Impact of Water and Land Resources Matching on Agricultural Sustainable Economic Growth: Empirical Analysis with Spatial Spillover Effects from Yellow River Basin, China
Abstract
:1. Introduction
2. Literature Review
3. Data, Methods, and Models
3.1. Estimation of Agricultural Water and Land Resources
3.1.1. Calculation of the Matching Coefficient of Agricultural Water and Land Resources in the Yellow River Basin
3.1.2. Calculation of Equivalent Coefficient of Agricultural Water and Land Resources in the Yellow River Basin
3.2. Spatial Correlation Test
3.3. Spatial Measurement Model Construction
3.4. Variable Selection and Data Sources
3.4.1. Variable Selection
3.4.2. Data Source and Variable Description
4. Empirical Results and Analysis
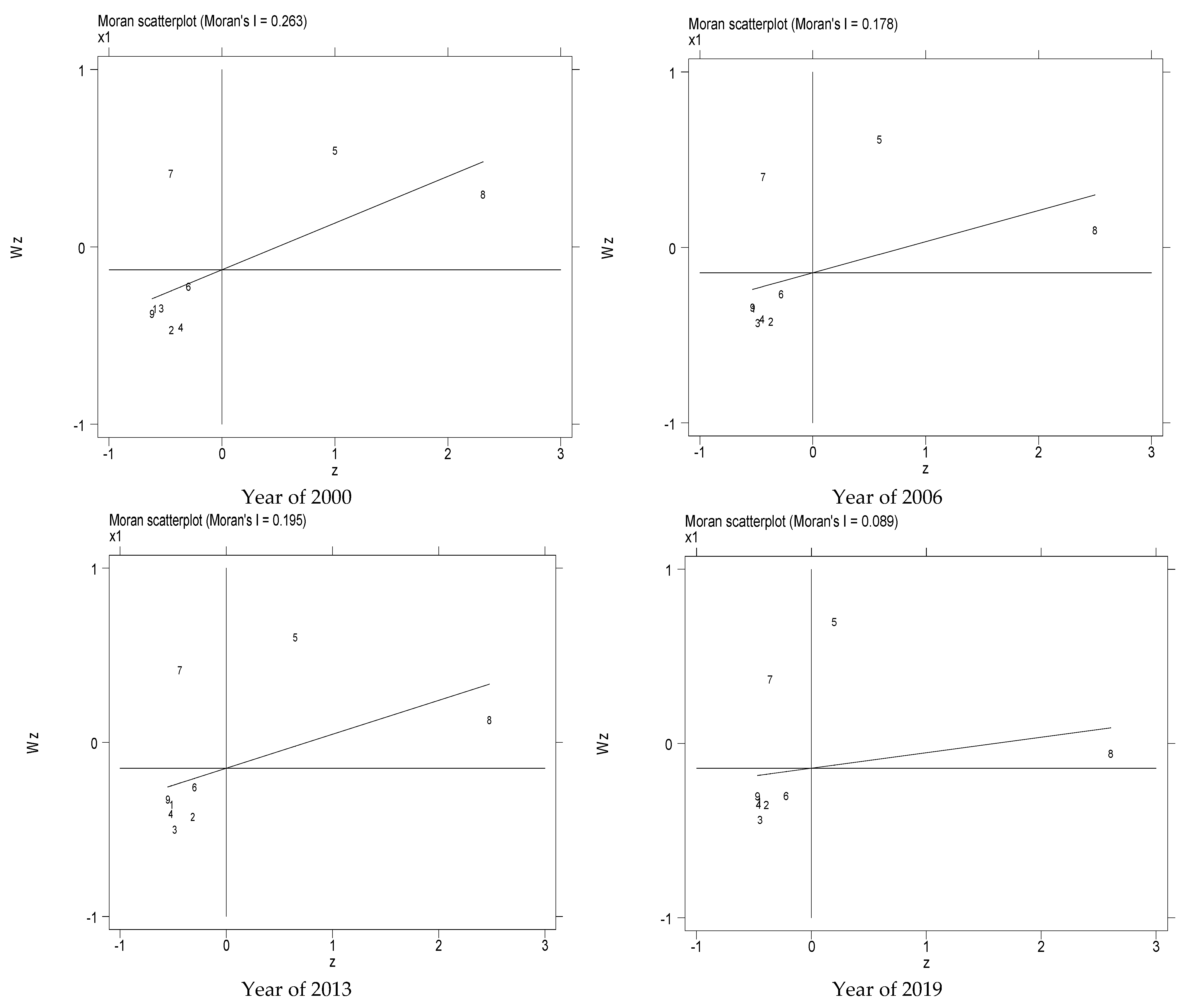
4.1. Spatial Correlation Analysis
4.1.1. Global Spatial Autocorrelation Analysis
4.1.2. Local Spatial Autocorrelation Analysis
4.2. Estimation Results and Analysis of Static Space Durbin Model
4.2.1. Selection of Model Estimation Form
4.2.2. Estimation Results and Analysis of Static Space Durbin Model
4.3. Estimation Results and Analysis of Dynamic Spatial Durbin Model
Analysis of Long-Term Effects
5. Conclusions and Policy Recommendations
5.1. Main Conclusions
5.2. Policy Recommendations
Author Contributions
Funding
Institutional Review Board Statement
Informed Consent Statement
Data Availability Statement
Conflicts of Interest
Appendix A
| Agricultural Water and Land Resources Matching Calculation Method | Definition | Advantages | Disadvantages | Representative Scholars |
|---|---|---|---|---|
| Agricultural Water and Land Resources Matching Coefficient Method | The temporal and spatial matching proportional relationship between agricultural available water resources and cultivated land resources, using the amount of water resources per unit of cultivated land as the calculation rule | It has strong data availability, mature methods, and strong operability | It may overestimate the degree of agricultural water and land matching and fail to identify the uneven distribution of water and land resources within the region | Liu, Y.S., et al. |
| Generalized Agricultural Soil and Water Resources Matching Coefficient Method | The proportional relationship between the matching of irrigation “blue water” and precipitation “green water” and cultivated land area | It emphasizes the contribution of regional precipitation “green water” to agricultural production | It fails to identify the uneven distribution of land and water resources within a region | Gao, Y., et al.; Xu, C.X., et al.; Liu, D.; Liu, C.L.; FU, Q., et al. |
| Gini coefficient method | The combination composed of multiple subregions is regarded as a whole, which is used to quantify the uneven distribution of water and land resources among the subregions | It helps to identify imbalances in the matching of land and water resources | It is impossible to quantitatively analyze the matching status of the overall water and land resources in a certain area | Masaki, Y.; Hanasaki, N.; Takahashi, K., et al. |
| Malmquist DEA method | The DEA-based water and soil resources matching model uses water resources and cultivated land resources as input indicators and agricultural output as output indicators to analyze the matching characteristics of water and soil resources | It pays attention to the degree of resource input and output and the efficiency of water and land resource utilization | It uses water resources and cultivated land resources as model inputs cannot fully reflect the influencing factors of agricultural output value | Xu, N.; Zhang, J.; Zhang, R.Z., et al. |
