Determinants of College Students’ Online Fragmented Learning Effect: An Analysis of Teaching Courses on Scientific Research Software on the Bilibili Platform
Abstract
1. Introduction
2. Review of Related Studies in the Literature
2.1. Research Status of Online Fragmented Learning
2.2. Research Status of Research on Online Learning Effective and Determinants
2.3. Research Progress on LM and SE
2.4. Research Status of Research on the Relationship between Fragmented Learning and Learning Effects
3. Research Model and Hypotheses
3.1. Model Assumptions
3.2. Model Hypotheses
4. Materials and Methods
4.1. Data Collection
4.2. Participants
4.3. Research Survey
4.4. Data Analysis
5. Results
5.1. Descriptive Analysis
5.1.1. Descriptive Analysis of Participants
5.1.2. Descriptive Analysis of Variables
5.2. EFA Analysis
5.3. CFA Analysis
5.3.1. Reliability and Validity Tests
5.3.2. Goodness of Fit of the Model
5.4. Correlation Analysis
5.5. Hypotheses Testing
5.5.1. Structural Model Building
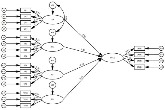
5.5.2. Model Test Results
6. Discussion
6.1. Discussion of Model Variables and Values
6.2. The Relationship between LM, SE, and OFLE
6.3. The Relationship between KF and OFLE
6.4. The Relationship between FTU and OFLE
6.5. Limitations and Future Research
7. Conclusions and Improvement Countermeasures
7.1. Build Quality Fragmented Learning Resources and Improve Online Learning Mechanisms
7.2. Build a Complete Knowledge System and Improve the Ability of Resource Selection
7.3. Increase Confidence in Online Learning and Boost LM and SE
7.4. Strengthen the Concept of Time and Enhance the Ability to FTU
Author Contributions
Funding
Institutional Review Board Statement
Informed Consent Statement
Data Availability Statement
Conflicts of Interest
References
- Cheng, J.; Wang, H. Adaptive algorithm recommendation and application of learning resources in English fragmented reading. Complexity 2021, 2021, 5592534. [Google Scholar] [CrossRef]
- Liu, Y.; Gu, X. Media multitasking, attention, and comprehension: A deep investigation into fragmented reading. Educ. Technol. Res. Dev. 2019, 68, 67–87. [Google Scholar] [CrossRef]
- Ituma, A. An evaluation of students’ perceptions and engagement with e-learning components in a campus based university. Act. Learn. High. Educ. 2011, 12, 57–68. [Google Scholar] [CrossRef]
- Azeiteiro, U.M.; Bacelar-Nicolau, P.; Caetano, F.J.; Caeiro, S. Education for sustainable development through e-learning in higher education: Experiences from Portugal. J. Clean. Prod. 2015, 106, 308–319. [Google Scholar] [CrossRef]
- Hansmann, R. “Sustainability Learning”: An introduction to the concept and its motivational aspects. Sustainability 2010, 2, 2873–2897. [Google Scholar] [CrossRef]
- Han, J.; Geng, X.; Wang, Q. Sustainable development of university EFL learners’ engagement, satisfaction, and self-efficacy in online learning environments: Chinese experiences. Sustainability 2021, 13, 11655. [Google Scholar] [CrossRef]
- Liu, W.; Huang, H.; Saleem, A.; Zhao, Z. The effects of university students’ fragmented reading on cognitive development in the new media age: Evidence from Chinese higher education. PeerJ 2022, 10, e13861. [Google Scholar] [CrossRef]
- Yang, Y.; Zhang, Y.; Song, R. Analysis of fragmented learning of college students under the background of online education. J. Adv. Educ. Philos. 2022, 6, 45–50. [Google Scholar] [CrossRef]
