Impact of China Railway Express on Regional Resource Mismatch—Empirical Evidence from China
Abstract
1. Introduction
- (1)
- Will the opening of the China Railway Express affect the degree of regional resource misallocation?
- (2)
- If there is a significant relationship between China Railway Express and regional resource misallocation, what is the specific transmission mechanism? Does it have different effects on cities of different locations and sizes in China?
2. Literature Review
3. Transmission Mechanisms Discussion
4. Model Specification and Data
- (1)
- Economic development level (lnpcgdp).
- (2)
- Infrastructure construction level (lninfra).
- (3)
- Human capital level (lnhumcap).
- (4)
- Financial development level (finance).
- (5)
- Informatization level (lninform).
- (6)
- Government expenditure level (govexp).
- (7)
- Industrial structure (industry).
5. Results
5.1. DID Estimation
5.2. Robustness Test
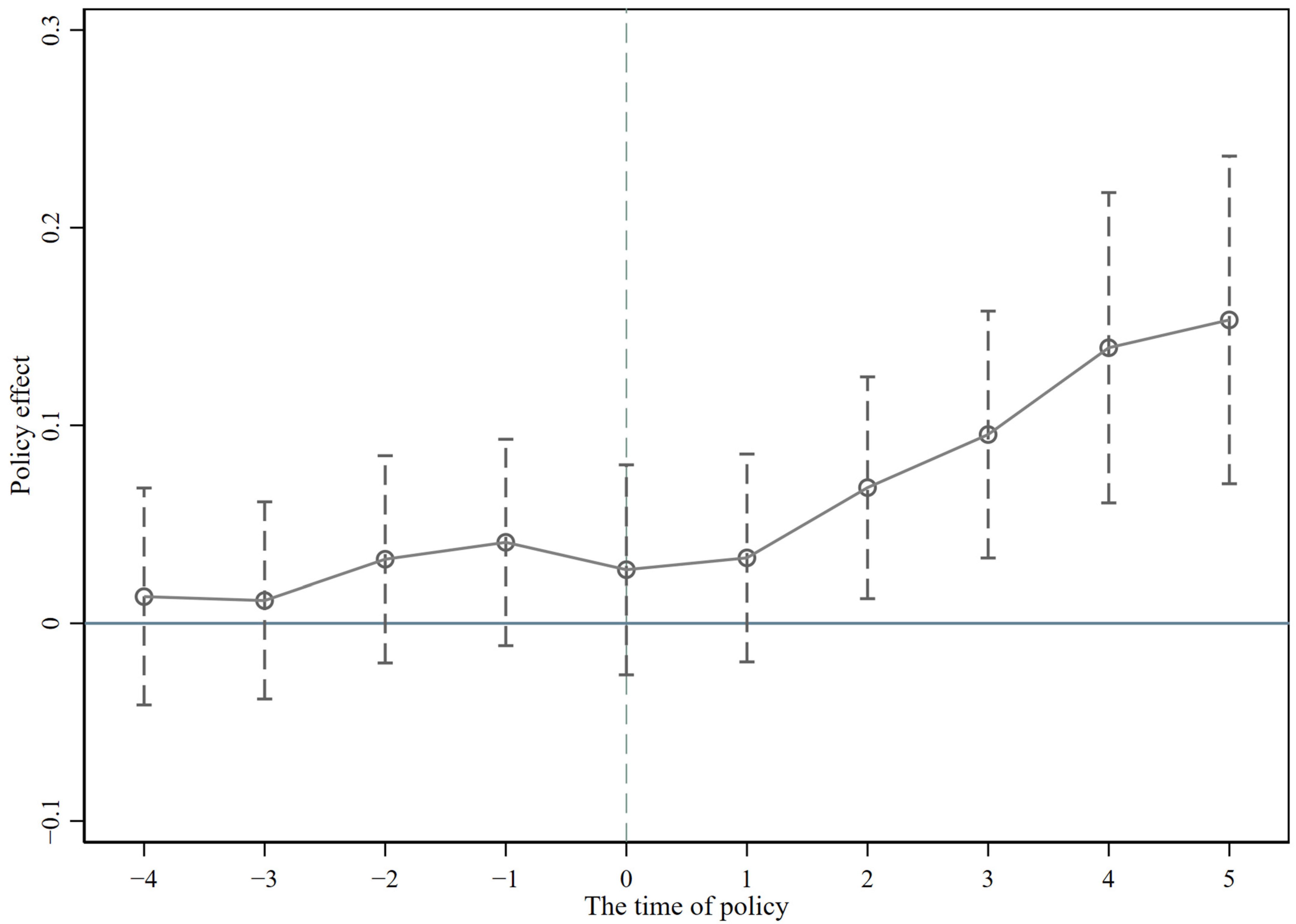
5.2.1. Parallel Trend Test
5.2.2. Placebo Test
5.2.3. Replacement of Proxy Variables for Resource Misallocation
5.2.4. PSM-DID
5.2.5. Sample Sensitivity Test
5.3. Heterogeneity Test
5.3.1. Heterogeneity Test of City Location
5.3.2. Heterogeneity Test of City Size
5.4. Mechanism Test
5.4.1. Subsidy Dependence Effect
5.4.2. Disordered Competition Effect
6. Conclusions and Policy Implications
6.1. Conclusions
6.2. Policy Implications
Author Contributions
Funding
Institutional Review Board Statement
Informed Consent Statement
Data Availability Statement
Conflicts of Interest
References
- Xu, Y.M.; Xing, L.Z.; Dong, X.L. Research on the Trade Routes of CRE under the Belt and Road Initiative. Intertrade 2019, 80–86. Available online: https://www.cnki.net/kcms/doi/10.14114/j.cnki.itrade.2019.02.013.html (accessed on 30 January 2023).
