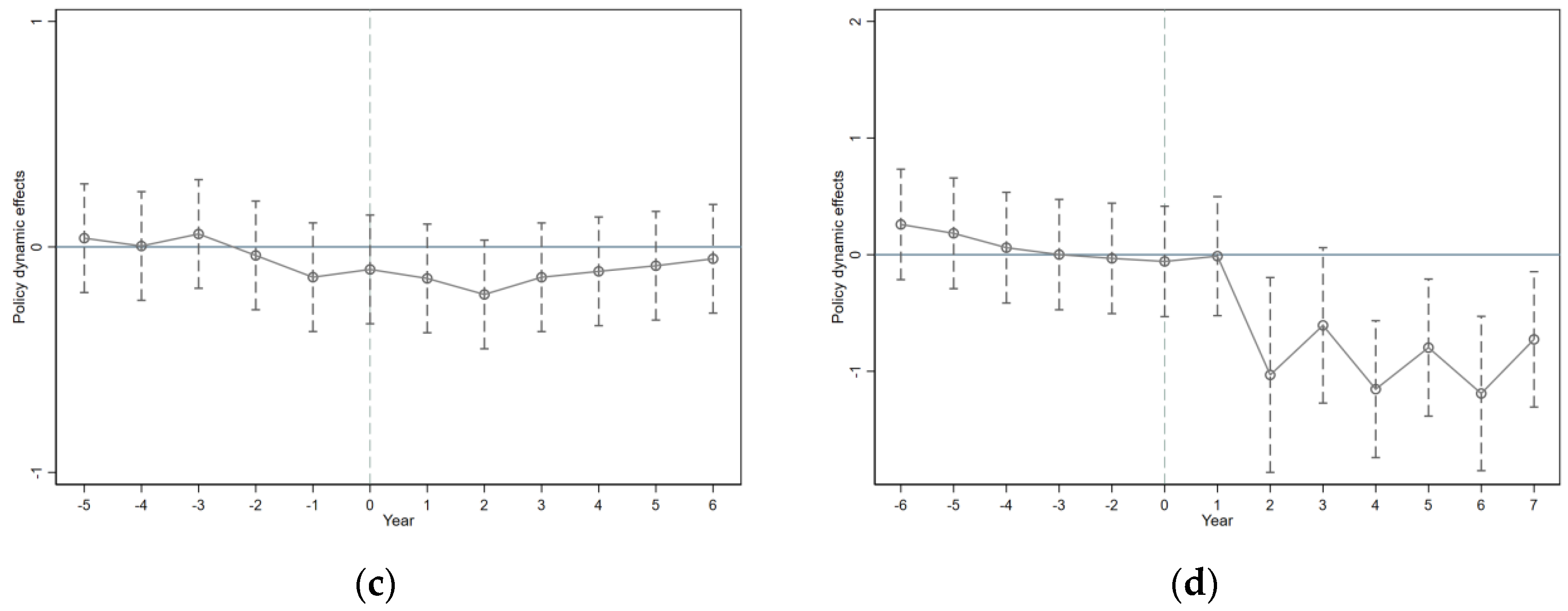
4.2.1. Parallel Trend Test
4.2.2. Placebo Test
5. Further Analysis
5.1. Energy Consumption
5.2. Generation Structure
5.3. Technological Innovation
6. Heterogeneity Test
6.1. Differences in Power Facility
6.2. Differences in Power Generation
6.3. Differences in Economic Development
7. Conclusions
Author Contributions
Funding
Institutional Review Board Statement
Informed Consent Statement
Data Availability Statement
Conflicts of Interest
References
- Gao, X.; Liu, N.; Hua, Y. Environmental Protection Tax Law on the Synergy of Pollution Reduction and Carbon Reduction in China: Evidence from a Panel Data of 107 Cities. Sustain. Prod. Consum. 2022, 33, 425–437. [Google Scholar] [CrossRef]
- Gao, Y.; Zhang, L.; Huang, A.; Kou, W.; Bo, X.; Cai, B.; Qu, J. Unveiling the Spatial and Sectoral Characteristics of a High-Resolution Emission Inventory of CO2 and Air Pollutants in China. Sci. Total Environ. 2022, 847, 157623. [Google Scholar] [CrossRef] [PubMed]
- Zheng, B.; Tong, D.; Li, M.; Liu, F.; Hong, C.; Geng, G.; Li, H.; Li, X.; Peng, L.; Qi, J.; et al. Trends in China’s Anthropogenic Emissions since 2010 as the Consequence of Clean Air Actions. Atmos. Chem. Phys. 2018, 18, 14095–14111. [Google Scholar] [CrossRef]
- Normile, D. China’s Bold Climate Pledge Earns Praise—but Is It Feasible? Science 2020, 370, 17–18. [Google Scholar] [CrossRef]
- Chen, Y.; Zhu, Z.; Cheng, S. Industrial Agglomeration and Haze Pollution: Evidence from China. Sci. Total Environ. 2022, 845, 157392. [Google Scholar] [CrossRef]
- He, J. Seven Departments Issued a Program for the Implementation of Pollution Reduction and Carbon Synergies. Securities Times, 18 June 2022; A02. [Google Scholar]
- Lin, H.; Jiang, P. Analyzing the Phased Changes of Socioeconomic Drivers to Carbon Dioxide and Particulate Matter Emissions in the Yangtze River Delta. Ecol. Indic. 2022, 140, 109044. [Google Scholar] [CrossRef]
- Song, J.; Chen, R.; Ma, X. Collaborative Allocation of Energy Consumption, Air Pollutants and CO2 Emissions in China. Sustainability 2021, 13, 9443. [Google Scholar] [CrossRef]
- Zhang, H.; Ma, X.; Han, G.; Xu, H.; Shi, T.; Zhong, W.; Gong, W. Study on Collaborative Emission Reduction in Green-House and Pollutant Gas Due to COVID-19 Lockdown in China. Remote Sens. 2021, 13, 3492. [Google Scholar] [CrossRef]
- Hanaoka, T.; Masui, T. Exploring Effective Short-Lived Climate Pollutant Mitigation Scenarios by Considering Synergies and Trade-Offs of Combinations of Air Pollutant Measures and Low Carbon Measures towards the Level of the 2°C Target in Asia. Environ. Pollut. 2020, 261, 113650. [Google Scholar] [CrossRef]
- Monjardino, J.; Dias, L.; Fortes, P.; Tente, H.; Ferreira, F.; Seixas, J. Carbon Neutrality Pathways Effects on Air Pollutant Emissions: The Portuguese Case. Atmosphere 2021, 12, 324. [Google Scholar] [CrossRef]
- Chae, Y. Co-Benefit Analysis of an Air Quality Management Plan and Greenhouse Gas Reduction Strategies in the Seoul Metropolitan Area. Environ. Sci. Policy 2010, 13, 205–216. [Google Scholar] [CrossRef]
- Zhou, Y.; Liu, L.; Cao, D. Study on synergistic emission reduction of carbon dioxide and conventional pollutants. Therm. Power 2013, 42, 63–65. [Google Scholar]
- Mao, X.; Zeng, A.; Liu, S.; Hu, T.; Xin, Y. Evaluation of the synergistic control effect of sulphur, nitrogen and carbon of technical emission reduction measures in the iron and steel industry. J. Environ. Sci. 2012, 32, 1253–1260. [Google Scholar] [CrossRef]
- Xue, J.; Luo, H.; Lvl, L.; Zhao, J.; Wang, X. Emission characteristics and correlation of major air pollutants and greenhouse gases in China. Resour. Sci. 2012, 34, 1452–1460. [Google Scholar]
