You are currently viewing a new version of our website. To view the old version click .
Sustainability
  • Article
  • Open Access

30 June 2024

Research on Environmental Kuznets Curve of Construction Waste Generation Based on China’s Provincial Data

,
,
,
,
,
,
,
and
1
School of Architectural Science and Engineering, Yangzhou University, Yangzhou 225127, China
2
School of Economics and Management, Inner Mongolia University of Science & Technology, Baotou 014010, China
*
Author to whom correspondence should be addressed.
This article belongs to the Special Issue Achieving Environmental Sustainability through Waste Management and Energy Conversion

Abstract

The mounting volume of construction waste in China has been steadily rising over the years, yet has largely been overlooked. The environmental Kuznets curve offers a theoretical framework for understanding environmental management by illustrating the relationship between economic development and environmental degradation. This paper applies the environmental Kuznets curve concept to China’s construction waste generation, utilizing per capita construction waste and gross domestic product per capita as environmental and economic indicators, respectively. Panel data from 31 Chinese provinces, municipalities, and autonomous regions spanning from 2000 to 2022 are analyzed. This study reveals an N-shaped relationship between per capita construction waste generation and gross domestic product per capita in China. Additionally, this paper employs the stochastic impacts by regression on population, affluence, and technology model to assess the factors influencing construction waste generation. In descending order of impact, these factors are the size of China’s secondary industry value added (19.34%), construction labor productivity (19.33%), gross domestic product per capita (18.54%), urbanization rate (17.77%), year-end resident population (17.22%), and the technical equipment rate of construction enterprises (8.83%). All these factors contribute positively to construction waste generation. These findings are pivotal in guiding efforts towards minimizing construction waste at its source and for the sustainable development of the construction industry.

1. Introduction

Since the twentieth century, China has undergone rapid social and economic development, accelerating the process of urbanization and transformation. Consequently, there has been a sharp increase in construction waste. From 2000 onwards, China’s construction waste generation (CWG) has been steadily rising, constituting 30–40% of total municipal waste. This immense volume underscores the significant challenge posed by construction waste, which accounts for 30–50% of land backfilling in China, consuming a large number of valuable land resources. Secondly, construction waste often contains a variety of hazardous substances, such as heavy metals and organic compounds, which, if not handled properly, can pollute soil and water resources [1], thus endangering the health of the ecosystem. In addition, the processes of transporting, treating, and landfilling construction waste also consume a large amount of energy, thus generating a large amount of greenhouse gases and exacerbating the problem of global climate change [2]. In this context, how to effectively reduce the amount of CWG generated is an urgent problem to be solved to achieve sustainable development in the construction industry. Despite a lack of direct data on construction waste in China, understanding CWG without considering resource utilization is fundamental to addressing this issue [3]. Thus, research on CWG is imperative.
The environmental Kuznets curve (EKC) posits an inverted U-shaped relationship between environmental degradation and economic development. Initially, environmental quality deteriorates substantially with economic growth. However, as economies reach a certain level of development, the rate of environmental decline slows down [4]. In this relationship, early economic growth comes at the expense of environmental quality, followed by a gradual improvement in environmental degradation as economic development progresses. The primary function of the EKC is to offer policymakers a clear understanding of the interplay between environmental degradation and economic development. This insight enables policymakers to devise targeted strategies over time, striking a dynamic balance between environmental protection and economic growth. A wealth of literature based on the EKC explores various environmental degradation scenarios and corresponding economic contexts, including the pressing issue of CO2 emissions [5,6,7], as well as pollutants like SOX and NOX [8]. Additionally, studies employing the EKC framework delve into other environmental concerns such as water pollution [9,10] and municipal solid waste [11,12]. These analyses serve as a theoretical foundation for addressing these environmental challenges.
The construction industry is a microcosm of the relationship that exists between environmental protection and economic development. In China, rapid economic growth has spurred a thriving construction sector, a cornerstone of the nation’s economic landscape. This industry holds a pivotal role in the country’s economic framework, catering to a continuously growing demand for infrastructure. Consequently, construction activities have intensified, resulting in a surge in construction waste generation [13]. However, alongside this growth, China’s construction sector grapples with resource inefficiency and wastage. Historically, due to technological and managerial constraints, many construction projects have witnessed excessive resource consumption and material wastage, surpassing actual requirements [14]. This inefficiency exacerbates the issue of construction waste accumulation. Understanding the dynamics between construction waste and its environmental impact in China is nuanced. Various factors such as technological advancements, industrial restructuring, and government policies play significant roles in shaping the quantity of construction waste generated. Therefore, it is imperative to delve into this intricate relationship to devise effective strategies for waste management and environmental conservation within China’s construction sector.
Few scholars have examined construction waste management from an EKC theoretical perspective, a novel approach. Confirming the existence of an EKC relationship between economic growth and construction waste generation in China would offer valuable insights for the country’s construction industry. Effective construction waste management strategies must align with the current stage of economic development [15]. By analyzing the EKC dynamics of construction waste in China, policymakers can discern present and future trends in waste generation, facilitating the formulation of proactive strategies to minimize waste at its source. This study aims to ascertain the presence of an EKC phenomenon in China’s CWG, elucidate its manifestations, and identify potential factors influencing CWG. Utilizing panel data spanning 31 provinces in China from 2000 to 2022 presents a considerable challenge due to the vastness and regional disparities within the country. Aggregating data for analysis of the EKC for CWG may obscure the nuanced variations among provinces and even within prefectural cities. Moreover, the global economy faced both economic and epidemic crises during this period, with countries responding divergently. Such disparities can impact data consistency, raising questions about the generalizability of our study’s findings to other economies. Nonetheless, we aim for this study to establish a robust theoretical framework for guiding construction waste management practices.

