Differential Game Analysis of Emission Reduction and Preservation in the Tertiary Food Supply Chain under Different Government Subsidy Models
Abstract
:1. Introduction
2. Model Establishment and Solution
2.1. Assumption
- (1)
- The abatement costs of suppliers and manufacturers are an increasing function with respect to the level of abatement effort, and as the level of abatement effort continues to increase, the cost of abatement increases at an accelerating rate as the level of abatement effort increases, i.e., satisfying . Similarly, the cost of promotion is an increasing function of the degree of low-carbon effort. Therefore, abatement costs and promotion costs are convex functions of abatement effort and promotion effort [21], respectively, so that the abatement costs of suppliers and manufacturers areThe cost of low-carbon promotions for retailers iswhere represents the abatement efforts of suppliers, manufacturers, and retailers, and represents the abatement cost factors of suppliers, manufacturers, and retailers.
- (2)
- The same as abatement efforts and abatement costs, the cost of preservation for suppliers, manufacturers, and retailers is a convex function of preservation effort. The higher the level of preservation effort, the higher the cost of further increasing the level of preservation effort. Therefore, the expression for the cost of preservation iswhere represents the preservation effort of the supplier, manufacturer, and retailer, and represents the preservation cost factor of the supplier, manufacturer, and retailer.
- (3)
- The amount of emission reduction per unit of product depends on the level of emission reduction efforts of suppliers and manufacturers [22] and has a natural tendency to decline over time; its change process is dynamic. The low-carbon promotional behaviour of retailers in the sales process reduces carbon emissions by increasing consumer demand for low-carbon food, leading to low-carbon food consumption, but does not affect the emission reduction per unit of product. Therefore, the differential equation for emission reduction per unit of product isAt the initial moment, the product emission reduction is , . denote the coefficient of influence of the supplier’s and manufacturer’s emission reduction efforts on the product emission reduction (both greater than 0), respectively, λ denotes the natural rate of decline in the supply chain product emission reduction, and denotes the unit product emission reduction at moment t.
- (4)
- Drawing on studies by Wang et al. [23], Yu Rong et al. [24], Jorgensen et al. [25], and Tang Run et al. [26] on the dynamics of food quality in green and fresh foods, the quality of freshness ultimately purchased by consumers is the result of the preservation efforts of suppliers, manufacturers, and retailers. Therefore, the differential equation for food preservation quality isAt the initial moment, the preservation quality is , . denote the coefficient of influence of the level of preservation effort of the supplier, manufacturer, and retailer on the preservation quality (all greater than 0), γ denotes the quality loss rate of the food product, and denotes the preservation quality of the food product at moment t.
- (5)
- Market demand for the product is assumed to be a linear combination of the amount of emission reduction, the level of retailer effort to promote low-carbon food, and the quality of freshness. The amount of product emission reduction, low-carbon promotion, and freshness quality all positively affect market demand. To control for variables and focus on key factors such as emission reduction effort and preservation effort, this paper assumes that the retail price of the food product remains constant and does not consider the effect of price on market demand [27]. Therefore the market demand iswhere represents the potential demand for the product at the initial moment, and represent the coefficient of influence of product reduction, retailer low-carbon promotion, and freshness quality on market demand (all greater than 0).
- (6)
- The abatement cost factors shared by the manufacturer for the supplier and the retailer are and , respectively; the freshness cost factors shared by the retailer for the supplier and the manufacturer are and . The cost-sharing factors are all real numbers between 0 and 1.
- (7)
- The government subsidy for abatement costs for suppliers, manufacturers, and retailers is in the case of dedicated abatement subsidies, and the government subsidy factor is in the case of non-dedicated one-off government subsidies. In this paper, the superscript X indicates the case of government-specific abatement subsidies, and no superscript indicates the case of non-specific one-off government subsidies.
- (8)
- Taking into account the time value of money, the discount rate for suppliers, manufacturers, and retailers is .
- (9)
- The marginal profit per unit of product for the supplier, manufacturer, and retailer are , , and , respectively.
- (10)
- The values of the relevant parameters meet the basic conditions for the existence of an optimal solution to the decision.
