Impact of Domestic Heating on Air Pollution—Extreme Pollution Events in Serbia
Abstract
1. Introduction
2. Materials and Methods
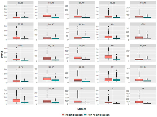
- To study PM concentration, the daily verified station data from the Environmental Protection Agency’s monitoring network were used, from 2011 to 2022 for PM10 and from 2016 to 2022 for PM2.5 [22]. Due to a limited number of available observations and frequent interruptions in time series, particularly concerning PM2.5, we utilized a time series comprising 75% of the available yearly data for a minimum of three years during the study periods. The analysis included a total of 25 stations for PM10 and 16 for PM2.5. The geographical distribution of the stations is shown in Figure 1, while the list of stations with specifications of types, coverage areas, and data availability is presented in Table 1. The statistical properties of the data series (data distribution, means, and extreme values) were calculated for heating and non-heating seasons. In Serbia, public heating plant systems define the heating season from 15 October to 15 April, but depending on weather conditions, i.e., a mean daily temperature under 12 °C, it can start earlier or be extended. For the purpose of this study, data series were compared for the heating (from 1 October to 30 April) and non-heating seasons (from 1 May to 30 September).
- Exposure studies often use the average condition to estimate population exposure to air pollution. However, it is widely recognized that episodes of extreme pollution can have catastrophic consequences for the population’s health. Therefore, pollution events and their frequency and intensity were studied. An event (E) was defined as an episode when the PM concentration was above the WHO-recommended guideline quality levels (WHO GQL) for at least three consecutive days. For PM10, the upper limit of daily concentration was 45 μg/m3, and for PM2.5, it was 15 μg/m3 [23]. For every E, several statistical features were calculated: event duration (Eduartion, in days), average concentration during the event (Emean, in μg/m3), and the cumulative sum of concentration above the upper limit during the event (Ecumsum, in μg/m3). This allows for a comparison of pollution severity between stations in Serbia and the identification of the most extreme events (max Eduration, max Emean, and max Ecumsum).
- The PM levels in Serbia are directly related to emissions from the heating sector. To better understand this impact, the census data from 2022 were used for the assessment of heating installations in occupied dwellings [24] and fuels used [25]. The term ‘occupied dwelling’ means that it is used for permanent residence. The data were available at the municipal level. The following parameters were calculated and analyzed:
- -
- The share of occupied dwellings with heating installations in the total number of occupied dwellings (Dhi, %).
- -
- The share of those with central heating installations among the occupied dwellings (Dhicentral, %). Central heating is a system in which heat is delivered from a centralized heat source, such as a public or local heat power plant.
- -
- Among the occupied dwellings with heating installations, the share of those with district heating (Dhidistric, %). District heating refers to a type of heating system where heat is provided from a central boiler room in the building or from a boiler room within the dwelling.
- -
- Among the occupied dwellings with heating installations, the share of those with gas heating (Dgasi, %). Gas heating means that the dwelling is connected to the gas network for heating.
- -
- The share of occupied dwellings without a central heating system according to fuels used: coal (Dwccoal, %), wood (Dwcwood, %), fuel oil (Dwcoil, %), gas fuel (Dwcgas, %), and electric energy (Dwcelectricity, %).
- -
- The share of occupied dwellings without heating installations according to fuel used: coal (Dwccoal, %), wood (Dwcwood, %), fuel oil (Dwcoil, %), gas fuel (Dwcgas, %), and electric energy (Dwcelectricity, %).
3. Results
4. Discussion
5. Conclusions
Author Contributions
Funding
Institutional Review Board Statement
Informed Consent Statement
Data Availability Statement
Conflicts of Interest
References
- Institute for Health Metrics and Evaluation. Global Burden of Disease Collaborative Network. Global Burden of Disease Study 2019 (GBD 2019) Air Pollution Exposure Estimates 1990–2019. 2021. Available online: https://ghdx.healthdata.org/record/global-burden-disease-study-2019-gbd-2019-air-pollution-exposure-estimates-1990-2019 (accessed on 10 June 2024).
- Health Effects Institute. State of Global Air 2020. 2020. Available online: https://www.stateofglobalair.org/resources/archived/state-global-air-report-2020 (accessed on 30 May 2024).