| Comprehensive use method of matching coefficient of water and land resources and Gini coefficient | By calculating the matching coefficient of water and land resources, the matching status of water and land resources in a certain area can be obtained, and then the Gini coefficient can be calculated to further analyze the uneven distribution of water and soil resources within the region | It consider the relationship between the amount of water resources and the amount of cultivated land in the region, as well as the balance of distribution in the region | It ignore the characteristics of water resources in different regions | Li, T.X.; Fu, Q.; Meng, F.X. |
| First-Level Indicator | Second-Level Indicator | Related Explanation |
|---|---|---|
| Agricultural economic growth | Gross output value of agriculture, forestry, animal husbandry, and fishery | This paper selects the total output value of agriculture, forestry, animal husbandry, and fishery to measure the agricultural economic growth of the provinces in the Yellow River Basin. In order to eliminate the impact of price changes, the regional GDP is set at a constant price in 2000, and then calculate the actual total output value of agriculture, forestry, animal husbandry, and fishery in each province based on the total output value index of agriculture, forestry, animal husbandry, and fishery. |
| Matching of water and land resources | Agricultural water and land resources matching coefficient | The matching coefficient of agricultural water and land resources is used to measure the temporal and spatial matching degree of water resources and land resources in agricultural development. The more water resources per unit land area, the higher the matching degree, and the better the agricultural production conditions. Therefore, this paper adopts the unit arable land area–total water resources method to measure the matching coefficient of agricultural water and land resources. |
| Capital | Capital stock | This article selects the capital stock of each city from 2000 to 2019 and draws on Zhang, J.’s interprovincial capital stock method for calculation. The adjusted calculation formula is as follows: , where is the rural capital stock and is the rural capital stock of the previous year; is the total fixed capital investment in rural areas; represents the province ; represents the year ; is the depreciation rate, which is 9.6%. |
| Labor force | Rural workers | The labor force chooses the rural workers index, which is measured by the total number of people engaged in agriculture, forestry, animal husbandry, and fishery |
| Human capital | Rural human capital | In this paper, rural human capital is measured by the average years of education; specifically, 6 years for elementary school, 9 years for junior high school, 12 years for high school, and 16 years for junior college and above. Its specific calculation formula is as follows: hc = [(∑Number of people with primary school education × 6 + (∑Number of people with junior high school education × 9) + (∑Number of people with high school education × 12) + ∑Number of people with college education and above × 16)]/total number of employees. |
| Technological innovation | Total power of agricultural machinery | Agricultural mechanization is an important symbol that reflects the level of agricultural technology; the total power of agricultural machinery can be selected to represent the degree of agricultural technology innovation |
| Government spending | Agricultural fiscal expenditure | The government’s support and subsidies for agriculture are an important source of funds for agricultural development; so, it is necessary to consider the government’s financial expenditure on agriculture. We specifically selected the financial expenditure for agriculture, forestry, and water affairs. |
| Possible Results | Policy Tool Selection | Policy Recommendations | Implementation Risk | |
|---|---|---|---|---|
| Short-term direct effects | significantly positive | Direct regulatory policy tools | All regions should continue to strengthen land resource protection and cultivated land red line management, and strictly manage water resources. | Inflexibility, dynamic inefficiency, it may cost social welfare. |
