Flow Turbulence and Pressure Fluctuations in a Hydraulic Jump
Abstract
1. Introduction
- (1)
- To quantify the spatial variations in the flow characteristics and pressure fluctuation distribution under hydraulic jump flow conditions;
- (2)
- To determine the relationship between flow property variables (horizontal and vertical velocities, horizontal and vertical turbulence intensities, water level, and water level fluctuation) and pressure fluctuation;
- (3)
- To propose an empirical formula for estimating the pressure fluctuation coefficient at the bottom of the structure using dimensionless numbers.
2. Materials and Methods
2.1. Experimental Setup and Conditions
2.2. Measurement Method
3. Results
3.1. Validation of Velocity, Water Level, and Pressure Distribution
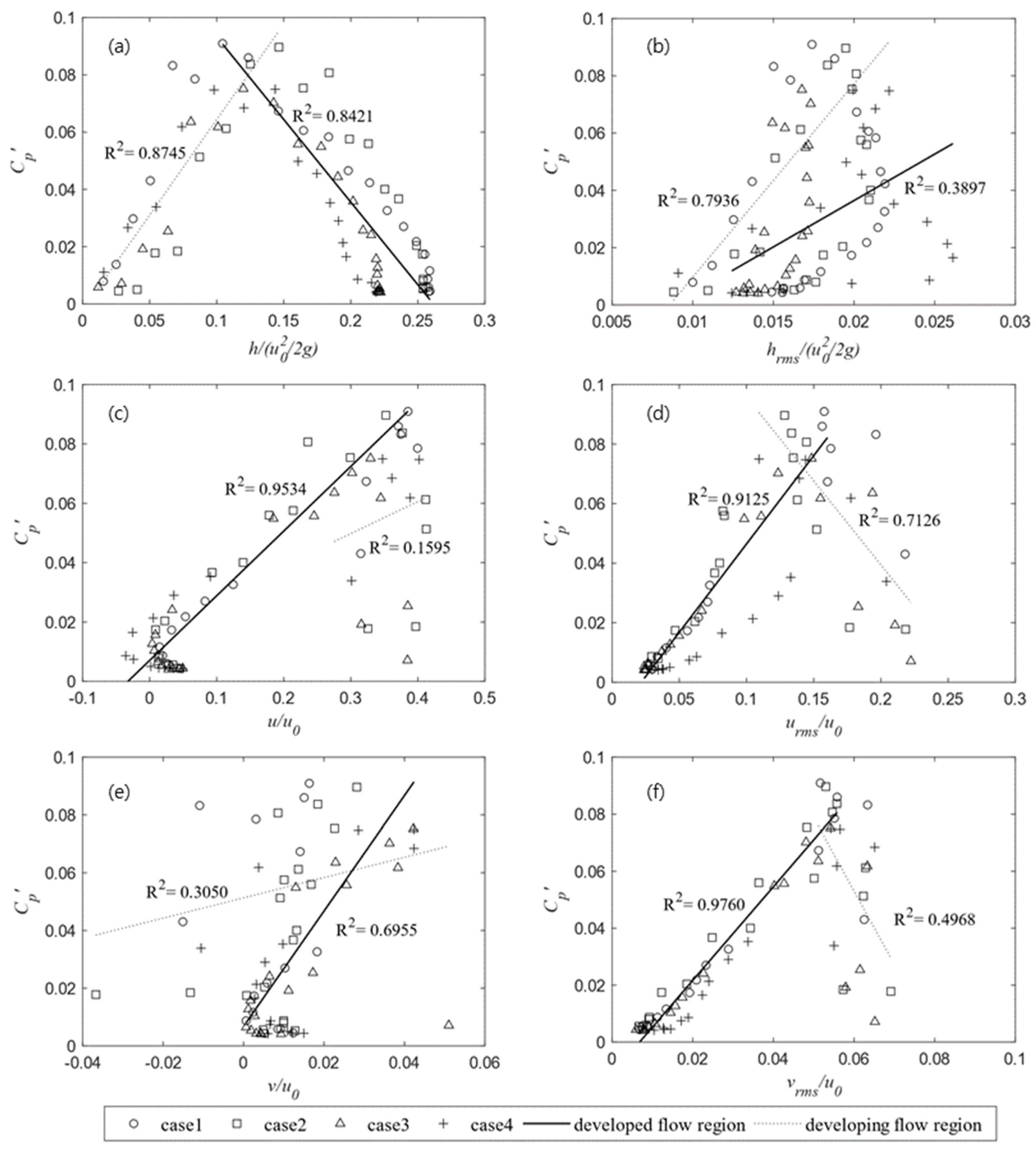
3.2. Analysis of Correlation between Flow Properties and Pressure Fluctuations
4. Discussions
5. Conclusions
- The water level fluctuation had a minimal relationship with the pressure fluctuation at the bottom of the structure and the location of the maximum pressure fluctuation was identified at points where 2.3.
