Abstract
Achieving the improvement of water resource efficiency is the common key foundation for the country to promote the adjustment of the energy structure, promote the development of low-carbon technology and environmental protection, cope with global climate change, and achieve the strategic goal of “carbon peaking and carbon neutralization”. The study explores the role of green finance and water resource utilization efficiency in high-quality economic development (HQED). The development index of resource utilization efficiency constructs an indicator system of HQED from three dimensions of HQED capability, structure, and benefit, constructs a spatial lag model, introduces a nested matrix, and empirically studies their spatial effect. The mediating effect of water resource utilization efficiency was verified using the mediating effect model. According to the empirical analysis, the results are as follows: (1) green finance and water resource utilization efficiency are important influencing factors for promoting HQED, and green finance can promote HQED with direct short-term effects but no direct effects in the long term; (2) the short-term direct effect of water resource utilization efficiency can also improve HQED and has no effect in the long term; (3) the short-term effect of the interaction term of green finance and water resource utilization efficiency exists as a negative effect, but the long-term, indirect, and total effect cannot affect HQED; (4) green finance and water resource utilization efficiency show no spatial effect on HQED; green finance has an incomplete intermediary role in promoting HQED.
1. Introduction
Facing the trend that the earth is warming year by year, the shortage of water resources and water environment deterioration coexist [1]. Facing the increasingly complex water environment situation, the living environment and economic development quality of many developing countries in the world are facing more and more severe challenges [2]. Achieving the improvement of water resource efficiency is the common key foundation for the country to promote adjustments in the energy structure, promote the development of low-carbon technology and environmental protection, cope with global climate change, and achieve the strategic goal of “carbon peaking and carbon neutralization”. With the image of a responsible big country, the Chinese government proposes to: ensure water supplies and ecological security; properly handle the development and protection of water resources; adhere to respecting the laws of nature and social development; achieve harmony between people and water; and insist on good coordination between domestic, production, and ecological water use through reform, innovation and the policy proposition of improving water resource management and mechanisms [3]. To this end, the Chinese government has taken specific measures to improve high-quality economic development (HQED) [4]. To achieve this goal, the Chinese government through green finance means to implement emission reduction, industrial sewage processing and treatment, reduce industrial pollution, vigorously develop green agriculture, reduce agricultural pollution, implement rainwater and domestic sewage diversion, promote sewage treatment, and make every effort to promote HQED [5]. So, can green finance promote HQED? What impact does water resource utilization efficiency have on HQED? The final result of HQED is the emergence of a combination of factors. So, will the combination of them have a different impact on HQED than its single-factor impact? What is the mechanism? Clarifying these issues can help governments to improve green financial policies and formulate policies for the supervision and management of water resource utilization; it has a great practical significance for promoting HQED in China and is beneficial to developing countries in order to carry out energy emission reduction, strengthen water resource management, and promote industries’ transformation.
The Yangtze River Economic Belt is an ecological protection demonstration area designated by the Chinese government [6,7]. In this region, efforts should be made to jointly focus on large-scale protection, not large-scale development and implement green development under the condition of ecological protection, promoting the goal of HQED in the entire region. For this reason, green finance, water resource utilization efficiency, and HQED are integrated into the same research system, and the direct and spatial effects of green finance and water resource utilization efficiency on HQED in the specific these regions are examined, and we also examine their joint action impact on the HQED. At the same time, it is tested whether green finance acts as an intermediary effect of the impact of water utilization efficiency on HQED. Through these tests, we can deeply analyze its influence laws and mechanisms and provide theoretical reference for regional HQED.
2. Literature Review
The essence of green finance reflects the government’s attitude towards environmental protection and investment tendency. As a controlling factor for the virtuous cycle of the natural ecological environment, water resources are widely valued by human society. Water pollution and lack of total water are restricting all human beings’ development [8,9]. Therefore, water resource utilization has become an important topic in academic research; its efficiency is an important indicator to measure water resource utilization levels [10] and can reflect water-saving efficiency. Water resources are scarce; improving water-saving efficiency reflects economic quality development, but the results are affected by a lot of complex factors [11], reflecting the effectiveness of water resource inputs and the relative economic effects of outputs [12,13]. Under the constraints of environmental protection, the efficiency of water resource utilization may be improved, which should promote HQED. China attaches great importance to HQED and regards HQED as a development goal. In order to achieve the HQED goal, green financial means are used to enhance environmental protection and improve HQED. There are three research points about this topic:
(1) The relationship between green finance and economic development. Green finance has an obvious adjustment function. With the cooperation of various policies, it can guide the behavior of enterprises, adjust the development of industries, and then affect the quality of economic development. An [14] researched that green finance is used in the form of green funds for haze control, water environment control, etc., to promote HQED. Green finance can gather social capital, follow the requirements of HQED, and invest in a selective direction. Gong [15] believed that green finance can introduce social capital into industries such as environmental protection, low-carbon energy conservation, etc., forming a financing method that supports sustainable development. Of course, green finance investment also needs to have a corresponding industrial foundation. The same capital invested in different industries will have different effects. Liu and He [16] found that green finance is related to the industrial structure; the more advanced the industrial structure is, the greater the green finance promotion effect on HQED will be. Investigating the mechanism of its impact, Xie [17] found that the development of green finance can regulate the environmental regulation promotion effect on enterprises’ innovation. Wen et al. [18] found that green finance could optimize the capital allocation, reduce the level of environmental damage in a steady state, and improve HQED.