| Short-term indirect effects | significantly negative(economic geographical distance) | Institutional policy tools | All provinces should coordinate and improve the water rights transfer and compensation system, and explore the linkage mechanism of the regulation of water use indicators and land indicators. | The cost of damage and vested interests must be considered under the framework of regional agreements. The cost of damage is too high and there is a lack of fairness. |
| Short-term total effects | significantly positive(geographical distance is stronger than economical geographic distance) | Social policy tools | Local agricultural departments should strengthen the protection of land and water ecology in the Yellow River Basin. They should strictly prevent and control agricultural water and land pollution, improve the self-purification ability of soil and water environment of farmland, and reduce water shortage and cropland reduction caused by humans. The governments of neighboring provinces should strengthen the coordinated distribution of water and land resources and jointly promote the efficient use of water resources. | Under the framework of regional agreements, it is necessary to ensure that information is open and sufficient, and the time lag for effectiveness is long. |
| Long-term direct effects | significantly negative | Economic and legal policy tools | Relevant government departments should adhere to the system first, provide legislative protection, and insist on determining land and production by water. The three-pronged approach of economic, legal, and administrative measures shall guide the transformation of agricultural production methods and promote the transformation of agricultural water use methods to intensive transformation. | Market supervision and law enforcement are difficult; it is difficult to form a unified measurement standard, and the cost of trial and error is high. |
| Long-term indirect effects | no significant effect | Social policy tools | The Yellow River Water Conservancy Commission should urge all provinces to establish water ecological corridors to strengthen the connectivity, integration, and improvement of rural water systems in various provinces and river basins. The government should enrich the water resources network system and strengthen the construction of flood containment and flood storage projects to maximize the rational distribution of water and land resources across time and space, and reduce the negative impact of water and land resource mismatch between provinces. | Coordination between local governments. |
| Long-term total effects | significantly negative | Technology policy tools | All regions and departments should explore the efficient and dynamic implementation of the mechanism of collaborative negotiation and water division in the upper, middle, and lower reaches of the Yellow River. They should improve the water resources management and distribution system, improve the big data full-time and whole-basin supervision system, monitor in real time, and perform effective dynamic management. Relevant departments regularly analyze and flexibly adjust the water resource allocation plan to maximize the balance of water use and water conservation in agriculture in various regions. | Implementation costs are too high. |
References
- Fang, L.N.; Yin, C.B.; Fang, Z. The promotion path of high-quality agricultural development in the Yellow River Basin. China Agric. Resour. Reg. 2021, 12, 16–22. [Google Scholar]
- Lal, R.; Griffin, M.; Apt, J. Ecology. Managing soil carbon. Science 2004, 304, 393. [Google Scholar] [CrossRef] [PubMed] [Green Version]
- Fei, W.; Mu, X.; Li, R. Co-evolution of soil and water conservation policy and human–environment linkages in the yellow river basin since 1949. Sci. Total Environ. 2015, 508, 166–177. [Google Scholar]
- Zhu, X.M.; Ren, M.E. The formation process and remediation countermeasures of the Chinese Loess Plateau. Chin. Hist. Geotheory Ser. 1991, 4, 1–14. [Google Scholar]
