Abandonment of Cropland and Seminatural Grassland in a Mountainous Traditional Agricultural Landscape in Japan
Abstract
1. Introduction
2. Materials and Methods
2.1. Study Sites
2.1.1. The Village of Kosuge
2.1.2. Four Blocks Studied
2.2. Interviews
2.3. Land Use Change
2.4. Causative Factors of Land Use Change
2.4.1. Accessibility
2.4.2. Characteristics of Farmers in NG
3. Results
3.1. Geological Characteristics
3.2. Area Change
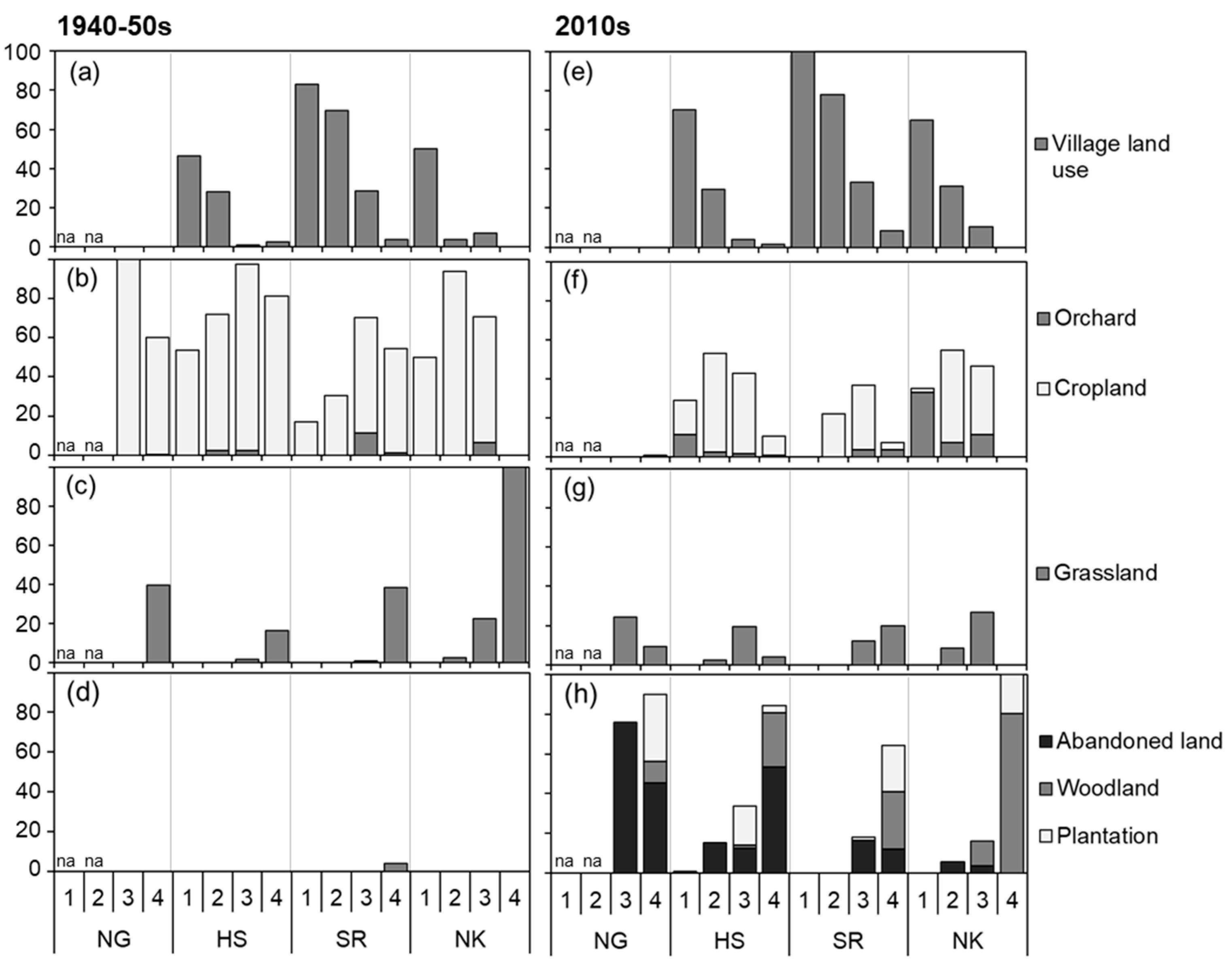
3.2.1. Cropland and Abandoned Land
3.2.2. Seminatural Grassland
3.2.3. Other Land Use Types
3.3. Causative Factors of Land Use Change
3.3.1. Accessibility
3.3.2. Characteristics of Farmers in NG
4. Discussion
4.1. Cropland Abandonment and its Causative Factors
4.2. Grassland Maintained by Traditional Agriculture
5. Conclusions
Supplementary Materials
Author Contributions
Funding
Institutional Review Board Statement
Informed Consent Statement
Data Availability Statement
Acknowledgments
Conflicts of Interest
References
- Gellrich, M.; Baur, P.; Koch, B.; Zimmermann, N.E. Agricultural Land Abandonment and Natural Forest Re-Growth in the Swiss Mountains: A Spatially Explicit Economic Analysis. Agric. Ecosyst. Environ. 2007, 118, 93–108. [Google Scholar] [CrossRef]
- Lieskovský, J.; Bezák, P.; Špulerová, J.; Lieskovský, T.; Koleda, P.; Dobrovodská, M.; Bürgi, M.; Gimmi, U. The Abandonment of Traditional Agricultural Landscape in Slovakia: Analysis of Extent and Driving Forces. J. Rural Stud. 2015, 37, 75–84. [Google Scholar] [CrossRef]
- MacDonald, D.; Crabtree, J.R.; Wiesinger, G.; Dax, T.; Stamou, N.; Fleury, P.; Gutierrez Lazpita, J.; Gibon, A. Agricultural Abandonment in Mountain Areas of Europe: Environmental Consequences and Policy Response. J. Environ. Manag. 2000, 59, 47–69. [Google Scholar] [CrossRef]
- Yamaguchi, T.; Ngodup, S.; Nose, M.; Takeda, S. Community-Scale Analysis of the Farmland Abandonment Occurrence Process in the Mountain Region of Ladakh, India. J. Land Use Sci. 2016, 11, 401–416. [Google Scholar] [CrossRef]
- Fox, J.; Fujita, Y.; Ngidang, D.; Peluso, N.; Potter, L.; Sakuntaladewi, N.; Sturgeon, J.; Thomas, D. Policies, Political-Economy, and Swidden in Southeast Asia. Hum. Ecol. 2009, 37, 305–322. [Google Scholar] [CrossRef]
- Thongmanivong, S.; Fujita, Y. Recent Land Use and Livelihood Transitions in Northern Laos. Mt. Res. Dev. 2006, 26, 237–244. [Google Scholar] [CrossRef]
