Abstract
Cognitive function declines with age, and when cognitive deterioration reaches a critical value and pathological changes occur, the brain neurons are irreversible. The aging of working memory even has profound adverse effects on older adults. This study aims to understand the psychological and physiological characteristics of older adults and to achieve mobile application design solutions that train working memory. According to the user study, the factors influencing the design of mobile applications for working memory training for older adults were mainly focused on six dimensions: training content, motivation, emotion, interaction, current state, and experience. Design opportunities were transformed, and seven new design strategies were obtained. Nine product functions with the highest priority were selected: daily practice, challenge mode, level-by-level difficulty selection, novice teaching, practice mode, sharing function, two-player mode, ranking, and desktop components. Finally, an interactive prototype was designed for usability testing, and the product solution was iterated based on expert evaluation and user feedback. The results indicate that the interface design provides a good user experience when applied daily. The process and results will be applied to make more solutions for training cognitive functions to be used in different situations.
1. Introduction
Ensuring the cognitive health of older adults is critical to achieving active and healthy aging, improving the quality of life, and enhancing the well-being of this group. As China’s population ages, active aging is becoming more important [1]. Numerous studies have shown that cognitive ability declines with age, which in turn accelerates the aging of older individuals and affects their independence [2,3,4,5,6,7]. When cognitive decline reaches a certain level, pathological changes may even occur, leading to an increased prevalence of cognitive dysfunction and diseases such as Alzheimer’s disease. When cognitive dysfunction approaches a critical value, and Alzheimer’s disease is clinically diagnosed, irreversible damage to neurons in the brain has already occurred [8,9,10]. Due to the irreversible nature of the neuronal injury, the main goal of all treatment options for this condition is to slow down the rate of cognitive decline and thus improve the patient’s quality of life and ability to perform daily living activities, rather than completely cure the disease. In this context, detection and non-pharmacological cognitive interventions at an early stage of cognitive decline become a more optimal strategy. Several studies have shown that cognitive interventions and working memory interventions can be effective in improving several cognitive abilities in older adults [11,12] and have a positive effect on daily life [13]. Gamified training improves engagement in the context of cognitive training and does boost participant motivation [14,15].
The impact of working memory training, which enhances the working memory itself, benefits broader cognitive functions, and slightly improves working memory function, may have a significant practical impact on daily life, making working memory training of interest. Several researchers have explored and studied working memory training, with some preliminary explorations and conclusions regarding factors affecting the efficiency of working memory training, the selection of training content, and the application of training interventions [16,17,18,19,20].
The selection of training tasks mainly targets the refreshment function, inhibition function, and capacity of the subjects’ working memory. The commonly used paradigms are N-back, Stroop, Go/No-Go, and memory breadth. Traditional working memory training uses a single paradigm but is more focused, while gamification-based training uses a multi-modal approach to improve the overall cognitive ability of the user [21,22,23]. Although the Virtual ADL project [24] was designed for older adults and was gamified with their daily life scenarios, it was more of a cognitive test than a training program, with weak instructions and guidance on the rules. The program was not graded in terms of difficulty. Most of the training programs were based on graphics, pictures, and numbers, and some of the training topics were set in a gamified way. Still, they did not express the logic of the selected images, and most of them used common elements, such as animals and amusement parks. Regarding the training format of the training subject, most of them used a personal training mode with less application of social elements. At the same time, in Bonnechère’s study [25] on cheese ninjas, it was found that the immersion and motivation of training with social elements were significantly more robust.