- Europe Environmental Agency. Air Quality in Europe 2022, Report No. 05/2022. Available online: https://www.eea.europa.eu/publications/air-quality-in-europe-2022 (accessed on 10 May 2024).
- Yu, W.; Xu, R.; Ye, T.; Abramson, M.J.; Morawska, L.; Jalaludin, B.; Johnston, F.H.; Henderson, S.B.; Knibbs, L.D.; Morgan, G.G.; et al. Estimates of global mortality burden associated with short-term exposure to fine particulate matter (PM2.5). Lancet Planet. Health 2024, 8, e146–e155. [Google Scholar] [CrossRef]
- McDuffie, E.E.; Martin, R.V.; Spadaro, J.V.; Burnett, R.; Smith, S.J.; O’Rourke, P.; Hammer, M.S.; van Donkelaar, A.; Bindle, L.; Shah, V.; et al. Source sector and fuel contributions to ambient PM2.5 and attributable mortality across multiple spatial scales. Nat. Commun. 2021, 12, 3594. [Google Scholar] [CrossRef] [PubMed]
- Khomenko, S.; Pisoni, E.; Thunis, P.; Bessagnet, B.; Cirach, M.; Iungman, T.; Barboza, P.; Khreis, H.; Mueller, N.; Tonne, C.; et al. Spatial and sector-specific contributions of emissions to ambient air pollution and mortality in European cities: A health impact assessment. Lancet Public Health 2023, 8, e546–e558. [Google Scholar] [CrossRef] [PubMed]
- Gu, Y.; Henze, D.K.; Nawaz, M.O.; Cao, H.; Wagner, U.J. Sources of PM2.5-associated health risks in Europe and corresponding emission-induced changes during 2005–2015. GeoHealth 2023, 7, e2022GH000767. [Google Scholar] [CrossRef]
- Paisi, N.; Kushta, J.; Pozzer, A.; Violaris, A.; Lelieveld, J. Health effects of carbonaceous PM2.5 compounds from residential fuel combustion and road transport in Europe. Sci. Rep. 2024, 14, 1530. [Google Scholar] [CrossRef]
- Denier van der Gon, H.A.C.; Bergström, R.; Fountoukis, C.; Johansson, C.; Pandis, S.N.; Simpson, D.; Visschedijk, A.J.H. Particulate emissions from residential wood combustion in Europe—Revised estimates and an evaluation. Atmos. Chem. Phys. 2015, 15, 6503–6519. [Google Scholar] [CrossRef]
- Daellenbach, K.R.; Uzu, G.; Jiang, J.; Cassagnes, L.-E.; Leni, Z.; Vlachou, A.; Stefenelli, G.; Canonaco, F.; Weber, S.; Segers, A.; et al. Sources of particulate-matter air pollution and its oxidative potential in Europe. Nature 2020, 587, 414–419. [Google Scholar] [CrossRef] [PubMed]
- Bari, M.A.; Baumbach, G.; Kuch, B.; Scheffknecht, G. Air Pollution in Residential Areas from Wood-fired Heating. Aerosol Air Qual. Res. 2011, 11, 749–757. [Google Scholar] [CrossRef]
- Salva, J.; Poništ, J.; Rasulov, O.; Schwarz, M.; Sečkár, M. The impact of heating systems scenarios on air pollution at selected residential zone: A case study using AERMOD dispersion model. Environ. Sci. Eur. 2023, 35, 91. [Google Scholar] [CrossRef]
- Braniš, M.; Domasová, M.; Řezáčová, P. Particulate air pollution in a small settlement: The effect of local heating. Appl. Geochem. 2007, 22, 1255–1264. [Google Scholar] [CrossRef]
- Jandacka, D.; Durcanska, D.; Nicolanska, M.; Holubcik, M. Impact of Seasonal Heating on PM10 and PM2.5 Concentrations in Sučany, Slovakia: A Temporal and Spatial Analysis. Fire 2024, 7, 150. [Google Scholar] [CrossRef]
- Olszowski, T. Influence of Individual Household Heating on PM2.5 Concentration in a Rural Settlement. Atmosphere 2019, 10, 782. [Google Scholar] [CrossRef]
- Mentes, D.; Kovács, H.; Nagy, G.; Póliska, C. Investigation of air pollutants from residential heating. Mat. Sci. Eng. 2019, 44, 54–66. [Google Scholar]
- Juginović, A.; Vuković, M.; Aranza, I.; Biloš, V. Health impacts of air pollution exposure from 1990 to 2019 in 43 European countries. Sci. Rep. 2021, 11, 22516. [Google Scholar] [CrossRef]
- WHO Reginal Office for Europe. Health Impact of Ambient Air Pollution in Serbia. A Call to Action. 2020. Available online: https://serbia.un.org/en/22141-health-impact-ambient-air-pollution-serbia-call-action (accessed on 10 July 2023).