2. Literature Review

2.1. Construction Waste

Construction waste, arising from construction, demolition, renovation, and related building activities [16,17], is typically categorized and defined by various regions, such as the United Kingdom [18], the United States [19], and China [20]. Rapid urbanization has exacerbated the volume of construction waste generation (CWG) in both developed and developing economies [21], posing significant environmental threats if not effectively managed [22].
In the study of construction waste management, scholars believe that the principle of 3R (reduction, reuse, and recycling) is the main strategy for the management of construction waste [23]. Generally, in the formulation of construction waste management plans, the emission reduction strategy is given the highest priority because it has the lowest adverse impact on the environment [24]; this study is in line with this idea. Numerous factors influence CWG. Liu [25] identified incentive policies, material transportation, source planning, building material storage, and operational practices at construction sites as significant drivers for reducing construction waste in China. Similarly, Li [26] emphasized the pivotal role of contractors’ intentions to reduce waste, alongside governmental oversight, economic incentives, and perceived control over behavior. Wu [27], in their examination of Hong Kong and Shenzhen, highlighted economic feasibility as the primary determinant for minimizing construction waste. Mokhtar [28] argued that construction methods, project scale, building types, storage systems, human error, and technological factors collectively influence Australia’s CWG. Furthermore, Chellappa [29] delved into CWG in India from a stakeholder perspective, identifying frequent design changes, negative worker attitudes, inefficient planning, and inadequate monitoring as critical factors impacting CWG. Kabirifar [30] concluded that population size and economy-related activities can have a direct impact on CWG.

2.2. Environmental Kuznets Curve

The Kuznets curve, initially proposed by economist Kuznets to illustrate the relationship between income inequality and economic development [31], later became a framework for examining the correlation between pollutants resulting from human activities and socioeconomic progress. Building upon this, Grossman and Krueger [32] and Panayotou [33] introduced the environmental Kuznets curve (EKC). While the theoretical form of the EKC is an inverted U-shape, empirical studies have revealed diverse curve patterns for environmental degradation indices across different regions and variables. These patterns include inverted U-shape, U-shape, N-shape, inverted N-shape, and linear curves. For instance, regarding CO2 emissions, Liu [34] observed an inverted U-shaped curve in China, whereas Friedl and Getzner [35] identified an N-shaped curve in Austria. Similarly, studies on SO2 emissions, such as those conducted by Soonae Park and Youngmi Lee [36] in Korea, demonstrated varied curve patterns across different regions. Elif Akbostancı’s analysis [37] in Turkey indicated an N-shaped curve, while Shen [38] found a U-shaped curve in China. Zhikang Bao [39,40] validated the EKC concerning construction waste for Shenzhen, China, and a panel of 27 European economies, revealing an inverted U-shaped relationship between GDP per capita and CWG per capita. These findings underscore the complex and context-dependent nature of the relationship between economic development and environmental degradation, highlighting the importance of region-specific analysis in understanding environmental trends.
Researchers typically estimate EKC patterns using quadratic and cubic polynomial regression models. Quadratic regression models commonly depict “U” and inverted “U” patterns [41], while cubic regression models offer a broader range of patterns, including “N” and inverted “N” shapes [42]. These models provide a solid theoretical foundation for the current study.
In the current landscape, China’s attention to construction waste falls short, with few scholars specializing in the relationship between China’s Construction Waste Generation (CWG) and economic development. This dearth of research results in a lack of applicable theories. The EKC serves as a fitting tool to elucidate the connection between CWG and economic development in China. Hence, this paper seeks to build upon existing studies and delve deeper into CWG in China. Initially, we employ existing theoretical formulas to estimate CWG across China’s 31 provinces, municipalities, and autonomous regions. Subsequently, we conduct an empirical study on the medium- and long-term trends in construction waste generation, aiming to delineate the curve shape of China’s CWG and predict future trends. Finally, we analyze the factors influencing China’s CWG using the STIRPAT model.

3. Research Methods and Data

3.1. Calculation of the Construction Waste Generation in China

In this paper, we estimate CWG from three primary sources: house construction, demolition, and decoration/renovation activities. Given the absence of direct CWG statistics in China, we employ specific measurement methods based on existing data. Four commonly used methods in Chinese academic circles include floor area estimation, per capita coefficient, construction material, and experience coefficient methods. Here, we utilize the floor area estimation method to calculate annual CWG in China, employing the following formula:
W c = A c × U A c
where Wc represents annual CWG in house construction works (104 t); Ac represents annual area of house construction (104 m2); UAc represents CWG per unit area of house construction (104 t/104 m2). In this paper, we take the CWG per unit area of house construction works to be 0.055 × 104 t/104 m2 [43].
W d = A d × U A d
Wd represents annual CWG in house demolition works (104 t); Ad represents annual area of house demolition (104 m2), the area of house demolition is about 10% of the area of house construction; UAd represents CWG per unit area of house demolition (104 t/104 m2)—according to China’s construction demolitions waste statistics, the amount of construction and demolition waste generated per unit area is about 1.35 × 104 t/104 m2 [44].
W d e = A d e × U A d e
Wde represents annual CWG in house decoration and renovation works (104 t); Ade represents annual area of house decoration and renovation (104 m2)—for the annual area of renovation, take 10% of the area of existing completed houses in the current year [45] (you need to add up the area of completed houses in each year); UAde represents CWG per unit area of house demolition (104 t/104 m2), taken as 0.1 × 104 t/104 m2 [46].

3.2. Environmental Kuznets Curve Model of Construction Waste Generation in China

The CWG EKC model is developed using available data to illustrate the relationship between CWG and economic growth. Building on previous research [47], we utilize gross domestic product (GDP) per capita as the independent variable and CWG per capita as the dependent variable to construct a CWG Environmental Kuznets Curve model for China.
Employing polynomial model Equations (4)–(6), we conduct an empirical analysis of CWG per capita and GDP per capita in each province to investigate the curvilinear relationship between CWG per capita and GDP per capita across the sample interval.
L n P C W G i t = β 0 + β 1 L n P G D P i t + ε i t
L n P C W G i t = β 0 + β 1 L n P G D P i t + β 2 L n 2 P G D P i t + ε i t
L n P C W G i t = β 0 + β 1 L n P G D P i t + β 2 L n 2 P G D P i t + β 3 L n 3 P G D P i t + ε i t
where PCWGit represents the per capita CWG of province i in year t; LnPCWGit is the logarithmic form of PCWGit; PGDPit is the per capita gross domestic product of province i in year t; LnPGDPit is the logarithmic form of PGDPit; β0 is the intercept term; β1, β2, and β3 are the to-be-estimated parameters of LnPGDPit; ε is randomly disturbed error term.
For Equation (4), when β1 > 0, the EKC of construction waste is in the form of a straight line inclined to rise; when β1 < 0, the EKC of construction waste is in the form of a straight line inclined to fall. For Equation (5), when β1 > 0, β2 < 0, the EKC of construction waste is in the form of an inverted “U”-shaped curve; when β1 < 0 and β2 > 0, the EKC is a “U” curve. For Equation (6), when β1 > 0, β2 < 0, and β3 > 0, the EKC relationship is in “N” curve form; when β1 < 0, β2 > 0, and β3 < 0, the EKC relationship is in the form of an inverted “N” curve.