(2) The relationship between water resources utilization efficiency and economic development. There is no unified understanding in academic circles on whether it can affect HQED. It is generally believed that efficiency is improving, and its improvement speed shows obvious regional differences. Han et al. [19] believe that the efficiency is still lower but has been slowly increasing in recent years and presents a pattern of eastern > western > central. However, the research of Ren et al. [20] also shows lower efficiency in China; the water resource utilization efficiency between cities is significantly different, and the spatial distribution is unbalanced, with the distribution pattern showing a gradually decreasing space from northwest to southeast in the ecological geographical area. Zhu et al. [21], through the study of the national urban water resource, believe that urban water resource utilization efficiency is not necessarily related to economic development but to the availability of water resources and that the availability of water resources is inversely proportional to the efficiency. The research of Luo et al. [22] believes that economic development has a significant impact on efficiency, and the research of Yang et al. [23] shows the results of comprehensive factors such as progress and regional differences.
(3) Green finance and water resource utilization efficiency impacts on HQED. HQED will undoubtedly be affected by green finance and water resource utilization efficiency, but they must have a specific impact mechanism. Bossone and Lee’s [24] research found that green finance can reduce unit energy consumption through scale effect and promote high-quality economic development. Kabir [25] and Greenwood [26] found that green finance can improve economic growth. Lioui and Sharma [27], and Kim and Li [28] believe that green finance can reduce environmental pollution and promote HQED through the rational allocation of financial resources. In fact, HQED is the result of a combination of factors. Lei et al.’s [29] research shows that HQED is affected by a variety of factors, among which is green finance which improves HQED through a better ecological environment. Guo [30] researched that green finance can implement scale restrictions on “high-pollution, high-energy-consuming” enterprises through differentiated credit policies and interest rates and use market mechanisms to force enterprises to transform and upgrade. Eremia and Stancu’s [31] research believes that green finance promotes ecological and resource protection by optimizing resource allocation.
Scholars from all over the world have explored green finance and water resource utilization efficiency impacts on HQED from different perspectives, which provides a good reference for this research. However, due to the different research purposes, the research perspectives and methods are also different. In the existing literature, no research was found that integrates the three into the same framework, and few are based in specific areas in China. This study focuses on the spatial effects of the two on HQED. Meanwhile, it explores water resource utilization efficiency in the process of green finance affecting HQED. To answer these questions, the entropy method was selected to measure the HQED and water resource utilization efficiency in the Yangtze River Economic Belt as well as further test the water utilization efficiency mechanism.
The outstanding contributions of this paper are as follows. First, there is the research content innovation. This study integrates the three into the same framework for testing. Generally, when constructing an indicator system for HQED, it focuses on “innovation, coordination, green, openness, and sharing”. The research focuses on the potential of HQED, focusing on the three aspects of economic development “capacity, structure and efficiency” and on testing the spatial effect of green finance and water resource utilization efficiency on HQED, providing scientific research for the formulation of industrial policies. Second, the research method innovation throughout the existing research on regional economic spatial measurement is generally the introduction of an economic matrix or geographic spatial matrix. This study combines the two and introduces a nested matrix, which takes into account the different economic development levels and geographical space of different provinces and cities, and the test results are one step closer to the objective reality. The third is that the research area is unique. The Yangtze River Economic Belt has formed a unique industrial chain. In the context of “joint efforts to protect and protect”, green finance has its own unique significance. The efficiency of water resource utilization, reflecting the effect of HQED, has unique meaning.
3. Method
3.1. Model Settings
3.1.1. Spatial Lag Model
(1) Spatial Lag Model Representation
Along the Yangtze River, a unique economic development feature has formed, and the industrial layout and economic development between the provinces and cities have formed a close relationship. However, due to resource endowments in different provinces and cities, the specific measures for implementing various policies are different, and the impact on HQED after the implementation of policies is not immediately apparent; that is to say, there is a certain lag effect, so we chose the lag space. The measurement model is as follows:
In the above formula, is a one-period lagged variable; its coefficient is ; represents the dependent variable spatial correlation coefficient; and Wij represents spatial weight matrix. WijYit represents dependent variable spatial lag term; WijXit is independent variable spatial lag term; x1_x2 is the interaction term between green finance and water use efficiency; and Controlit represents the control variable, including lnz1, z2, and lnz3 that take logarithms to eliminate heteroscedasticity. represent the space fixed effect, time fixed effect, and random error term, respectively.
(2) Determination of Spatial Weight Matrix
By calculating the Euclidean distance of the centroids of two cities using latitude and longitude, the spatial dependence of the city is characterized. At the same time, the square of the Euclidean distance can reduce the decay rate of the spatial effect with the increase in the Euclidean distance, as shown in Equation (2). According to the specific situation that the variables selected in this paper include, with both distance factors and many economic factors, it was decided to introduce a nested matrix. A nested matrix can organically combine distance and economic factors and can describe the space more accurately and effectively [32], such as in Formula (3).
