Composted Sewage Sludge Application Reduces Mineral Fertilization Requirements and Improves Soil Fertility in Sugarcane Seedling Nurseries
Abstract
1. Introduction
2. Materials and Methods
2.1. Experimental Area
2.2. Experimental Design
| Attributes | Units | Depth (m) | |||||
|---|---|---|---|---|---|---|---|
| 0.0–0.25 | 0.25–0.50 | ||||||
| pH (CaCl2) | - | 5.2 | ± | 0.08 | 5.1 | ± | 0.12 |
| OM | g dm−3 | 12.7 | ± | 0.47 | 12.0 | ± | 0.82 |
| P | mg dm−3 | 1.3 | ± | 0.47 | 2.7 | ± | 1.70 |
| K+ | mmolc dm−3 | 1.2 | ± | 0.05 | 1.2 | ± | 0.05 |
| Ca2+ | mmolc dm−3 | 15.7 | ± | 5.25 | 17.3 | ± | 5.44 |
| Mg2+ | mmolc dm−3 | 8.7 | ± | 0.47 | 10.7 | ± | 0.47 |
| Al3+ | mmolc dm−3 | 0.7 | ± | 0.94 | 1.7 | ± | 1.25 |
| H + Al | mmolc dm−3 | 16.7 | ± | 2.36 | 16.0 | ± | 1.41 |
| SB | mmolc dm−3 | 25.5 | ± | 5.51 | 29.2 | ± | 5.73 |
| S-SO4 | mg dm−3 | 2.0 | ± | 0.00 | 2.3 | ± | 0.47 |
| CEC | mmolc dm−3 | 42.2 | ± | 4.27 | 45.2 | ± | 4.99 |
| BS | % | 60.0 | ± | 7.79 | 64.0 | ± | 5.72 |
| B | mg dm−3 | 0.2 | ± | 0.01 | 0.1 | ± | 0.01 |
| Cu | mg dm−3 | 1.1 | ± | 0.08 | 1.3 | ± | 0.08 |
| Fe | mg dm−3 | 13.3 | ± | 17.44 | 16.0 | ± | 21.21 |
| Mn | mg dm−3 | 12.4 | ± | 3.03 | 7.9 | ± | 1.84 |
| Zn | mg dm−3 | 0.6 | ± | 0.00 | 0.6 | ± | 0.05 |
| Clay | g kg−1 | 134.0 | ± | 23.00 | |||