- Liu, J.-Y.; Woodward, R.T.; Zhang, Y.-J. Has Carbon Emissions Trading Reduced PM2.5 in China? Environ. Sci. Technol. 2021, 55, 6631–6643. [Google Scholar] [CrossRef]
- Dong, F.; Yu, B.; Pan, Y. Examining the Synergistic Effect of CO2 Emissions on PM2.5 Emissions Reduction: Evidence from China. J. Cleaner Prod. 2019, 223, 759–771. [Google Scholar] [CrossRef]
- Chen, L.; Wang, D.; Shi, R. Can China’s Carbon Emissions Trading System Achieve the Synergistic Effect of Carbon Reduction and Pollution Control? Int. J. Environ. Res. Public Health 2022, 19, 8932. [Google Scholar] [CrossRef]
- Dong, Z.; Xia, C.; Fang, K.; Zhang, W. Effect of the Carbon Emissions Trading Policy on the Co-Benefits of Carbon Emissions Reduction and Air Pollution Control. Energy Policy 2022, 165, 112998. [Google Scholar] [CrossRef]
- Wang, Z.; Qiu, S. Can “Energy Saving and Emission Reduction” Demonstration City Selection Actually Contribute to Pollution Abatement in China? Sustain. Prod. Consum. 2021, 27, 1882–1902. [Google Scholar] [CrossRef]
- Du, W.; Li, M. Assessing the Impact of Environmental Regulation on Pollution Abatement and Collaborative Emissions Reduction: Micro-Evidence from Chinese Industrial Enterprises. Environ. Impact Assess. Rev. 2020, 82, 106382. [Google Scholar] [CrossRef]
- Cecchini, L.; Venanzi, S.; Pierri, A.; Chiorri, M. Environmental Efficiency Analysis and Estimation of CO2 Abatement Costs in Dairy Cattle Farms in Umbria (Italy): A SBM-DEA Model with Undesirable Output. J. Cleaner Prod. 2018, 197, 895–907. [Google Scholar] [CrossRef]
- Jiang, M.; Zhu, B.; Chevallier, J.; Xie, R. Allocating Provincial CO2 Quotas for the Chinese National Carbon Program. Aust. J. Agric. Resour. Econ. 2018, 62, 457–479. [Google Scholar] [CrossRef]
- Jie, D.; Xu, X.; Guo, F. The Future of Coal Supply in China Based on Non-Fossil Energy Development and Carbon Price Strategies. Energy 2021, 220, 119644. [Google Scholar] [CrossRef]
- Liu, X.; Zhou, X.; Zhu, B.; He, K.; Wang, P. Measuring the Maturity of Carbon Market in China: An Entropy-Based TOPSIS Approach. J. Cleaner Prod. 2019, 229, 94–103. [Google Scholar] [CrossRef]
- Qu, K.; Yu, T.; Huang, L.; Yang, B.; Zhang, X. Decentralized Optimal Multi-Energy Flow of Large-Scale Integrated Energy Systems in a Carbon Trading Market. Energy 2018, 149, 779–791. [Google Scholar] [CrossRef]
- Tang, L.; Shi, J.; Bao, Q. Designing an Emissions Trading Scheme for China with a Dynamic Computable General Equilibrium Model. Energy Policy 2016, 97, 507–520. [Google Scholar] [CrossRef]
- Wang, K.; Wei, Y.-M.; Huang, Z. Potential Gains from Carbon Emissions Trading in China: A DEA Based Estimation on Abatement Cost Savings. Omega 2016, 63, 48–59. [Google Scholar] [CrossRef]
- Feng, Y.; Wang, X.; Luan, J.; Wang, H.; Li, H.; Li, H.; Liu, Z.; Yang, Z. A Novel Method for Ship Carbon Emissions Prediction under the Influence of Emergency Events. Transp. Res. Part C Emerging Technol. 2024, 165, 104749. [Google Scholar] [CrossRef]
- Huang, D.; Wang, Y.; Yin, C. Selection of CO2 Emission Reduction Measures Affecting the Maximum Annual Income of a Container Ship. J. Mar. Sci. Eng. 2023, 11, 534. [Google Scholar] [CrossRef]
- Fu, J.; Liu, J. A review of the co-benefits of climate change policies. Environ. Econ. Res. 2018, 3, 134–148. [Google Scholar] [CrossRef]
- Zhou, Y.; Zhang, H.; Cai, B.; He, J. Study on synergistic emission reduction of conventional pollutants and carbon dioxide in the cement industry. Environ. Sci. Technol. 2013, 36, 164–168. [Google Scholar]
- Xiao, Q.; Liu, N. Study on the synergistic effect of urban greenhouse gases and air pollution control. Jiangsu Sci. Technol. Inf. 2012, 09, 59–61. [Google Scholar]