In Formula (2), Wd is the geographic weight matrix; the diagonal matrix is in brackets; the diagonal matrix is the average value of the variable k of the spatial interface i in the time period t0 to t1; and is the average value of the economic variable K of all the spatial interfaces in the sample [33].
3.1.2. The Mediating Effect Model of Water Resource Utilization Efficiency
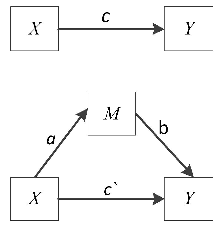
In the process of green finance affecting HQED, it may directly affect HQED, or it may affect HQED through water resource utilization efficiency. In this influencing process, the function of this efficiency is the intermediary variable, and green finance affects HQED through the intermediary variable. The relationship between the three is shown in Figure 1, and Equations (4)–(6).
Y = cX + e1
M = aX + e2
Y = c′X + bM + e3
Figure 1.
Mediation effect model results.
In the Figure 1. and Equations (4)–(6), Y is the explained variable, X is the explanatory variable, and M is the mediating variable, c’ is the total influence coefficient X impact on Y, a is the coefficient of X impact on M, b is the coefficient of M impact on Y, c is the coefficient of X impact on Y.
Figure 1 shows the relationship of green finance, water resources utilization efficiency, and HQED expressed as the above equation. Among them, the total influence coefficient of green finance (X) on HQED (Y) is c′, and the coefficient of green finance affecting HQED through intermediary variable of M is ab. At this time, the calculated intermediary effect is ab/c = ab/(ab + c′).
Based on the step-by-step method proposed by Baron and Kenny [34], this paper tests the model referring to study of Wen et al. [35]. First step is to calculate regional green finance (X) total effect on HQED (Y); if regression coefficient c is significant, proceed to the next step; otherwise, the mediation test stops. In the second step, test the regression coefficients a and b in Equations (5) and (6) in turn; if both are significant, it means mediation effect test is passed; if one is not significant, one needs to use Sobel test. The third step is to test the regression coefficient c′, and if the coefficient is significant, the mediation effect is calculated. The fourth step is to carry out the Sobel test. If the test is passed, it means that the intermediary test is passed; otherwise, the intermediary test fails. Moreover, if c′ is significant, then there is a partial mediation effect; if it is insignificant, there is a complete mediation effect.
According to the above analysis, the specific model is set as follows:
Clearly, Equation (6) can correspond to Equation (9) of the mediation effect test, whereas Equations (4) and (5) correspond to Equations (7) and (8) of the mediation effect test model, respectively. It can be seen that Formulas (1) and (7)–(9) constitute the complete test effect model of this paper.
3.2. Variable Selection
(1) Explained variables. HQED (y) refers to the existing research [36]. The study creates evaluation index system for HQED, including capacity, structure, and benefit and uses the entropy method to obtain the weight of each index to obtain a comprehensive index of HQED. The meaning and weight of each indicator is shown in Table 1.
Table 1.
Evaluation index system for HQED.
Objective weighting is carried out on each index of HQED through entropy method, and a comprehensive index is obtained. Its calculation method is as follows:
Among them, is the proportion of the standardized index j in the province and city i in the comprehensive evaluation index system of HQED, and is the weight corresponding to the index. The value range of is in the interval [0, 1]. Larger indicates the higher the realization of HQED.
(2) Explanatory variables: green finance (x1) and water resource utilization efficiency (x2). Regarding the measurement index of green finance (x1), in the study measure x1 using green investment and carbon emission intensity, green investment is represented by environmental protection investment/GDP, and carbon emission intensity is represented by carbon emission amounts/loan balances [37,38]. Among them, the environmental protection investment ratio is a positive indicator, and the carbon emission intensity is a negative indicator. The weights are 0.2878 and 0.7122. In order to avoid double counting, the amount of CO2 is emitted by crude oil, raw coal, and natural gas. Among them, the standard coal reference coefficient and carbon emission coefficient are shown in Table 2. Regarding the measurement indicators of water resource utilization efficiency, the study obtains index system of x2 with 12 basic indicators, including efficiency of comprehensive, agricultural, industrial, and ecological water use. Calculate each index weight and obtain the comprehensive index of HQED. The evaluation index system is in Table 3.
Table 2.
Standard coal reference coefficients and carbon emission coefficients.
Table 3.
Index system.
(3) Control variables: The entropy method is used to calculate each index weight for the total postal business, the total telecommunication business, the number of mobile phone users, and the number of Internet broadband access. It obtains the comprehensive index (z1) for the scale evaluation of the information industry. Select the total import and export ratio of GDP to measure the openness (z2), and select people employed number at the end of the year to represent human capital (z3) [39].
3.3. Sample Selection and Data Description
The relevant data were obtained through the National Statistical Yearbook, and the data were quantitatively analyzed. The basic statistical description of each variable is shown in Table 4.
Table 4.
Variable descriptive statistics.
3.4. Data Stationarity Test
Based on the time series nature of panel data, variables are often unstable. Before further testing, a stability test needs to exclude the occurrence of “pseudo-regression” and improve the accuracy of the model. Choose five test methods—LLC, IPS, Breitung, Fisher-ADF, Fisher-PP—to conduct unit root tests on variables (results, as shown in Table 5). The results show that the original series did not all pass the stationarity test, but the first-order difference series D_y, D_x1, and D_x2 can all be stationary at different significance levels. It shows that D_y, D_x, D_x2, and the control variables obey the first-order single integration; that is, the original sequence is not stationary, but the variables are stationary after the first-order difference.