3.3. Stochastic Impacts by Regression on Population, Affluence, and Technology Model

This paper employs the stochastic impacts by regression on population, affluence, and technology (STIRPAT) model to analyze the impacts of CWG in China. Originating from the IPAT model [48], the STIRPAT model [49] transforms into a stochastic model expressed as follows:
I = a P b A c T d e
where I, P, A, and T denote environmental pressure, population size, economic development, and technology level, respectively; e is the model error term; and b, c, and d are elasticity coefficients. Han Feng [50] summarized that the factors affecting China’s CWG are mainly population size, economic output, environmental protection expenditure, technology expenditure, investment structure, energy efficiency, labor efficiency, industry scale, etc. Combined with the reality of China, the factors about environment, population, economy, and technology are listed in Table 1.
Table 1. Influencing factors of construction waste generation.
Table 1 illustrates the environmental, demographic, economic, and technological factors. Environmental factors are represented by CWG, while demographic factors comprise population size and structure. Population size refers to the number of permanent residents at year-end, while population structure is measured by the urbanization rate, i.e., the ratio of urban residents to the total population. Economic factors are indicated by per capita GDP and value added of the secondary industry. Technological level is assessed through the rate of technological equipment in construction enterprises and labor productivity in the construction industry. Equation (7) from Table 1 is expanded and presented in logarithmic form:
L n C W G t = α 0 + α 1 L n Y P t + α 2 L n U t + α 3 L n P G D P t + α 4 L n A t + α 5 L n T t + α 6 L n L P t + e t
where CWG denotes the construction waste generation; YP is the year-end resident population; U denotes the urbanization rate; PGDP stands for per capita GDP; A denotes the added value of the secondary industry; T denotes the technological equipment rate of construction enterprises; LP denotes the labor productivity of construction enterprises; e is the disturbance term; t denotes time; and α1, α2, α3, α4, α5, and α6 are elasticity coefficients.

3.4. Data

In our research on CWG in China, we encountered a lack of direct statistics. However, we were able to gather data on annual housing construction and completion areas. We collected data from 31 provinces, cities, and autonomous regions in China spanning the period from 2000 to 2022. This dataset includes information on housing construction and completion areas, GDP per capita, and end-of-year resident population. Additionally, we obtained data on China’s urban population, value added of the secondary industry, technological equipment rate of construction enterprises, and labor productivity of construction enterprises, sourced from the China Statistical Yearbook [51].

4. Empirical research

4.1. Construction Waste Generation in China

In this paper, we compute the CWG for each province, city, and autonomous region in China from 2000 to 2022 using Equations (1)–(3). For clarity, Figure 1 presents the CWG data for the 31 provinces from 2000 to 2022, categorized by the seven regions of China.
Figure 1. Construction waste generation in China.

4.2. Environmental Kuznets Curve Test for Construction Waste Generation in China

4.2.1. Environmental Kuznets Curve Test and Analysis of Results

The relationship between CWG per capita and GDP per capita in 31 provinces and cities in China is regressed according to Equations (4)–(6), and the results of the better fit are selected as follows:
L n P C W G = 1.2319 a + 0.8930 a L n P G D P 0.0659 c L n 2 P G D P + 0.0551 a L n 3 P G D P
( 36.046 ) ( 18.4050 ) ( −1.0645 ) ( 2.6768 )
In Equation (9), values in parentheses are t-statistics, a denotes the coefficient is significant at the 1% level, and c denotes the coefficient is significant at the 10% level. Equation (9) reveals the existence of an environmental Kuznets curve (EKC) relationship between China’s per capita CWG and per capita GDP. Figure 2 provides a visual representation of the datasets, consisting of 713 observations of CWG per capita and GDP per capita in China. These datasets aggregate data from 31 provinces and cities, offering a comprehensive overview of China’s economy. The EKC analysis investigates the relationship between environmental degradation and economic development, transcending specific time periods and economic contexts. Figure 2 plots the natural logarithm of CWG per capita and GDP per capita. With the positive primary coefficient, negative secondary coefficient, and negative tertiary coefficient of GDP per capita, China’s CWG EKC exhibits an “N” curve pattern, characterized by initial acceleration, followed by deceleration, and then renewed acceleration.
Figure 2. Visualization of the dataset of GDP/capita and CWG/capital for 31 China provinces.
Utilizing panel data from 31 provinces and cities in China, we can reliably determine the EKC of China’s CWG, as depicted in Figure 2. China’s CWG has consistently grown alongside economic development. The shape of the curve suggests that the momentum of CWG growth remains unabated, indicating that the traditional inverted “U” shaped EKC turning point has not yet emerged. Thus, there is no imminent turning point for the traditional inverted “U” shaped EKC.
Despite China’s advancements in technology and environmental regulations, the volume of construction waste remains substantial. This can be attributed to two main factors: Firstly, as a large developing nation, China faces significant challenges in reducing construction waste generation. With construction and demolition activities slowing down, the country’s rapid urbanization over the past 40 years since the 1978 reform and opening-up means that many buildings will reach their theoretical lifespan in the coming decades. Consequently, a considerable amount of construction waste will be produced as these buildings require refurbishment or demolition. Thus, implementing effective minimization policies to reduce construction waste generation proves difficult in China [13]. Secondly, construction waste differs from other environmental pollutants such as waste gas and wastewater. While the majority of construction waste comprises non-hazardous materials like soil, stone, brick, scrap metal, bamboo, timber, and packaging materials, only a small fraction contains hazardous substances [52]. Consequently, in the short term, construction waste poses less of an immediate threat to the environment. As a result, society tends to prioritize addressing more harmful environmental pollutants like waste gas and wastewater.
While China’s CWG is expected to continue growing alongside its economic development, this does not imply that the growth rate of CWG will remain constant. By the end of 2025, China aims to enhance its mechanisms for reducing construction waste at its source. This indicates a gradual shift in focus towards addressing construction waste issues.