- A comprehensive correlation analysis between the flow properties and pressure fluctuations was performed by dividing the flow region into upstream and downstream areas from the maximum pressure fluctuation point. The analysis results indicated that the water level and turbulence intensity were the main factors influencing the pressure fluctuations. A linear relationship between the turbulence intensity and pressure fluctuation was demonstrated, and the horizontal turbulence intensity was consistently larger than the vertical one.
- An empirical formula was proposed for estimating the pressure fluctuation at the bottom of the structure using the novel dimensionless number. It was suggested that the pressure fluctuation under the influence of weight force and turbulence may undergo a critical regime shift and the trends of the pressure fluctuation may be significantly changed.
Author Contributions
Funding
Institutional Review Board Statement
Informed Consent Statement
Data Availability Statement
Acknowledgments
Conflicts of Interest
References
- Fiorotto, V.; Rinaldo, A. Fluctuating uplift and lining design in spillway stilling basins. J. Hydraul. Eng. 1992, 118, 578–596. [Google Scholar] [CrossRef]
- Sobani, A. Pressure fluctuations on the slabs of stilling basins under hydraulic jump. In Proceedings of the 11th International Conference on Hydroinformatics, New York, NY, USA, 17–21 August 2014. [Google Scholar]
- Kazemi, F.; Khodashenas, S.R.; Sarkarde, H. Experimental study of pressure fluctuation in stilling basins. Int. J. Civ. Eng. 2016, 14, 13–21. [Google Scholar] [CrossRef]
- Narayanan, R. Cavitation induced by turbulence in stilling basin. J. Hydraul. Div. 1980, 106, 616–619. [Google Scholar] [CrossRef]
- Wang, H.; Felder, S.; Chanson, H. An experimental study of turbulent two-phase flow in hydraulic jumps and application of a triple decomposition technique. Exp. Fluids 2014, 55, 1775. [Google Scholar] [CrossRef]
- Zhao, Y.; Zhang, L.; Wang, W.; Tang, J.; Lin, H.; Wan, W. Transient pulse test and morphological analysis of single rock fractures. Int. Rock Mech. Min. Sci. 2017, 91, 139–154. [Google Scholar] [CrossRef]
- Zhao, Y.; Wang, Y.; Wang, W.; Tang, L.; Liu, Q.; Cheng, G. Modeling of rheological fracture behavior of rock cracks subjected to hydraulic pressure and for field stresses. Theor. Appl. Fract. Mec. 2019, 101, 59–66. [Google Scholar] [CrossRef]
- Graham, J.R.; Creegan, P.J.; Hamilton, W.S.; Hendrickson, J.; Kaden, R.A.; McDonald, J.E.; Noble, G.E.; Schrader, E.K. ACI 210R-93 Erosion of Concrete in Hydraulic Structures. ACI Mater. J. 1998, 93, 1–24. [Google Scholar]
- Fiorotto, V.; Rinaldo, A. Turbulent pressure fluctuations under hydraulic jumps. J. Hydraul. Res. 1992, 30, 499–520. [Google Scholar] [CrossRef]
- Toso, J.W.; Bowers, C.E. Extreme pressures in hydraulic jump stilling basins. J. Hydraul. Eng. 1988, 114, 829–843. [Google Scholar] [CrossRef]
- Khader, M.H.A.; Elango, K. Repartition des pressions dans le domaine turbulent sous un ressaut hydraulique. J. Hydraul. Res. 1974, 12, 469–489. [Google Scholar] [CrossRef]
- Hassanpour, N.; Dalir, A.H.; Bayon, A.; Abdollahpour, M. Pressure Fluctuations in the Spatial Hydraulic Jump in Stilling Basins with Different Expansion Ratio. Water 2021, 13, 60. [Google Scholar] [CrossRef]