Table 5.
Core variable stationarity test results.
3.5. Spatial Autocorrelation Test
This study measures the global Moran index under the nested matrix and 0–1 matrix for the HQED (y) from 2005 to 2019, respectively. The results are shown in Table 6.
Table 6.
Moran’s I index of HQED.
Table 6 shows that y and x1 Moran’s I index are all significantly positive; x2 Moran’s I index is significantly positive in other years except for 2006 and 2007. This shows that a spatial correlation exists between them. So, we need to build spatial econometric model to explore green finance and water resource utilization efficiency impact on HQED.
3.6. Determination of Spatial Doberman Model
First, the measurement software Stata15.0 was used to test the panel data to select the analysis model. According to the selection method of spatial econometric model proposed by Elhorst [40], the most suitable model was selected from SAR model, SEM model, and SDM model through LM test. The specific selection method was: when both the LM test with no spatial lag and the LM test with no spatial error are significant at the same time, select the SDM model. When only the LM test with no spatial lag is significant, select the SAR model, and when only the LM test with no spatial error is significant, select the SEM model. The test results show that both the LM test with no spatial lag and the LM test with no spatial error are significant at the 1% test level, and the SDM model was selected. Subsequently, the statistical value of the Hausman test result is 13.25, which is significant at the 10% test level. Therefore, the study selected the fixed-effect model. As the LR test significantly rejects the SDM simplification at the 1% test level, the final decision was made to use a spatial Doberman model with fixed effects (see Table 7).
Table 7.
Correlation test results of static panel data model.
Based on the analysis in Table 7, on the basis of the selected fixed-effect model, it was further judged whether to choose a spatial fixed-effect model, a time-point fixed-effect model, or a space-and-time-point double-fixed-effect model. The LR test results show that the possibility of simplifying the SDM model to the SAR model or the SEM model is rejected at the 1% level. At the same time, among the corresponding three effect models, the time-point fixed-effect model shows the largest sigma2 value, so it was excluded first. The double-fixed-effect model shows the smallest sigma2 = 0.0011, and the log-likelihood = 330.1944 is the largest. At the same time, the goodness of fit R2 = 0.0798 is slightly smaller than the R2 value of the spatial fixed-effect model, but more importantly, the LR test is at the 1% level, which negates the possibility that the spatial fixed-effect model and the time-point fixed-effect model are better than the space-and-time-point double-fixed-effect model. To sum up, we finally chose to build spatial Doberman model with fixed space-and-time points to explore the spatial effects of the three (see Table 8).
Table 8.
Preferred spatial econometric models.
3.7. Model Comparison after Introducing Interaction Terms
Using Stata15.0 software, Equations (6) and (7) were estimated using the SDM model of space-and-time fixed effects. In Table 9, Model 1 is the SDM model, and Model 2 is the interaction between the introduction of green finance and water resource utilization efficiency.
Table 9.
Dynamic space Doberman model estimation results.
Table 9 shows that the log-likelihood of Model 2 is larger than Model 1, R2 is larger than Model 1, and σ2 is larger than Model 1, which indicates that Model 2 is more ideal and accurate than Model 1. Therefore, the following mainly analyzes the output results of Model 2.
4. Results and Discussion
4.1. Analysis of Spatial Effects
To further determine each variable dynamic impact on HQED, the partial differential matrix was selected to further decompose the total effect of each variable on HQED into direct effects and indirect effects. The specific analysis is as follows in Table 10.
Table 10.
Spatial effect decomposition results.
(1) Direct Effect Analysis
The short-term impact coefficient of green finance (x1) on HQED (y) is 0.1975 and passes the significance test. The long-term impact of green finance on HQED is positive, and the coefficient value is 0.4994, but it is not significant. This result is basically similar to the results of the existing studies; the difference is that the existing studies did not distinguish between short- and long-term effects. This study further subdivided the results based on the existing studies. The reason for this result was analyzed because green finance focuses on supporting the progress of green industries and high-tech industries through loan-oriented policies and promotes high-quality economic development, and financial loans have an immediate incentive effect, so the short-term effect is significant. The green financial policy has not been proposed and implemented for a long time, and financial incentives’ effect will gradually weaken, so the long-term effect is not significant.
In the short term, x2 can significantly improve high-quality economic development (y) with the value of 0.3201 but is not significant in the long term with a coefficient of 0.8210. The result is the same as in Liu and He’s work [16]; they believe there is no relationship between water resource utilization efficiency and HQED. This is because the indicators selected by different researches are different, and the results are also different. The HQED selected in this study is economic development capacity, structure, and benefit, and water resource utilization efficiency improvement not only depends on technology but also needs to be matched and coordinated with HQED. Therefore, it needs to be adjusted repeatedly. Although each improvement may be maintained for a period of time, changes in either party may cause new incompatibility and require new adjustments. The process of this change should be a spiral upward process, therefore, showing a positive impact. However, due to the repetitive and gradual nature of the process, in the long run, the impact of water resource utilization efficiency on HQED is not significant.