Most of the current domestic working memory training is presented in laboratory settings on existing paradigms or refers to foreign training systems, making it difficult to generalize to everyday life. The combination of some working memory training and applications is mainly from a technical perspective, lacking theoretical support and exploration of user needs. The training content is complex and unattractive for older adults, making it difficult to persist in daily life [26,27]. Although foreign products try to combine training content with gamified themes and translate the content into Chinese, the game themes are more in line with foreign users’ habits, and most of the products have added game themes. However, the stimuli themselves are still abstract graphics, so the training form still lacks familiarity for domestic older adults. Combined with the current environment of the domestic aging society, we hope to design a scientific, theoretically based, and cognitively compatible working memory training program from the perspective of trained healthy older adults and motivate them to use it in their daily lives for a long time to achieve the purpose of intervention at the early stage of cognitive decline and reduce the occurrence of mental diseases.
This study investigates working memory training strategies for older adults. The research team conducted a participatory design and in-depth interviews with older adults and combined the results of user studies in the hopes of finding interface designs and interaction methods that meet the psychological as well as physiological characteristics of older adults and motivate them to use them in their daily lives for a long time, in order to achieve the goal of intervening at the early stage of cognitive decline and reducing the occurrence of cognitive disorders. Based on the information and findings from the literature reviewed, key questions to be addressed in this paper are:
- What are the needs and dilemmas of older adults in their daily lives and when performing working memory training?
- What are the opportunities and solutions to help older adults perform working memory training on smart devices?
- What is the target user’s experience in interacting with these solutions?
2. Related Work
In terms of training tasks, a richer training paradigm is used. The system proposed by Shloul (2020), which addresses the needs of physical education for young learners, focuses on the necessary implementation of student health exercise identification, using a modified quaternion-based filter for inertial data refinement and data fusion as a pre-processing step. This system could be implemented in several educational institutions, including intelligent training systems, virtual tutors, intelligent simulations, and interactive learning management methods [28]. Afsar (2022) proposed an efficient and cost-effective system that allows people to be entertained while sitting in a room playing outdoor games such as badminton and cricket, with the main goal that the person is enjoying while playing the game and engaging in physical activity [29]. Bonnechère (2016) performed eight mini-games for cognitive assessment such as word pairs, memory scanning, and size counting in older adults, young adults, and patients with cognitive impairment, respectively, and showed that the scores obtained in the games correlated with the presence of patients’ functioning, and that cognitive video games could be used to track the cognitive function of older adults with and without cognitive impairment evolution [30]. The system proposed by Tahir (2020) should be applied to human–machine interface domains such as health exercises, robotic learning, interactive games, and pattern-based monitoring to ensure their independent living and improve their comfort [31]. Zeng (2018) designed a computerized cognitive training called Virtual ADL+ House, which includes training tasks for cognitive functions such as memory [32]. The software combines cognitive training with daily activities, such as cooking, shopping, and using the telephone, and has received positive feedback from physicians and older adults about its usability and entertainment value.
In addition, some more mature working memory training programs are already available abroad. CogMed is one of the most widely used commercially available products. It comes in three different versions, corresponding to the different age groups of users. Tasks include digit breadth, location memory, tracking moving visual targets, etc. It has been widely used in clinical patients with cognitive deficits, such as attention deficit hyperactivity disorder and different forms of cognitive transfer. CogniFit has developed a set of tasks containing visual verbal working memory tasks, nonverbal auditory working memory, and visuospatial memory tasks in a personalized training program [33].
Most researchers have attempted to introduce gamification elements to enhance user engagement and natural extensions to real-world behaviors, both in educational applications and cognitive assessments for geriatric populations, and there are well-established commercial products. However, the introduction of gamification elements lacks a basis and has a moderate level of acceptance for young people familiar with video games, and further research is needed on how to make it more acceptable to older age groups and thus generate the transfer of abilities involved in daily life.
3. Materials and Methods
The first step was to understand the previous research in the field of working memory training through desktop research, and to analyze the existing methods and strategies for working memory training for older adults, and the status of products designed for them. Then, we developed an interview outline based on the research results, and through in-depth interviews, we understood the current situation of using smart devices by older adults. We further analyzed and explored the lifestyle, interaction characteristics, and memory content of those with declining cognitive ability by combining the participatory workshop to understand the daily living habits of older adults and found the opportunity points for them to train on mobile devices. The results of the participatory workshop were then analyzed and transformed into a design for a mobile application for working memory training. Finally, target users were invited to take a usability test, and the design solution was evaluated to verify its feasibility and iterate based on user feedback.