- Hasani, M.N.; Nekoufar, K.; Biklarian, M.; Jamshidi, M.; Pham, Q.B.; Anh, D.T. Investigating the Pressure Fluctuations of Hydraulic Jump in an Abrupt Expanding Stilling Basin with Roughened Bed. Water 2022, 15, 80. [Google Scholar] [CrossRef]
- Wang, H.; Murzyn, F.; Chanson, H. Total pressure fluctuations and two-phase flow turbulence in hydraulic jumps. Exp. Fluids 2014, 55, 1847. [Google Scholar] [CrossRef]
- Lennon, J.M.; Hill, D.F. Particle image velocity measurements of undular and hydraulic jumps. J. Hydraul. Eng. 2006, 132, 1283–1294. [Google Scholar] [CrossRef]
- Liu, M.; Rajaratnam, N.; Zhu, D.Z. Turbulence Structure of Hydraulic Jumps of Low Froude Numbers. J. Hydraul. Eng. 2004, 130, 511–520. [Google Scholar] [CrossRef]
- Montano, L.; Li, R.; Felder, S. Continuous measurements of time-varying free-surface profiles in aerated hydraulic jumps with a LIDAR. Exp. Therm. Fluid Sci. 2018, 93, 379–397. [Google Scholar] [CrossRef]
- Ohtsu, I.; Yasuda, Y.; Gotoh, H. Hydraulic condition for undular-jump formations. J. Hydraul. Res. 2001, 39, 203–209. [Google Scholar] [CrossRef]
- Si, J.-H.; Lim, S.-Y.; Wang, X.-K. Evolution of Flow Fields in a Developing Local Scour Hole Formed by a Submerged Wall Jet. J. Hydraul. Eng. 2020, 146, 4020040. [Google Scholar] [CrossRef]
- Lin, C.; Hsieh, S.C.; Lin, I.J.; Chang, K.A.; Raikar, R.V. Flow property and self-similarity in steady hydraulic jumps. Exp. Fluids 2012, 53, 1591–1616. [Google Scholar] [CrossRef]
- Ryu, Y.; Chang, K.-A.; Lim, H.-J. Use of bubble image velocimetry for measurement of plunging wave impinging on structure and associated greenwater. Meas. Sci. Technol. 2005, 16, 1945. [Google Scholar] [CrossRef]
- Nóbrega, J.D.; Schulz, H.E.; Marques, M.G. Relation between free surface profiles and pressure profiles with respective fluctuations in hydraulic jumps. In Proceedings of the 4th IAHR Europe Congress, Liege, Belgium, 27–29 July 2016; pp. 629–636. [Google Scholar]
- Nóbrega, J.D.; Schulz, H.E.; Zhu, D.Z. Free surface detection in hydraulic jumps through image analysis and ultrasonic sensor measurements. In Proceedings of the 11th National Conference on Hydraulics in Civil Engineering & 5th International Symposium on Hydraulic Structures, Brisbane, Australia, 25–27 June 2014; Engineers Australia: Sydney, Australia, 2014; p. 245. [Google Scholar]
- Thielicke, W.; Stamhuis, E.J. PIVlab–Towards user-friendly, affordable and accurate digital particle image velocimetry in MATLAB. J. Open Res. Softw. 2014, 2, e30. [Google Scholar] [CrossRef]
- Thielicke, W.; Stamhuis, E.J. PIVlab-Time-Resolved Digital Particle Image Velocimetry Tool for MATLAB; Online Resource; Figshare: London, UK, 2019. [Google Scholar] [CrossRef]
- Wang, H.; Murzyn, F.; Chanson, H. Interaction between free-surface, two-phase flow and total pressure in hydraulic jump. Exp. Therm. Fluid Sci. 2015, 64, 30–41. [Google Scholar] [CrossRef]
- Endres, L.A.M. Contribuição ao Desenvolvimento de um Sistema para Aquisição e Tratamento de Dados e Pressões Instantâneas em Laboratório. 1990. Available online: https://lume.ufrgs.br/handle/10183/195855 (accessed on 9 June 2023).