| Silt | g kg−1 | 87.0 | ± | 16.00 | |||
| Sand | g kg−1 | 779.0 | ± | 39.00 | |||
| Texture | - | Sand | |||||
2.3. Characterization of Composted Sewage Sludge
2.4. Experiment Development
2.5. Soil Chemical Analyses
2.6. Statistical Analysis
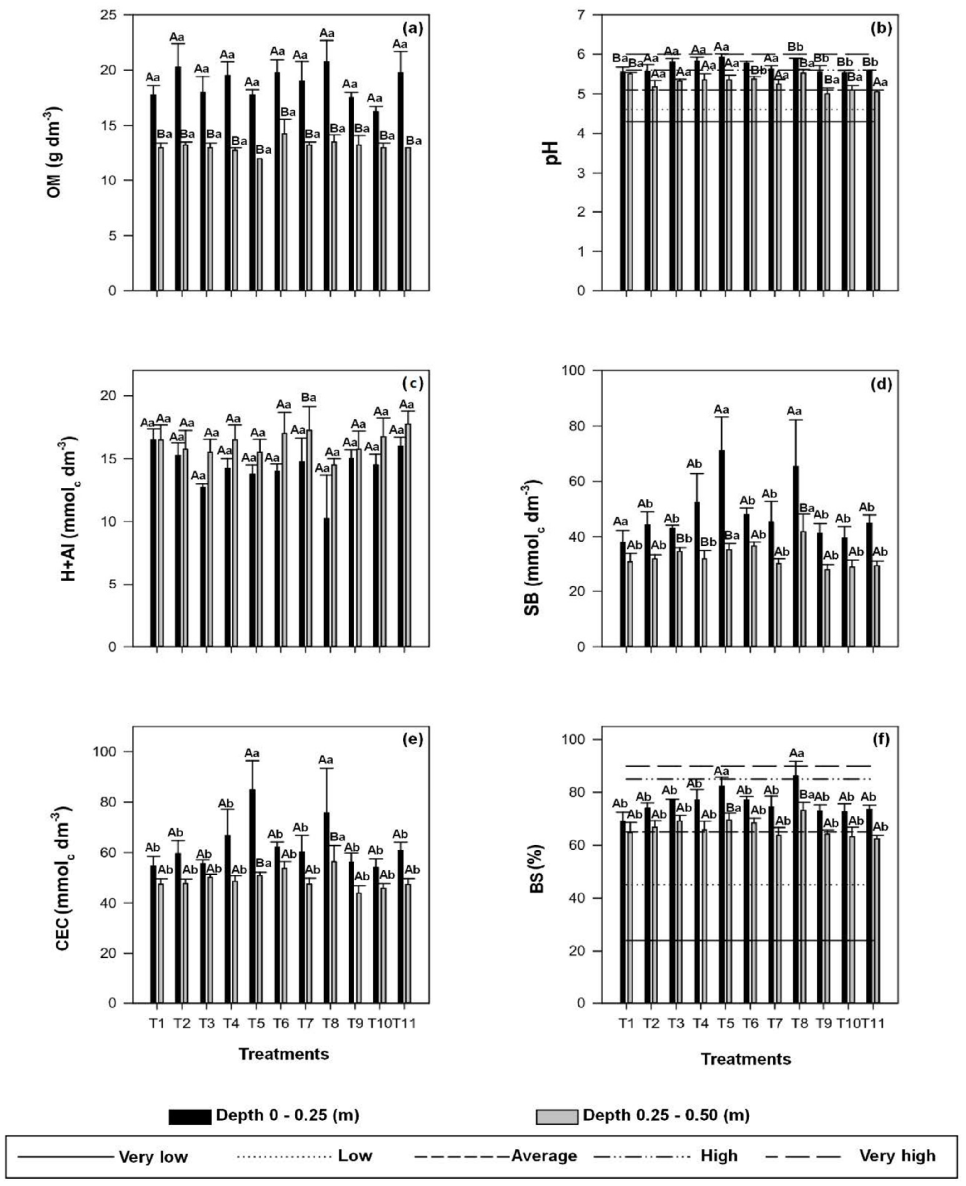
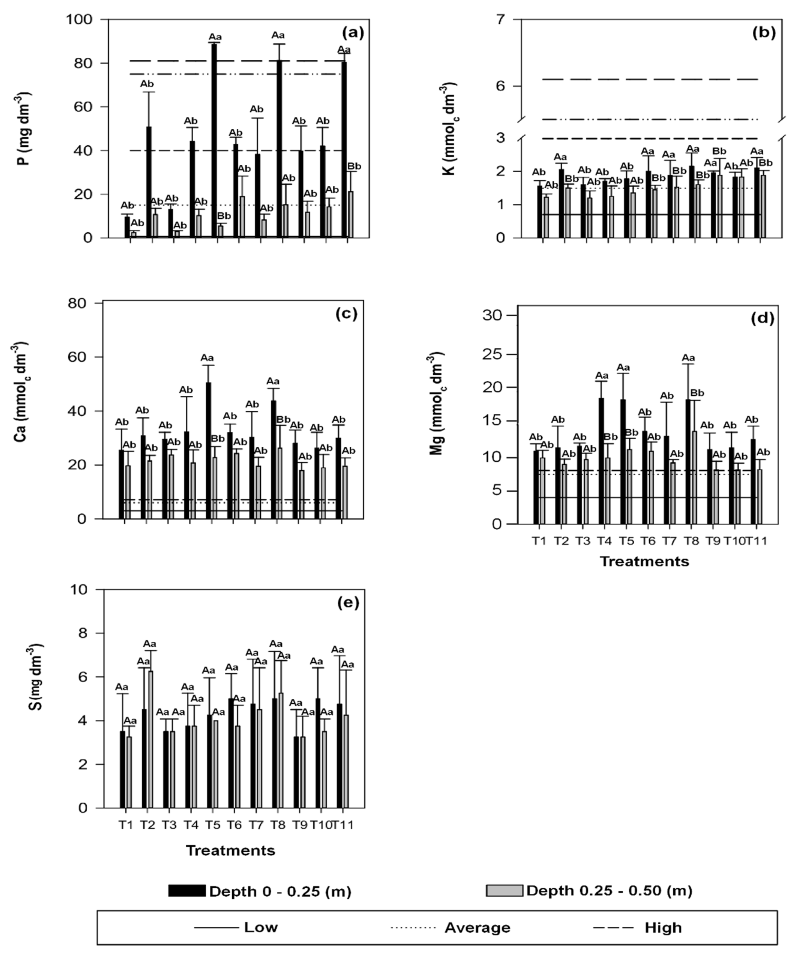
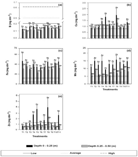
3. Results and Discussion
4. Conclusions
Supplementary Materials
Author Contributions
Funding
Institutional Review Board Statement
Informed Consent Statement
Data Availability Statement
Acknowledgments
Conflicts of Interest
References
- Aguilar-Rivera, N. Bioindicators for the Sustainability of Sugar Agro-Industry. Sugar Tech 2022, 1–11. [Google Scholar] [CrossRef] [PubMed]
- Companhia Nacional de Abastecimento (Conab). Acompanhamento da Safra Brasileira de Cana-de-Açúcar, Terceiro Levantamento: Safra 2021/22; Conab: Brasília, Brazil, 2021; Volume 8, pp. 1–63. Available online: https://www.conab.gov.br/info-agro/safras/cana/boletim-da-safra-de-cana-de-acucar (accessed on 27 November 2021).
- Cherubin, M.R.; Carvalho, J.L.N.; Cerri, C.E.P.; Nogueira, L.A.H.; Souza, G.M.; Cantarella, H. Land Use and Management Effects on Sustainable Sugarcane-Derived Bioenergy. Land 2021, 10, 72. [Google Scholar] [CrossRef]