- Li, M.Y.; Wang, B.; Pan, X.J. Design of CR Expres’s Subsidy Slope Strategy under the Background of “One Belt and One Roa”. J. Xi’Univ. Financ. Econ. 2022, 35, 109–120. [Google Scholar]
- Ma, Y.; Shi, X.; Qiu, Y. Hierarchical Multimodal Hub Location with Time Restriction for China Railway (CR) Express Network. IEEE Access 2020, 8, 61395–61404. [Google Scholar] [CrossRef]
- Du, Y.Y.; Zhou, W.Y.; Lian, F. A scheme for passenger service-like back-haul for CRE trains. Transp. Policy 2022, 120, 56–68. [Google Scholar] [CrossRef]
- Fang, H.; Zhao, S.L. Has CR-express Train Improved the Productivity of Export Enterprises—Mechanism Research Based on Mutual Promotion of Dual Circulation. J. Int. Trade 2022, 68–86. Available online: https://www.cnki.net/kcms/doi/10.13510/j.cnki.jit.2022.03.004.html (accessed on 30 January 2023).
- Wang, B.T.; Chen, J.H.; Wang, X.L. Province-Managing-County Reform, Resource Allocation and High-quality Enterprise Development. Res. Econ. Manag. 2021, 42, 73–88. [Google Scholar]
- Hsieh, C.; Klenow, P.J. Misallocation and manufacturing TFP in China and India. Q. J. Econ. 2009, 124, 1403–1448. [Google Scholar] [CrossRef]
- Brandt, L.; Tombe, T.; Zhu, X. Factor market distortionscrosss time, space, and sectors in China. Rev. Econ. Dyn. 2013, 16, 39–58. [Google Scholar] [CrossRef]
- Leon-Ledesma, M.; Christopoulos, D. Misallocation, aaccess to finance, and public credit: Firm-level evidence. Asian Dev. Rev. 2016, 33, 119–143. [Google Scholar] [CrossRef]
- Gopinath, G.; Kalemli-Özcan, S.; Karabarbounis, L.; Villegas-Sanchez, C. Capital allocation and productivity in South Europe. Q. J. Econ. 2017, 132, 1915–1967. [Google Scholar] [CrossRef]
- Wu, Y.; Heerink, N.; Yu, L. Real estate boom and resource misallocation in manufacturing industries: Evidence from China. China Econ. Rev. 2020, 60, 101400. [Google Scholar] [CrossRef]
- Zhang, X.; Zhang, W.; Lee, P.T.W. Importance rankings of nodes in the CRE network under the Belt and Road Initiative. Transp. Res. Part A Policy Pract. 2020, 139, 134–147. [Google Scholar] [CrossRef] [PubMed]
- Gilchrist, S.; Sim, J.W.; Zakrajšek, E. Misallocation and financial market frictions: Some direct evidence from the dispersion in borrowing costs. Rev. Econ. Dyn. 2013, 16, 159–176. [Google Scholar] [CrossRef]
- Kalemli-Ozcan, S.; Sorensen, B. Misallocation, property rightis, and access to finance: Evidence from with in and across Africa. In Africean Successe; University of Chicago Press: Chicago, IL, USA, 2016. [Google Scholar]
- He, L.Y.; Qi, X.F. Resource misallocation and energy-related pollution. Int. J. Environ. Res. Public Health 2021, 18, 5158. [Google Scholar] [CrossRef]
- Han, J.; Zheng, Q.L. How Does Government Intervention Lead to Regional Resource Misallocation—Based on Decomposition of Misallocation within and between Industries. Chin. Ind. Econ. 2014, 69–81. Available online: https://www.cnki.net/kcms/doi/10.19581/j.cnki.ciejournal.2014.11.006.html (accessed on 30 January 2023).