- Gu, A.L.; Teng, F.; Feng, X. Greenhouse gas synergy analysis and evaluation of pollutant control policies in major sectors. China Popul. Resour. Environ. 2016, 26, 10–17. [Google Scholar]
- Ren, Y.; Fu, J. Study on Emission Reduction and Green Development Effect of Carbon Trading. China Popul. Resour. Environ. 2019, 29, 11–20. [Google Scholar]
- Zeng, S.; Li, F.; Weng, Z.; Zhong, Z. Emission Reduction Effect of China’s Carbon Trading Pilot Policy and Regional Differences. China Environ. Sci. 2022, 42, 1922–1933. [Google Scholar] [CrossRef]
- Xue, F.; Zhou, M. Study on the Emission Reduction Effect of Carbon Market Size in China. East China Econ. Manag. 2021, 35, 11–21. [Google Scholar] [CrossRef]
- Xuan, D.; Ma, X.; Shang, Y. Can China’s Policy of Carbon Emission Trading Promote Carbon Emission Reduction? J. Cleaner Prod. 2020, 270, 122383. [Google Scholar] [CrossRef]
- Guan, Y.; Shan, Y.; Huang, Q.; Chen, H.; Wang, D.; Hubacek, K. Assessment to China’s Recent Emission Pattern Shifts. Earth’s Future 2021, 9, e2021EF002241. [Google Scholar] [CrossRef]
- Shan, Y.; Huang, Q.; Guan, D.; Hubacek, K. China CO2 Emission Accounts 2016–2017. Sci. Data 2020, 7, 54. [Google Scholar] [CrossRef]
- Shan, Y.; Guan, D.; Zheng, H.; Ou, J.; Li, Y.; Meng, J.; Mi, Z.; Liu, Z.; Zhang, Q. China CO2 Emission Accounts 1997–2015. Sci. Data 2018, 5, 170201. [Google Scholar] [CrossRef]
- Chen, S. Energy consumption, carbon dioxide emissions and sustainable industrial development in China. Econ. Res. 2009, 44, 41–55. [Google Scholar]
- Wan, P.; Yang, M.; Chen, L. How Environmental Technology Standards Influence the Green Transformation of China’s Manufacturing Industry: A Perspective Based on Technological Transformation. China’s Ind. Econ. 2021, 9, 118–136. [Google Scholar] [CrossRef]
- Wang, B.; Wang, Y.; Zhao, Y. Collaborative Governance Mechanism of Climate Change and Air Pollution: Evidence from China. Sustainability 2021, 13, 6785. [Google Scholar] [CrossRef]
- Zhang, W.; Li, J.; Li, G.; Guo, S. Emission Reduction Effect and Carbon Market Efficiency of Carbon Emissions Trading Policy in China. Energy 2020, 196, 117117. [Google Scholar] [CrossRef]
- Chen, X.; Lin, B. Towards Carbon Neutrality by Implementing Carbon Emissions Trading Scheme: Policy Evaluation in China. Energy Policy 2021, 157, 112510. [Google Scholar] [CrossRef]
- Guo, Q.; Su, Z.; Chiao, C. Carbon Emissions Trading Policy, Carbon Finance, and Carbon Emissions Reduction: Evidence from a Quasi-Natural Experiment in China. Econ. Change Restruct. 2022, 55, 1445–1480. [Google Scholar] [CrossRef]
- Wang, X.; Huang, J.; Liu, H. Can China’s Carbon Trading Policy Help Achieve Carbon Neutrality?—A Study of Policy Effects from the Five-Sphere Integrated Plan Perspective. J. Environ. Manage. 2022, 305, 114357. [Google Scholar] [CrossRef]
- Yi, L.; Zhao, W.; Yang, L. Innovation of synergistic management mechanism of air pollution and climate change. Res. Manag. 2020, 41, 134–144. [Google Scholar] [CrossRef]
- Gao, Y.; Li, M.; Xue, J.; Liu, Y. Evaluation of Effectiveness of China’s Carbon Emissions Trading Scheme in Carbon Mitigation. Energy Econ. 2020, 90, 104872. [Google Scholar] [CrossRef]
- Coase, R.H. The Problem of Social Cost. J. Law Econ. 1960, 3, 1–44. [Google Scholar] [CrossRef]
- Wang, H.; Shi, W.; He, Y.; Dong, J. Spill-over Effect and Efficiency of Seven Pilot Carbon Emissions Trading Exchanges in China. Sci. Total Environ. 2022, 838, 156020. [Google Scholar] [CrossRef] [PubMed]
- Heggelund, G.; Stensdal, I.; Duan, M. China’s Carbon Market: Potential for Success? Politics Gov. 2022, 10, 265–274. [Google Scholar] [CrossRef]
- Chang, J. Air Pollution Prevention and Control Act Moves Forward amid Controversy. Economic Reference News, 8 September 2015; 8. [Google Scholar]