- Gazola, T.; Filho, M.L.C.; Júnior, N.C.F. Avaliação de mudas pré-brotadas de cana-de-açúcar provenientes de substratos submetidos à adubação química e orgânica. Científica 2017, 45, 300–306. [Google Scholar] [CrossRef][Green Version]
- De Oliveira, M.W.; Oliveira, T.B.A.; de Castro Nogueira, C.N.C.H.; de Assis, W.O.; Borges, S.T.F. Nitrogen fertilization in sugarcane nurses. Braz. J. Dev. 2020, 6, 2855–2860. [Google Scholar] [CrossRef]
- Nicchio, B.; Rodrigues, M.V.; Vieira, M.A.M.; Pereira, H.S.; Korndörfer, G.H. O uso de fosfatos associados a fontes de enxofre aplicados em um Latossolo Vermelho distrófico cultivado com mudas de cana-de-açúcar. Braz. J. Anim. Environ. Res. 2021, 4, 5215–5234. [Google Scholar] [CrossRef]
- Raij, B.V.; Cantarella, H.; Quaggio, J.A.; Furlani, A.M.C. Recomendações de Adubação e Calagem para o Estado de São Paulo, 2nd ed.; IAC: Campinas, Brazil, 1997; pp. 8–13. [Google Scholar]
- Vitti, G.C.; de Luz, P.H.C.; Altran, W.S. Nutrição e adubação. In Cana-de-Açúcar: Bioenergia, Açúcar e Etanol-Tecnologias e Perspectivas, 2nd ed.; Santos, F., Borém, A., Caldas., S.C., Eds.; Editora UFV: Viçosa, Brazil, 2011; pp. 73–117. [Google Scholar]
- ANDA. Associação Nacional para Difusão de Adubos. Principais Indicadores do Setor de Fertilizantes. Available online: http://anda.org.br/arquivos/ (accessed on 11 April 2021).