- Bian, Y.; Song, K.; Bai, J. Market segmentation, resource misallocation and environmental pollution. J. Clean. Prod. 2019, 228, 376–387. [Google Scholar] [CrossRef]
- Wang, S.; Zhao, D.; Chen, H. Government corruption, resource misallocation, and ecological efficiency. Energy Econ. 2019, 85, 104573. [Google Scholar] [CrossRef]
- Wang, Y.L.; Lei, X.D.; Yang, F.; Zhao, N. Financial friction, resource misallocation and total factor productivity: Theory and evidence from China. J. Appl. Econ. 2021, 24, 393–408. [Google Scholar] [CrossRef]
- Nguyen, P.T.; Nguyen, M.K. Resource Misallocation of SMEs in Vietnamese Manufacturing Sector. J. Small Bus. Enterp. Dev. 2019, 26, 290–303. [Google Scholar] [CrossRef]
- Fossati, R.; Rachinger, H.; Stivali, M. Extent and potential determinants of resource misallocation: A cross-sectional study for developing countries. World Econ. 2020, 44, 1338–1379. [Google Scholar] [CrossRef]
- González, F.; Prem, M. Losing your dictator: Firms during political transition. J. Econ. Growth 2020, 25, 227–257. [Google Scholar] [CrossRef]
- Deng, Z.Q.; Jiang, N.; Song, S.F.; Pang, R.Z. Misallocation and price distortions: A revenue decomposition of medical service providers in China. China Econ. Rev. 2021, 65, 101574. [Google Scholar] [CrossRef]
- Wang, S.J.; Li, M.Y. Does industrial intelligence improve resource misallocation? An empirical test based on China. Environ. Sci. Pollut. Res. 2022, 29, 77973–77991. [Google Scholar] [CrossRef] [PubMed]
- Xu, J.W.; Kun, L. The impact of incentive policies on foreign direct investment misallocation. J. Interdiscip. Math. 2018, 21, 469–478. [Google Scholar]
- Chen, P. Relationship between the digital economy, resource allocation and corporate carbon emission intensity: New evidence from listed Chinese companies. Environ. Res. Commun. 2022, 4, 075005. [Google Scholar] [CrossRef]
- Wang, Q.Z.; Chen, J.M.; Tseng, M.L.; Luan, H.M.; Ali, M.H. Modelling green multimodal transport route performance with witness simulation software. J. Clean. Prod. 2020, 248, 119245. [Google Scholar] [CrossRef]
- Hu, S.; Wang, A.L.; Du, K.R.; Si, L.L. Can CRE improve environmental efficiency? Evidence from China’s cities. Environ. Impact Assess Rev. 2022, 99, 107005. [Google Scholar] [CrossRef]
- Wang, X.Y.; Bu, L.F. International Export Trade and Enterprise Innovation: Research Based on a Quasi-natural Experiment of “CR Express”. Chin. Ind. Econ. 2019, 80–98. Available online: https://www.cnki.net/kcms/doi/10.19581/j.cnki.ciejournal.2019.10.005.html (accessed on 28 January 2023).
- Zhang, X.J.; Li, Y.S.; Zhao, X.L. Research on the Effect of CR-express on Trade Growth in Inland Regions. J. Financ. Econ. 2019, 45, 97–111. [Google Scholar]
- Fang, H.; Xie, H.P. The Impact of China-Europe Railway Express on Urban Total Factor Productivity. Rev. Econ. Manag. 2022, 38, 38–52. [Google Scholar]
- Li, J.; Min, Y.; Wang, X. Launching the CR Express and Industrial Upgrading: Research Based on a Quasi-natural Experiment of 285 Prefecture-level Cities in China. Ind. Econ. Res. 2021, 69–83. Available online: https://www.cnki.net/kcms/doi/10.13269/j.cnki.ier.2021.03.006.html (accessed on 25 January 2023).