The short-term coefficient of the interaction term of green finance and water resource utilization efficiency (x1_x2) impact on HQED (y) is −0.0661. Judging from the existing research, the combination of them was not found; therefore, comparisons cannot be made. As far as the results of this study are concerned, in addition to production and operation enterprises, there are also ecological industries with a public welfare nature in the industries supported by green finance, and these ecological industries do not directly generate economic benefits but focus on improving the public’s quality of life. The ecological industry is also an industry that uses a lot of water. Therefore, the more funds that green finance invests in the ecological industry, the greater the water consumption of the ecological industry will be, which will inevitably affect the level of HQED. Therefore, the interaction term has a negative effect in short term. In the long term, the coefficient of the interaction term of the two on HQED is 0.1636 but does not pass the significance test. Although the interaction item between the two may have a certain negative impact on the benefits of HQED due to more investment in the ecological environment, There may be some negative impact on the benefits of economic development, but on the whole, because it improves the quality of life and creates a new balance of development, this impact becomes very limited, so the negative impact is not significant.
(2) Indirect Effect Analysis
The indirect effects of green finance (x1) and water resource utilization efficiency (x2) on HQED (y) are negative and insignificant in both the short and long term. The indirect effect of the interaction term (x1_x2) of green finance and water resource utilization efficiency HQED (y) is negative in the short term and positive in the long term, but neither passed the significance test. This is different from the study by Sun et al. [41]; their study showed that there exists a positive spatial spillover effect on water resource utilization efficiency. This conclusion is different from the conclusion of this study because they drew the spatial spillover effect of efficiency itself and did not take into account the impact of the efficiency on HQED. Our study integrates them into the same framework. These results are in line with general economic principles because green finance (x1) and water resource utilization efficiency (x2) affect the HQED in regions, but it is difficult to affect the surrounding regions. Therefore, the impact on surrounding regions was not significant. However, due to green finance (x1) and water resource utilization efficiency (x2) improvement, the ecological environment of the province and city has been improved. Under the action of the siphon effect, it may attract resources from surrounding regions. The indirect effect of HQED (y) is negative.
(3) Total Effect Analysis
The total effect of green finance (x1) and water resource utilization efficiency (x2) on HQED (y) is positive in both the short and long term but not significant. Shi and Shi (2022) found that green finance can promote HQED, and the two have a nonlinear relationship with a threshold effect. Zhou et al. [42] found that green finance can promote HQED. These findings are both similar and different from this study. Due to the selection of indicators for HQED adopted by the existing research being different from this study and the different research areas, the conclusions are not the same. Shi and Shi [43] used green total factor productivity which may have an indirect effect. In the research of Zhou et al. (2022), the dimensions of indicators involved in green finance and HQED are different, but the characteristics of the variables are similar to this study, and the indicator data that directly reflects the nature of the variables are used. The HQED in this study uses economic capacity, structure, and benefits, which can more intuitively reflect the level of HQED. The effect of the interaction term (x1_x2) of them on HQED (y) is negative in both the short and long term but not significant. Looking at the relevant literature, no research was found that incorporates them into the same framework, so it is impossible to compare with existing research. As far as the results of this study are concerned, whether green finance (x1) or water resource utilization efficiency (x2) unilaterally affects the HQED, both can promote the economic structure and improvement of economic quality and, therefore, have a positive effect. However, the interaction term x1_x2 will inevitably have some negative effects on the economic development capacity, structure, and benefits because of its role in the ecological and environmental protection industry. However, due to the ecological environment improvement, the overall competitiveness of provinces and cities has been enhanced, and the comprehensive impact on HQED is very limited, so the performance is not significant.
4.2. Analysis of the Mediation Effect Test
To test the water resource utilization efficiency role in green finance and high-quality economic development, further tests were needed to determine the specific role of efficiency.
(1) Analysis of mediation effect. According to the general steps of the mediation effect test, the revised estimation method was used to conduct empirical analysis on Models (3), (4), and (5). In Models (3) and (4), the green finance coefficients are 0.0673 and 0.0694, and they all passed the significance test, indicating that green finance and water resource utilization efficiency can improve HQED. In Model (5), the green finance coefficient is 0.6439, and the financial development coefficient is 0.1962. The research shows that green finance and water resource utilization efficiency can promote HQED, and in the process of green finance promoting HQED, water resource utilization efficiency has an incomplete intermediary role. The results are as follows in Table 11.
Table 11.
Results of the mediation effect test.
(2) Further test of the mediation effect. For verifying research results, further robustness tests were carried out on the research results. The energy consumption index of CNY 10,000 of regional GDP was used to replace the comprehensive evaluation index system of HQED. The results are as follows in Table 12.
Table 12.
Robustness test results.
Comparing the above test results, the model results are basically consistent, which shows the empirical results are robust and, at the same time, proves that water resource utilization efficiency as an intermediary variable is an important way for green finance to affect HQED.