- Liang, X.; Li, Y.; Zhou, Y. Study on the Abandonment of Sloping Farmland in Fengjie County, Three Gorges Reservoir Area, a Mountainous Area in China. Land Use Policy 2020, 97, 104760. [Google Scholar] [CrossRef]
- Fukamachi, K.; Oku, H.; Nakashizuka, T. The Change of a Satoyama Landscape and Its Causality in Kamiseya, Kyoto Prefecture, Japan between 1970 and 1995. Landsc. Ecol. 2002, 16, 703–717. [Google Scholar] [CrossRef]
- Fukamachi, K. Sustainability of Terraced Paddy Fields in Traditional Satoyama Landscapes of Japan. J. Environ. Manag. 2017, 202, 543–549. [Google Scholar] [CrossRef]
- Iiyama, N.; Kamada, M.; Nakagoshi, N. Ecological and Social Evaluation of Landscape in a Rural Area with Terraced Paddies in Southwestern Japan. Landsc. Urban Plan. 2005, 70, 301–313. [Google Scholar] [CrossRef]
- Kamada, M.; Nakagoshi, N. Influence of Cultural Factors on Landscapes of Mountainous Farm Villages in Western Japan. Landsc. Urban Plan. 1997, 37, 85–90. [Google Scholar] [CrossRef]
- Harrop, S.R. Traditional Agricultural Landscapes as Protected Areas in International Law and Policy. Agric. Ecosyst. Environ. 2007, 121, 296–307. [Google Scholar] [CrossRef]
- Indrawan, M.; Yabe, M.; Nomura, H.; Harrison, R. Deconstructing Satoyama: The Socio-Ecological Landscape in Japan. Ecol. Eng. 2014, 64, 77–84. [Google Scholar] [CrossRef]
- Prishchepov, A.A.; Müller, D.; Dubinin, M.; Baumann, M.; Radeloff, V.C. Determinants of Agricultural Land Abandonment in Post-Soviet European Russia. Land Use Policy 2013, 30, 873–884. [Google Scholar] [CrossRef]
- Hashimoto, S.; Nakamura, S.; Saito, O.; Kohsaka, R.; Kamiyama, C.; Tomiyoshi, M.; Kishioka, T. Mapping and Characterizing Ecosystem Services of Social–Ecological Production Landscapes: Case Study of Noto, Japan. Sustain. Sci. 2015, 10, 257–273. [Google Scholar] [CrossRef]
- Jiao, Y.; Ding, Y.; Zha, Z.; Okuro, T. Crises of Biodiversity and Ecosystem Services in Satoyama Landscape of Japan: A Review on the Role of Management. Sustainability 2019, 11, 454. [Google Scholar] [CrossRef]
- von Thünen, J.H. The Isolated State in Relation to Agriculture and National Economy. In Von Thünen’s Isolated State; Hall, P., Ed.; Pergamon Press: Oxford, UK, 1966. [Google Scholar]
- Ahrends, A.; Burgess, N.D.; Milledge, S.H.; Bulling, M.T.; Fisher, B.; Smart, J.C.R.; Clarke, G.P.; Mhoro, B.E.; Lewis, S.L. Predictable Waves of Sequential Forest Degradation and Biodiversity Loss Spreading from an African City. Proc. Natl. Acad. Sci. USA 2010, 107, 14556–14561. [Google Scholar] [CrossRef] [PubMed]