- Rosa, P.A.L.; Mortinho, E.S.; Jalal, A.; Galindo, F.S.; Buzetti, S.; Fernandes, G.C.; Neto, M.B.; Pavinato, P.S.; Filho, M.C.M.T. Inoculation with growth-promoting bacteria associated with the reduction of phosphate fertilization in sugarcane. Front. Environ. Sci. 2020, 8, 32. [Google Scholar] [CrossRef]
- Sampaio, T.F.; Guerrini, I.A.; Otero, X.L.; Vazquez, F.M.; Bogiani, J.C.; Oliveira, F.C.; Gava, J.L.; Ciol, M.A.; Littke, K.M.; Harrison, R.B. The impact of biosolids application on soil and native plants in a degraded Brazilian Atlantic Rainforest soil. Water Air Soil Pollut. 2016, 227, 1. [Google Scholar] [CrossRef]
- Cheng, H.; Xu, W.; Liu, J.; Zhao, Q.; He, Y.; Chen, G. Application of composted sewage sludge (CSS) as a soil amendment for turfgrass growth. Ecol. Eng. 2007, 29, 96–104. [Google Scholar] [CrossRef]
- Prates, A.R.; Coscione, A.R.; Teixeira Filho, M.C.M.; Miranda, B.G.; Arf, O.; Abreu-Junior, C.H.; Oliveira, F.C.; Moreira, A.; Galindo, F.S.; Sartori, M.M.P.; et al. Composted sewage sludge enhances soybean production and agronomic performance in naturally infertile soils (Cerrado Region, Brazil). Agronomy 2020, 10, 1677. [Google Scholar] [CrossRef]
- Hernández, T.; Chocano, C.; Moreno, J.L.; García, C. Use of compost as an alternative to conventional inorganic fertilisers in intensive lettuce (Lactuca sativa L.) crops–Effects on soil and plant. Soil Tillage Res. 2016, 160, 14–22. [Google Scholar] [CrossRef]
- Jakubus, M.; Bakinowska, E. Visualization of Long-Term Quantitative Changes of Microelements in Soils Amended with Sewage Sludge Compost Evaluated with Two Extraction Solutions. Commun. Soil Sci. Plant Anal. 2018, 49, 1355–1369. [Google Scholar] [CrossRef]
- Florentino, A.L.; de Vicente Ferraz, A.; de Moraes Gonçalves, J.L.; Muraoka, V.A.T.; dos Santos Dias, C.T.; Nogueira, T.A.R.; Capra, G.F.; Abreu-Junior, C.H. Long-term effects of residual sewage sludge application in tropical soils under Eucalyptus plantations. J. Clean. Prod. 2019, 220, 177–187. [Google Scholar] [CrossRef]
- Meng, L.; Li, W.; Zhang, S.; Zhang, X.; Zhao, Y.; Chen, L. Improving sewage sludge compost process and quality by carbon sources addition. Sci. Rep. 2021, 11, 1319. [Google Scholar] [CrossRef] [PubMed]
- Picariello, E.; Pucci, L.; Carotenuto, M.; Libralato, G.; Lofrano, G.; Baldantoni, D. Compost and Sewage Sludge for the Improvement of Soil Chemical and Biological Quality of Mediterranean Agroecosystems. Sustainability 2021, 13, 26. [Google Scholar] [CrossRef]
- Brazil. Ministério da Agricultura, Pecuária e Abastecimento/Secretaria de Defesa Agropecuária. 2020, Resolução nº 498, de 19 de Agosto de 2020. Available online: https://www.in.gov.br/en/web/dou/-/resolucao-n-498-de-19-de-agosto-de-2020-27346797 (accessed on 24 November 2020).