- Lopardo, R.A. Internal flow of free hydraulic jump in stilling basins. In Proceedings of the 4th IAHR International Symposium on Hydraulic Structures, Porto, Portugal, 9–10 February 2012. [Google Scholar]
- Marques, M.G.; Drapeau, J.; Verrette, J.-L. Flutuação de pressão em um ressalto hidráulico. Rev. Bras. Recur. Hídricos 1997, 2, 45. [Google Scholar]
- Pinheiro, A.A.N. Acções Hidrodinâmicas em Soleiras de Bacia de Dissipação de Energia por Ressalto; Universidade Técnica de Lisboa: Lisbon, Portugal, 1995. [Google Scholar]
- Chanson, H. Bubbly flow structure in hydraulic jump. Eur. J. Mech. B/Fluids. 2007, 26, 367–384. [Google Scholar] [CrossRef]
- Favre, A.; Kovasznay, L.S.G.; Dumas, R.; Gaviglio, J.; Coantic, M. Turbulence in fluid mechanics: Theoretical and experimental foundations; statistical methods. NASA STI/Recon Tech. Rep. A 1976, 77, 22920. [Google Scholar]
- Lopardo, R.A. Extreme velocity fluctuations below free hydraulic jumps. J. Eng. 2013, 2013, 678064. [Google Scholar] [CrossRef][Green Version]
- Murzyn, F.; Mouazé, D.; Chaplin, J.R. Air–water interface dynamic and free surface features in hydraulic jumps. J. Hydraul. Res. 2007, 45, 679–685. [Google Scholar] [CrossRef]
- Chanson, H.; Gualtieri, C. Similitude and scale effects of air entrainment in hydraulic jumps. J. Hydraul. Res. 2008, 13, 35–44. [Google Scholar] [CrossRef]
- Misra, S.K.; Kirby, J.T.; Brocchini, M.; Veron, F.; Thomas, M.; Kambhamettu, C. The mean and turbulent flow structure of a weak hydraulic jump. Phys. Fluids 2008, 20, 035106. [Google Scholar] [CrossRef]










| Case | Discharge (m3/s) | Hu (m) | Hd (m) | y0 (m) | u0 (m/s) | x0 (m) | () | () |
|---|---|---|---|---|---|---|---|---|
| 1 | 0.0063 | 0.355 | 0.0900 | 0.0085 | 2.47 | 0.125 | 8.6 | |
| 2 | 0.0893 | 0.216 | ||||||
| 3 | 0.0047 | 0.347 | 0.0766 | 0.0078 | 2.01 | 0.125 | 7.3 | |
| 4 | 0.0754 | 0.214 | ||||||
| 5 | 0.0035 | 0.338 | 0.0604 | 0.0068 | 1.71 | 0.280 | 6.6 | |
| 6 | 0.0019 | 0.327 | 0.0355 | 0.0053 | 1.19 | 0.365 | 5.2 |
| Flow Properties | ||||||
|---|---|---|---|---|---|---|
| Entire section | −0.2980 | 0.3931 | 0.7904 | 0.6419 | 0.4063 | 0.7783 |
| Developing air–water flow region | 0.8745 | 0.7936 | 0.1595 | −0.7126 | 0.3050 | −0.4968 |
| Developed air–water flow region | −0.8421 | 0.3897 | 0.9534 | 0.9125 | 0.6955 | 0.9760 |
Disclaimer/Publisher’s Note: The statements, opinions and data contained in all publications are solely those of the individual author(s) and contributor(s) and not of MDPI and/or the editor(s). MDPI and/or the editor(s) disclaim responsibility for any injury to people or property resulting from any ideas, methods, instructions or products referred to in the content. |
© 2023 by the authors. Licensee MDPI, Basel, Switzerland. This article is an open access article distributed under the terms and conditions of the Creative Commons Attribution (CC BY) license (https://creativecommons.org/licenses/by/4.0/).
Share and Cite
Kim, H.S.; Choi, S.; Park, M.; Ryu, Y. Flow Turbulence and Pressure Fluctuations in a Hydraulic Jump. Sustainability 2023, 15, 14246. https://doi.org/10.3390/su151914246
Kim HS, Choi S, Park M, Ryu Y. Flow Turbulence and Pressure Fluctuations in a Hydraulic Jump. Sustainability. 2023; 15(19):14246. https://doi.org/10.3390/su151914246
Chicago/Turabian StyleKim, Hyung Suk, Seohye Choi, Moonhyeong Park, and Yonguk Ryu. 2023. "Flow Turbulence and Pressure Fluctuations in a Hydraulic Jump" Sustainability 15, no. 19: 14246. https://doi.org/10.3390/su151914246
APA StyleKim, H. S., Choi, S., Park, M., & Ryu, Y. (2023). Flow Turbulence and Pressure Fluctuations in a Hydraulic Jump. Sustainability, 15(19), 14246. https://doi.org/10.3390/su151914246