- Zhang, K.; Li, Y.; Yang, X. A study of cognitive barriers in online fragmented learning. Morden Educ. Technol. 2015, 25, 88–94. [Google Scholar] [CrossRef]
- Wang, C.; Li, X.; Zhao, F.; Zhang, L. A study of ragmented learning in the age of big data. Res. Electrochem. Educ. 2015, 36, 26–30. [Google Scholar] [CrossRef]
- Zhu, J.; Zhao, H.; Wang, X.; Yang, L.; Qin, Z.; Geng, J. Effects of online learning on college students in Eastern China: A structural equation model. Front. Public Health 2022, 10, 853928. [Google Scholar] [CrossRef] [PubMed]
- Aldholay, A.H.; Isaac, O.; Abdullah, Z.; Ramayah, T. The role of transformational leadership as a mediating variable in DeLone and McLean information system success model: The context of online learning usage in Yemen. Telemat. Inform. 2018, 35, 1421–1437. [Google Scholar] [CrossRef]
- Tang, J.; Li, J. Feasibility investigation and development exploration on popularizing the method of English fragmented mobile learning of undergraduates. J. Lit. Art Stud. 2021, 11, 504–508. [Google Scholar] [CrossRef]
- Yang, Y.; Wu, J. Investigation and analysis on the fragmented learning status of college students under the background of online learning. J. Adv. Educ. Philos. 2021, 5, 66–69. [Google Scholar] [CrossRef]
- Jiang, Y. The effective application of fragmented learning guided by constructivism. Int. J. Educ. Cult. Soc. 2018, 3, 10–13. [Google Scholar] [CrossRef][Green Version]
- Wang, X.; Zhang, Y. Research on fragmentation learning of college students in the internet age. Adv. Soc. Sci. Educ. Humanit. Res. 2019, 356, 192–196. [Google Scholar] [CrossRef]
- Song, Y.; Huang, T. Influence of students’ online fragmented learning on learning effect: The mediating effect of the internet. Int. J. Emerg. Technol. Learn. (iJET) 2022, 17, 179–190. [Google Scholar] [CrossRef]
- Chang, Y.-C.; Tsai, Y.-T. The effect of university students’ emotional intelligence, learning motivation and self-efficacy on their academic achievement—Online English courses. Front. Psychol. 2022, 13, 818929. [Google Scholar] [CrossRef]
- Li, H.; Duan, B.; Wang, Y.; Di, H.; Ge, H. Study on the influencing factors of online learning and its operation mechanism among Chinese college students during the COVID-19 pandemic—An empirical analysis based on a mixed method. Int. J. Environ. Res. Public Health 2022, 19, 15161. [Google Scholar] [CrossRef]
- Alismaiel, O.A.; Cifuentes-Faura, J.; Al-Rahmi, W.M. Online learning, mobile learning, and social media technologies: An empirical study on constructivism theory during the COVID-19 pandemic. Sustainability 2022, 14, 11134. [Google Scholar] [CrossRef]
- Sekhar, C.; Patwardhan, M.; Singh, R.K. A literature review on motivation. Glob. Bus. Perspect. 2013, 1, 471–487. [Google Scholar] [CrossRef]
- Rafiola, R.H.; Setyosari, P.; Radjah, C.L.; Ramli, M. The effect of learning motivation, self-efficacy, and blended learning on students’ achievement in the industrial revolution 4.0. Int. J. Emerg. Technol. Learn. (iJET) 2020, 15, 71–82. [Google Scholar] [CrossRef]
- Lin, C.-H.; Zhang, Y.; Zheng, B. The roles of learning strategies and motivation in online language learning: A structural equation modeling analysis. Comput. Educ. 2017, 113, 75–85. [Google Scholar] [CrossRef]
- Tokan, M.K.; Imakulata, M.M. The effect of motivation and learning behaviour on student achievement. S. Afr. J. Educ. 2019, 39, 1510. [Google Scholar] [CrossRef]
- Zimmerman, B.J. Self-efficacy: An essential motive to learn. Contemp. Educ. Psychol. 2000, 25, 82–91. [Google Scholar] [CrossRef] [PubMed]