5. Conclusions and Policy Implications
5.1. Research Conclusions
Through the lag space measurement model, the introduction of the nested matrix, and the further application of the mediation effect model for research, the conclusions are as follows below:
(1) Green finance and water resource utilization efficiency are important factors for promoting HQED. The short-term direct impact coefficient of green finance on HQED is positive; the long-term direct impact of green finance on HQED is positive, but it is not significant. The short-term impact coefficient of water resource utilization efficiency can promote HQED; the long-term impact of water resource utilization efficiency on HQED is positive but not significant. The short-term direct impact of the interaction of green finance and water resource utilization efficiency on HQED is negative, and its long-term effect, indirect effect, and total effect are negative but do not pass significance tests.
(2) The spatial effect of green finance and water resource utilization efficiency in promoting HQED has not yet emerged. Analyzing the spatial effects of the Yangtze River Economic Belt, the indirect effects of green finance and water resource utilization efficiency on HQED are negative and insignificant in both the short and long term. The spatial effect of the interaction term of green finance and water resource utilization efficiency on HQED is negative in the short term and positive in the long term but neither is significant.
(3) Green finance promotes HQED through water resource utilization efficiency. As a policy tool to serve HQED, green finance itself plays a role in promoting HQED. At the same time, through the intermediate variable of water resource utilization efficiency, it promotes HQED. The role of water resource utilization efficiency is an incomplete mediating role.
5.2. Suggestions
(1) Build a unified green financial platform and strengthen support for green industries. To vigorously coordinate the development of the green financial market, it is necessary to comprehensively and flexibly use public green finance to support green industries’ development at different stages of development. It is necessary to build a unified green financial market platform, innovate and develop green financial market tools, improve the level of green financial services, and promote the benign interaction between financial and industrial capital to achieve the goal of an industrial win-win. At the same time, we should increase financial support for green fields and products such as energy, ecological environment and agricultural products and further clarify the areas and directions of key support for green finance.
(2) Formulate a list of green industries and promote the optimization of an economic structure with green industries’ development. Although green finance can optimize the economic structure, the effect is not obvious. The reason is that the rapid promotion of green finance policy will bring extremely high transformation costs to traditional enterprises that support the national economy and weaken the confidence of enterprises. Green finance-supported industries are emerging industries, and investment risks are difficult to predict. In order to dispel the doubts of enterprises or individuals about the development of green industries or projects, the government departments should publish a green industry catalogue to facilitate them to participate in green financial activities in a timely and appropriate manner according to their own needs and conditions. Under the encouragement of government policies, green industries and projects have lower policy risks and better development prospects and cooperate with the market mechanism of financial institutions to support green industries development, thereby guiding the optimization of the economic structure.
(3) Strengthen the protection of water resources. First, strengthen the supervision and treatment of industrial sewage. Determine the key monitoring large-scale sewage enterprises, increase the supervision and inspection of enterprises that pollute water resources, and effectively urge these enterprises to discharge water resources to the standards. Improve the monitoring system of sewage discharge, severely crack down on illegal sewage discharge, and increase the punishment and supervision of illegal sewage discharge. Increase investment, improve sewage pipe network construction and treatment facilities, regularly maintain and treat sewage pipe network facilities in normal operation, and strive to improve treatment capacity.
Second, improve the quality of domestic sewage treatment standards. Accelerate the construction of supporting pipeline network for urban domestic sewage, ensure that the domestic sewage in the rivers within the urban area is effectively treated, and actively promote the construction of domestic sewage treatment facilities in townships. According to the development needs of cities, towns, and villages, expand and build a number of sewage treatment plants and strictly control the compliance rate of domestic sewage treatment.
Finally, improve agricultural non-point source pollution. Strengthen the control of chemical fertilizers, pesticides, and other pollution, determine the division of rural non-point source pollution sensitive areas and key control areas for pesticides and chemical fertilizers, speed up agricultural structural adjustment, and promote agricultural circular economy. Promote the application of organic fertilizers and biological pesticides with high utilization efficiency and low toxicity, control the excessive use of chemical fertilizers and pesticides, and eliminate highly toxic pesticide residues. The focus has shifted to actively protecting forests and other vegetation, reducing soil erosion, and strengthening the control of water pollution from sediment entering rivers.
(4) Innovate the coordination mechanism for HQED. HQED has the typical characteristics of integrity, externalities, and spillovers. The efforts of a single region to promote HQED will be affected by the behavior of “beggar-thy-neighbor”. On the basis of proving the predicament of local governments’ cross-regional high-quality economic development and cooperation, clarify the cooperation compensation and benefit coordination mechanism and guide local governments to plan and implement cross-regional coordination schemes to promote high-quality economic development, as well as the monitoring and early warning of the economic development quality and oversight of the joint system.
5.3. Deficiencies and Prospects
Based on 11 provinces and cities in China’s Yangtze River Economic Belt, this study applies a spatial lag model and introduces a nested matrix to examine green finance and water resource utilization efficiency impact on HQED. On this basis, the mediation effect model is further applied to verify the green finance role in the process of water resource utilization efficiency improving HQED. As this research focuses on the potential of economic development, green, openness, and sharing are not considered in the construction of the indicator system for HQED. Therefore, when examining green finance and water resource utilization efficiency spatial effects on HQED, green finance and water resource utilization efficiency impact on green development, openness, and the sharing economy is not considered. In future research, according to the five dimensions of "innovation, coordination, green, openness, and sharing", while examining the overall spatial effect of green finance and water resource utilization efficiency on HQED, green finance and water resources can be investigated separately, using the spatial effect of efficiency on different dimensions in order to obtain more accurate conclusions.