- Shan, l.; Xu, B.C. Discussion on issues related to returning farmland to forest (grass) on the Loess Plateau in the new era. Bull. Soil Water Conserv. 2019, 6, 295–297. [Google Scholar]
- Zhao, W. Sediment of the Yellow River; Yellow River Conservancy Press: Zhengzhou, China, 1996; pp. 35–55, 796–798. (In Chinese) [Google Scholar]
- Walling, D.E.; Webb, B.W. Erosion and sediment yield: A global overview. In Erosion and Regional Perspectives; Walling, D.E., Webb, B., Eds.; IAHS Press: Wallingford, UK, 1996; pp. 3–19. [Google Scholar]
- Jiang, Q.X.; Fu, Q.; Wang, Z.L. Spatial matching pattern of water and land resources in the Sanjiang Plain. J. Nat. Resour. 2011, 26, 270–277. [Google Scholar]
- Meng, Q. Soil and Water Conservation of Loess Plateau; Yellow River Conservancy Press: Zhengzhou, China, 1997; pp. 509–522. (In Chinese) [Google Scholar]
- Hua, J.; Sheng, X.H. Measurement and spatiotemporal analysis of water and soil resources damping effect on grain production in nine provinces along the Yellow River. China Popul. Resour. Environ. 2021, 8, 148–156. [Google Scholar]
- Hu, S.H.; Cheng, Q.H.; Zhang, G.H. Analysis on the utilization trend of water resources in the Yellow River Basin. Chin. J. Water Resour. Water Eng. 2012, 2, 113–115. [Google Scholar]
- Liu, C.M. Some Understandings of Ecological Protection and High-quality Development in the Yellow River Basin. People’s Yellow River 2019, 10, 158. [Google Scholar]
- Liu, J.; Mei, X.R.; Lian, Y.Y. Research on the optimal allocation of water and soil resources in the high-quality development of agriculture in the Yellow River Basin. Agric. Resour. Zoning China 2021, 11, 1–18. [Google Scholar]
- Ministry of Agriculture and Rural Affairs. 2019 National Cultivated Land Quality Grade Bulletin. China Compr. Agric. Dev. 2020, 6, 6–12. [Google Scholar]
- Wang, H.L.; Qin, T.L.; Yan, D.H. The development trend, crux and comprehensive response of water problems in the Yellow River Basin. People’s Yellow River 2020, 9, 107–111. [Google Scholar]
- Liu, Y.S.; Gan, H.; Zhang, F.G. The matching pattern of agricultural water and land resources in Northeast China. Acta Geogr. Sin. 2006, 61, 847–854. [Google Scholar]
- Yao, H.J.; Zhou, H.F.; Su, F.C. Looking at the water problems in Central Asia from the matching relationship of water and land resource. Arid Zone Res. 2013, 30, 391–395. [Google Scholar]
- Ji, Y.; Yang, Q.; Lin, A.W. Spatial-temporal differentiation characteristics of water and landresource structure and productivity in Jianghan Plain. Bull. Landand Water Conserv. 2016, 36, 320–325. [Google Scholar]
- Xu, C.X.; Lin, J.T.; Song, M. Water and land matching, spatial effects and regional agricultural economic growth—Based on the empirical analysis of China 2003–2013. China Popul. Resour. Environ. 2016, 26, 153–158. [Google Scholar]
- Wen, Q.; Meng, T.X.; Yun, Y.H. Spatial and temporal differentiation and matching pattern of agricultural water and land resources in Henan Province. Res. Landand Water Conserv. 2017, 24, 233–239. [Google Scholar]
- Huang, F.H.; Huang, B.S.; Qiu, J. Research on spatial equilibrium of water resources in Guangdong Province based on equilibrium coefficients. J. Sun Yat-sen Univ. 2021, 61, 1–8. [Google Scholar]
- Xu, N.; Zhang, J.; Zhang, R.Z. Research on the matching characteristics of agricultural water and land resources based on DEA—Taking 5 watersheds in Gansu Province as an example. China Agric. Resour. Reg. 2020, 41, 277–285. [Google Scholar]
- Wang, J.Y.; Xin, L.J.; Da, L.F. Changes in the matching pattern of agricultural water and land resources in typical mountainous areas in China: Taking Taihang Mountain, Hengduan Mountain, and Guizhou-Guizhou Karst Mountain as examples. Geogr. Res. 2020, 39, 1879–1891. [Google Scholar]
- Gao, Y.; Qi, X.B.; Li, P. Spatial and temporal matching characteristics of agricultural water and land resources in the Yellow River Basin. J. Irrig. Drainage. 2021, 40, 1–6. [Google Scholar]