- Wang, S.-L.; Wu, P.-Y. The role of feedback and self-efficacy on web-based learning: The social cognitive perspective. Comput. Educ. 2008, 51, 1589–1598. [Google Scholar] [CrossRef]
- Prifti, R. Self–efficacy and student satisfaction in the context of blended learning courses. Open Learn. J. Open Distance E-Learn. 2022, 37, 111–125. [Google Scholar] [CrossRef]
- Bandura, A. Perceived self-efficacy in cognitive development and functioning. Educ. Psychol. 1993, 28, 117–148. [Google Scholar] [CrossRef]
- Kustyarini, K. Self-efficacy and emotional quotient in mediating active learning effect on students’ learning outcome. Int. J. Instr. 2020, 13, 663–676. [Google Scholar] [CrossRef]
- Zhou, S. An empirical study of college students’ fragmented English learning. Acad. J. Humanit. Soc. Sci. 2020, 3, 90–98. [Google Scholar]
- Yang, H. Design of an effective evaluation system for English fragmented learning based on mobile information environment. Mob. Inf. Syst. 2022, 2022, 3007003. [Google Scholar] [CrossRef]
- Li, B.; Zhang, X.; Chen, Q.; Lifeng, Z.; Zhou, Y. Does fragmented learning really affect learning effective? A study of the effects of fragmented learning based on online learning. Mod. Distance Educ. Res. 2020, 32, 104–111. [Google Scholar] [CrossRef]
- Tsai, C.-C.; Ho, H.N.J.; Liang, J.-C.; Lin, H.-M. Scientific epistemic beliefs, conceptions of learning science and self-efficacy of learning science among high school students. Learn. Instr. 2011, 21, 757–769. [Google Scholar] [CrossRef]
- Weda, S.; Abdul Samad, I.; Patak, A.A.; Fitriani, S.S. The effects of self-efficacy belief, motivation, and learning strategies on students’ academic performance in English in higher education. Asian EFL J. Q. 2018, 20, 140–168. [Google Scholar]
- Chang, C.-S.; Liu, E.Z.-F.; Sung, H.-Y.; Lin, C.-H.; Chen, N.-S.; Cheng, S.-S. Effects of online college student’s Internet self-efficacy on learning motivation and performance. Innov. Educ. Teach. Int. 2013, 51, 366–377. [Google Scholar] [CrossRef]
- Locke, E.A. Social Foundations of Thought and Action: A Social-Cognitive View; Academy of Management: Briarcliff Manor, NY, USA, 1987. [Google Scholar] [CrossRef]
- Liang, J.-C.; Tsai, C.-C. Internet self-efficacy and preferences toward constructivist Internet-based learning environments: A study of pre-school teachers in Taiwan. J. Educ. Technol. Soc. 2008, 11, 226–237. [Google Scholar]
- Gu, X.; Xu, X.; Wang, Q. Research on the construction of national high-quality online open courses. Mod. Educ. Manag. 2020, 363, 77–83. [Google Scholar] [CrossRef]
- Zhang, S.-J.; Yu, G.-H. Mobile learning model and process optimization in the era of fragmentation. Eurasia J. Math. Sci. Technol. Educ. 2017, 13, 3641–3652. [Google Scholar] [CrossRef]
- Guo, H.; Li, Z. An analysis of the learning effects and differences of college students using English vocabulary APP. Sustainability 2022, 14, 9240. [Google Scholar] [CrossRef]
- Sun, H. Exploration of college English in-depth teaching from the perspective of information fragmentation. Int. J. New Dev. Educ. 2023, 5, 8–13. [Google Scholar] [CrossRef]
- Yang, J.; Xie, Y.; Han, L. A study on the influence path of online learning for senior nursing students based on structural equation modeling. J. Qiqihar Med. Univ. 2020, 41, 1799–1802. [Google Scholar] [CrossRef]