4.2.2. Unit Root Test

During EKC validation, unit root tests are commonly conducted on the data to ascertain whether the variables are stationary [53]. Pseudo-regression can occur when analyzing non-stationary variables, rendering the results practically insignificant [54]. Therefore, a unit root test is essential before validating the EKC model. For panel data regression, tests such as LLC, HT, Breitung, Fisher, and IPS are typically employed. Given the characteristics of the panel data in this study, we opted for the LLC [55], Fisher ADF [56], and Hadri [57] tests for each variable. The test results are presented in Table 2.
Table 2. Results of the LLC, Fisher ADF and Hadri unit root tests.
From Table 2, it is evident that all four variables exhibit significance in the LLC, Fisher ADF, and Hadri tests. This rejection of the null hypothesis of a unit root in the panel at a 1% significance level suggests that the original data is stationary, allowing for direct regression analysis.

4.3. Analysis of Influential Factors of China’s Construction Waste Generation

4.3.1. Model Testing

The ordinary least squares (OLS) test, a multiple linear regression based on the variables in Equation (8), yielded the results displayed in Table 3. Upon examining the regression outcomes, it becomes evident that the variance inflation factor (VIF) exceeds 10 for five variables, with the highest reaching 2098.9184. This signifies a significant issue of multicollinearity among the explanatory variables in this regression equation. Additionally, some factors fail to pass the significance test. To address the covariance problem, ridge regression estimation [58] may be employed.
Table 3. Ordinary least squares regression results.

4.3.2. Ridge Regression Parameter Estimation

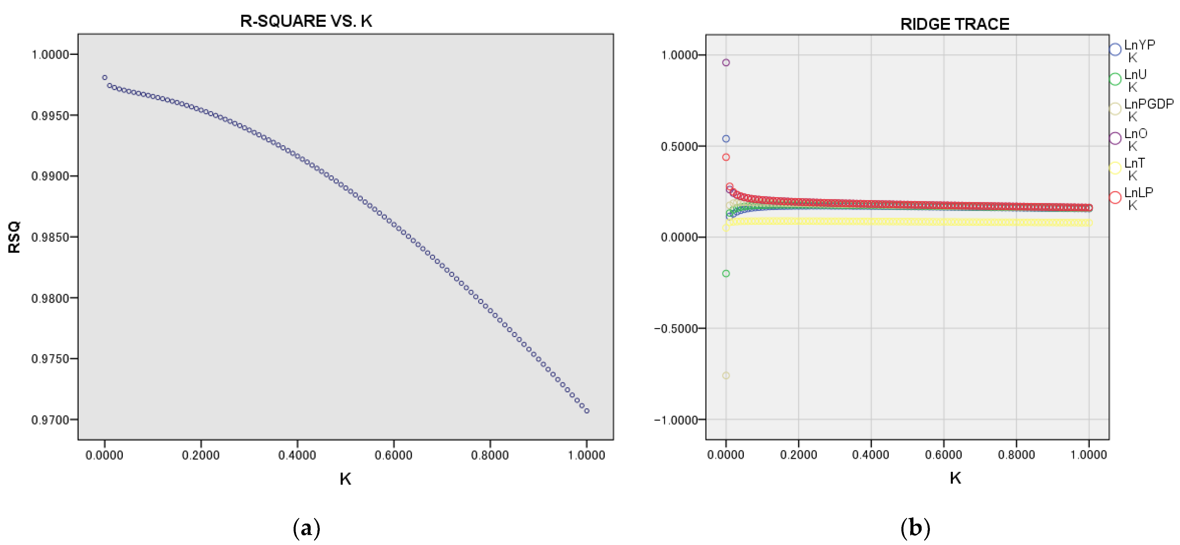
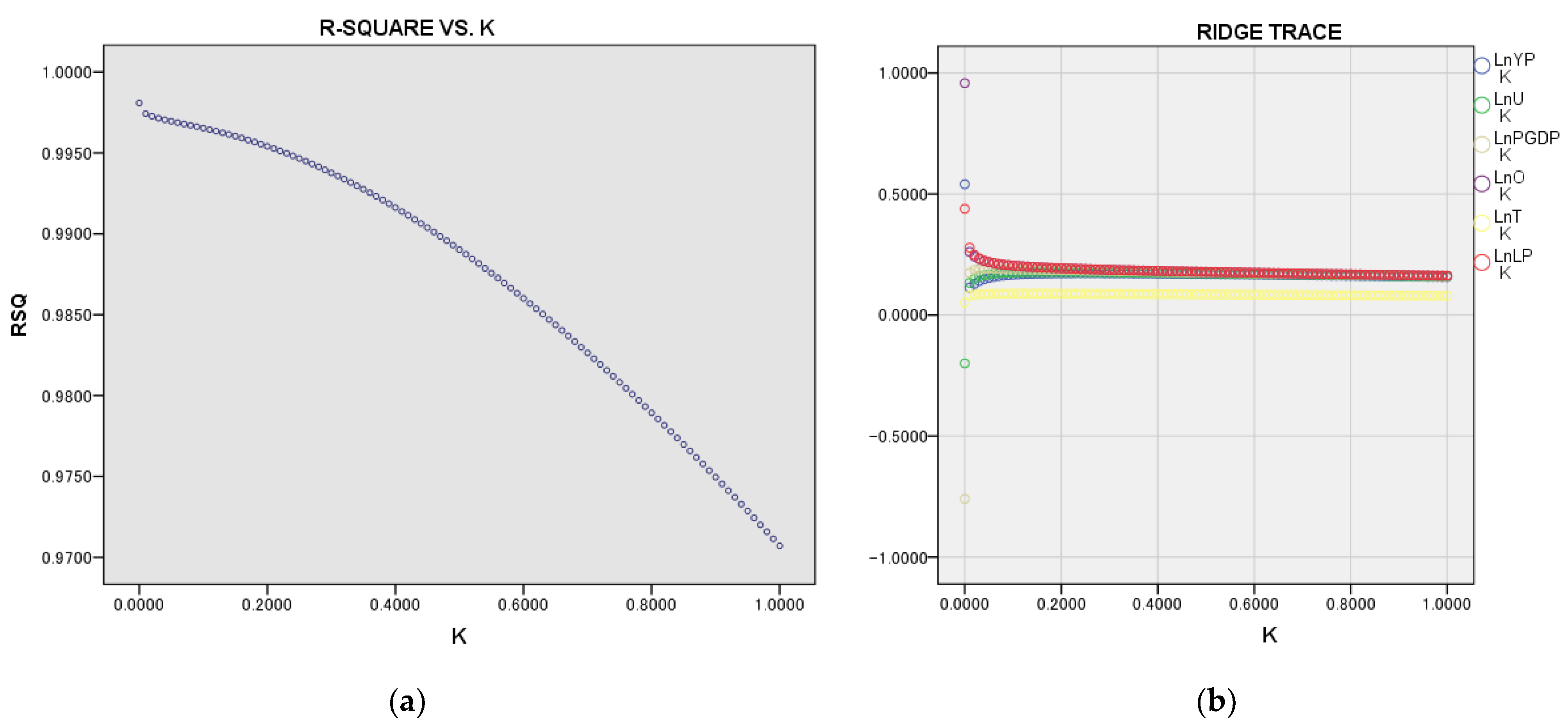
The ridge regression results (Figure 3) depict the trajectory of explanatory variables (Figure 3a) and the scatter plot of the determinable coefficient R2 and the value of k (Figure 3b). In Figure 3a, it is observed that as long as k remains between 0 and 1, R2 consistently exceeds 0.97. This indicates that each variable possesses considerable explanatory power (greater than 0.97) over the dependent variable. Furthermore, a smaller k value corresponds to a larger R2, indicating stronger model explanatory power. Therefore, the choice of k should be minimized. In Figure 3b, it is noticeable that when k ≥ 0.2, each explanatory variable stabilizes.
Figure 3. Ridge regression results. (a) Ridge trajectory diagram; (b) scatterplot of the decisional coefficient R2 versus the value of k.
Consequently, this paper adopts k = 0.2 for ridge regression. The ridge regression results are displayed in Table 4. Table 4 reveals that the p-value of the t-test for each explanatory variable is below 0.05. This suggests that the ridge regression coefficients for each explanatory variable pass the test at the 5% significance level.
Table 4. Ridge regression results at k = 0.2.
The ridge regression results revealed an F-statistic of 578.4537, with a corresponding F-test significance p-value of 0.0000, indicating significance at the highest level. Consequently, the original hypothesis was rejected, affirming a regression relationship between the independent variables and the dependent variable. Moreover, the model’s goodness of fit R2 is 0.995, demonstrating excellent performance.