- Zheng, J.Y.; Zhao, X.N.; Cao, X.C. Study on spatial-temporal matching pattern of agricultural water and land resources in Hetao irrigation district. Res. Soil Water Conserv. 2015, 3, 132–136. [Google Scholar]
- Nan, J.Q.; Wang, J.L.; Tao, G.T. Matching patterns of agricultural soil and water resources in northwest arid area. J. Irrig. Drain. 2015, 34, 41–45. [Google Scholar]
- Liu, D.; Liu, C.L.; Fu, Q. Construction and application of a refined index for measuring the regional matching characteristics between water and land resources. Ecol. Indic. 2018, 91, 203–211. [Google Scholar] [CrossRef]
- Xu, N.; Zhang, J.; Zhang, R.Z. Research on the utilization efficiency and matching characteristics of agricultural water and land resources in Gansu inland river basin based on Malmquist DEA. China Agric. Sci. Technol. Rev. 2020, 22, 115–122. [Google Scholar]
- Wu, Y.Z.; Bao, H.J. Regional Gini coefficient and its application in matching analysis of regional water and land resources. J. Landand Water Conserv. 2003, 5, 123–125. [Google Scholar]
- Zhang, X.T.; Yu, F.W. Analysis on the matching status of economic development and water resources in the Yellow River Basin. China Popul. Resour. Environ. 2012, 22, 1–6. [Google Scholar]
- Peng, L.; Deng, W.; Tan, J. The matching relationship between the utilization of water and land resources and economic growth in the Hengduan Mountains. Acta Geogr. Sin. 2020, 75, 1996–2008. [Google Scholar]
- Fan, H.L.; Fu, W.G. my country’s agricultural water and landresource matching and agricultural economic growth from the perspective of water footprint: Taking the Yangtze River Economic Belt as an example. China Agric. Resour. Reg. Plan. 2020, 41, 193–203. [Google Scholar]
- Li, X.Y.; Hao, J.M.; Chen, A.Q. Spatial-temporal matching pattern and evaluation of agricultural water and land resources in Shandong Province. J. China Agric. Univ. 2020, 25, 1–11. [Google Scholar]
- Geng, Q.; Wu, P.; Zhao, X. A framework of indicator system for zoning of agricultural water and land resources utilization: A case study of Bayan Nur, Inner Mongolia. Ecol. Indic. 2014, 40, 43–50. [Google Scholar] [CrossRef]
- Song, M.L.; Wang, S.H.; Huang, B. Spatial measurement of industrial agglomeration and diffusion in six provinces in central China. Geogr. Res. 2012, 30, 534–544. [Google Scholar]
- Anselin, L. Local Indicators of Spatial Association: LISA. Geogr. Anal. 1995, 27, 93–115. [Google Scholar] [CrossRef]
- Bai, J.H.; Wang, Y.; Jiang, F.X.; Li, J. The flow of R&D factors, spatial knowledge spillover and economic growth. Econ. Res. 2017, 52, 109–123. [Google Scholar]
- Ji, Y.; Xue, J.; Zhong, K. Does Environmental Regulation Promote Industrial Green Technology Progress? Empirical Evidence from China with a Heterogeneity Analysis. Int. J. Environ. Res. Public Health 2022, 19, 484. [Google Scholar] [CrossRef] [PubMed]
- Zhang, J.; Wu, G.Y.; Zhang, J.P. China’s inter-provincial material capital stock estimation: 1952–2000. Econ. Res. 2004, 39, 35–44. [Google Scholar]
- Sun, Z.; Jia, S.F.; Yan, J.B. Research on background matching status of land and water resources in China. J. Nat. Resources. 2018, 33, 2057–2066. [Google Scholar]
- Zhong, K.Y. Does the digital finance revolution validate the Environmental Kuznets Curve? Empirical findings from China. PLoS ONE 2022, 17, 119. [Google Scholar] [CrossRef]
- Wang, Y.D.; Zuo, Q.T.; Liu, H. Analysis of matching characteristics and balance of water and land resources in Henan Province. People’s Yellow River 2018, 40, 55–59, 64. [Google Scholar]
- Riquelme, F.J.; Ramos, A.B. Land and water use management in vine growing by using geographic information systems in Castilla-La Mancha, Spain. Agric. Water Manag. 2005, 77, 1–95. [Google Scholar] [CrossRef]
- Yang, Y.; Wu, C.; Luo, G.H. Research on the “growth damping” of China’s land and water resources on the economy. Econ. Geogr. 2007, 12, 529–532, 537. [Google Scholar]