- Fang, X.M.; Lu, Y.X.; Wei, J. The Impact of China Railway Express on the Openness of China’s Urban Trade: Based on the Perspective of the Belt and Road Construction. Int. Econ. Trade Res. 2020, 36, 39–55. [Google Scholar]
- Gu, N.H.; Zhang, R.Z. Can the CR⁃Express Boost the TFP of Manufacturing Enterprises: A Quasi⁃natural Experiment based on the Data of China’s Listed Manufacturing Companies. Soc. Sci. Guangdong 2022, 5–14. Available online: https://www.cnki.net/kcms/doi/10.3969/j.issn.1000-114X.2022.03.001.html (accessed on 25 January 2023).
- Zhang, J.Q.; Gong, E.Z. The Impact of CRE on Total Factor Productivity of Chinese Cities. World. Econ. Stud. 2021, 106–119. Available online: https://www.cnki.net/kcms/doi/10.13516/j.cnki.wes.2021.11.008.html (accessed on 21 January 2023).
- Wei, D.M.; Gu, N.H. International Transport Channel and High-quality Economic Development—Evidence from the Sino-Euro Cargo Railway in Service. J. Int. Trade 2021, 34–48. Available online: https://www.cnki.net/kcms/doi/10.13510/j.cnki.jit.2021.12.001.html (accessed on 28 January 2023).
- Jiang, T.; Sun, K.P.; Nie, H.H. Administrative Rank, Total Factor Productivity and Resource Misallocation in Chinese Cities. Manag. World 2018, 34, 38–50. [Google Scholar]
- Choi, K.S. The Current Status and Challenges of CRE (CRE) as a Key Sustainability Policy Component of the Belt and Road Initiative. Sustainability 2021, 13, 5017. [Google Scholar] [CrossRef]
- Li, S.; Lang, M.; Yu, X.; Zhang, M.; Jiang, M.; Tsai, S.; Wang, C.K.; Bian, F. A Sustainable Transport Competitiveness Analysis of the CRE in the Context of the Belt and Road Initiative. Sustainability 2019, 11, 2896. [Google Scholar] [CrossRef]
- Yang, Z.W. Market Structure, Welfare Analysis and Strategy Selection of CRE. Gov. Stud. 2019, 35, 97–103. [Google Scholar]
- Cheng, Z.L.; Zhao, L.J.; Wang, G.X.; Li, H.Y.; Hu, Q.M. Selection of consolidation center locations for CRE to reduce greenhouse gas emission. J. Clean Prod. 2021, 305, 126872. [Google Scholar] [CrossRef]
- Wang, J.E.; Jing, Y.; Wang, C.J. Study on Better Organization of China-Europe Express Train. Bull. Chin. Acad. Sci. 2017, 32, 370–376. [Google Scholar]
- Xu, Z.Y.; Xia, J.C.; Yuan, H. The Achievement, Problems and Countermeasures of the Construction of China-Europe Freight-Train. Intertrade 2021, 45–51. Available online: https://www.cnki.net/kcms/doi/10.14114/j.cnki.itrade.2021.09.007.html (accessed on 21 January 2023).
- Ma, B. CRE to Europe: Developments, Problems and Solutions. Int. Stud. 2018, 72–86. Available online: https://www.cnki.net/kcms/doi/10.3969/j.issn.0452-8832.2018.06.006.html (accessed on 25 January 2023).