Author Contributions
Conceptualization, F.W.; methodology, F.W.; software, F.W.; validation, F.W., formal analysis, F.W.; investigation, F.B.; resources, F.B.; data curation, F.B.; writing—original draft preparation, R.W.; writing—review and editing, R.W.; visualization, R.W.; supervision, R.W.; project administration, F.B.; funding acquisition, F.B. All authors have read and agreed to the published version of the manuscript.
Funding
This research was funded by Jiangsu Provincial Social Science [21GLD010].
Institutional Review Board Statement
Not applicable.
Informed Consent Statement
Not applicable.
Data Availability Statement
The data used to support the findings of this study are available from the corresponding author upon request.
Conflicts of Interest
The authors declare no conflict of interest.
References
- Van Vliet, M.T.H.; Jones, E.R.; Flörke, M. Global water scarcity including surface water quality and expansions of clean water technologies. Environ. Res. Lett. 2021, 16, 024020. [Google Scholar] [CrossRef]
- Androniceanu, A. Transparency in public administration as a challenge for a good democratic governance. Adm. Si Manag. Public 2021, 36, 149–164. [Google Scholar] [CrossRef]
- Ricart, S.; Rico, A.; Kirk, N. How to improve water governance in multifunctional irrigation systems? Balancing stakeholder engagement in hydrosocial territories. Int. J. Water Resour. Dev. 2018, 35, 491–524. [Google Scholar] [CrossRef]
- Xi, J.P. Speech at the symposium on further promoting the development of Yangtze river economic belt. Qiushi 2019, 2004, 1–3. [Google Scholar]
- Prasetyo, P.E.; Kistanti, N.R. Human capital, institutional economics and entrepreneurship as a driver for quality & sustainable economic growth. Entrep. Sustain. Issues 2020, 7, 2575–2589. [Google Scholar] [CrossRef]
- Ran, P.; Hu, S.; Frazier, A.E. Exploring changes in landscape ecological risk in the Yangtze River Economic Belt from a spatiotemporal perspective. Ecol. Indic. 2022, 137, 108744. [Google Scholar] [CrossRef]
- Cui, J.; Kong, X.; Chen, J. Spatially explicit evaluation and driving factor identification of land use conflict in Yangtze river economic belt. Land 2021, 10, 43. [Google Scholar] [CrossRef]
- Mohsin, M.; Zhu, Q.; Naseem, S. Mining industry impact on environmental sustainability, economic growth, social interaction, and public health: An application of semi-quantitative mathematical approach. Processes 2021, 9, 972. [Google Scholar] [CrossRef]
- Giri, S. Water quality prospective in Twenty First Century: Status of water quality in major river basins, contemporary strategies and impediments: A review. Environ. Pollut. 2021, 271, 116332. [Google Scholar] [CrossRef]
- Liu, L.; Jensen, M.B. Green infrastructure for sustainable urban water management: Practices of five forerunner cities. Cities 2018, 74, 126–133. [Google Scholar] [CrossRef]
- Nazari, B.; Liaghat, A.; Akbari, M.R. Irrigation water management in Iran: Implications for water use efficiency improvement. Agric. Water Manag. 2018, 208, 7–18. [Google Scholar] [CrossRef]
- Mohan, G.; Chapagain, S.K.; Fukushi, K. An extended input–output framework for evaluating industrial sectors and provincial-level water consumption in Indonesia. Water Resour. Ind. 2021, 25, 100141. [Google Scholar] [CrossRef]
- Lombardi, G.V.; Stefani, G.; Paci, A. The sustainability of the Italian water sector: An empirical analysis by DEA. J. Clean. Prod. 2019, 227, 1035–1043. [Google Scholar] [CrossRef]
- An, G.J. How green funds drive green development. Banke 2016, 10, 90–92. [Google Scholar]
- Gong, H.Q. Research on the impact of green finance on regional economic ecology. Mark. Res. 2018, 4, 32–35. [Google Scholar]
- Liu, X.; He, P. Research on the influence of green finance in the economic development of the central region. Ind. Technol. Econ. 2019, 3, 76–84. [Google Scholar]
- Xie, Q.X. Environmental Regulation, Green Finance Development and Enterprise Technology Innovation. Sci. Res. Manag. 2021, 42, 65–72. [Google Scholar]
- Wen, S.Y.; Lin, Z.F.; Liu, X.L. Green Finance and Economic Growth Quality: General Equilibrium Model Construction and Empirical Test with Resource and Environmental Constraints. China Manag. Sci. 2022, 30, 55–65. [Google Scholar]
- Han, W.Y.; Chen, X.P.; Zhang, Z.L. Spatial and temporal pattern analysis of water resources utilization efficiency in cities at the prefecture level and above in China. Res. Soil Water Conserv. 2018, 2, 354–360. [Google Scholar]
- Ren, Y.F.; Su, X.W.; He, Y.X.; Wang, X.K.; Ouyang, Z.Y. Utilization Efficiency and Influencing Factors of Urban Water Resources in Eco-Geographic Regions of China. J. Ecol. 2020, 40, 6459–6471. [Google Scholar]