- Hu, Y.; Ren, S.; Wang, Y.; Chen, X. Can Carbon Emission Trading Scheme Achieve Energy Conservation and Emission Reduction? Evidence from the Industrial Sector in China. Energy Econ. 2020, 85, 104590. [Google Scholar] [CrossRef]
- Ministry of Ecology and Environment releases National Carbon Market Development Report (2024). Pap. Inf. 2024, 8, 55.
- Pachauri, R.K.; Allen, M.R.; Barros, V.R.; Broome, J.; Cramer, W.; Christ, R.; Church, J.A.; Clarke, L.; Dahe, Q.; Dasgupta, P.; et al. Climate Change 2014: Synthesis Report. Contribution of Working Groups I, II and III to the Fifth Assessment Report of the Intergovernmental Panel on Climate Change; Pachauri, R.K., Meyer, L., Eds.; IPCC: Geneva, Switzerland, 2014; p. 151. ISBN 978-92-9169-143-2. [Google Scholar]
- Swart, R.; Amann, M.; Raes, F.; Tuinstra, W. A Good Climate for Clean Air: Linkages between Climate Change and Air Pollution. An Editorial Essay. Clim. Change 2004, 66, 263–269. [Google Scholar] [CrossRef]
- Lee, H.; Calvin, K.; Dasgupta, D.; Krinner, G.; Mukherji, A.; Thorne, P.; Trisos, C.; Romero, J.; Aldunce, P.; Barret, K.; et al. IPCC, 2023: Climate Change 2023: Synthesis Report, Summary for Policymakers. Contribution of Working Groups I, II and III to the Sixth Assessment Report of the Intergovernmental Panel on Climate Change. Available online: https://www.ipcc.ch/report/ar6/syr/ (accessed on 29 May 2024).
- Mao, X.; Zeng, A.; Xin, Y.; Gao, Y.; He, F. From Idea to Action: Synthesis of Research on Synergistic Benefits and Synergistic Control of Greenhouse Gas and Local Pollutant Emission Reductions. Prog. Clim. Change Res. 2021, 17, 255–267. [Google Scholar]
- Bayer, P.; Aklin, M. The European Union Emissions Trading System Reduced CO2 Emissions despite Low Prices. Proc. Natl. Acad. Sci. USA 2020, 117, 8804–8812. [Google Scholar] [CrossRef]
- Murray, B.C.; Maniloff, P.T. Why Have Greenhouse Emissions in RGGI States Declined? An Econometric Attribution to Economic, Energy Market, and Policy Factors. Energy Econ. 2015, 51, 581–589. [Google Scholar] [CrossRef]
- Wu, Y.; Qi, J.; Xian, Q.; Chen, J. Study on Carbon Emission Reduction Effect of China’s Carbon Market: Based on the Synergistic Perspective of Market Mechanism and Administrative Intervention. China’s Ind. Econ. 2021, 8, 114–132. [Google Scholar] [CrossRef]
- Zhou, D.; Liu, Y. Impacts and Mechanisms of China’s Carbon Trading Pilot Policies on Urban Carbon Emission Performance. China Environ. Sci. 2020, 40, 453–464. [Google Scholar] [CrossRef]
- Li, G.; Zhang, W. Research on Industrial Carbon Emissions and Emission Reduction Mechanisms under Carbon Trading in China. China Popul. Resour. Environ. 2017, 27, 141–148. [Google Scholar]
- Fu, X.; Wang, S.X.; Cheng, Z.; Xing, J.; Zhao, B.; Wang, J.D.; Hao, J.M. Source, Transport and Impacts of a Heavy Dust Event in the Yangtze River Delta, China, in 2011. Atmos. Chem. Phys. 2014, 14, 1239–1254. [Google Scholar] [CrossRef]
- Li, L.; Chen, C.H.; Fu, J.S.; Huang, C.; Streets, D.G.; Huang, H.Y.; Zhang, G.F.; Wang, Y.J.; Jang, C.J.; Wang, H.L.; et al. Air Quality and Emissions in the Yangtze River Delta, China. Atmos. Chem. Phys. 2011, 11, 1621–1639. [Google Scholar] [CrossRef]
- Liu, F.; Zhang, Q.; Tong, D.; Zheng, B.; Li, M.; Huo, H.; He, K.B. High-Resolution Inventory of Technologies, Activities, and Emissions of Coal-Fired Power Plants in China from 1990 to 2010. Atmos. Chem. Phys. 2015, 15, 13299–13317. [Google Scholar] [CrossRef]
- Tang, X.; Zhang, Y.; Yi, H.; Ma, J.; Pu, L. Development a Detailed Inventory Framework for Estimating Major Pollutants Emissions Inventory for Yunnan Province, China. Atmos. Environ. 2012, 57, 116–125. [Google Scholar] [CrossRef]