- Fujita, M.; Krugman, P.R.; Venables, A.J. The Spatial Economy: Cities, Regions, and International Trade; Fujita, M., Krugman, P.R., Venables, A.J., Eds.; MIT Press: Cambridge, MA, USA, 2001; ISBN 978-0-262-06204-6. [Google Scholar]
- Zhang, Y.; Li, X.; Song, W. Determinants of Cropland Abandonment at the Parcel, Household and Village Levels in Mountain Areas of China: A Multi-Level Analysis. Land Use Policy 2014, 41, 186–192. [Google Scholar] [CrossRef]
- Inoue, T.; Yaida, Y.A.; Uehara, Y.; Katsuhara, K.R.; Kawai, J.; Takashima, K.; Ushimaru, A.; Kenta, T. The Effects of Temporal Continuities of Grasslands on the Diversity and Species Composition of Plants. Ecol. Res. 2021, 36, 24–31. [Google Scholar] [CrossRef]
- Uchida, K.; Ushimaru, A. Biodiversity Declines Due to Abandonment and Intensification of Agricultural Lands: Patterns and Mechanisms. Ecol. Monogr. 2014, 84, 637–658. [Google Scholar] [CrossRef]
- Ridding, L.E.; Redhead, J.W.; Pywell, R.F. Fate of Semi-Natural Grassland in England between 1960 and 2013: A Test of National Conservation Policy. Glob. Ecol. Conserv. 2015, 4, 516–525. [Google Scholar] [CrossRef]
- Monteiro, A.T.; Carvalho-Santos, C.; Lucas, R.; Rocha, J.; Costa, N.; Giamberini, M.; da Costa, E.M.; Fava, F. Progress in Grassland Cover Conservation in Southern European Mountains by 2020: A Transboundary Assessment in the Iberian Peninsula with Satellite Observations (2002–2019). Remote Sens. 2021, 13, 3019. [Google Scholar] [CrossRef]
- Ogura, J. The Transition of Grassland Area in Japan. J. Kyoto Seika Univ. 2006, 30, 159–172. [Google Scholar]
- Shimada, D. Multi-Level Natural Resources Governance Based on Local Community: A Case Study of Semi-Natural Grassland in Tarōji, Nara, Japan. Int. J. Commons 2015, 9, 486–509. [Google Scholar] [CrossRef]
- Osumi, K.; Ikeda, S.; Okamoto, T. Vegetation Patterns and Their Dependency on Site Conditions in the Pre-Industrial Landscape of North-Eastern Japan. Ecol. Res. 2003, 18, 753–765. [Google Scholar] [CrossRef]
- Ichikawa, K.; Okubo, N.; Okubo, S.; Takeuchi, K. Transition of the Satoyama Landscape in the Urban Fringe of the Tokyo Metropolitan Area from 1880 to 2001. Landsc. Urban Plan. 2006, 78, 398–410. [Google Scholar] [CrossRef]
- Agnoletti, M. The Degradation of Traditional Landscape in a Mountain Area of Tuscany during the 19th and 20th Centuries: Implications for Biodiversity and Sustainable Management. For. Ecol. Manag. 2007, 249, 5–17. [Google Scholar] [CrossRef]
- Fujihara, M.; Kikuchi, T. Changes in the Landscape Structure of the Nagara River Basin, Central Japan. Landsc. Urban Plan. 2005, 70, 271–281. [Google Scholar] [CrossRef]