- Sahoo, M. Structural equation modeling: Threshold criteria for assessing model fit. In Methodological Issues in Management Research: Advances, Challenges, and the Way Ahead; Emerald Publishing Limited: Bingley, UK, 2019; pp. 269–276. [Google Scholar] [CrossRef]
- Hair, J.F. Multivariate Data Analysis; Kennesaw State University: Kennesaw, GA, USA, 2009. [Google Scholar]
- Fornell, C.; Larcker, D.F. Evaluating structural equation models with unobservable variables and measurement error. J. Mark. Res. 1981, 18, 39–50. [Google Scholar] [CrossRef]
- Tay, R. Correlation, variance inflation and multicollinearity in regression model. J. East. Asia Soc. Transp. Stud. 2017, 12, 2006–2015. [Google Scholar] [CrossRef]
- Bai, X.; Wang, X.; Wang, J.; Tian, J.; Ding, Q. College students’ autonomous learning behavior in blended learning: Learning motivation, self-efficacy, and learning anxiety. In Proceedings of the 2020 International Symposium on Educational Technology (ISET), Bangkok, Thailand, 24–27 August 2020; pp. 155–158. [Google Scholar]
- Putra, R.B.; Ridwan, M.; Mulyani, S.R.; Ekajaya, D.S.; Putra, R.A. Impact of learning motivation, cognitive and self-efficacy in improving learning quality e-learning in industrial era 4.0. J. Phys. Conf. Ser. 2019, 1339, 012081. [Google Scholar] [CrossRef]
- Gao, L. Feasibility study of fragmentation learning of college English under the background of big data. In Proceedings of the 2019 12th International Conference on Intelligent Computation Technology and Automation (ICICTA), Xiangtan, China, 26–27 October 2019; pp. 506–509. [Google Scholar]
- Milićević, V.; Denić, N.; Milićević, Z.; Arsić, L.; Spasić-Stojković, M.; Petković, D.; Stojanović, J.; Krkic, M.; Milovančević, N.S.; Jovanović, A. E-learning perspectives in higher education institutions. Technol. Forecast. Soc. Chang. 2021, 166, 120618. [Google Scholar] [CrossRef]
- Wang, X. Fragmented foreign language learning among higher vocational college students: Current situation, dilemma and countermeasures. In Proceedings of the 2020 International Conference on Social Science, Economics and Education Research (SSEER 2020), Singapore, 25–26 July 2020; pp. 99–102. [Google Scholar]
- Szopiński, T.; Bachnik, K. Student evaluation of online learning during the COVID-19 pandemic. Technol. Forecast. Soc. Chang. 2022, 174, 121203. [Google Scholar] [CrossRef] [PubMed]
- Li, Z.; Liu, Y. Analysis of the current situation of the research on the influencing factors of online learning behavior and suggestions for teaching improvement. Sustainability 2023, 15, 2119. [Google Scholar] [CrossRef]
- Szopiński, T. University students’ attitude to e-learning in the post-COVID-19 era. Contemp. Econ. 2023, 17, 311–322. [Google Scholar] [CrossRef]
- Sun, G.; Cui, T.; Yong, J.; Shen, J.; Chen, S. Drawing micro learning into MOOC: Using fragmented pieces of time to enable effective entire course learning experiences. In Proceedings of the 2015 IEEE 19th International Conference on Computer Supported Cooperative Work in Design (CSCWD), Calabria, Italy, 6–8 May 2015; pp. 308–313. [Google Scholar]
- Suja, T.L.; Savithri, V. Feasibility study of Backtracking algorithm for virtual cluster migration in cloud computing. Int. J. Comput. Appl. 2015, 975, 8887. [Google Scholar]



| Gender | Educational Level | ||||
|---|---|---|---|---|---|
| Junior College Student | Undergraduate | Master Student | Doctor | Total | |
| Male | 28 (10.41%) | 156 (54.99%) | 75 (27.88%) | 10 (3.72%) | 269 (47.78%) |
| Female | 22 (7.48%) | 184 (62.59%) | 80 (27.21%) | 8 (2.72%) | 294 (52.22%) |