- Wang, X.; Mauzerall, D.L.; Hu, Y.; Russell, A.G.; Larson, E.D.; Woo, J.-H.; Streets, D.G.; Guenther, A. A High-Resolution Emission Inventory for Eastern China in 2000 and Three Scenarios for 2020. Atmos. Environ. 2005, 39, 5917–5933. [Google Scholar] [CrossRef][Green Version]
- Huang, Q.; Chen, S.S.; Chen, D.; Zhao, X.; Guo, X.; Wang, H. Impact of North China power plant sources on SO2 in Beijing and surrounding areas. J. Beijing Univ. Technol. 2009, 35, 1389–1395. [Google Scholar]
- Caparrós, A.; Péreau, J.-C.; Tazdaït, T. Emission Trading and International Competition: The Impact of Labor Market Rigidity on Technology Adoption and Output. Energy Policy 2013, 55, 36–43. [Google Scholar] [CrossRef]
- Rojas Sánchez, D.; Hoadley, A.F.A.; Khalilpour, K.R. A Multi-Objective Extended Input–Output Model for a Regional Economy. Sustain. Prod. Consum. 2019, 20, 15–28. [Google Scholar] [CrossRef]
- Zheng, J.; Sun, X.; Zhang, M.; Jiang, P.; Zhu, Y.; Gao, S. Synergistic Effects of Greenhouse Gas Emission Reduction and Air Pollution Control—A Review of Domestic and International Studies. Ecol. Econ. 2015, 31, 133–137. [Google Scholar]
- Von Stechow, C.; McCollum, D.; Riahi, K.; Minx, J.C.; Kriegler, E.; van Vuuren, D.P.; Jewell, J.; Robledo-Abad, C.; Hertwich, E.; Tavoni, M.; et al. Integrating Global Climate Change Mitigation Goals with Other Sustainability Objectives: A Synthesis. Annu. Rev. Environ. Resour. 2015, 40, 363–394. [Google Scholar] [CrossRef]
- Xiang, M.; Wang, S.; Lv, L.; Zhang, N.; Bai, Z. A Synergistic Path to Pollution Reduction and Carbon Reduction in China Based on Different Electricity Demands. Environ. Sci. 2023, 44, 3637–3648. [Google Scholar] [CrossRef]
- Shih, C.F.; Zhang, T.; Li, J.; Bai, C. Powering the Future with Liquid Sunshine. Joule 2018, 2, 1925–1949. [Google Scholar] [CrossRef]
- Pahle, M.; Fan, L.; Schill, W.-P. How Emission Certificate Allocations Distort Fossil Investments: The German Example. Energy Policy 2011, 39, 1975–1987. [Google Scholar] [CrossRef]
- Denny, E.; O’Malley, M. The Impact of Carbon Prices on Generation-Cycling Costs. Energy Policy 2009, 37, 1204–1212. [Google Scholar] [CrossRef]
- Jiang, P.; Khishgee, S.; Alimujiang, A.; Dong, H. Cost-Effective Approaches for Reducing Carbon and Air Pollution Emissions in the Power Industry in China. J. Environ. Manage. 2020, 264, 110452. [Google Scholar] [CrossRef]
- Wang, C.; Xia, Z.; Fan, S.; Gong, W. Energy Conservation and Emission Reduction Effect and Potential Emission Reduction Mechanism of China’s Thermal Power Generation Industry–Evidence from Carbon Emission Trading Policy. Pol. J. Environ. Stud. 2023, 32, 4825–4839. [Google Scholar] [CrossRef]
- Xing, Z.; Li, C.; Sun, M. Analysis of Influencing Factors of Carbon Emissions in the Power Industry and Forecast of Peak Scenarios. In Proceedings of the 2022 4th International Conference on Smart Power & Internet Energy Systems (SPIES), Beijing, China, 9–12 December 2022; pp. 2184–2188. [Google Scholar]
- Chen, L.; Sun, Y.; Wu, X.; Zhang, Y.; Zheng, C.; Gao, X.; Cen, K. Unit-Based Emission Inventory and Uncertainty Assessment of Coal-Fired Power Plants. Atmos. Environ. 2014, 99, 527–535. [Google Scholar] [CrossRef]
- Hagi, H.; Neveux, T.; Le Moullec, Y. Efficiency Evaluation Procedure of Coal-Fired Power Plants with CO2 Capture, Cogeneration and Hybridization. Energy 2015, 91, 306–323. [Google Scholar] [CrossRef]
- Liu, X.; Xu, Y. Research on the Impact of Low-Carbon City Pilot Policies on Corporate ESG Performance - An Empirical Test Based on Multi-Period Double Difference Approach. Financ. Econ. 2023, 38–50. [Google Scholar] [CrossRef]
- Damert, M.; Baumgartner, R.J. Intra-Sectoral Differences in Climate Change Strategies: Evidence from the Global Automotive Industry. Bus. Strateg. Environ. 2018, 27, 265–281. [Google Scholar] [CrossRef] [PubMed]