4.3.3. Analysis of Results

In ridge regression, the absolute number of standard coefficient reflects the magnitude of the effect of the corresponding explanatory variables on CWG. On the other hand, the coefficient in ridge regression represents the elasticity coefficients of the influences. These coefficients indicate the percentage change in CWG resulting from a 1% change in one of the factors affecting it, while holding all other factors constant.
Table 4 reveals that China’s secondary industry value added has the most significant impact on CWG from 2000 to 2022, accounting for 19.34%. This is followed by construction labor productivity (19.33%), GDP per capita (18.54%), urbanization rate (17.77%), year-end resident population (17.22%), and, finally, the technological equipment rate of construction enterprises, which has the smallest influence at 8.83%.
Population size and structure significantly contribute to CWG, with elasticity coefficients of 3.8133 and 0.7623, respectively. China’s population growth rate in 2022 stands at −0.06%, indicating a negative trend that is expected to persist. Consequently, population size may not remain a key factor driving CWG. Meanwhile, China’s urbanization level is approximately 65% in 2022, with a target of reaching 80% by 2050. Given the ongoing growth in China’s urbanization, this factor is likely to continue influencing the rise in construction waste.
GDP per capita plays a pivotal role in CWG, with CWG increasing by 0.1908% for every 1% rise in GDP per capita. Notably, GDP per capita surged 10.8 times from CNY 7942 in 2000 to CNY 85,698 in 2020. As regional per capita income rises with GDP per capita, residents are inclined to seek a higher quality of life. This pursuit often involves construction activities to improve living conditions, thereby driving CWG growth. The secondary industry’s added value exerts the most significant influence on CWG, accounting for 19.34%. For every 1% increase in the added value of the secondary industry, CWG also rises by 0.2046%. Analysis in Figure 4 illustrates that the secondary industry dominated China from 2000 to 2012. However, since 2012, China’s industrial landscape has gradually shifted towards the tertiary sector. Consequently, the proportion of the secondary industry’s added value and its impact on CWG are expected to diminish in the foreseeable future.
Figure 4. The proportion of added value of three industries in China.