| Total | 50 (8.88%) | 340 (60.39%) | 155 (27.53%) | 18 (3.20%) | 563 |
| Variables | Items | References |
|---|---|---|
| LM | LM1: I hope to use my fragmented time to acquire fragmented knowledge of scientific software on Bilibili. | Rafiola et al. [22] Tang et al. [13] |
| LM2: I hope to improve my academic skills through fragmented learning software teaching courses on Bilibili. | ||
| LM3: I hope to learn to master the relevant research software knowledge points and use them in practice on Bilibili. | ||
| LM: I hope to do my studies well without being supervised. | ||
| SE | SE1: I am able to keep up with the online research software course on Bilibili. | Rafiola et al. [22] Sun [41] |
| SE2: I am able to find the solution to the problem on Bilibili. | ||
| SE3: I am confident that I can solve real problems in research through fragmented learning on Bilibili. | ||
| SE4: I can make reasonable use of fragmented time to study effectively on Bilibili. | ||
| KF | KF1: I think the content of the research software course on Bilibili is compact. | Zhou [30] Sun [41] |
| KF2: I think the coherence of scientific research software courses on Bilibili is very weak. | ||
| KF3: I think fragmented knowledge has some depth. | ||
| KF4: I think fragmented knowledge is comprehensive and rigorous. | ||
| FTU | FTU1: I can use the fragmented time to study scientific research software teaching courses on Bilibili. | Zhou [30] Yang et al. [42] |
| FTU2: I can flexibly apply fragmented time to the learning of individual fragmented knowledge. | ||
| TFU3: I am able to use fragmented time to sort through or master fragmented knowledge. | ||
| OFLE | OFLE: The scientific research courses on Bilibili have further deepened my mastery of scientific research knowledge. | Guo et al. [40] Yang et al. [42] |
| OFLE 2: My scientific research practice ability has been improved by fragmented learning of scientific research knowledge on Bilibili. | ||
| OFLE 3: Learning scientific research knowledge online on Bilibili can help me improve my ability to discover and solve problems in my studies. | ||
| OFLE 4: I can learn more scientific research software through the fragmentation on Bilibili. |
| Items | Average | Standard | Skewness | Kurtosi | Overall Average | Overall Standard |
|---|---|---|---|---|---|---|
| LM1 | 3.90 | 0.969 | −1.129 | 1.430 | 3.920 | 0.844 |
| LM2 | 3.93 | 1.047 | −1.108 | 0.886 | ||
| LM3 | 3.92 | 1.017 | −1.014 | 0.701 | ||
| LM4 | 3.93 | 1.021 | −0.876 | 0.208 | ||
| SE1 | 3.70 | 1.013 | −0.920 | 0.687 | 3.754 | 0.804 |
| SE2 | 3.79 | 1.038 | −0.938 | 0.679 | ||
| SE3 | 3.71 | 0.985 | −0.793 | 0.511 | ||
| SE4 | 3.81 | 0.994 | −0.983 | 0.864 | ||
| KF1 | 2.58 | 1.186 | 0.456 | −0.701 | 2.577 | 1.100 |
| KF2 | 2.65 | 1.329 | 0.472 | −0.983 | ||
| KF3 | 2.63 | 1.302 | 0.351 | −1.074 | ||
| KF4 | 2.44 | 1.248 | 0.630 | −0.633 | ||
| TFU1 | 3.70 | 1.039 | −0.756 | 0.169 | 3.683 | 0.868 |
| TFU2 | 3.65 | 1.070 | −0.806 | 0.163 | ||
| TFU3 | 3.70 | 0.986 | −0.807 | 0.494 | ||
| OFLE1 | 3.93 | 0.934 | −0.880 | 0.672 | 3.899 | 0.781 |
| OFLE2 | 3.84 | 0.962 | −0.946 | 0.926 | ||
| OFLE3 | 3.88 | 1.035 | −1.048 | 0.784 | ||
| OFLE4 | 3.93 | 0.925 | −1.197 | 1.754 |
| Items | Factor 1 | Factor 2 | Factor 3 | Factor 4 | Factor 5 |
|---|---|---|---|---|---|
| LM | SE | KF | FTU | OFLE | |
| LM1 | 0.808 | ||||
| LM2 | 0.774 | ||||
| LM3 | 0.731 | ||||
| LM4 | 0.711 | ||||
| SE1 | 0.774 | ||||
| SE2 | 0.716 | ||||
| SE3 | 0.712 | ||||
| SE4 | 0.744 | ||||