- Smale, R.; Hartley, M.; Hepburn, C.; Ward, J.; Grubb, M. The Impact of CO2 Emissions Trading on Firm Profits and Market Prices. Clim. Policy 2006, 6, 31–48. [Google Scholar] [CrossRef]
- Berrone, P.; Fosfuri, A.; Gelabert, L.; Gomez-Mejia, L.R. Necessity as the Mother of ‘Green’ Inventions: Institutional Pressures and Environmental Innovations. Strategic Manage. J. 2013, 34, 891–909. [Google Scholar] [CrossRef]
- Demirel, P.; Kesidou, E. Stimulating Different Types of Eco-Innovation in the UK: Government Policies and Firm Motivations. Ecol. Econ. 2011, 70, 1546–1557. [Google Scholar] [CrossRef]
- Zhu, X.; Zuo, X.; Li, H. The Dual Effects of Heterogeneous Environmental Regulation on the Technological Innovation of Chinese Steel Enterprises—Based on a High-Dimensional Fixed Effects Model. Ecol. Econ. 2021, 188, 107113. [Google Scholar] [CrossRef]
- Lei, X.; Xin-gang, Z. The Synergistic Effect between Renewable Portfolio Standards and Carbon Emission Trading System: A Perspective of China. Renew. Energy 2023, 211, 1010–1023. [Google Scholar] [CrossRef]
- Baron, R.M.; Kenny, D.A. The Moderator–Mediator Variable Distinction in Social Psychological Research: Conceptual, Strategic, and Statistical Considerations. J. Pers. Soc. Psychol. 1986, 51, 1173–1182. [Google Scholar] [CrossRef]



| Number | Typology | Variable Name | Define | Source of Data |
|---|---|---|---|---|
| 1 | Explanatory variable | CO2 emissions | CO2 emissions from the power sector, in logarithms | China Carbon Accounting Databases (CEADs) |
| 2 | SO2 emissions | SO2 emissions from the power sector, in logarithms | MEIC database | |
| 3 | NOx emissions | NOx emissions from the power sector, in logarithms | MEIC database | |
| 4 | PM2.5 emissions | PM2.5 emissions from the power sector, in logarithms | MEIC database | |
| 5 | Control variable | Industrial structure | Tertiary sector output/secondary sector output | China Statistical Yearbook |
| 6 | Urbanization level (of a city or town) | Urban population/total population | China Statistical Yearbook | |
| 7 | Level of economic development | GDP per capita, logarithmic | China Statistical Yearbook | |
| 8 | Degree of openness to the outside world | (Total exports and imports of goods × US dollar to renminbi exchange rate)/gross regional product | China Statistical Yearbook | |
| 9 | Energy structure | Coal consumption/total consumption | China Statistical Yearbook | |
| 10 | R&D intensity | Internal expenditure on R&D/gross regional product | China Statistical Yearbook | |
| 11 | Environmental regulation | Completed investment in industrial pollution control/industrial added value | China Statistical Yearbook | |
| 12 | Generation structure | Thermal power generation/total power generation | China Statistical Yearbook |
| Variant | Experimental Group | Control Group | ||||||||
|---|---|---|---|---|---|---|---|---|---|---|
| Sample Size | Average Value | (Statistics) Standard Deviation | Maximum Values | Minimum Value | Sample Size | Average Value | (Statistics) Standard Deviation | Maximum Values | Minimum Value | |
| V1 | 105 | 2501.164 | 1541.661 | 6440.087 | 77.872 | 345 | 2364.195 | 1737.911 | 7166.941 | 0.364 |
| V2 | 105 | 163,880.373 | 205,365.410 | 1,130,800.673 | 204.870 | 345 | 195,850.011 | 212,043.218 | 1,275,800.277 | 2926.197 |
| V3 | 105 | 165,726.455 | 128,133.676 | 576,852.586 | 25,205.490 | 345 | 228,662.623 | 199,705.109 | 991,383.810 | 12,789.192 |
| V4 | 105 | 15,865.344 | 13,761.990 | 81,725.376 | 35.824 | 345 | 24,585.120 | 22,679.221 | 112,960.050 | 630.388 |
| V5 | 105 | 1.550 | 1.074 | 5.297 | 0.631 | 345 | 1.025 | 0.406 | 3.214 | 0.500 |
| V6 | 105 | 0.718 | 0.136 | 0.896 | 0.443 | 345 | 0.525 | 0.096 | 0.739 | 0.282 |