5. Discussion and Limitations

China’s per capita construction waste generation (CWG) and per capita GDP exhibit an N-shaped rising pattern, indicating continued growth without a slowing trend for the time being. One significant factor contributing to this trend is the indispensable nature of the construction industry in the urbanization process. Consequently, China must be prepared to address the significant generation of construction waste associated with urban development.
The construction industry’s technological advancements significantly influence the volume of construction waste generated. This suggests that China’s current level of technology for reducing construction waste at its source is relatively underdeveloped. Enhancing this technological capacity is imperative for China to effectively manage its substantial construction waste. Embracing green construction practices is pivotal in achieving this goal. Advancements in green building material technology can enhance material utilization rates, thereby reducing waste generation. Similarly, improving green building information technology is crucial, as it enables comprehensive simulation of construction processes, facilitating more ecologically sound design and management practices.
As China’s population, urbanization rate, and industrial structure are constantly changing, the Chinese government needs to dynamically formulate appropriate policies according to the changing times, strengthen the awareness of environmental protection and responsibility of construction industry practitioners, and improve the supervision system, so as to implement the policies in a multi-pronged manner, in order to effectively push forward the work of reducing construction waste at source.
This study acknowledges several limitations. Firstly, our analysis relies on panel data spanning 31 provinces in China from 2000 to 2022. This period encompasses global economic crises and the COVID-19 pandemic, during which countries responded diversely. Such variations can impact data consistency, raising questions about the generalizability of our construction waste generation environmental Kuznets curve (CWG EKC) findings to other economies. Thus, future research would benefit from broader temporal and spatial data to enhance sample size and research applicability. Secondly, China’s vastness and regional disparities pose challenges. Aggregating data for CWG EKC analysis may overlook nuanced differences between provinces and even within prefecture-level cities. Future studies could employ time-series data from individual provinces or smaller geographical units to validate the CWG EKC. This approach could also be extended to economies beyond China. Thirdly, our study utilizes the ordinary least squares (OLS) regression model to examine the relationship between GDP per capita and CWG per capita. While OLS is widely used, advancements in related disciplines offer opportunities for exploring alternative models and methodologies in future research. Lastly, our analysis employs the STIRPAT model to dissect factors influencing China’s CWG. However, the model’s scope is limited, primarily encompassing demographic, economic, and technological variables. Future investigations could employ diverse models and incorporate additional factor indicators to elucidate the factors impacting CWG more comprehensively.

6. Conclusions

The environmental Kuznets curve (EKC) serves as a visual aid in illustrating the interplay between economic advancement and environmental decline. This study validates the existence of the EKC between Chinese per capita CWG and per capita GDP, utilizing panel data from 31 provinces and municipalities spanning 2000 to 2022. The findings reveal an “N” shaped curve pattern, where per capita CWG initially increases, then decelerates, and subsequently accelerates. This suggests that as per capita GDP continues to rise, so does the CWG, a trend expected to persist in the near term.
The factors influencing construction waste generation (CWG) in China from 2000 to 2022, ranked in descending order of influence, are as follows: added value of the secondary industry (19.34%), labor productivity in the construction industry (19.33%), GDP per capita (18.54%), urbanization rate (17.77%), year-end resident population (17.22%), and technical equipment rate of construction enterprises (8.83%). A 1% increase in these factors leads to respective increases in CWG of 0.2046%, 0.0629%, 0.1908%, 0.7623%, 3.8133%, and 0.0075%, all contributing positively to construction waste production.

Author Contributions

Software, J.X.; validation, X.Z. and A.X.; investigation, Y.Y.; data curation, Y.W. and Q.L.; writing—original draft, B.W.; writing—review & editing, R.J.; supervision, R.J.; project administration, J.Z. All authors have read and agreed to the published version of the manuscript.

Funding

This research received no external funding.

Institutional Review Board Statement

Not applicable.

Data Availability Statement

No new data were created or analyzed in this study. Data sharing is not applicable to this article.

Conflicts of Interest

The authors declare no conflict of interest.