- Environmental Protection Agency of the Republic of Serbia. Annual Report. Air Quality in the Republic of Serbia in 2022. Belgrade, Serbia. 2023. Available online: http://www.sepa.gov.rs/download/Vazduh_2021.pdf (accessed on 20 May 2024). (In Serbian)
- WHO. Air Quality Health Risk Assessments (Countries). 2019. Available online: https://discomap.eea.europa.eu/App/AQViewer/index.html?fqn=Airquality_Dissem.hra.countries_sel&EUCountries=Yes&ScenarioDescription=WHO_2021_AQG_Scen_Base&AirPollutant=PM2.5&UrbanisationDegree=All%20Areas%20(incl.unclassified) (accessed on 7 June 2024).
- Kienzler, S.; Soares, J.; González Ortiz, A.; Plass, D. Estimating the Morbidity Related Environmental Burden of Disease due to Exposure to PM2.5, NO2 and O3 in Outdoor Ambient Air (ETC HE 2022/11). European Topic Centre on Human Health and the Environment. 2022. Available online: https://www.eionet.europa.eu/etcs/etc-he/products/etc-he-products/etc-he-reports/etc-he-report-2022-11-estimating-the-morbidity-related-environmental-burden-of-disease-due-to-exposure-to-pm2-5-no2-and-o3-in-outdoor-ambient-air (accessed on 15 April 2024).
- Environmental Protection Agency. Daily Verified Air Quality Data, 2011–2022. Available online: https://data.gov.rs/sr/organizations/agentsija-za-zashtitu-zhivotne-sredine/ (accessed on 3 March 2024).
- WHO Global Air Quality Guidelines. Particulate Matter (PM2.5 and PM10), Ozone, Nitrogen Dioxide, Sulfur Dioxide and Carbon Monoxide. 2021. Available online: https://www.who.int/publications/i/item/9789240034228 (accessed on 28 April 2024).
- Statistical Office of the Republic of Serbia. 2022 Census of Population, Households and Dwellings, Installation in the Dwellings, Data by Municipalities and Cities. 2023. Available online: https://publikacije.stat.gov.rs/G2023/Pdf/G20234011.pdf (accessed on 10 March 2024).
- Statistical Office of the Republic of Serbia. Heating in Occupied Dwellings without Central Heating. 2023. Available online: https://data.stat.gov.rs/Home/Result/3104040106?languageCode=sr-Latn (accessed on 10 March 2024).
- Belis, C.A.; Pisoni, E.; Degraeuwe, B.; Peduzzi, E.; Thinis, P.; Monforti-Ferrario, F.; Guizzardi, D. Urban pollution in the Danube and Western Balkans Regions: The Impact of Major PM2.5 Sources. Environ. Int. 2019, 133, 105158. [Google Scholar] [CrossRef]
- Banja, M.; Đukanović, G.; Belis, C. Status of Air Pollutants and Greenhouse Gases in the Western Balkans—Benchmarking the Accession Process Progress on Environment. Joint Research Centre, European Commission, Institute for Prospective Technological Studies, Publications Office 2020. Available online: https://data.europa.eu/doi/10.2760/48321 (accessed on 4 July 2024).
- Daul, M.C.; Kryzanowski, M.; Kujundzic, O. Air Pollution and Human Health: The Case of the Western Balkans. Available online: https://api.developmentaid.org/api/frontend/cms/file/2019/06/Air-Quality-and-Human-Health-Report_Case-of-Western-Balkans_preliminary_results.pdf (accessed on 26 July 2024).