3.1. In-Depth Interviews with Older Adults
To understand the daily life, thoughts, and attitudes of older adults to better understand their needs for working memory training mobile applications, in-depth interviews were conducted with older adults in this phase (see Table 1). Firstly, the recruitment information was released using an online questionnaire, and a total of 343 copies were collected. Two subjects were randomly selected from those who met the requirements for the pre-interview, and the interview outline was iterated based on the interview results. Then, 20 subjects were screened for the formal interview.
Table 1.
Dimensions of interview outline development.
We interviewed older adults about their daily life experiences, understood scenarios of their daily life, asked about small activities that may have been exposed to enhance cognitive abilities, and analyzed the influencing factors that may enhance the internal motivation of working memory training for older adults. We asked older adults about the problems they encounter in their daily lives and their current problem-solving strategies based on the different components of working memory, and we analyzed their needs for product features through their attitudes toward different working memory problems. They were asked about their existing experience in using smart devices, to understand the smart devices and applications commonly used in their daily lives, and to analyze their interaction habits and pain points in the process of using smart devices. Some of the questions are as follows.
The selection of subjects for the formal interview was based on the criteria of no errors in questionnaire completion, signs of memory decline, and being over 65 years old. Memory decline was assessed by scores on the subjective cognitive decline 9-item (SCD-Q 9) scale [34], with a scale score of ≥1 and agreement with at least one of the items on overall memory decline. A total of 20 subjects were screened, including 10 males and 10 females: 14 aged 65–70 years, 4 aged 70–75 years, and 2 aged 75 years and older.
After the in-depth interviews, the researcher transcribed the audio files of all interviews to obtain word-for-word scripts totaling more than 200,000 words. The researcher imported all verbatim transcripts into the NVivo software and coded the interview results for the analysis [35]. Based on the working memory training theoretical framework of Von Bastian, these characteristics include: (1) the intensity, duration, and adaptivity of the training activities and the number of changes throughout training; (2) individual differences in age, cognitive capacities, biological parameters, motivational and personality traits [36]. In total, the coding was divided into three stages of coding: open, spindle, and selection, resulting in a total of seven core categories: current state, personal characteristics, past experiences, emotions, interactions, training content, and motivational approach, and a structural map of the factors influencing the design of working memory training applications for older adults. Since they could rarely intentionally train their working memory after retirement, a simple and straightforward working memory training application that fit their experiential background and usage habits and brought them confidence and hope to provide them with a good user experience and satisfy their self-worth was used. In the next participatory workshop, we provided a design toolkit for seniors to help them think out of the box and choose among the materials provided to meet their needs and explain why. In the later design transformation, we combined the user needs and pain points obtained from the workshop with the dimensions of influencing factors to obtain the design opportunity points and the direction of product functions (see Figure 1).
Figure 1.
The structure of factors influencing working memory training applications for older adults.
3.2. Participatory Workshops
Participatory design is a designer-led design approach in which users are treated as collaborators and invited to participate in the design process on an equal footing [37]. It is an appropriate way to engage older adults in designing solutions that promote mutual learning and digital teaching [38]. A total of eight subjects were recruited for the workshop and divided into two groups of four subjects each: 50/50 male and female. In this study, the goal was to combine the preliminary findings from the primary user interviews with collaborative research on the design of a working memory training application for older adults and the researcher to work together to solve the problem, and for both parties to acquire the valuable output they needed as quickly as possible.