2.2. Cooperation Game in the Case of Government-Specific Emission Reduction Subsidies
- The cooperative game model is based on the sharing of abatement costs by manufacturers for suppliers and retailers and by retailers for suppliers and manufacturers, with the addition of a role for the government, which guarantees a certain amount of abatement by issuing a special subsidy to food supply chain companies, stipulating that the subsidy can only be used for abatement. The objective function in this case is
2.3. Cooperation Game in the Case of Non-Specific One-off Government Subsidies
2.4. Comparative Analysis
2.4.1. Comparison of Profit Optimal Values
2.4.2. Comparison of Emission Reductions and Preservation Quality
3. Numerical Experiments
3.1. Changes in Profits of Enterprises under Different Government Subsidy Methods
3.2. Changes in Emission Reduction by Enterprises under Different Government Subsidy Methods
3.3. Changes in Corporate Emissions Reductions under Different Government Subsidy Approaches
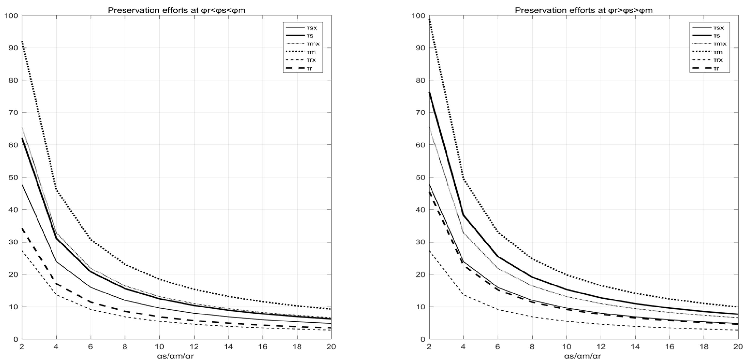
3.4. Changes in the Quality of Corporate Preservation under Different Government Subsidy Approaches
4. Conclusions
- (1)
- When the government’s subsidy coefficient for manufacturers is the highest, it is recommended that a non-specific one-off subsidy be given to enterprises to maximise their profitability and to increase the reduction in emissions in the food supply chain while also improving the freshness quality of the food products.
- (2)
- For food supply chains with stringent freshness requirements, a non-specific subsidy model is recommended. A dedicated abatement subsidy model will increase emissions reductions but has no impact on the quality of food preservation. When the government adopts a non-specific one-off subsidy model, it can both increase emission reductions and improve food preservation quality.
Supplementary Materials
Author Contributions
Funding
Institutional Review Board Statement
Informed Consent Statement
Data Availability Statement
Acknowledgments
Conflicts of Interest
References
- Wang, D.P.; Wang, T.T. Dynamic Optimization of Cooperation on Carbon Emission Reduction and Promotion in Supply Chain Under Government Subsidy. J. Syst. Manag. 2021, 30, 14–27. [Google Scholar]
- Zhou, J.Y.; Cui, Y. International Experience and Implications for China on Fiscal Policies to Address Climate Change; International Institute of Green Finance, Central University of Finance and Economics: Beijing, China, 2021. [Google Scholar]
- Zhang, Z.M.; Li, S.; Xu, X.Q. Supply chain contract coordination considering carbon emission during product transportation. Comput. Eng. Appl. 2021, 13, 1–9. [Google Scholar]
- Zhang, F.; Wu, J.; Yang, Y. Emission Reduction and Coordination Decision in Cold Chain Logistics Service Supply Chain Considering Risk Aversion. Comput. Eng. Appl. 2021, 24, 1–13. [Google Scholar]
- Chen, J.; Wang, S.; Ou, C.T.; Jiang, X. Study on carbon emission measurement and dynamic optimization of fresh meat supply chain. J. China Agric. Univ. 2020, 165–218. [Google Scholar] [CrossRef]
- Zhang, T.X.; Li, H. Optimizing Perishable Food Supply Chain Network Considering Vehicle Speed and Carbon Emission. Ind. Eng. J. 2016, 19, 83–89. [Google Scholar]
- Wu, Q.; Dan, B.; Qian, Y.; Tang, X. Third party logistics coordinating contracts for low value perishable products with loss dependent on logistics effort levels. J. Manag. Sci. China 2014, 17, 15–26. [Google Scholar]
- Cao, Y.; Liu, P.P.; Hu, H.L. Freshness efforts mechanism of fresh-keeping supply chain based on cost sharing contract. Control. Decis. 2020, 205–214. [Google Scholar] [CrossRef]
- Liu, M.L.; Dan, B.; Ma, S.X. Optimal Strategies and Coordination of Fresh E-commerce Supply Chain Considering Freshness-Keeping Effort and Value-Added Service. Chin. J. Manag. Sci. 2020, 28, 76–88. [Google Scholar]
- Ma, X.L.; Wang, S.Y.; Jin, H.; Bai, Q.G. Coordination and Optimization of Three-echelon Agricultural Product Supply Chain Considering Freshness-keeping Effort and Quantity/Quality Elasticity. Chin. J. Manag. Sci. 2018, 26, 175–185. [Google Scholar]
- Wang, L.; Dan, B. Coordination of Fresh Agricultural Supply Chain Considering Retailer’s Freshness-keeping and Consumer Utility. Oper. Res. Manag. Sci. 2015, 24, 44–51. [Google Scholar]
- Wang, S.Y.; Jiang, Y.M.; Mou, J.J. Inventory and Pricing Decision of an Integrated Cold Chain Based on Freshness. Chin. J. Manag. Sci. 2018, 26, 132–141. [Google Scholar] [CrossRef]
- Cao, X.N.; Wang, Y.M.; Xue, H.F.; Liu, X.B. Coordination Strategies for Dual-channel Supply Chain of Fresh Agricultural Products Considering the Fresh-keeping Effort of Supplier. Chin. J. Manag. Sci. 2021, 29, 109–118. [Google Scholar]
- Singh, G.; Daultani, Y.; Rajesh, R.; Sahu, R. Modeling the growth barriers of fresh produce supply chain in the Indian context. Benchmarking Int. J. 2022, 3, 1463–5771. [Google Scholar] [CrossRef]
- Lavelli, V. Circular food supply chains–Impact on value addition and safety. Trends Food Sci. Technol. 2021, 114, 323–332. [Google Scholar] [CrossRef]
- Barman, A.; Das, R.; De, P.K. Impact of COVID-19 in food supply chain: Disruptions and recovery strategy. Curr. Res. Behav. Sci. 2021, 2, 100017. [Google Scholar] [CrossRef]
- Zhang, F.; Li, N.; Da, Q.L.; Wang, W.B. Research on Low-Carbon Emission Reduction in a Closed-loop Supply Chain with Multiple Demands under Two Subsidy Policies. Chin. J. Manag. Sci. 2022, 1–11. [Google Scholar] [CrossRef]
- Zhang, L.R.; Peng, B.; Cheng, C.Q. Research on Government Subsidy Strategy of Low-carbon Supply Chain Based on Block-chain Technology. Chin. J. Manag. Sci. 2022, 1–13. Available online: https://kns.cnki.net/kcms/detail/11.2835.G3.20210926.1324.002.html (accessed on 1 November 2022).