- Ma, Y.T.; Johnson, D.; Wang, J.Y.T.; Shi, X.L. Competition for rail transport services in duopoly market: Case study of China Railway (CR) Express in Chengdu and Chongqing. Res. Transp. Bus. Manag. 2021, 38, 100529. [Google Scholar] [CrossRef]
- Bai, D.B.; Zhang, Y.Y.; Tang, Q.Q. Establishment of Development Zones and Mismatch of Regional Resources: Theoretical Mechanism and Empirical Identification. J. Financ. Econ. 2020, 46, 49–63. [Google Scholar]
- Doms, M.; Bartelsman, E. Understanding Productivity: Lessons from Longitudinal Microdata. J. Econ. Lit. 2000, 38, 569–594. [Google Scholar] [CrossRef]
- Liao, C.W.; Zhang, Z.D. Stable Economic Growth, Industrial Structure Upgradingand Resource Mismatch. Inq. Econ. Issues 2020, 11, 16–26. [Google Scholar]
- Shao, S.; Tian, Z.; Yang, L. High Speed Rail and Urban Seervice Industry Agglomeration: Evidence from China’s Yangtze River Delta Region. J. Transp. Geogr. 2017, 64, 1174–1183. [Google Scholar] [CrossRef]
- Chen, Z.; Haynes, K.E. Impact of high-speed rail on regionaleconomic disparity in China. J. Transp. Geogr. 2017, 65, 80–91. [Google Scholar] [CrossRef]
- Baum-Snow, N.J.V.; Henderson, M.A.; Turner, L. Brandt. Does Investment in National Highways Help or Hurt Hinterland City Growth? J. Urban Econ. 2020, 115, 103124. [Google Scholar] [CrossRef]
- Levine, R. Finance and growth: Theory and evidence. Handb. Econ. Growth 2005, 1, 865–934. [Google Scholar]
- Restuccia, D.; Rogerson, R. Misallocation and productivity. Rev. Econ. Dyn. 2013, 16, 1–10. [Google Scholar] [CrossRef]
- Wang, F.; Ge, X. Can Low-carbon Transition Impact Employment—Empirical Evidence from Low-carbon City Pilot Policy. Chin. Ind. Econ. 2022, 81–99. Available online: https://www.cnki.net/kcms/doi/10.19581/j.cnki.ciejournal.2022.05.004.html (accessed on 21 January 2023).
- Jin, X.Y.; Zhang, W.F. Artificial Intelligence and Firms’ Export Expansion: The Technological Mark of Trade Revolution. J. Int. Trade 2022, 70–87. Available online: https://www.cnki.net/kcms/doi/10.13510/j.cnki.jit.2022.09.010.html (accessed on 21 January 2023).
- Cavallaro, F.; Bruzzone, F.; Nocera, S. Effects high-speed regional accessibility. Transportation 2022, 1–37. [Google Scholar] [CrossRef]
- Bruzzone, F.; Cavallaro, F.; Nocera, S. The Effects of High-Speed Rail on Accessibility and Equity: Evidence from the Turin-Lyon Case-Study. Socioecon. Plann. Sci. 2023, 85, 101379. [Google Scholar] [CrossRef]
- Jiang, Y.; Sheu, J.B.; Peng, Z.; Yu, B. Hinterland patterns of China Railway (CR) express in China under the Belt and Road Initiative: A preliminary analysis. Transp. Res. Part E Logist. Transp. Rev. 2018, 119, 189–201. [Google Scholar] [CrossRef]
- Li, J.; Min, Y.; Wang, X. Research on the Impact of CR-express Train on City Innovation: On the Innovation Effect of CR-express Train under the policy dilemma. World Econ. Stud. 2020, 57–74. Available online: https://www.cnki.net/kcms/doi/10.13516/j.cnki.wes.2020.11.005.html (accessed on 21 January 2023).




| Variable | Observations | Mean | Standard Deviation | Minimum Value | Maximum Value |
|---|---|---|---|---|---|
| Resmis | 2284 | 0.1515 | 0.2584 | 0 | 1.9469 |
| lnpcgdp | 2284 | 10.6698 | 0.5655 | 9.404 | 11.9649 |
| lninfra | 2284 | 2.4343 | 0.5207 | 0.9821 | 3.7495 |
| lnhumcap | 2284 | 7.0883 | 0.5326 | 5.9222 | 8.7008 |
| lninform | 2284 | 6.7889 | 0.7387 | 5.0655 | 9.2592 |
| govexp | 2284 | 0.1736 | 0.0695 | 0.071 | 0.4078 |
| finance | 2284 | 2.2621 | 1.0102 | 0.9257 | 6.2553 |
| industry | 2284 | 2.2901 | 0.1452 | 1.9577 | 2.6939 |
| Variable | (1) | (2) | (3) | (4) |
|---|---|---|---|---|
| Treat × Post | 0.0651 *** (0.0142) | 0.0755 ** (0.0214) | 0.0443 *** (0.0147) | 0.0478 *** (0.0150) |
| Constant | 0.1425 *** (0.003) | 0.1410 *** (0.005) | 0.1454 *** (0.0038) | 7.7234 (5.0246) |