- Stojadinovic, D.; Bortoli, E.D.; Baldini, M. Biomass-Based Heating in the Western Balkans—A Roadmap for Sustainable Development. World Bank Group. Available online: https://documents1.worldbank.org/curated/en/135831542022333083/pdf/Biomass-Based-Heating-in-the-Western-Balkans-A-Roadmap-for-Sustainable-Development.pdf (accessed on 26 July 2024).
- Ivošev, M.; Milosavljević, M.; Stević, N. Ecological aspects of heating in Serbian cities. Zbornik Medjunarodnog Kongresa O KGH 2019, 34, 128–144. Available online: https://izdanja.smeits.rs/index.php/kghk/article/view/5141/5346 (accessed on 29 July 2024). (In Serbian).
- Moriske, H.-J.; Drews, M.; Ebert, G.; Menk, G.; Scheller, C.; Schöndube, M.; Konieczny, L. Indoor air pollution by different heating systems: Coal burning, open fireplace and central heating. Toxicol. Lett. 1996, 88, 349–354. [Google Scholar] [CrossRef]
- Fan, M.; He, G.; Zhou, M. The winter choke: Coal-Fired heating, air pollution, and mortality in China. J. Health Econ. 2020, 71, 102316. [Google Scholar] [CrossRef]
- Mahmoud, M.; Ramadan, M.; Naher, S.; Pullen, K.; Olabi, A.-G. The impacts of different heating systems on the environment: A review. Sci. Total Environ. 2021, 766, 142625. [Google Scholar] [CrossRef]
- World Bank Group. The Global Health Cost of PM 2.5 Air Pollution: A Case for Action Beyond 2021. 2022. Available online: https://documents1.worldbank.org/curated/en/455211643691938459/pdf/The-Global-Health-Cost-of-PM-2-5-Air-Pollution-A-Case-for-Action-Beyond-2021.pdf (accessed on 5 May 2024).
- Center for Research on Energy an Clean Air. Quantifying the Economic Costs of Air Pollution from Fossil Fuels. 2020. Available online: https://energyandcleanair.org/wp/wp-content/uploads/2020/02/Cost-of-fossil-fuels-briefing.pdf (accessed on 8 May 2024).
- CE Delft. Health-Related Social Costs of Air Pollution Due to Residential Heating and Cooking in the EU27 and UK. 2022. Available online: https://cedelft.eu/wp-content/uploads/sites/2/2022/03/CE_Delft_210135_Health-related_social_costs_of_residential_heating_and_cooking_Def_V1.2.pdf (accessed on 3 June 2024).
- European Public Health Alliance. The Impact of Residential Heating and Cooking in Air Quality in Europe, The Health Argument for Clean Heating and Cooking. 2022. Available online: https://epha.org/wp-content/uploads/2022/03/epha-position-paper-clean-heating.pdf (accessed on 15 June 2024).