- Huang, X.H.; Lu, Q.; Wang, L. Research on Capital Endowment, Ecological Cognition and Farmers’ Water and land Conservation Technology Adoption Behavior—Based on the Regulatory Effect of Ecological Compensation Policies. Agric. Technol. Econ. 2020, 39, 33–44. [Google Scholar]
- Zhong, K.Y.; Wang, Y.F.; Pei, J.M.; Tang, S.M.; Han, Z.L. Super Efficiency SBM-DEA and Neural Network for Performance Evaluation. Inf. Process. Manag. 2021, 58, 102728. [Google Scholar] [CrossRef]
- Thomas, J.; Joseph, S.; Thrivikramji, K.P. Assessment of landerosion in a tropical mountain river basin of the southern Western Ghats, India using RUSLE and GIS. Geosci. Front. 2018, 9, 893–906. [Google Scholar] [CrossRef]
- Brown, L.R.; Brian, H. China’s water shortage could shake world food security. World Watch 1998, 11, 10–18. [Google Scholar]
- López-Moreno, J.I.; Morán-Tejeda, E.; Vicente Serrano, S.M. Impact of climate evolutionand land use changes on water yield in the Ebro basin. Hydrol. Earth Syst. 2011, 15, 311–322. [Google Scholar] [CrossRef] [Green Version]
- Stefan, B.; Janez, P.; Heinz, S. Multi-Scale Governance of Sustainable Natural Resource Use—Challenges and Opportunities for Monitoring and Institutional Development at the National and Global Level. Sustainability 2016, 8, 778. [Google Scholar]




| Province | Agricultural Water and Land Resources Matching Coefficient | Agricultural Water and Land Resources Equivalent Coefficient | Degree of Shortage of Agricultural Water and Land Resources |
|---|---|---|---|
| Shanxi | 0.1431 | 1.4142 | Relative shortage of water resources |
| Inner Mongolia | 0.4464 | 2.7401 | Relative shortage of water resources |
| Shandong | 0.2805 | 1.3663 | Relative shortage of water resources |
| Henan | 0.3008 | 0.8724 | Relative abundance of water resources |
| Sichuan | 3.3066 | 0.2363 | Relative abundance of water resources |
| Shaanxi | 0.9254 | 1.0506 | Relative balance |
| Gansu | 0.4647 | 3.4063 | Relative shortage of water resources |
| Qinghai | 9.3734 | 0.0412 | Relative abundance of water resources |
| Ningxia | 0.0767 | 32.7365 | Relative shortage of water resources |
| Variables | Unit | Sample Size | Mean | Standard Deviation | Minimum | Maximum |
|---|---|---|---|---|---|---|
| Total output value of agriculture, forestry, animal husbandry, and fishery (tv) | Tens of billions yuan | 180 | 23.9030 | 25.4690 | 0.5700 | 96.7170 |
| Agricultural water and land resources matching coefficient (mc) | Ten thousand m3/hm3 | 180 | 1.7000 | 2.9750 | 0.0460 | 12.4860 |
| Capital stock (ca) | Tens of billions yuan | 180 | 18.1140 | 26.4800 | 0.0170 | 136.4650 |
| Rural human capital (hc) | Hour | 180 | 8.1420 | 0.4320 | 7.3190 | 9.8860 |
| Rural workers (rw) | Million people | 180 | 17.8040 | 15.5630 | 1.7200 | 49.1500 |
| Total power of agricultural machinery (am) | Million kilowatts | 180 | 35.9140 | 35.5500 | 2.5620 | 135.0000 |
| Agricultural fiscal expenditure (ae) | Tens of billions yuan | 180 | 2.9840 | 3.0780 | 0.0480 | 12.4110 |
| Variables | Dependent Variable: Agricultural Economic Growth | Core Variable: Matching Coefficient of Agricultural Water and Land Resources | ||
|---|---|---|---|---|
| Times | Moran’s I | Z Value | Moran’s I | Z Value |
| 2000 | 0.3510 ** | 2.1240 | 0.2630 ** | 2.2560 |
| 2001 | 0.3590 ** | 2.1730 | 0.3470 *** | 2.7670 |
| 2002 | 0.3490 ** | 2.1110 | 0.3120 ** | 2.5400 |
| 2003 | 0.3340 ** | 2.0950 | 0.2080 ** | 0.0270 |
| 2004 | 0.3390 ** | 2.0730 | 0.2180 ** | 2.3040 |
| 2005 | 0.3350 ** | 2.0450 | 0.1830 ** | 2.2580 |
| 2006 | 0.3260 ** | 2.0210 | 0.1780 ** | 0.0240 |
| 2007 | 0.2760 ** | 1.7740 | 0.1940 ** | 2.2820 |
| 2008 | 0.3130 ** | 1.9540 | 0.2130 ** | 2.2890 |
| 2009 | 0.3510 ** | 2.1480 | 0.1080 ** | 2.2170 |
| 2010 | 0.3630 ** | 2.1900 | 0.1540 ** | 2.2000 |
| 2011 | 0.3110 ** | 1.9430 | 0.2210 ** | 0.0230 |
| 2012 | 0.2950 ** | 0.0630 | 0.1720 ** | 2.3470 |
| 2013 | 0.3120 ** | 1.9580 | 0.1950 ** | 2.2870 |
| 2014 | 0.3130 ** | 1.9640 | 0.0730 ** | 2.1370 |
| 2015 | 0.2870 * | 1.8400 | 0.0880 ** | 2.1060 |
| 2016 | 0.2550 * | 1.6700 | 0.1050 ** | 2.2470 |