The workshop was divided into five phases: opening, warm-up, existing product experience, problem-solving, and conclusion. In the preliminary user interview stage, it was learned that most subjects had hardly heard of and used working memory training-related products, so in the existing product experience stage, the researcher selected four apps about working memory training for participants to experience. These include the N-back task, the Stroop task, the verbal breadth task, and the visuospatial breadth task. A brief discussion was held after the participants’ experience, with questions such as “How did you feel after the experience?”, “Which exercise did you like better? Why?”, and so on. The participants’ attitudes towards the available training products were easily understood (see Figure 2).
Figure 2.
The participatory design workshops.
According to the structure chart of influencing factors obtained in the user interview phase, the environment in which the product was used significantly influenced the user’s experience. Therefore, in the problem-solving stage, the participants were first asked to brainstorm as many situations in which they used the working memory training app as possible. The most frequently mentioned situations were selected from them. Next, based on the experience of using the product in the experience phase, a flowchart of how to use the product in that situation was drawn up, and the possible needs and difficulties in each process node were written down. Finally, an attempt was made to solve these problems in the form of a design solution. Considering the lack of Internet experience of the participants and the relatively limited number of applications they usually use, it was challenging to design a product independently when designing a solution. Therefore, at this stage, the researcher provided the corresponding toolkit based on the interview results, let the participants choose from them and explained the reasons for their choice, and finally combined them into a design solution. Based on the findings of the two phases of user interviews and participatory workshops, the following design strategies were summarized by combining design influences and user needs to find opportunity points through an affinity approach.
- Shorten the process path so the path is clear and easy to understand. When performing basic operations such as installation or registration and login, older adults often cannot complete the preliminary process smoothly due to inexperience or unskilled operation, resulting in older adults losing confidence and patience and thus giving up using it. When entering the software, due to the characteristics of the Android system, it is not easy to find the entrance, so it is also necessary to consider the convenience of entering the software when designing.
- Choose visual themes that are close to life and add fun. Regarding memory content, most older adults prefer training with a storyline rather than basic geometric figures and numbers. Visual elements with themes add interest, reduce the boringness of training, and reduce the stress of learning and training in a gamified way. In selecting visual elements, seniors are more suitable for parts that are close to life and easy to understand to reduce their cognitive burden and let them focus on the training itself.
- Provide detailed and precise rule descriptions to increase the error tolerance rate of novices. In working memory training, understanding training rules is the most important because the training rules are not clearly described, resulting in confusion, frustration, and even irritation because they do not understand the training results, which is not conducive to the training effect. The communication of clear training rules is the basis for gradually developing training habits. At the same time, increasing the error tolerance rate of novices is also an essential factor in avoiding the decline of confidence in older adults.
- Reduce interaction learning costs. As older adults have limited experience in using innovative products, they are not familiar with symbolic and abstract information, and they cannot control complex gestures well. Therefore, in the design process, the use of symbols should be minimized, and simple gesture interaction should be used to expand the clicking area to avoid mistouching appropriately.
- Distinguish the functional operation area to reduce interference. In working memory training, the information display area, observation area, and operation area should be distinguished. Similar information should be put together to avoid frequent location changes, in line with the operating habits developed by older adults in the product. Furthermore, button color, font, font size, etc., are distinguished from other information areas and kept uniform to reduce the interference brought by color changes.
- Show a clear training plan and practical tips to provide a reasonable difficulty level. Present the training plan to older adults in advance to make them expect the training content, provide operational guidance, and enhance targeting. Add hints in the links where older adults may have doubts and provide help anytime. The difficulty level can be adjusted according to the ability and preference of older adults.
- Add inspirational design and set an appropriate incentive mechanism. Add a vibrant design to the product to relieve the irritation of older adults in training so that they have an emotional resonance with the product. Set an appropriate incentive mechanism: many have a strong sense of social responsibility, and they would undertake some unpaid social work, such as volunteer activities, public welfare activities, etc. By linking older adults with society through the product, the social participation of the older adult group is increased, thus inducing the internal motivation for working memory training and achieving the effect of long-term training.