- MAPA. Ministério da Agricultura, Pecuária e Abastecimento. 2020, Instrução Normativa no 61, de 08 de Julho de 2020. Available online: http://www.in.gov.br/web/dou/-/instrucao-normativa-n-61-de-8-de-julho-de-2020-266802148 (accessed on 24 November 2020).
- Köppen, W.; Geiger, R. Klimate der Erde; Verlag Justus Perthes: Gotha, Germany, 1928. [Google Scholar]
- Schoeneberger, P.J.; Wysocki, D.A.; Benham, E.C. Field Book for Describing and Sampling Soils. Natural Resources Conservation Service; National Soil Survey Center: Lincon, NE, USA, 2012; Volume 3, pp. 1–14. [Google Scholar]
- Santos, H.G.; Jacomine, P.K.T.; Anjos, L.H.C.; Oliveira, V.Á.; Lumbreras, J.F.; Coelho, M.R.; Almeida, J.A.; Araújo Filho, J.C.; Oliveira, J.B.; Cunha, T. Sistema Brasileiro de Classificação de Solos, 5th ed.; Embrapa: Brasília, Brazil, 2018; p. 356. [Google Scholar]
- Soil Survey Staff. Keys to Soil Taxonomy, 12th ed.; United States Department of Agriculture, Natural Resources Conservation Service: Washington, DC, USA, 2014. Available online: https://www.nrcs.usda.gov/wps/PA_NRCSConsumption/download?cid=stelprdb1252094&ext=pdf (accessed on 24 May 2020).
- IUSS Working Group WRB. World Reference Base for Soil Resources 2014, Update 2015: International Soil Classification System for Naming Soils and Creating Legends for Soil Maps; (World Soil Resources Reports, 106); Food and Agriculture Organization of the United Nations: Rome, Italy, 2015. [Google Scholar]
- Tera Ambiental. Guia Sobre o Fertilizante Orgânico Composto Classe “D”. Available online: https://www.teraambiental.com.br/guia-fertilizante-organico-composto-classe-d (accessed on 24 November 2021).
- Teixeira, P.C.; Donagemma, G.K.; Fontana, A.; Teixeira, W.G. Manual de Métodos de Análise de Solo, 3rd ed.; Embrapa Informação Tecnológica: Brasília, Brazil, 2017; p. 573. [Google Scholar]
- Raij, B.V.; de Andrade, J.C.; Cantarella, H.; Quaggio, J.A. Análise Química para Avaliação da Fertilidade de Solos Tropicais; Instituto Agronômico/Fundação IAC: Campinas, Brazil, 2001; p. 285. [Google Scholar]
- Sousa, D.M.G.; Rein, T.A.; Nunes, R.S.; Junior, J.D.G.S. Recomendações para Correção da Acidez do solo para Cana-de-Açúcar no Cerrado. Comunicado Técnico; Embrapa Cerrados: Planaltina, Brazil, 2015; Volume 1, p. 6. Available online: http://www.infoteca.cnptia.embrapa.br/infoteca/handle/doc/1026363 (accessed on 1 August 2021).
- ASSOCANA. Associação Rural dos Fornecedores e Plantadores de Cana da Média Sorocabana. Características Agrotécnicas e Manejo Varietal da Cana-de-Açúcar. Available online: http://www.assocana.com.br/arquivos/upload/files/documentos/variedades_2020.pdf (accessed on 24 August 2021).