| V7 | 105 | 21,028.718 | 11,482.860 | 48,075.000 | 6642.330 | 345 | 9714.704 | 3353.454 | 21,037.600 | 3561.510 |
| V8 | 105 | 0.662 | 0.459 | 1.721 | 0.080 | 345 | 0.170 | 0.151 | 1.021 | 0.008 |
| V9 | 105 | 0.033 | 0.026 | 0.104 | 0.012 | 345 | 0.033 | 0.022 | 0.093 | 0.004 |
| V10 | 105 | 0.028 | 0.015 | 0.065 | 0.009 | 345 | 0.012 | 0.006 | 0.030 | 0.002 |
| V11 | 105 | 0.002 | 0.002 | 0.008 | 0.000 | 345 | 0.004 | 0.004 | 0.031 | 0.000 |
| V12 | 105 | 3.959 | 0.855 | 6.089 | 2.501 | 345 | 3.873 | 0.716 | 5.737 | 2.359 |
| Variant | (1) | (2) | (3) | |||||||||
|---|---|---|---|---|---|---|---|---|---|---|---|---|
| CO2 | SO2 | NOx | PM2.5 | CO2 | SO2 | NOx | PM2.5 | CO2 | SO2 | NOx | PM2.5 | |
| Treat × time | −0.908 ** | −0.780 *** | −0.446 ** | −0.800 *** | −0.547 *** | −0.353 *** | −0.104 ** | −0.429 *** | −0.753 ** | −0.311 *** | −0.184 *** | −0.507 *** |
| (0.381) | (0.277) | (0.223) | (0.286) | (0.145) | (0.080) | (0.047) | (0.094) | (0.366) | (0.099) | (0.066) | (0.122) | |
| Time | 0.054 | −1.247 *** | −0.399 *** | −0.761 *** | 0.044 | −2.518 *** | −0.747 *** | −1.932 *** | −0.863 | −1.924 *** | −0.598 *** | −3.070 *** |
| (0.180) | (0.126) | (0.103) | (0.129) | (0.168) | (0.090) | (0.053) | (0.106) | (0.564) | (0.298) | (0.198) | (0.360) | |
| Treat | −1.083 *** | −0.726 *** | −0.275 * | −0.722 *** | −2.188 *** | −3.791 *** | −1.838 *** | −3.419 *** | 1.136 | 0.096 | −0.212 | −5.997 *** |
| (0.289) | (0.197) | (0.157) | (0.205) | (0.249) | (0.137) | (0.080) | (0.162) | (1.495) | (0.733) | (0.498) | (0.843) | |
| Constant term | 7.425 *** | 12.395 *** | 12.341 *** | 10.150 *** | 8.126 *** | 12.964 *** | 12.770 *** | 10.549 *** | 6.230 | 23.6275 *** | 11.793 *** | −0.051 |
| (0.140) | (0.096) | (0.073) | (0.096) | (0.201) | (0.110) | (0.064) | (0.130) | (4.075) | (2.243) | (1.510) | (2.782) | |
| R-squared | 0.152 | 0.354 | 0.148 | 0.253 | 0.8822 | 0.945 | 0.957 | 0.912 | 0.903 | 0.964 | 0.966 | 0.948 |
| Time fixed effect | NO | NO | NO | NO | YES | YES | YES | YES | YES | YES | YES | YES |
| Location fixed effects | NO | NO | NO | NO | YES | YES | YES | YES | YES | YES | YES | YES |
| Control | NO | NO | NO | NO | NO | NO | NO | NO | YES | YES | YES | YES |
| Variant | (1) | (2) | (3) | (4) | (5) | (6) |
|---|---|---|---|---|---|---|
| LNCO2 | Energy Consumption | LNCO2 | LNSO2 | Energy Consumption | LNSO2 | |
| Treat × time | −1.4883 *** | −0.032 ** | −0.3609 * | −1.6561 *** | −0.032 ** | −0.2476 ** |
| (−6.4779) | (0.016) | (−1.7694) | (−9.1627) | (0.016) | (−2.0721) | |
| Energy consumption | 0.0017 *** | 0.0016 *** | ||||
| (3.4659) | (5.5702) | |||||
| Constant term | 7.3360 *** | 1.938 *** | 16.4711 *** | 11.6877 *** | 1.938 *** | 16.3691 *** |
| (85.3361) | (0.030) | (6.3219) | (177.0871) | (0.030) | (10.6929) | |
| R-squared | 0.086 | 0.028 | 0.507 | 0.167 | 0.028 | 0.748 |
| Time fixed effect | YES | YES | YES | YES | YES | YES |
| Location fixed effects | YES | YES | YES | YES | YES | YES |
| Control | YES | YES | YES | YES | YES | YES |
| Variant | (1) | (2) | (3) | (4) | (5) | (6) |
|---|---|---|---|---|---|---|
| LNCO2 | Generation Structure | LNCO2 | LNSO2 | Generation Structure | LNSO2 | |
| Treat×time | −1.4883 *** | −0.010 *** | −0.4190 ** | −1.6561 *** | −0.010 *** | −0.2206 * |
| (−6.4779) | (0.003) | (−2.0876) | (−9.1627) | (0.003) | (−1.7595) | |
| Generation structure | −0.0009 * | 0.0021 *** | ||||
| (−1.6596) | (6.4890) | |||||
| Constant term | 7.3360 *** | −0.232 *** | 13.7486 *** | 11.6877 *** | −0.232 *** | 18.0859 *** |
| (85.3361) | (0.033) | (5.3234) | (177.0871) | (0.033) | (11.7289) | |
| R-squared | 0.086 | 0.159 | 0.542 | 0.167 | 0.159 | 0.767 |
| Time fixed effect | YES | YES | YES | YES | YES | YES |