3.3. Product Design
We combined the above opportunity points to disperse the function points (2, 4, and 5 are visual design strategies, which are not considered at the stage of functional and interaction design) and evaluated the obtained function points according to two dimensions: (1) importance refers to the function that solve the basic needs and pain points of the target group and brings value to users; (2) innovation refers to the function that distinguishes from other products on the market. Innovativeness is the function that distinguishes the product from other products on the market. We finally obtained nine function points through sorting and screening, including daily practice, challenge mode, and level-by-level difficulty selection (see Table 2).
Table 2.
Product feature point sorting.
3.4. High-Fidelity Prototyping
In the visual design of this product, the green color was used as the theme color of the product, symbolizing health and hope, and many older adults in the workshop had a clear preference for green-themed products (see Figure 3 and Figure 4). The prototype was developed on Figma (figma.com, accessed on 20 October 2022). The high-fidelity prototype was obtained after sorting out the preliminary research results. The design goal of this product was to allow the older adults’ group to clearly understand the training content and develop the habit of adhering to the training. Specifically, this included helping seniors find the training portal quickly, providing seniors with a defined daily training plan, giving seniors the flexibility to control their training progress, helping novice seniors understand the training rules and develop confidence, and encouraging a training atmosphere among seniors.
Figure 3.
The interaction flow and visual specification.
Figure 4.
The high-fidelity prototype drawings.
4. Results
4.1. Evaluations
Product usability testing was divided into the expert evaluation and user testing. A total of 3 experts as well as 15 older adults were invited to test the product’s high-fidelity prototype. We conducted a cognitive walk-through for experts and asked them to think aloud [39]. We proposed usability metrics to take down the successful rate as the measurement of user performance in each usability task [40]. All experts and subjects tried the prototype in a simulated training scenario to complete the test tasks, and the test task list is shown in Table 3. After completing the operational tasks, structured interviews were conducted with experts and subjects to understand their real feelings about the product. All users filled in the user experience questionnaire (UEQ) scale [41] after completing the task to record this product’s strengths and weaknesses and further optimize and iterate on it.
Table 3.
The task test form.
Experts were invited to complete a cognitive walk-through, simulate each operation step in the process of using the product, experience all testing tasks, review the product based on their professional knowledge and understanding during the experience [42], and make suggestions as well as modification comments.
Different options were provided for some core interactions for users to compare and choose from, and users were asked about their interaction preferences and attitudes towards features. Structured interviews were conducted after subjects completed each task, asking them about their difficulties and feelings during the task completion process. The UEQ scale was designed as a semantic differential scale with 26 items and six dimensions, each consisting of a pair of words with opposite meanings. A 7-point scale was used to allow users to rate the items, with scores ranging from −3 (totally disagree) to +3 (totally agree), with half of the items starting with a positive rating and the rest with a negative rating, in a randomized order.
4.2. User Performance
User performance is measured in terms of task success levels. Since the completion of some tasks was related to the difficulty of the working memory training itself, the success level of the tasks was graded by considering the differences in the cognitive abilities. Success levels were rated according to the user’s experience.
1 = No problems. Subjects had no difficulty or only due to memory errors but eventually completed the task successfully.
2 = Minor problems. The subject completed the task successfully but made one or two small errors during the completion process, but quickly corrected them and succeeded.
3 = Big problems. The subject completed the task, but there were more errors in the completion process, and they completed the task with a prompt from the main test.
4 = Failed/abandoned. The subject stalled for a longer time or gave up in the process of completing.
The main subject did not help the subject to solve the task while the subject was completing it. However, the main trial could give hints to the subject, and all hints to the subject were recorded, and the success level was adjusted according to the content of the hints.
4.3. Main Usability Findings and User Comments
Based on user comments, and testing results, we identified four main usability findings and provided an iterated plan.