- Abreu, C.A.; Abreu, M.F.; Andrade, J.C. Determinação de cobre, ferro, manganês, zinco, cádmio, cromo, níquel e chumbo em solos usando a solução de DTPA em pH 7.3. In Análise Química para Avaliação da Fertilidade de Solos Tropicais, 1st ed.; Raij, B.V., Andrade, J.C., Cantarella, H., Quaggio, J.A., Eds.; Instituto Agronômico: Campinas, Brazil, 2001; pp. 231–239. [Google Scholar]
- Abreu, C.A.; Abreu, M.F.; Andrade, J.C. Determinação de boro em água quente, usando aquecimento com micro-onda. In Análise Química para Avaliação da Fertilidade de Solos Tropicais, 1st ed.; Raij, B.V., Andrade, J.C., Cantarella, H., Quaggio, J.A., Eds.; Instituto Agronômico: Campinas, Brazil, 2001; pp. 231–239. [Google Scholar]
- Barbosa, J.C.; Maldonado Junior, W. AgroEstat: Sistema para Análises Estatísticas de Ensaios Agronômicos; FCAV/UNESP: Jaboticabal, Brazil, 2015; p. 396. [Google Scholar]
- RStudio Team. RStudio: Integrated Development Environment for R; RStudio: Boston, MA, USA, 2021; Available online: https://www.rstudio.com/ (accessed on 10 April 2021).
- Bonini, C.S.B.; Alves, M.C.; Montanari, R. Lodo de esgoto e adubação mineral na recuperação de atributos químicos de solo degradado. Rev. Bras. Eng. Agrícola Ambient. 2015, 19, 388–393. [Google Scholar] [CrossRef]
- Bai, Z.; Caspari, T.; Gonzalez, M.R.; Batjes, N.H.; Mäder, P.; Bünemann, E.K.; de Goede, R.; Brussaard, L.; Xu, M.; Ferreira, C.S.S.; et al. Effects of agricultural management practices on soil quality: A review of long-term experiments for Europe and China. Agric. Ecosyst. Environ. 2018, 265, 1–7. [Google Scholar] [CrossRef]
- Oueriemmi, H.; Ardhaoui, K.; Moussa, M. Short-Term Effects of Sewage Sludge Compost Application on Some Chemical Properties of Sandy Soil. In Recent Advances in Geo-Environmental Engineering, Geomechanics and Geotechnics, and Geohazards. CAJG 2018. Advances in Science, Technology & Innovation (IEREK Interdisciplinary Series for Sustainable Development); Kallel, A., Erguler, Z.A., Cui, Z.D., Karrech, A., Karakus, M., Kulatilake, P., Shukla, S.K., Eds.; Springer: Cham, Switzerland, 2020. [Google Scholar] [CrossRef]
- Braga, V.S. Composto de lodo de Esgoto na Cultura da Cana-de-Açúcar: Nitrogênio, Fósforo, Fertilidade do solo e Produtividade. Ph. D. Thesis, Universidade de São Paulo, São Paulo, Brazil, 2013. [Google Scholar]
- Silva, J. Árvore do Conhecimento: Pimenta–Adubação e Nutrição. 2021. Empresa Brasileira de Pesquisa. Available online: https://www.agencia.cnptia.embrapa.br/gestor/pimenta/arvore/CONT000gn0k9bxa02wx5ok0liq1mqs8yoptq.html#:~:text=A%20disponibilidade%20de%20nutrientes%20para,favor%C3%A1veis%20ao%20desenvolvimento%20da%20pimenteira (accessed on 10 April 2021).