References

  1. Molla, A.S.; Tang, P.; Sher, W.; Bekele, D.N. Chemicals of Concern in Construction and Demolition Waste Fine Residues: A Systematic Literature Review. J. Environ. Manag. 2021, 299, 113654. [Google Scholar] [CrossRef] [PubMed]
  2. Alsheyab, M.A.T. Recycling of Construction and Demolition Waste and Its Impact on Climate Change and Sustainable Development. Int. J. Environ. Sci. Technol. 2022, 19, 2129–2138. [Google Scholar] [CrossRef]
  3. Parisi Kern, A.; Ferreira Dias, M.; Piva Kulakowski, M.; Paulo Gomes, L. Waste Generated in High-Rise Buildings Construction: A Quantification Model Based on Statistical Multiple Regression. Waste Manag. 2015, 39, 35–44. [Google Scholar] [CrossRef] [PubMed]
  4. Sarkodie, S.A.; Ozturk, I. Investigating the Environmental Kuznets Curve Hypothesis in Kenya: A Multivariate Analysis. Renew. Sustain. Energy Rev. 2020, 117, 109481. [Google Scholar] [CrossRef]
  5. Lindmark, M. An EKC-Pattern in Historical Perspective: Carbon Dioxide Emissions, Technology, Fuel Prices and Growth in Sweden 1870–1997. Ecol. Econ. 2002, 42, 333–347. [Google Scholar] [CrossRef]
  6. Kaika, D.; Zervas, E. The Environmental Kuznets Curve (EKC) Theory—Part A: Concept, Causes and the CO2 Emissions Case. Energy Policy 2013, 62, 1392–1402. [Google Scholar] [CrossRef]
  7. Dogan, E.; Inglesi-Lotz, R. The Impact of Economic Structure to the Environmental Kuznets Curve (EKC) Hypothesis: Evidence from European Countries. Env. Sci. Pollut. Res. 2020, 27, 12717–12724. [Google Scholar] [CrossRef]
  8. Danesh Miah, M.; Masum, M.F.H.; Koike, M. Global Observation of EKC Hypothesis for CO2, SOx and NOx Emission: A Policy Understanding for Climate Change Mitigation in Bangladesh. Energy Policy 2010, 38, 4643–4651. [Google Scholar] [CrossRef]
  9. Expósito, A.; Pablo-Romero, M.; Sánchez-Braza, A. Testing EKC for Urban Water Use: Empirical Evidence at River Basin Scale from the Guadalquivir River, Spain. J. Water Resour. Plan. Manag. 2019, 145, 04019005. [Google Scholar] [CrossRef]
  10. Lee, C.-C.; Chiu, Y.-B.; Sun, C.-H. The Environmental Kuznets Curve Hypothesis for Water Pollution: Do Regions Matter? Energy Policy 2010, 38, 12–23. [Google Scholar] [CrossRef]
  11. Arbulú, I.; Lozano, J.; Rey-Maquieira, J. Tourism and Solid Waste Generation in Europe: A Panel Data Assessment of the Environmental Kuznets Curve. Waste Manag. 2015, 46, 628–636. [Google Scholar] [CrossRef] [PubMed]
  12. Ercolano, S.; Lucio Gaeta, G.L.; Ghinoi, S.; Silvestri, F. Kuznets Curve in Municipal Solid Waste Production: An Empirical Analysis Based on Municipal-Level Panel Data from the Lombardy Region (Italy). Ecol. Indic. 2018, 93, 397–403. [Google Scholar] [CrossRef]
  13. Ma, M.; Tam, V.W.Y.; Le, K.N.; Li, W. Challenges in Current Construction and Demolition Waste Recycling: A China Study. Waste Manag. 2020, 118, 610–625. [Google Scholar] [CrossRef] [PubMed]
  14. Yahya, K.; Halim Boussabaine, A. Eco-costing of Construction Waste. Manag. Environ. Qual. Int. J. 2006, 17, 6–19. [Google Scholar] [CrossRef]
  15. Lu, W.; Tam, V.W. Construction Waste Management Policies and Their Effectiveness in Hong Kong: A Longitudinal Review. Renew. Sustain. Energy Rev. 2013, 23, 214–223. [Google Scholar] [CrossRef]
  16. Wu, W.; Xie, L.; Hao, J.L. An Integrated Trading Platform for Construction and Demolition Waste Recovery in a Circular Economy. Sustain. Chem. Pharm. 2022, 25, 100597. [Google Scholar] [CrossRef]
  17. Berge, S.; von Blottnitz, H. An Estimate of Construction and Demolition Waste Quantities and Composition Expected in South Africa. S. Afr. J. Sci. 2022, 118, 1–5. [Google Scholar] [CrossRef] [PubMed]
  18. Department for Environment, Food & Rural Affairs (DEFRA). UK Statistics on Waste. 2021. Available online: https://www.gov.uk/government/organisations/department-for-environment-food-rural-affairs (accessed on 14 May 2024).
  19. United States Environmental Protection Agency (USEPA). Sustainable Management of Construction and Demolition Materials. 2018. Available online: https://bit.ly/3DjkwnL (accessed on 18 February 2022).
  20. Ministry of Housing and Urban-Rural Development (MHUD). Urban Construction Waste Management Provisions. 2005. Available online: https://www.gov.cn/zhengce/2022-09/27/content_5712655.htm (accessed on 10 March 2024).
  21. Wu, Z.; Shen, L.; Yu, A.T.W.; Zhang, X. A Comparative Analysis of Waste Management Requirements between Five Green Building Rating Systems for New Residential Buildings. J. Clean. Prod. 2015, 112, 895–902. [Google Scholar] [CrossRef]
  22. Kamma, R.C.; Jha, K.N. Quantifying Building Construction and Demolition Waste Using Permit Data. J. Constr. Eng. Manag. 2022, 148, 04022091. [Google Scholar] [CrossRef]
  23. Lu, W.; Yuan, H. A Framework for Understanding Waste Management Studies in Construction. Waste Manag. 2011, 31, 1252–1260. [Google Scholar] [CrossRef]
  24. Huang, B.; Wang, X.; Kua, H.; Geng, Y.; Bleischwitz, R.; Ren, J. Construction and Demolition Waste Management in China through the 3R Principle. Resour. Conserv. Recycl. 2018, 129, 36–44. [Google Scholar] [CrossRef]
  25. Liu, J.; Yi, Y.; Wang, X. Exploring Factors Influencing Construction Waste Reduction: A Structural Equation Modeling Approach. J. Clean. Prod. 2020, 276, 123185. [Google Scholar] [CrossRef]
  26. Li, J.; Wu, Q.; Wang, C.C.; Du, H.; Sun, J. Triggering Factors of Construction Waste Reduction Behavior: Evidence from Contractors in Wuhan, China. J. Clean. Prod. 2022, 337, 130396. [Google Scholar] [CrossRef]
  27. Wu, Z.; Yu, A.T.W.; Wang, H.; Wei, Y.; Huo, X. Driving Factors For Construction Waste Minimization: Empirical Studies in Hong Kong and Shenzhen. J. Green Build. 2019, 14, 155–167. [Google Scholar] [CrossRef]
  28. Mokhtar, S.N.; Mahmood, N.Z.; Hassan, C.R.C.; Masudi, A.F.; Sulaiman, N.M. Factors That Contribute to the Generation of Construction Waste at Sites. Adv. Mater. Res. 2011, 163–167, 4501–4507. [Google Scholar] [CrossRef]
  29. Chellappa, V.; Gunasekaran, A.L.; Ramakrishnan, K. Factors Influencing Construction Waste Generation: Perspectives from India. Waste Resour. Manag. 2023, 1–10. [Google Scholar] [CrossRef]