| 2017 | 0.2500 * | 1.6470 | 0.0800 ** | 2.1670 |
| 2018 | 0.2430 | 1.6130 | 0.0900 ** | 2.3070 |
| 2019 | 0.2300 | 1.5410 | 0.0890 ** | 2.2400 |
| Test Type | LR Test (sdm sar) | LR Test (sdm sem) | Wald Test (sar) | Wald Test (sem) | Hausman Test |
|---|---|---|---|---|---|
| 0–1 matrix | 63.0000 (0.0000) | 126.0000 (0.0000) | 73.3300 (0.0000) | 58.0700 (0.0000) | 13.7300 (0.0328) |
| Comprehensive Weight Matrix of Economic Geography | 51.0000 (0.0000) | 15.0000 (0.0000) | 25.7300 (0.0002) | 31.5400 (0.0000) | 121.2700 (0.0000) |
| Models | The Durbin Model of Geographic Adjacency Matrix Space | The Spatial Durbin Model of Comprehensive Weight Matrix for Economic Geography | ||||||||
|---|---|---|---|---|---|---|---|---|---|---|
| Variables | Main | Wx | Direct Effect | Indirect Effect | Total Effect | Main | Wx | Direct Effect | Indirect Effect | Total Effect |
| mc | −0.1390 | 1.3982 ** | −0.2096 | 1.2651 ** | 1.0554 * | 0.0665 | −0.3431 | 0.0974 | −0.3189 | −0.2216 |
| (−0.270) | (0.6801) | (0.2851) | (0.6419) | (0.6265) | (0.3086) | (0.5814) | (0.3152) | (0.5247) | (0.6332) | |
| ca | 0.0372 * | 0.1386 *** | 0.0285 | 0.1174 *** | 0.1459 *** | 0.0747 *** | 0.1500 *** | 0.0671 *** | 0.1156 * | 0.1827 *** |
| (0.0220) | (0.0413) | (0.0226) | (0.0338) | (0.0286) | (0.0227) | (0.0686) | (0.0236) | (0.0616) | (0.0594) | |
| hc | −0.0859 | −5.1262 ** | 0.2904 | −4.4114 ** | −4.1211 * | 0.3395 ** | 1.7544 | 0.3471 ** | 1.6282 | 1.9753 ** |
| (0.9937) | (2.4876) | (0.9805) | (2.2091) | (2.2420) | (1.2281) | (2.3393) | (1.1469) | (1.8968) | (2.3604) | |
| rw | −1.322 *** | −0.5026 | −1.319 *** | −0.2013 | −1.5202 | −1.4895 ** | 1.0344 *** | −1.5720 ** | 1.2072 *** | −0.3649 |
| (0.2155) | (0.4925) | (0.2155) | (0.4482) | (0.4498) | (0.2583) | (0.5172) | (0.2522) | (0.4365) | (0.4733) | |
| am | 0.5909 *** | −0.0659 | 0.6039 *** | −0.1708 | 0.4332 ** | 0.4671 *** | 0.1589 *** | 0.4652 *** | 0.0408 | 0.5060 *** |
| (0.0484) | (0.0958) | (0.0508) | (0.0807) | (0.0639) | (0.0417) | (0.1176) | (0.0421) | (0.0930) | (0.0937) | |
| ae | 4.2389 *** | 4.3929 *** | 4.0413 *** | 3.2496 | 7.2908 *** | 3.6855 *** | 2.8926 *** | 3.5897 *** | 1.8751 ** | 5.4648 *** |
| (0.3077) | (0.8568) | (0.2967) | (0.6608) | (0.7825) | (0.3104) | (0.9901) | (0.3027) | (0.7525) | (0.8159) | |
| R2 | 0.8625 | — | — | — | — | 0.8886 | — | — | — | — |
| Log−l | −395.2364 | — | — | — | — | −432.3894 | — | — | — | — |
| rho | −0.1951 * | — | — | — | — | −0.2179 * | — | — | — | — |
| (0.1067) | — | — | — | — | (0.1295) | — | — | — | — | |
| sigma2 | 4.6764 *** | — | — | — | — | 6.1944 *** | — | — | — | — |
| (0.4961) | — | — | — | — | (0.6081) | — | — | — | — | |
| Dynamic Spatial Durbin Model of Geographic Adjacency Matrix | Dynamic Spatial Durbin Model of Synthetic Weight Matrix | ||||||
|---|---|---|---|---|---|---|---|
| tv | 1.4248 *** | W * tv | 0.2724 *** | tv | 1.3682 *** | W * tv | 0.2439 ** |
| (0.03398) | (0.0849) | (0.0272) | (0.1009) | ||||
| mc | 0.7302 *** | W * mc | 0.5043 | mc | 0.7124 *** | W * mc | −0.02730 |
| (0.1493) | (0.3167) | (0.1326) | (0.1839) | ||||
| ca | −0.0227 * | W * ca | 0.1428 *** | ca | 0.0911 *** | W * ca | −0.0059 |
| (0.0127) | (0.0189) | (0.0109) | (0.0251) | ||||
| hc | 9.0961 *** | W * hc | 40.8610 *** | hc | 18.4305 *** | W * hc | 38.7227 *** |
| (0.5552) | (1.1262) | (0.5086) | (0.8370) | ||||
| rw | −0.2712 ** | W * rw | 2.0216 *** | rw | 0.6202 *** | W * rw | 2.2507 *** |
| (0.1281) | (0.2363) | (0.1215) | (0.2269) | ||||
| am | −0.1787 *** | W * am | −0.1222 ** | am | −0.02156 * | W * am | −4165 *** |
| (0.0329) | (0.0501) | (0.0225) | (0.0473) | ||||
| ae | −2.8431 *** | W * ae | −4.4573 *** | ae | −2.4693 *** | W * ae | −5.7890 *** |
| (0.1797) | (0.3001) | (0.1649) | (0.3562) | ||||
| R2 | 0.9187 | — | — | R2 | 0.8675 | — | — |
| Log−l | −830.3283 | — | — | Log−l | −1096.4492 | — | — |
| rho | 0.1057 | — | — | rho | 0.0997 | — | — |
| (0.0705) | — | — | (0.08228) | — | — | ||