- Ricci, A.B.; Padovani, V.C.R.; de Paula Júnior, D.R. Uso de lodo de esgoto estabilizado em um solo decapitado. II-Atributos químicos e revegetação. Rev. Bras. Ciência Solo 2010, 34, 543–551. [Google Scholar] [CrossRef][Green Version]
- Santos, F.E.V.; Kunz, S.H.; Caldeira, M.V.W.; Azevedo, C.H.S.; Rangel, O.J.P. Características químicas de substratos formulados com lodo de esgoto para produção de mudas florestais. Rev. Bras. Eng. Agrícola Ambient. 2014, 18, 971–979. [Google Scholar] [CrossRef]
- Spironello, A.; Raij, B.V.; Penatti, C.P.; Cantarella, H.; Morelli, J.L.; Filho, J.O.; Landell, M.G.A.; Rosseto, R. Outras culturas industriais. In Recomendações de Adubação e Calagem para o Estado de São Paulo, 2nd ed.; Raij Bernardo, V., Cantarella, H., Quaggio José, A., Furlani Ângela, M.C., Eds.; Instituto Agronômico: Campinas, Brazil, 1997; pp. 237–239. [Google Scholar]
- Benett, C.G.S.; Buzetti, S.; Silva, K.S.; Teixeira Filho, M.C.M.; de Paula Garcia, C.M.; Maestrelo, P.R. Produtividade e desenvolvimento da cana-planta e soca em função de doses e fontes de manganês. Rev. Bras. Ciência Solo 2011, 35, 1661–1667. [Google Scholar] [CrossRef][Green Version]




| Unit | Values | Limits a | |
|---|---|---|---|
| Chemical Features | |||
| pH (CaCl2) | - | 7.9 ± 0.15 | - b |
| Moisture (60–65 °C) | % | 33.9 ± 1.42 | - |
| Total moisture | % | 35.1 ± 1.51 | - |
| Total OM | g kg−1 | 230.4 ± 8.3 | - |
| CEC | mmolc dm−3 | 25.0 ± 4.62 | - |
| C/N | - | 11.0 ± 1.73 | - |
| Total N | g kg−1 | 10.5 ± 1.81 | - |
| Total P | g kg−1 | 13.2 ± 3.9 | - |
| Total K | g kg−1 | 8.0 ± 1 | - |
| Total Ca | g kg−1 | 30.6 ± 3.47 | - |
| Total Mg | g kg−1 | 9.5 ± 2.29 | - |
| Total S | g kg−1 | 6.2 ± 0.44 | - |
| Total Na | mg kg−1 | 4342.5 ± 3751.2 | - |
| As | mg kg−1 | 6.4 ± 2.34 | 20.0 |
| B | mg kg−1 | 17.0 ± 6.0 | - |
| Cd | mg kg−1 | 0.9 ± 0.29 | 3.0 |
| Cu | mg kg−1 | 178.0 ± 61.99 | - |
| Pb | mg kg−1 | 17.8 ± 10.18 | 150.0 |
| Cr | mg kg−1 | 65.7 ± 46.22 | - |
| Fe | mg kg−1 | 18,207.0 ± 788.01 | - |
| Mn | mg kg−1 | 435.0 ± 208.01 | - |
| Hg | mg kg−1 | 0.3 ± 0.07 | 1.0 |
| Mo | mg kg−1 | 6.0 ± 3.47 | - |
| Ni | mg kg−1 | 30.1 ± 3.4 | 70.0 |
| Zn | mg kg−1 | 679 ± 73.06 | - |
| Biological analysis | |||
| Salmonella sp. | MPN 10 g−1 | Absent | |
| Fecal coliform | MPN g−1 | 0 | |
| Viable helminth eggs | Eggs g−1 on dry weight | 0.12 | |
| Soil Attributes | Depth (0.0–0.25 m) | Depth (0.25–0.50 m) | ||||
|---|---|---|---|---|---|---|
| Equation | R2 | Test F | Equation | R2 | Test F | |
| OM | ŷ = 18.25 | - | ns | ŷ = 12.69 | - | ns |
| pH (CaCl2) | ŷ = 0.460x + 5.60 | 0.87 | 5.54 * | ŷ = 5.4 | - | ns |
| H + Al | ŷ = 0.13x2 − 1.245 x + 16.14 | 0.65 | 5.26 * | ŷ = 16.0 | - | ns |
| Al | ŷ = 0.0 | - | ns | ŷ = 0.0 | - | ns |