- Zhu, D.; Tang, L.; Xie, Q.W.; Ma, M.; Rao, K.F. Research on urban water resources utilization efficiency based on data envelopment analysis method. Chin. J. Ecol. 2020, 40, 1956–1966. [Google Scholar]
- Luo, Y.Y.; Yin, L.; Qin, Y. Evaluating water resources utilization efficiency in China’ s western provinces based on a slacksbased measure (SBM)—Undesirable window model and a Malmquist productivity index. Symmetry 2018, 10, 301. [Google Scholar] [CrossRef]
- Yang, J.; Liu, X.J.; Ying, L.M.; Chen, X.D.; Li, M.H. Correlation analysis of environmental treatment, sewage treatment and water supply efficiency in China. Sci. Total Environ. 2020, 708, 128–135. [Google Scholar] [CrossRef] [PubMed]
- Bossone, B.; Lee, J.K. Infinance size matters: The systematic scale economies hypothesis. IMF Staff Pap. 2004, 1, 19–46. [Google Scholar]
- Kabir, H.M.; Sanchez, B.; Yu, J.S. Financial development and economic growth: New evidence from panel data. Q. Rev. Econ. Financ. 2011, 51, 88–104. [Google Scholar]
- Greenwood, J.; Sanchez, J.M.; Cheng, W. Quantifying the impact of financial development on economic development. Rev. Econ. Dyn. 2013, 1, 1–45. [Google Scholar] [CrossRef]
- Lioui, A.; Sharma, Z. Environmental Corporate Social Responsibility and Financial Performance:Disentangling Direct and Indirect Effects. Ecol. Econ. 2012, 78, 100–111. [Google Scholar] [CrossRef]
- Kim, Y.; Li, H.; Li, S. Corporate Social Responsibility and Stock Price Crash Risk. J. Bank. Financ. 2014, 43, 1–13. [Google Scholar] [CrossRef]
- Lei, H.Y.; Wang, X.X. Environmental pollution, green finance and high-quality economic development. Stat. Decis. 2020, 36, 18–22. [Google Scholar]
- Guo, X.Y. The interactive effect and spatial spillover effect of green finance boosting the transformation of low-carbon economy. South. Financ. 2022, 3, 1–17. [Google Scholar]
- Eremia, A.; Stancu, I. Banking Activity for Sustainable Development. Theor. Appl. Econ. 2006, 6, 23–32. [Google Scholar]
- Parent, O.; Lesage, J.P. Using the variance structure of the conditional autoregressive spatial specification to model knowledge spillovers. J. Appl. Econ. 2008, 23, 235–256. [Google Scholar] [CrossRef]
- Wang, S.K. Types and selection of weight matrices in spatial econometric models. Econ. Math. 2013, 30, 57–63. [Google Scholar]
- Baron, R.M.; Kenny, D.A. The moderator-mediator variable distinction in social psychological research: Conceptual, strategic, and statistical considerations. J. Pers. Soc. Psychol. 1999, 51, 1173–1182. [Google Scholar] [CrossRef] [PubMed]
- Wen, Z.L.; Zhang, L.; Hou, J.T. Mediation test procedure and its application. Acta Psychol. Sin. 2004, 5, 614–620. [Google Scholar]
- Ge, S.S.; Zeng, G.; Yang, Y. Research on the coupling relationship and spatial characteristics of ecological civilization construction and urbanization in the Yellow River Economic Belt. J. Nat. Resour. 2021, 36, 87–102. [Google Scholar]
- Lee, C.C.; Lee, C.C. How does green finance affect green total factor productivity? Evidence from China. Energy Econ. 2022, 107, 105863. [Google Scholar] [CrossRef]
- Debrah, C.; Chan, A.P.C.; Darko, A. Green finance gap in green buildings: A scoping review and future research needs. Build. Environ. 2022, 207, 108443. [Google Scholar] [CrossRef]
- Shahbaz, M.; Song, M.; Ahmad, S. Does economic growth stimulate energy consumption? The role of human capital and R&D expenditures in China. Energy Econ. 2022, 105, 105662. [Google Scholar]
- Elhorst, J.P. Spatial Econometrics: From Cross-Sectional Data to Spatial Panels; Physica: Heidelberg, Germany, 2014. [Google Scholar]
- Sun, C.Z.; Zhao, L.S.; Zou, W.; Zheng, D.F. Water resource utilization efficiency and spatial spillover effects in China. J. Geogr. Sci. 2014, 24, 771–788. [Google Scholar] [CrossRef]
- Zhou, C.Y.; Tian, F.; Zhou, T. Research on the impact of green finance on high-quality economic development. J. Chongqing Univ. (Soc. Sci. Ed.) 2022, 4, 1–13. [Google Scholar]
- Shi, D.M.; Shi, X.Y. Green finance and high-quality economic development: Mechanism, characteristics and empirical research. Stat. Res. 2022, 39, 31–48. [Google Scholar]
Publisher’s Note: MDPI stays neutral with regard to jurisdictional claims in published maps and institutional affiliations. |
© 2022 by the authors. Licensee MDPI, Basel, Switzerland. This article is an open access article distributed under the terms and conditions of the Creative Commons Attribution (CC BY) license (https://creativecommons.org/licenses/by/4.0/).