| sigma2 | 2.7287 *** | — | — | sigma2 | 3.2513 *** | — | — |
| (0.1603) | — | — | (0.1498) | — | — | ||
| Variables | Short-Term Direct Effect | Short-Term Indirect Effect | Short-Term Total Effect | Long-Term Direct Effect | Long-Term Indirect Effect | Long-Term Total Effect |
|---|---|---|---|---|---|---|
| mc | 0.7333 *** | 0.4125 | 1.1459 *** | −1.7108 *** | −0.4601 | −2.1709 *** |
| (0.1475) | (0.3011) | (0.2709) | (0.3959) | (0.7227) | (0.5679) | |
| ca | −0.0274 ** | 0.1371 *** | 0.1097 *** | 0.0958 ** | −0.3043 *** | −0.2085 *** |
| (0.0131) | (0.0174) | (0.0168) | (0.0376) | (0.04209) | (0.0438) | |
| hc | 7.8594 *** | 37.4497 *** | 45.3092 *** | −11.2918 *** | −74.3818 *** | −85.6737 *** |
| (0.9524) | (2.2441) | (2.9945) | (4.3836) | (6.8494) | (10.7555) | |
| rw | −0.3287 ** | 1.9408 *** | 1.6121 *** | 1.2217 *** | −4.2627 *** | −3.0411 *** |
| (0.1355) | (0.2452) | (0.2764) | (0.4343) | (0.5128) | (0.5749) | |
| am | −0.1765 *** | −0.0938 * | −0.2749 *** | 0.4100 *** | 0.1049 | 0.5149 *** |
| (0.0345) | (0.0529) | (0.0461) | (0.9101) | (0.1184) | (0.0732) | |
| ae | −2.7202 *** | −3.8920 *** | −6.6121 *** | 5.8307 *** | 6.6706 *** | 12.5014 *** |
| (0.1918) | (0.4622) | (0.4966) | (0.5903) | (1.3675) | (1.6185) |
| Variables | Short-Term Direct Effect | Short-Term Indirect Effect | Short-Term Total Effect | Long-Term Direct Effect | Long-Term Indirect Effect | Long-Term Total Effect |
|---|---|---|---|---|---|---|
| mc | 0.7182 *** | −0.0775 | 0.6507 *** | −2.0749 *** | 0.6463 | −1.4286 *** |
| (0.1281) | (0.1768) | (0.1911) | (0.3839) | (0.5672) | (0.4964) | |
| ca | 0.0913 *** | −0.0123 | 0.0790 *** | −0.2603 *** | 0.0882 | −0.1722 *** |
| (0.0111) | (0.0244) | (0.0233) | (0.0351) | (0.0704) | (0.0567) | |
| hc | 17.6015 *** | 34.7180 *** | 52.3196 *** | −42.5076 *** | −71.7096 *** | −114.2172 *** |
| (0.8161) | (3.3345) | (4.0033) | (4.1825) | (16.4003) | (20.3246) | |
| rw | 0.5766 *** | 2.0759 *** | 2.6525 *** | −1.1919 *** | −4.5815 *** | −5.7735 *** |
| (0.1279) | (0.2905) | (0.3369) | (0.4458) | (0.8657) | (1.0850) | |
| am | −0.0126 | −0.3915 *** | −0.4041 *** | −0.0470 | 0.9232 *** | 0.8761 *** |
| (0.0258) | (0.0534) | (0.0591) | (0.0896) | (0.1362) | (0.1589) | |
| ae | −2.3447 *** | −5.2183 *** | −7.5630 *** | 5.5288 *** | 10.9628 *** | 16.4916 *** |
| (0.1867) | (0.6009) | (0.6922) | (0.8068) | (2.3142) | (2.9246) |
Publisher’s Note: MDPI stays neutral with regard to jurisdictional claims in published maps and institutional affiliations. |
© 2022 by the authors. Licensee MDPI, Basel, Switzerland. This article is an open access article distributed under the terms and conditions of the Creative Commons Attribution (CC BY) license (https://creativecommons.org/licenses/by/4.0/).
Share and Cite
Zhou, Y.; Li, W.; Li, H.; Wang, Z.; Zhang, B.; Zhong, K. Impact of Water and Land Resources Matching on Agricultural Sustainable Economic Growth: Empirical Analysis with Spatial Spillover Effects from Yellow River Basin, China. Sustainability 2022, 14, 2742. https://doi.org/10.3390/su14052742
Zhou Y, Li W, Li H, Wang Z, Zhang B, Zhong K. Impact of Water and Land Resources Matching on Agricultural Sustainable Economic Growth: Empirical Analysis with Spatial Spillover Effects from Yellow River Basin, China. Sustainability. 2022; 14(5):2742. https://doi.org/10.3390/su14052742
Chicago/Turabian StyleZhou, Yujiao, Weifeng Li, Huihui Li, Zhen Wang, Bei Zhang, and Kaiyang Zhong. 2022. "Impact of Water and Land Resources Matching on Agricultural Sustainable Economic Growth: Empirical Analysis with Spatial Spillover Effects from Yellow River Basin, China" Sustainability 14, no. 5: 2742. https://doi.org/10.3390/su14052742
APA StyleZhou, Y., Li, W., Li, H., Wang, Z., Zhang, B., & Zhong, K. (2022). Impact of Water and Land Resources Matching on Agricultural Sustainable Economic Growth: Empirical Analysis with Spatial Spillover Effects from Yellow River Basin, China. Sustainability, 14(5), 2742. https://doi.org/10.3390/su14052742