- Sprague, D.S. Land-Use Configuration under Traditional Agriculture in the Kanto Plain, Japan: A Historical GIS Analysis. Int. J. Geogr. Inf. Sci. 2013, 27, 68–91. [Google Scholar] [CrossRef]
- FAO Globally Important Agricultural Heritage Systems (GIAHS), “Nishi-Awa Steep Slope Land Agriculture System, Japan”. Available online: https://www.fao.org/giahs/giahsaroundtheworld/designated-sites/asia-and-the-pacific/nishi-awa-steep-slope-land-agriculture-system/en/ (accessed on 23 March 2022).
- Takahashi, O. Tectonostratigraphic Study of the Chichibu and Shimanto Belts in the Kanto Mountains, Central Japan. J. Geol. Soc. Jpn. 2000, 106, 836–852. [Google Scholar] [CrossRef]
- Matsubayashi, H.; Ishizaka, S.; Nakagawa, T.; Nakamura, Y. Middle to Large Mammalian Fauna in the Headwater of Tamagawa River: A Preliminary Study on Prevention of Wildlife Damage by Camera Trap. J. Agric. Sci. Tokyo Univ. Agric. 2009, 54, 110–115. [Google Scholar]
- Okuyama, Y. Issues for Land Use and Ownership in Mountainous Villages: A Case of Kosuge Village, Yamanashi Prefecture. Ann. Jpn. Assoc. Econ. Geogr. 1964, 9, 39–54. [Google Scholar]
- Zenkoku Sanrin Rengokai, X. Kosuge, Yamanashi Prefecture. In Sanson Keizai Jittai Chousa Houkokusho 3 (Report on Rural Economy 3); Zenkoku Sanrin Rengokai, X., Ed.; Zenkoku Sanrin Rengokai: Tokyo, Japan, 1937; pp. 133–191. [Google Scholar]
- Kimata, M.; Dobashi, M.; Shinoda, T. Tradition of Millet-Derived Foods: A Case Study in Mizune Village, Okutama-Cho, Tokyo. Environ. Inf. Sci. 1979, 2, 77–89. [Google Scholar]
- Ito, T.; Ito, T.; Matsuno, S.; Mehta, R.; Sakamoto, M. Identifying the Determinants of Michinoeki Performance. J. Robot. Netw. Artif. Life 2021, 8, 165–169. [Google Scholar] [CrossRef]
- Hirano, Y. Current Development of the Forest Use as Adventure Parks in Japan: Focusing on Forest Adventure. J. Jpn. For. Soc. 2020, 102, 358–367. [Google Scholar] [CrossRef]
- Klien, S. “The Young, the Stupid, and the Outsiders”: Urban Migrants as Heterotopic Selves in Post-Growth Japan. Asian Anthropol. 2022, 21, 10–23. [Google Scholar] [CrossRef]
- Duxbury, N.; Campbell, H. Developing and Revitalizing Rural Communities through Arts and Culture. Small Cities Impr. 2011, 3, 111–122. [Google Scholar]
- European Commission Agriculture and Rural Development. Available online: https://agriculture.ec.europa.eu/common-agricultural-policy/rural-development_en (accessed on 28 April 2023).