| Location fixed effects | YES | YES | YES | YES | YES | YES |
| Control | YES | YES | YES | YES | YES | YES |
| Variant | (1) | (2) | (3) | (4) | (5) | (6) |
|---|---|---|---|---|---|---|
| LNCO2 | Technological Innovation | LNCO2 | LNSO2 | Technological Innovation | LNSO2 | |
| Treat×time | −1.4883 *** | 0.0040 *** | −0.3609 * | −1.6561 *** | 0.0040 *** | −0.2535 ** |
| (−6.4779) | (4.4366) | (−1.7694) | (−9.1627) | (4.4366) | (−2.0071) | |
| Technological innovation | 0.0017 *** | 5.0510 | ||||
| (3.4659) | (0.7836) | |||||
| Constant term | 7.3360 *** | −0.0629 *** | 16.4711 *** | 11.6877 *** | −0.0629 *** | 16.3264 *** |
| (85.3361) | (−5.3817) | (6.3219) | (177.0871) | (−5.3817) | (9.9858) | |
| R-squared | 0.086 | 0.752 | 0.507 | 0.167 | 0.752 | 0.730 |
| Time fixed effect | YES | YES | YES | YES | YES | YES |
| Location fixed effects | YES | YES | YES | YES | YES | YES |
| Control | YES | YES | YES | YES | YES | YES |
| Variant | M1 | M2 | M3 | |||||||||
|---|---|---|---|---|---|---|---|---|---|---|---|---|
| CO2 | SO2 | NOx | PM2.5 | CO2 | SO2 | NOx | PM2.5 | CO2 | SO2 | NOx | PM2.5 | |
| MDID | 1.222 *** | −0.426 ** | −0.078 | −0.175 | 0.143 | 0.197 * | −0.010 | 0.035 | −0.406 | 0.333 * | 0.431 *** | −0.317 |
| (0.347) | (0.185) | (0.132) | (0.180) | (0.228) | (0.109) | (0.063) | (0.135) | (0.370) | (0.177) | (0.097) | (0.217) | |
| Constant term | 17.507 *** | 19.711 *** | 12.972 *** | 16.161 *** | 4.580 | 22.955 *** | 11.656 *** | 12.259 *** | 4.048 | 23.391 *** | 12.865 *** | 11.099 *** |
| (2.870) | (1.528) | (1.087) | (1.492) | (4.431) | (2.121) | (1.281) | (2.613) | (4.509) | (2.151) | (1.181) | (2.641) | |
| R-squared | 0.516 | 0.778 | 0.742 | 0.758 | 0.8902 | 0.9568 | 0.9673 | 0.9283 | 0.8871 | 0.9585 | 0.9585 | 0.9283 |
| Time fixed effect | YES | YES | YES | YES | YES | YES | YES | YES | YES | YES | YES | YES |
| Location fixed effect | YES | YES | YES | YES | YES | YES | YES | YES | YES | YES | YES | YES |
| Control | YES | YES | YES | YES | YES | YES | YES | YES | YES | YES | YES | YES |
Disclaimer/Publisher’s Note: The statements, opinions and data contained in all publications are solely those of the individual author(s) and contributor(s) and not of MDPI and/or the editor(s). MDPI and/or the editor(s) disclaim responsibility for any injury to people or property resulting from any ideas, methods, instructions or products referred to in the content. |
© 2024 by the authors. Licensee MDPI, Basel, Switzerland. This article is an open access article distributed under the terms and conditions of the Creative Commons Attribution (CC BY) license (https://creativecommons.org/licenses/by/4.0/).
Share and Cite
Zhang, X.; Liu, X.; Zhang, Z.; Tang, R.; Zhang, T.; Yao, J. The Synergistic Effect of the Carbon Emission Trading Scheme on Pollution and Carbon Reduction in China’s Power Industry. Sustainability 2024, 16, 8681. https://doi.org/10.3390/su16198681
Zhang X, Liu X, Zhang Z, Tang R, Zhang T, Yao J. The Synergistic Effect of the Carbon Emission Trading Scheme on Pollution and Carbon Reduction in China’s Power Industry. Sustainability. 2024; 16(19):8681. https://doi.org/10.3390/su16198681
Chicago/Turabian StyleZhang, Xiling, Xiaoqian Liu, Zeyu Zhang, Ruiyi Tang, Ting Zhang, and Jian Yao. 2024. "The Synergistic Effect of the Carbon Emission Trading Scheme on Pollution and Carbon Reduction in China’s Power Industry" Sustainability 16, no. 19: 8681. https://doi.org/10.3390/su16198681
APA StyleZhang, X., Liu, X., Zhang, Z., Tang, R., Zhang, T., & Yao, J. (2024). The Synergistic Effect of the Carbon Emission Trading Scheme on Pollution and Carbon Reduction in China’s Power Industry. Sustainability, 16(19), 8681. https://doi.org/10.3390/su16198681