| KF1 | 0.852 | ||||
| KF2 | 0.872 | ||||
| KF3 | 0.858 | ||||
| KF4 | 0.843 | ||||
| FTU1 | 0.848 | ||||
| FTU2 | 0.807 | ||||
| FTU3 | 0.837 | ||||
| OFLE 1 | 0.747 | ||||
| OFLE 2 | 0.752 | ||||
| OFLE 3 | 0.814 | ||||
| OFLE4 | 0.641 |
| Variables | CR | AVE | Problems | Factor Loading Factor |
|---|---|---|---|---|
| LM | 0.853 | 0.593 | LM1 | 0.744 |
| LM2 | 0.799 | |||
| LM3 | 0.815 | |||
| LM4 | 0.718 | |||
| SE | 0.811 | 0.519 | SE1 | 0.781 |
| SE2 | 0.750 | |||
| SE3 | 0.662 | |||
| SE4 | 0.681 | |||
| KF | 0.811 | 0.519 | KF1 | 0.789 |
| KF2 | 0.845 | |||
| KF3 | 0.831 | |||
| KF4 | 0.813 | |||
| FTU | 0.794 | 0.562 | FTU1 | 0.771 |
| FTU2 | 0.708 | |||
| FTU3 | 0.769 | |||
| OFLE | 0.828 | 0.547 | OFLE1 | 0.707 |
| OFLE2 | 0.674 | |||
| OFLE3 | 0.837 | |||
| OFLE4 | 0.731 |
| Variables | LM | SE | KF | FTU | OFLE |
|---|---|---|---|---|---|
| LM | 0.770 | ||||
| SE | 0.694 | 0.720 | |||
| KF | −0.315 | −0.259 | 0.820 | ||
| FTU | 0.220 | 0.249 | −0.049 | 0.750 | |
| OFLE | 0.669 | 0.630 | −0.271 | 0.290 | 0.740 |
| Indicators | χ2/df | RMSEA | CFI | GFI | AGFI |
|---|---|---|---|---|---|
| Results | 2.045 | 0.043 | 0.970 | 0.949 | 0.932 |
| Variables | LM | SE | KF | FTU | OFLE |
|---|---|---|---|---|---|
| LM | 1 | ||||
| SE | 0.578 ** | 1 | |||
| KF | −0.275 ** | −0.220 ** | 1 | ||
| FTU | 0.186 ** | 0.203 ** | −0.044 | 1 | |
| OFLE | 0.571 ** | 0.531 ** | −0.238 ** | 0.242 ** | 1 |
| Hypothesis | Path | Standardized Regression Weights | S.E. | t | p | Results |
|---|---|---|---|---|---|---|
| Hypothesis 1 | OFLE <--- LM | 0.631 | 0.051 | 8.636 | *** | Valid |
| Hypothesis 2 | OFLE <--- SE | 0.427 | 0.050 | 6.427 | *** | Valid |
| Hypothesis 3 | OFLE <--- KF | −0.084 | 0.017 | −2.429 | 0.015 | Invalid |
| Hypothesis 4 | OFLE <--- FTU | 0.200 | 0.026 | 5.120 | *** | Valid |
Disclaimer/Publisher’s Note: The statements, opinions and data contained in all publications are solely those of the individual author(s) and contributor(s) and not of MDPI and/or the editor(s). MDPI and/or the editor(s) disclaim responsibility for any injury to people or property resulting from any ideas, methods, instructions or products referred to in the content. |
© 2023 by the authors. Licensee MDPI, Basel, Switzerland. This article is an open access article distributed under the terms and conditions of the Creative Commons Attribution (CC BY) license (https://creativecommons.org/licenses/by/4.0/).
Share and Cite
Li, Z.; Yang, Y. Determinants of College Students’ Online Fragmented Learning Effect: An Analysis of Teaching Courses on Scientific Research Software on the Bilibili Platform. Sustainability 2023, 15, 16023. https://doi.org/10.3390/su152216023
Li Z, Yang Y. Determinants of College Students’ Online Fragmented Learning Effect: An Analysis of Teaching Courses on Scientific Research Software on the Bilibili Platform. Sustainability. 2023; 15(22):16023. https://doi.org/10.3390/su152216023
Chicago/Turabian StyleLi, Zhigang, and Yalin Yang. 2023. "Determinants of College Students’ Online Fragmented Learning Effect: An Analysis of Teaching Courses on Scientific Research Software on the Bilibili Platform" Sustainability 15, no. 22: 16023. https://doi.org/10.3390/su152216023
APA StyleLi, Z., & Yang, Y. (2023). Determinants of College Students’ Online Fragmented Learning Effect: An Analysis of Teaching Courses on Scientific Research Software on the Bilibili Platform. Sustainability, 15(22), 16023. https://doi.org/10.3390/su152216023