- Kaczmarczyk, M.; Sowiżdżał, A.; Tomaszewska, B. Energetic and Environmental Aspects of Individual Heat Generation for Sustainable Development at a Local Scale—A Case Study from Poland. Energies 2020, 13, 454. [Google Scholar] [CrossRef]
- Alvarez-Herranz, A.; Balsalobre-Lorente, D.; Shahbaz, M.; María Cantos, J. Energy innovation and renewable energy consumption in the correction of air pollution levels. Energy Policy 2017, 105, 386–397. [Google Scholar] [CrossRef]
- Rodriguez-Alvarez, A. Air pollution and life expectancy in Europe: Does investment in renewable energy matter? Sci. Total Environ. 2021, 792, 148480. [Google Scholar] [CrossRef]
- Gwenzi, W.; Chaukura, N.; Wenga, T.; Mtisi, M. Biochars as media for air pollution control systems: Contaminant removal, applications and future research directions. Sci. Total Environ. 2021, 753, 142249. [Google Scholar] [CrossRef]
- Zhao, Z.; Wang, B.; Theng, B.K.G.; Lee, X.; Zhang, X.; Chen, M.; Xu, P. Removal performance, mechanisms, and influencing factors of biochar for air pollutants: A critical review. Biochar 2022, 4, 30. [Google Scholar] [CrossRef]
- Li, S.; Lin, Y.; Pan, F. Research progress in thermal energy storage and conversion technology. Energy Storage Sci. Technol. 2022, 11, 1551–1562. [Google Scholar] [CrossRef]
- Yang, B.; Guo, J.; Huang, X.; Li, Z.; Yang, X.; Li, M.-J. Evaluation of variable rotation on enhancing thermal performance of phase change heat storage tank. Int. J. Heat Fluid Flow 2024, 106, 109328. [Google Scholar] [CrossRef]
- Zauli-Sajani, S.; Thunis, P.; Pisoni, E.; Bessagnet, B.; Monforti-Ferrario, F.; De Meij, A.; Pekar, F.; Vignati, E. Reducing biomass burning is key to decrease PM2.5 exposure in European cities. Sci. Rep. 2024, 14, 10210. [Google Scholar] [CrossRef]
- WHO. Policies to Reduce Air Pollution from Household Heating. Available online: https://cdn.who.int/media/docs/default-source/air-pollution-documents/air-quality-and-health/policies-to-reduce-air-pollution-from-household-heating.pdf?sfvrsn=4ace7a76_3 (accessed on 7 June 2024).
- Official Gazette of the Republic of Serbia. Law on Air Protection. No. 36 (2009); 10 (2013); 26 (2021). Available online: https://www.paragraf.rs/propisi/zakon_o_zastiti_vazduha.html (accessed on 28 July 2024). (In Serbian).
- Official Gazette of the Republic of Serbia. Air Quality Programme of the Republic of Serbia for the period 2022–2030 with an Action Plan. No. 140/2022. Available online: https://www.ekologija.gov.rs/sites/default/files/2023-03/en_aq_programme_adopted_version.pdf (accessed on 28 July 2024).
- Regulation (EC) No 715/2007; Regulation (EC) No 715/2007 of the European Parliament and of the Council of 20 June 2007 on Type Approval of Motor Vehicles with Respect to Emissions from Light Passenger and Commercial Vehicles (Euro 5 and Euro 6) and on Access to Vehicle Repair and Maintenance Information. European Parliament, Council of the European Union: Brussels, Belgium, 2007.
- Regulation (EC) No 595/2009; Regulation (EC) No 595/2009 of the European Parliament and of the Council of 18 June 2009 on Type-Approval of Motor Vehicles and Engines with Respect to Emissions from Heavy Duty Vehicles (Euro VI) and on Access to Vehicle Repair and Maintenance Information and Amending Regulation (EC) No 715/2007 and Directive 2007/46/EC and Repealing Directives 80/1269/EEC, 2005/55/EC and 2005/78/EC. European Parliament, Council of the European Union: Brussels, Belgium, 2009.
- Commission Regulation (EU) 2016/646; Commission Regulation (EU) 2016/646 of 20 April 2016 Amending Regulation (EC) No 692/2008 as Regards Emissions from Light Passenger and Commercial Vehicles (Euro 6). European Commission: Brussels, Belgium, 2016.