| Controls | NO | NO | NO | YES |
| Time effect | NO | YES | YES | YES |
| Regional effect | YES | NO | YES | YES |
| Observations | 2284 | 2284 | 2284 | 2284 |
| R-squared | 0.6763 | 0.0120 | 0.6788 | 0.6802 |
| Variable | Replacement of Explained Variables | PSM-DID | ||
|---|---|---|---|---|
| (1) | (2) | (3) | (4) | |
| Treat × Post | 0.0070 ** (0.0033) | 0.0526 *** (0.0168) | 0.0465 *** (0.0152) | 0.0478 *** (0.015) |
| Constant | 1.8833 * (1.0376) | 10.6231 (7.252) | 8.0300 (5.041) | 7.7234 (5.024) |
| Controls | YES | YES | YES | YES |
| Time effect | YES | YES | YES | YES |
| Regional effect | YES | YES | YES | YES |
| Observations | 2284 | 1402 | 2273 | 2284 |
| R-squared | 0.6637 | 0.7274 | 0.6790 | 0.6802 |
| Variable | (1) | (2) |
|---|---|---|
| Treat × Post | 0.0397 *** (0.0144) | 0.0249 ** (0.0128) |
| Constant | 8.0018 (5.0514) | 6.2904 (4.4625) |
| Controls | YES | YES |
| Time effect | YES | YES |
| Regional effect | YES | YES |
| Observations | 2284 | 2284 |
| R-squared | 0.6799 | 0.7500 |
| Variable | City Location | City Size | ||||
|---|---|---|---|---|---|---|
| (1) | (2) | (3) | (4) | (5) | (6) | |
| Treat × Post | 0.0411 (0.0333) | 0.0309 (0.0217) | 0.0566 ** (0.0266) | −0.0264 (0.0173) | 0.1027 *** (0.0323) | 0.0300 * (0.0169) |
| Constant | 6.3842 (6.5148) | 26.3142 (8.5886) | −14.8501 ** (10.9854) | −2.5251 (7.3820) | 0.4383 (11.8960) | 21.0882 *** (6.3140) |
| Controls | YES | YES | YES | YES | YES | YES |
| Time effect | YES | YES | YES | YES | YES | YES |
| Regional effect | YES | YES | YES | YES | YES | YES |
| Observations | 847 | 867 | 570 | 556 | 742 | 981 |
| R-squared | 0.7509 | 0.5816 | 0.7207 | 0.5835 | 0.6622 | 0.7113 |
| Variable | Subsidy Dependence Effect | Disordered Competition Effect | ||
|---|---|---|---|---|
| (1) | (2) | (3) | (4) | |
| Treat × Post | −0.0731 ** (0.0301) | 0.0532 *** (0.0159) | 0.0345 ** (0.0136) | 0.0353 ** (0.0160) |
| Treat × Post × lowzb | 0.0005 * (0.0003) | |||
| Treat × Post × crenumber | 0.0004 ** (0.0002) | |||
| Constant | 6.7933 (5.022) | 7.5530 (5.0284) | 6.2199 (4.4294) | 8.0644 (5.0056) |
| Controls | YES | YES | YES | YES |
| Time effect | YES | YES | YES | YES |
| Regional effect | YES | YES | YES | YES |
| Observations | 2284 | 2284 | 2284 | 2284 |
| R-squared | 0.6787 | 0.6804 | 0.7503 | 0.6806 |
Disclaimer/Publisher’s Note: The statements, opinions and data contained in all publications are solely those of the individual author(s) and contributor(s) and not of MDPI and/or the editor(s). MDPI and/or the editor(s) disclaim responsibility for any injury to people or property resulting from any ideas, methods, instructions or products referred to in the content. |
© 2023 by the authors. Licensee MDPI, Basel, Switzerland. This article is an open access article distributed under the terms and conditions of the Creative Commons Attribution (CC BY) license (https://creativecommons.org/licenses/by/4.0/).
Share and Cite
He, L.-Y.; Liu, S. Impact of China Railway Express on Regional Resource Mismatch—Empirical Evidence from China. Sustainability 2023, 15, 8441. https://doi.org/10.3390/su15118441
He L-Y, Liu S. Impact of China Railway Express on Regional Resource Mismatch—Empirical Evidence from China. Sustainability. 2023; 15(11):8441. https://doi.org/10.3390/su15118441
Chicago/Turabian StyleHe, Ling-Yun, and Sha Liu. 2023. "Impact of China Railway Express on Regional Resource Mismatch—Empirical Evidence from China" Sustainability 15, no. 11: 8441. https://doi.org/10.3390/su15118441
APA StyleHe, L.-Y., & Liu, S. (2023). Impact of China Railway Express on Regional Resource Mismatch—Empirical Evidence from China. Sustainability, 15(11), 8441. https://doi.org/10.3390/su15118441