  30. Kabirifar, K.; Mojtahedi, M.; Wang, C.; Tam, V.W.Y. Construction and Demolition Waste Management Contributing Factors Coupled with Reduce, Reuse, and Recycle Strategies for Effective Waste Management: A Review. J. Clean. Prod. 2020, 263, 121265. [Google Scholar] [CrossRef]
  31. Kuznets, S. Economic Growth and Income Inequality. In The Gap between Rich and Poor; Routledge: London, UK, 1985. [Google Scholar]
  32. Grossman, G.M.; Krueger, A.B. Environmental Impacts of a North American Free Trade Agreement; Routledge: London, UK, 1991. [Google Scholar]
  33. Panayotou, T. Environmental Degradation at Different Stages of Economic Development. In Beyond Rio; Ahmed, I., Doeleman, J.A., Eds.; Palgrave Macmillan UK: London, UK, 1995; pp. 13–36. [Google Scholar]
  34. Liu, W. EKC Test Study on the Relationship between Carbon Dioxide Emission and Regional Economic Growth. Carbon Manag. 2020, 11, 415–425. [Google Scholar] [CrossRef]
  35. Friedl, B.; Getzner, M. Determinants of CO2 Emissions in a Small Open Economy. Ecol. Econ. 2003, 45, 133–148. [Google Scholar] [CrossRef]
  36. Park, S.; Lee, Y. Regional Model of EKC for Air Pollution: Evidence from the Republic of Korea. Energy Policy 2011, 39, 5840–5849. [Google Scholar] [CrossRef]
  37. Akbostancı, E.; Türüt-Aşık, S.; Tunç, G.İ. The Relationship between Income and Environment in Turkey: Is There an Environmental Kuznets Curve? Energy Policy 2009, 37, 861–867. [Google Scholar] [CrossRef]
  38. Shen, J. A Simultaneous Estimation of Environmental Kuznets Curve: Evidence from China. China Econ. Rev. 2006, 17, 383–394. [Google Scholar] [CrossRef]
  39. Bao, Z.; Lu, W.; Peng, Z.; Ng, S.T. Balancing Economic Development and Construction Waste Management in Emerging Economies: A Longitudinal Case Study of Shenzhen, China Guided by the Environmental Kuznets Curve. J. Clean. Prod. 2023, 396, 136547. [Google Scholar] [CrossRef]
  40. Bao, Z.; Lu, W. Applicability of the Environmental Kuznets Curve to Construction Waste Management: A Panel Analysis of 27 European Economies. Resour. Conserv. Recycl. 2023, 188, 106667. [Google Scholar] [CrossRef]
  41. Işık, C.; Ongan, S.; Özdemir, D. Testing the EKC Hypothesis for Ten US States: An Application of Heterogeneous Panel Estimation Method. Environ. Sci. Pollut. Res. 2019, 26, 10846–10853. [Google Scholar] [CrossRef] [PubMed]
  42. Purcel, A.-A. New Insights into the Environmental Kuznets Curve Hypothesis in Developing and Transition Economies: A Literature Survey. Environ. Econ. Policy Stud. 2020, 22, 585–631. [Google Scholar] [CrossRef]
  43. Guo, Q.Y. Research on Construction Waste Production Prediction Based on BP Neural Network. Master’s Thesis, Shandong Jianzhu University, Jinan, China, 2023. (In Chinese). [Google Scholar]
  44. Xue, L.Q.; Cao, D.D. Prediction of construction waste production in megacity based on grey GM (1,1) model: A case study of Tianjin. Cities 2021, 2, 71–79. (In Chinese) [Google Scholar]
  45. Zhang, X.L.; Liu, Q.D.; Qin, W.P.; Chen, C.F.; Zheng, Y.W.; Li, T.Y. Research on inventory statistics and future production prediction of construction waste in Shenyang. Build. Energy Conserv. 2019, 47, 138–143. (In Chinese) [Google Scholar]
  46. Zuo, H.K.; Fu, S.L. Prediction of construction waste production without historical data. Environ. Sustain. Dev. 2012, 37, 106–109. (In Chinese) [Google Scholar] [CrossRef]
  47. Shafik, N.; Bandyopadhyay, S. Economic Growth and Environmental Quality: Time Series and Cross-Country Evidence; Policy Research Working Paper Series No. 904; The World Bank: Washington, DC, USA, 1992. [Google Scholar]
  48. Ehrlich, P.R.; Holdren, J.P. Impact of Population Growth. Science 1971, 171, 1212–1217. [Google Scholar] [CrossRef]
  49. Dietz, T.; Rosa, E.A. Rethinking the Environmental Impacts of Population, Affluence and Technology. Hum. Ecol. Rev. 1994, 1, 277–300. [Google Scholar]
  50. Han, F. Spatial Differences and Influencing Factors of Construction Waste Production. Master’s Thesis, Dongbei University of Finance and Economics, Dalian, China, 2023. (In Chinese). [Google Scholar]
  51. NBS (National Bureau of Statistics). Available online: https://www.stats.gov.cn/ (accessed on 14 May 2024).
  52. Lau, H.H.; Whyte, A.A.; Law, P. Composition and Characteristics of Construction Waste Generated by Residential Housing Project. Int. J. Environ. Res. 2008, 2, 261–268. [Google Scholar]
  53. Pata, U.K. Renewable Energy Consumption, Urbanization, Financial Development, Income and CO2 Emissions in Turkey: Testing EKC Hypothesis with Structural Breaks. J. Clean. Prod. 2018, 187, 770–779. [Google Scholar] [CrossRef]
  54. Urbain, J.-P.; Westerlund, J. Spurious Regression in Nonstationary Panels with Cross-Unit Cointegration; METEOR, Maastricht Research School of Economics of Technology and Organization, Research Memoranda: Maastricht, The Netherlands, 2006. [Google Scholar]
  55. Levin, A.; Lin, C.-F.; Chu, C.-S.J. Unit Root Tests in Panel Data: Asymptotic and Finite-Sample Properties. J. Econom. 2002, 108, 1–24. [Google Scholar] [CrossRef]
  56. Choi, I. Unit Root Tests for Panel Data. J. Int. Money Financ. 2001, 20, 249–272. [Google Scholar] [CrossRef]
  57. Hadri, K. Testing for Stationarity in Heterogeneous Panel Data. Econom. J. 2000, 3, 148–161. [Google Scholar] [CrossRef]
  58. Zhang, J.; Ibrahim, M. A Simulation Study on SPSS Ridge Regression and Ordinary Least Squares Regression Procedures for Multicollinearity Data. J. Appl. Stat. 2005, 32, 571–588. [Google Scholar] [CrossRef]
Disclaimer/Publisher’s Note: The statements, opinions and data contained in all publications are solely those of the individual author(s) and contributor(s) and not of MDPI and/or the editor(s). MDPI and/or the editor(s) disclaim responsibility for any injury to people or property resulting from any ideas, methods, instructions or products referred to in the content.

Article Metrics

Citations

Article Access Statistics

Multiple requests from the same IP address are counted as one view.