- Nezu, M. Dymanics and Contemporary Significance of Functional and Social Cohesion in Rural Communities: A Case of Kosuge Village, Yamanashi Prefecture. For. Econ. 2004, 57, 1–16. [Google Scholar]
- Imai, N.; Furukawa, T.; Tsujino, R.; Kitamura, S.; Yumoto, T. Factors Affecting Forest Area Change in Southeast Asia during 1980–2010. PLoS ONE 2018, 13, e0197391. [Google Scholar] [CrossRef]
- Blaikie, P.M. Spatial Organization of Agriculture in Some North Indian Villages: Part I. Trans. Inst. Br. Geogr. 1971, 52, 1–40. [Google Scholar] [CrossRef]
- de Garis De Lisle, D. Effects of Distance on Cropping Patterns Internal to the Farm. Ann. Assoc. Am. Geogr. 1982, 72, 88–98. [Google Scholar] [CrossRef]
- Mottet, A.; Ladet, S.; Coqué, N.; Gibon, A. Agricultural Land-Use Change and Its Drivers in Mountain Landscapes: A Case Study in the Pyrenees. Agric. Ecosyst. Environ. 2006, 114, 296–310. [Google Scholar] [CrossRef]
- Gellrich, M.; Zimmermann, N.E. Investigating the Regional-Scale Pattern of Agricultural Land Abandonment in the Swiss Mountains: A Spatial Statistical Modelling Approach. Landsc. Urban Plan. 2007, 79, 65–76. [Google Scholar] [CrossRef]
- Kellerman, A. Economic and Spatial Aspects of von Thünen’s Factor Intensity Theory. Environ. Plan. A Econ. Space 1983, 15, 1521–1530. [Google Scholar] [CrossRef]
- R Core Team. R: A Language and Environment for Statistical Computing; R Foundation for Statistical Computing: Vienna, Austria, 2021. [Google Scholar]
- Ministry of Agriculture, Forestry and Fisheries. Annual Report on Food, Agriculture and Rural Areas in Japan; Ministry of Agriculture, Forestry and Fisheries: Tokyo, Japan, 2021. [Google Scholar]
- Osawa, T.; Kohyama, K.; Mitsuhashi, H. Multiple Factors Drive Regional Agricultural Abandonment. Sci. Total Environ. 2016, 542, 478–483. [Google Scholar] [CrossRef] [PubMed]
- Shoyama, K.; Nishi, M.; Hashimoto, S.; Saito, O. Outcome-Based Assessment of the Payment for Mountain Agriculture: A Community-Based Approach to Countering Land Abandonment in Japan. Environ. Manag. 2021, 68, 353–365. [Google Scholar] [CrossRef]
- Su, G.; Okahashi, H.; Chen, L. Spatial Pattern of Farmland Abandonment in Japan: Identification and Determinants. Sustainability 2018, 10, 3676. [Google Scholar] [CrossRef]
- Jentzsch, H. Abandoned Land, Corporate Farming, and Farmland Banks: A Local Perspective on the Process of Deregulating and Redistributing Farmland in Japan. Contemp. Jpn. 2016, 29, 31–46. [Google Scholar] [CrossRef]
- Kiziridis, D.A.; Mastrogianni, A.; Pleniou, M.; Karadimou, E.; Tsiftsis, S.; Xystrakis, F.; Tsiripidis, I. Acceleration and Relocation of Abandonment in a Mediterranean Mountainous Landscape: Drivers, Consequences, and Management Implications. Land 2022, 11, 406. [Google Scholar] [CrossRef]
- Association of Agriculture & Forestry Statistics (1960–2010). Census of Agriculture and Forestry, 1962–2012. Available online: https://www.e-stat.go.jp/en/statistics/00500209 (accessed on 12 April 2021). (In Japanese).