| SB | ŷ = 4.341x + 34.81 | 0.92 | 11.03 ** | ŷ = 33.26 | - | ns |
| BS | ŷ = 1.600x + 70.37 | 0.89 | 9.85 * | ŷ = 67.0 | - | ns |
| CEC | ŷ = 4.071x + 50.14 | 0.88 | 10.00 * | ŷ = 49.25 | - | ns |
| P | ŷ = 9.575x + 0.50 | 0.76 | 45.81 ** | ŷ = 5.31 | - | ns |
| K | ŷ = 1.66 | - | ns | ŷ = 1.26 | - | ns |
| Ca | ŷ = 3.110x + 22.77 | 0.82 | 9.28 * | ŷ = 21.75 | - | ns |
| Mg | ŷ = 1.200x + 10.50 | 0.85 | 9.42 * | ŷ = 10.25 | - | ns |
| S | ŷ = 3.75 | - | ns | ŷ = 3.62 | - | ns |
| B | ŷ = 0.15 | - | ns | ŷ = 0.10 | - | ns |
| Cu | ŷ = 0.131x + 0.79 | 0.94 | 25.72 ** | ŷ = 1.0 | - | ns |
| Fe | ŷ = 37.94 | - | ns | ŷ = 29.12 | - | ns |
| Mn | ŷ = 11.92 | - | ns | ŷ = 4.94 | - | ns |
| Zn | ŷ = 0.426x + 0.50 | 0.96 | 32.15 ** | ŷ = 0.035x + 0.34 | 0.89 | 8.08 * |
Publisher’s Note: MDPI stays neutral with regard to jurisdictional claims in published maps and institutional affiliations. |
© 2022 by the authors. Licensee MDPI, Basel, Switzerland. This article is an open access article distributed under the terms and conditions of the Creative Commons Attribution (CC BY) license (https://creativecommons.org/licenses/by/4.0/).
Share and Cite
Silva, R.d.S.; Jalal, A.; Nascimento, R.E.N.d.; Elias, N.C.; Kawakami, K.C.; Abreu-Junior, C.H.; Oliveira, F.C.; Jani, A.D.; He, Z.; Zhao, F.; et al. Composted Sewage Sludge Application Reduces Mineral Fertilization Requirements and Improves Soil Fertility in Sugarcane Seedling Nurseries. Sustainability 2022, 14, 4684. https://doi.org/10.3390/su14084684
Silva RdS, Jalal A, Nascimento RENd, Elias NC, Kawakami KC, Abreu-Junior CH, Oliveira FC, Jani AD, He Z, Zhao F, et al. Composted Sewage Sludge Application Reduces Mineral Fertilization Requirements and Improves Soil Fertility in Sugarcane Seedling Nurseries. Sustainability. 2022; 14(8):4684. https://doi.org/10.3390/su14084684
Chicago/Turabian StyleSilva, Rafael dos Santos, Arshad Jalal, Raimunda Eliane Nascimento do Nascimento, Nathércia Castro Elias, Karen Cossi Kawakami, Cassio Hamilton Abreu-Junior, Fernando Carvalho Oliveira, Arun Dilipkumar Jani, Zhenli He, Fengliang Zhao, and et al. 2022. "Composted Sewage Sludge Application Reduces Mineral Fertilization Requirements and Improves Soil Fertility in Sugarcane Seedling Nurseries" Sustainability 14, no. 8: 4684. https://doi.org/10.3390/su14084684
APA StyleSilva, R. d. S., Jalal, A., Nascimento, R. E. N. d., Elias, N. C., Kawakami, K. C., Abreu-Junior, C. H., Oliveira, F. C., Jani, A. D., He, Z., Zhao, F., Filho, M. C. M. T., Rossetto, R., Capra, G. F., & Nogueira, T. A. R. (2022). Composted Sewage Sludge Application Reduces Mineral Fertilization Requirements and Improves Soil Fertility in Sugarcane Seedling Nurseries. Sustainability, 14(8), 4684. https://doi.org/10.3390/su14084684