- Stanojević, G.; Malinović-Milićević, S.; Ćurčić, N.B.; Radovanović, M.; Radivojević, A.; Popović, T.; Ćurčić, S. An Assessment of the Multidimensional Drivers and Determinants of Public Risk Perception of and Behaviors Related to Exposure to Air Pollution in Serbia. Sustainability 2023, 15, 16901. [Google Scholar] [CrossRef]











| Station | Full Name | Type | Area | PM | No. of Years |
|---|---|---|---|---|---|
| BE_CE | Beočin Centar | Background | Urban | PM10 | 6 |
| PM2.5 | 3 | ||||
| BG_MO | Beograd Mostar | Traffic | Urban | PM10 | 9 |
| PM2.5 | 4 | ||||
| BG_NG | Beograd Novi Beograd | Background | Urban | PM10 | 9 |
| PM2.5 | 4 | ||||
| BG_ST | Beograd Stari grad | Background | Urban | PM10 | 9 |
| PM2.5 | 5 | ||||
| BG_VR | Beograd Vračar | Background | Urban | PM10 | 9 |
| PM2.5 | 3 | ||||
| BG_ZB | Beograd Zeleno Brdo | Background | Suburban | PM10 | 5 |
| BO_GP | Bor Gradski park | Industrial | Urban | PM10 | 4 |
| PM2.5 | 4 | ||||
| KG | Kragujevac | Background | Urban | PM10 | 7 |
| KM_VIS | Kamenički Vis | Background | Rural | PM10 | 9 |
| KOSJ | Kosjerić | Background | Suburban | PM10 | 9 |
| PM2.5 | 5 | ||||
| KOST | Kostolac | Background | Suburban | PM10 | 4 |
| NI_IZJZ | Niš Institut za javno zdravlje Niš | Traffic | Urban | PM10 | 9 |
| PM2.5 | 5 | ||||
| NI_OS | Niš O.Š. “Sveti Sava” | Background | Urban | PM10 | 4 |
| PM2.5 | 4 | ||||
| NP | Novi Pazar | Background | Urban | PM10 | 3 |
| PM2.5 | 3 | ||||
| NS_LIM | Novi Sad Liman | Background | Urban | PM10 | 5 |
| NS_RU | Novi Sad Rumenačka | Traffic | Urban | PM10 | 3 |
| PM2.5 | 3 | ||||
| NS_SP | Novi Sad Spens | Traffic | Urban | PM10 | 6 |
| OB_CE | Obrenovac Centar | Traffic | Suburban | PM10 | 7 |
| PM2.5 | 3 | ||||
| PP | Popovac | Industrial | Suburban | PM10 | 6 |
| PM2.5 | 4 | ||||
| SD_CA | Smederevo Carina | Background | Suburban | PM10 | 4 |
| SD_CE | Smederevo Centar | Traffic | Urban | PM10 | 6 |
| PM2.5 | 5 | ||||
| SD_RA | Smederevo Radinac | Industrial | Suburban | PM10 | 4 |
| UE | Užice | Traffic | Urban | PM10 | 9 |
| PM2.5 | 3 | ||||
| VA | Valjevo | Background | Urban | PM10 | 10 |
| PM2.5 | 4 | ||||
| ZA | Zaječar | Background | Urban | PM10 | 4 |
Disclaimer/Publisher’s Note: The statements, opinions and data contained in all publications are solely those of the individual author(s) and contributor(s) and not of MDPI and/or the editor(s). MDPI and/or the editor(s) disclaim responsibility for any injury to people or property resulting from any ideas, methods, instructions or products referred to in the content. |
© 2024 by the authors. Licensee MDPI, Basel, Switzerland. This article is an open access article distributed under the terms and conditions of the Creative Commons Attribution (CC BY) license (https://creativecommons.org/licenses/by/4.0/).
Share and Cite
Stanojević, G.; Malinović-Milićević, S.; Brđanin, E.; Milanović, M.; Radovanović, M.M.; Popović, T. Impact of Domestic Heating on Air Pollution—Extreme Pollution Events in Serbia. Sustainability 2024, 16, 7920. https://doi.org/10.3390/su16187920
Stanojević G, Malinović-Milićević S, Brđanin E, Milanović M, Radovanović MM, Popović T. Impact of Domestic Heating on Air Pollution—Extreme Pollution Events in Serbia. Sustainability. 2024; 16(18):7920. https://doi.org/10.3390/su16187920
Chicago/Turabian StyleStanojević, Gorica, Slavica Malinović-Milićević, Eldin Brđanin, Miško Milanović, Milan M. Radovanović, and Teodora Popović. 2024. "Impact of Domestic Heating on Air Pollution—Extreme Pollution Events in Serbia" Sustainability 16, no. 18: 7920. https://doi.org/10.3390/su16187920
APA StyleStanojević, G., Malinović-Milićević, S., Brđanin, E., Milanović, M., Radovanović, M. M., & Popović, T. (2024). Impact of Domestic Heating on Air Pollution—Extreme Pollution Events in Serbia. Sustainability, 16(18), 7920. https://doi.org/10.3390/su16187920