- Cabinet Office of Japan (Ed.) Kokuzei Chousa Houkoku 19 Yamanashi Ken (Japan Statistical Yearbook No. 19 Yamanashi Prefecture), 1950–1963; Cabinet Office of Japan: Tokyo, Japan, 1956. (In Japanese) [Google Scholar]
- Kanto Regional Agricultural Administration Office (Yamanashi), Ministry of Agriculture, Forestry and Fisheries of Japan (MAFF) (Ed.) Gunnai Chiku Shichoson Betsu Ruinen Tokei Sho (Statistical Yearbook by Municipality in Gunnai Region); Ministry of Agriculture, Forestry and Fisheries of Japan: Tokyo, Japan, 1996. (In Japanese) [Google Scholar]
- Kanto Regional Agricultural Administration Office (Yamanashi), Ministry of Agriculture, Forestry and Fisheries of Japan (MAFF) (Ed.) Yamanashi Ken Shichoson Betsu Norin Ruinen Tokei (Agriculture and Forestry Statistics by Municipality of Yamanashi Prefecture); Ministry of Agriculture, Forestry and Fisheries of Japan: Tokyo, Japan, 2007. (In Japanese) [Google Scholar]
- Yamanashi Prefecture (Ed.) (1967–2018). Yamanashi Ken Tokei Nenkan (Statistical Yearbook of Yamanashi Prefecture), 1965–2015. Available online: https://www.e-stat.go.jp/en/regional-statistics/ssdsview (accessed on 12 April 2021). (In Japanese).








| NG | HS | SR | NK | |
|---|---|---|---|---|
| Settlement | ||||
| No. household | 25 | 51 | 17 | 61 |
| Population | 48 | 111 | 44 | 125 |
| Average age | 61.3 | 60.9 | 55.1 | 47.2 |
| Block studied | ||||
| Total land area (ha) | 3.4 | 3.1 | 3.4 | 2.1 |
| No. parcel | 90 | 252 | 222 | 146 |
| Mean (±SD) size of parcel (m2) | 382 ± 618 | 142 ± 190 | 164 ± 383 | 153 ± 189 |
| Dominant slope aspect | S | S | SE | N |
| Mean slope (°) | 25 | 22 | 23 | 12 |
| Mean distance from nearest entrance points to parcels (m) | 188 | 64 | 91 | 55 |
| From | 1940–1950s | 1960–1970s | 1980–1990s |
|---|---|---|---|
| To | 1960–1970s | 1980–1990s | 2000s |
| No. active farmers/household | −0.19 | −0.19 | 0.58 |
| Total parcel area/household | −0.01 | 0.39 | −0.05 |
| Accessibility index | −0.37 | −0.38 | 0.65 |
| Proportion of south slope | 0.08 | 0.76 *** | −0.36 |
| Average age/household | 0.06 | 0.55 ** | 0.68 * |
Disclaimer/Publisher’s Note: The statements, opinions and data contained in all publications are solely those of the individual author(s) and contributor(s) and not of MDPI and/or the editor(s). MDPI and/or the editor(s) disclaim responsibility for any injury to people or property resulting from any ideas, methods, instructions or products referred to in the content. |
© 2023 by the authors. Licensee MDPI, Basel, Switzerland. This article is an open access article distributed under the terms and conditions of the Creative Commons Attribution (CC BY) license (https://creativecommons.org/licenses/by/4.0/).
Share and Cite
Imai, N.; Otokawa, H.; Okamoto, A.; Yamazaki, K.; Tamura, T.; Sakagami, T.; Ishizaka, S.; Shimojima, H. Abandonment of Cropland and Seminatural Grassland in a Mountainous Traditional Agricultural Landscape in Japan. Sustainability 2023, 15, 7742. https://doi.org/10.3390/su15107742
Imai N, Otokawa H, Okamoto A, Yamazaki K, Tamura T, Sakagami T, Ishizaka S, Shimojima H. Abandonment of Cropland and Seminatural Grassland in a Mountainous Traditional Agricultural Landscape in Japan. Sustainability. 2023; 15(10):7742. https://doi.org/10.3390/su15107742
Chicago/Turabian StyleImai, Nobuo, Hinata Otokawa, Atsumi Okamoto, Kaito Yamazaki, Takuya Tamura, Tsubasa Sakagami, Shingo Ishizaka, and Hijiri Shimojima. 2023. "Abandonment of Cropland and Seminatural Grassland in a Mountainous Traditional Agricultural Landscape in Japan" Sustainability 15, no. 10: 7742. https://doi.org/10.3390/su15107742
APA StyleImai, N., Otokawa, H., Okamoto, A., Yamazaki, K., Tamura, T., Sakagami, T., Ishizaka, S., & Shimojima, H. (2023). Abandonment of Cropland and Seminatural Grassland in a Mountainous Traditional Agricultural Landscape in Japan. Sustainability, 15(10), 7742. https://doi.org/10.3390/su15107742