- Cao, K.; Xu, X.; Wu, Q.; Zhang, Q. Optimal production and carbon emission reduction level under cap-and-trade and low carbon subsidy policies. J. Clean. Prod. 2017, 167, 505–513. [Google Scholar] [CrossRef]
- Meng, F.S.; Han, B. Research on Impact of Government Environmental Regulation on Enterprises’ Low Carbon Technology Innovation Behavior. Forecasting 2017, 36, 74–80. [Google Scholar]
- Zhou, Y.; Bao, M.; Chen, X.; Xu, X. Co-op advertising and emission reduction cost sharing contracts and coordination in low-carbon supply chain based on fairness concerns. J. Clean. Prod. 2016, 133, 402–413. [Google Scholar] [CrossRef]
- Jiang, Y.; Han, S.H.; Zhao, Y. Differential Game Analysis of Dynamic Carbon Emission Reduction Strategy of Three-Echelon Supply Chain under Low-carbon Economy. Oper. Res. Manag. Sci. 2020, 29, 89–97. [Google Scholar]
- Wang, X.J.; Li, D. A dynamic product quality evaluation based pricing modelfor perishable food supply chains. Omega 2012, 40, 906–917. [Google Scholar] [CrossRef]
- Yu, R.; Pei, X.W.; Tang, R. Research on Green Food Supply Chain Agents Coordination Mode Based on Food Green and Reputation. Soft Sci. 2018, 1, 130–135. [Google Scholar] [CrossRef]
- Jorgen, S.; Taboubi, S.; Zaccour, G. Cooperative advertising in a marketing channel. J. Optim. Theory Appl. 2001, 110, 145–158. [Google Scholar] [CrossRef]
- Tang, R.; Peng, Y.Y. Coordination mechanism of dual channels of fresh food supply chain based on differential game. Comput. Integr. Manuf. Syst. 2018, 24, 1034–1045. [Google Scholar]
- Hu, J.S.; Liu, Y.H.; Ma, D.Q. Dynamic Strategy of Food Supply Chain Considering Greenness and Traceability Goodwill Under Technological Innovation. Soft Sci. 2021, 35, 39–49. [Google Scholar] [CrossRef]









Disclaimer/Publisher’s Note: The statements, opinions and data contained in all publications are solely those of the individual author(s) and contributor(s) and not of MDPI and/or the editor(s). MDPI and/or the editor(s) disclaim responsibility for any injury to people or property resulting from any ideas, methods, instructions or products referred to in the content. |
© 2022 by the authors. Licensee MDPI, Basel, Switzerland. This article is an open access article distributed under the terms and conditions of the Creative Commons Attribution (CC BY) license (https://creativecommons.org/licenses/by/4.0/).
Share and Cite
He, J.; Yang, T. Differential Game Analysis of Emission Reduction and Preservation in the Tertiary Food Supply Chain under Different Government Subsidy Models. Sustainability 2023, 15, 701. https://doi.org/10.3390/su15010701
He J, Yang T. Differential Game Analysis of Emission Reduction and Preservation in the Tertiary Food Supply Chain under Different Government Subsidy Models. Sustainability. 2023; 15(1):701. https://doi.org/10.3390/su15010701
Chicago/Turabian StyleHe, Jing, and Ting Yang. 2023. "Differential Game Analysis of Emission Reduction and Preservation in the Tertiary Food Supply Chain under Different Government Subsidy Models" Sustainability 15, no. 1: 701. https://doi.org/10.3390/su15010701
APA StyleHe, J., & Yang, T. (2023). Differential Game Analysis of Emission Reduction and Preservation in the Tertiary Food Supply Chain under Different Government Subsidy Models. Sustainability, 15(1), 701. https://doi.org/10.3390/su15010701