4.3.1. Solving the Problem of Information Display on the Homepage
As Figure 5 shows, we iterated the homepage, including: (1) replace “Daily Training” with “Today’s Training Plan”, using more concrete text to facilitate users’ understanding; (2) add information and explanation of training progress and training hours so that users have a clearer understanding of the training schedule. The visual chart information was moved from the secondary page to the homepage, giving users more visual stimulation and bringing it closer to the training plan information, making it easier for users to link the two types of information together. The training progress was changed from a progress bar to a textual description, which is more intuitive and reduces understanding bias. The entrance to start training has been changed from showing different training contents to combining them into the same button, reducing the information that users need to remember and understand on the first page, and keeping the same level as the challenge mode so that users can only choose the training form on the first page, and then choose the training contents on the next level. The page of difficulty selection was changed to a lighter selection mode to reduce the user’s psychological burden of difficulty selection, and the difficulty information was altered from mainly graphical information to primarily textual information, which is more intuitive and easier to understand for older adults.
Figure 5.
Iteration of the homepage.
4.3.2. Text Message Communication
The rule description was modified from a direct user participation explanation to a combination of textual explanation and examples. Before the training started, the training rules were presented to the users in their entirety. For the textual content that cannot be understood, specific examples were shown to the users in the following illustration stage. Finally, the users’ understanding of the rules was strengthened through the practice mode. When conducting usability tests on the iterated solution, it was found that many subjects would omit the rule reading step after learning that there was an example session, resulting in a lack of understanding of the training content and then returning to the very first step to re-experience it [43]. To avoid such a situation, a 30 s reading time was added to the text description stage, and the case could be viewed by clicking the next step only after a certain period. Note: Since it was a usability test, to ensure understanding of the rules, a mandatory reading time was set. This time limit has been removed in the actual study and can be skipped at any time.
4.3.3. Comprehensible Incentives
In the test, it was found that almost all subjects could not understand the map-based breakout format. As Figure 6 shows, they thought this page showed a new game, and only one subject quickly understood the page meaning and gameplay based on their experience of playing the game before. They could not complete the task even after the main trial guided and explained the interface elements. Therefore, in the iteration stage, the previous breakthrough format was abandoned, and the leaderboard was replaced with a front-loaded one so that after the user chose to do a single-player rush, he immediately entered the leaderboard page to stimulate the user to complete the challenge in the form of ranking. In addition, the challenge button was placed in the center so that users could directly enter the familiar training page and reduce the difficulty of understanding.
Figure 6.
Iteration of the incentive system.
4.3.4. Differentiating Visual Information
When completing the Star Trek training (as Figure 7 shows), many subjects could not distinguish the rocket colors, and after pursuing the problem, they learned that the decorative paints of the rocket produced interference. During the iteration, the visual of the rocket was modified to keep the primary colors of the rocket and delete the parts that might cause interference. In the design of the dual-task button, all subjects chose the interaction method of dividing the operation area according to the judgment content. Still, in the actual test, some subjects quickly ignored the information that needed to be judged and expressed doubts about the arrangement of the button; therefore, in the iteration, the button shape was unified. The knowledge that needed to be evaluated was displayed in the middle of the controller for both single and dual tasks, and the judgment options were placed on both sides. The placement order was adjusted, with the left wrong and right to enhance consistency.
Figure 7.
Iteration of the visual information display.
4.4. Quantitative Results
After the product iteration, user testing was conducted again and seven subjects who met the same criteria were asked for user testing (1 could not be present due to epidemic restrictions). Unlike the task list in Table 3, since the design of the single-player challenge was adjusted and merged with the leaderboard feature, task 4 and task 6 were combined in the second user test, and the total number of tasks was reduced to 6 (see Figure 8). All subjects tried the prototype in a simulated training scenario to complete the test task. After completing the operational tasks, the subjects were interviewed in a structured manner to find out their true feelings about the product. After completing the task, all subjects completed the UEQ scale based on their real experience and compared it with the data before the iteration.
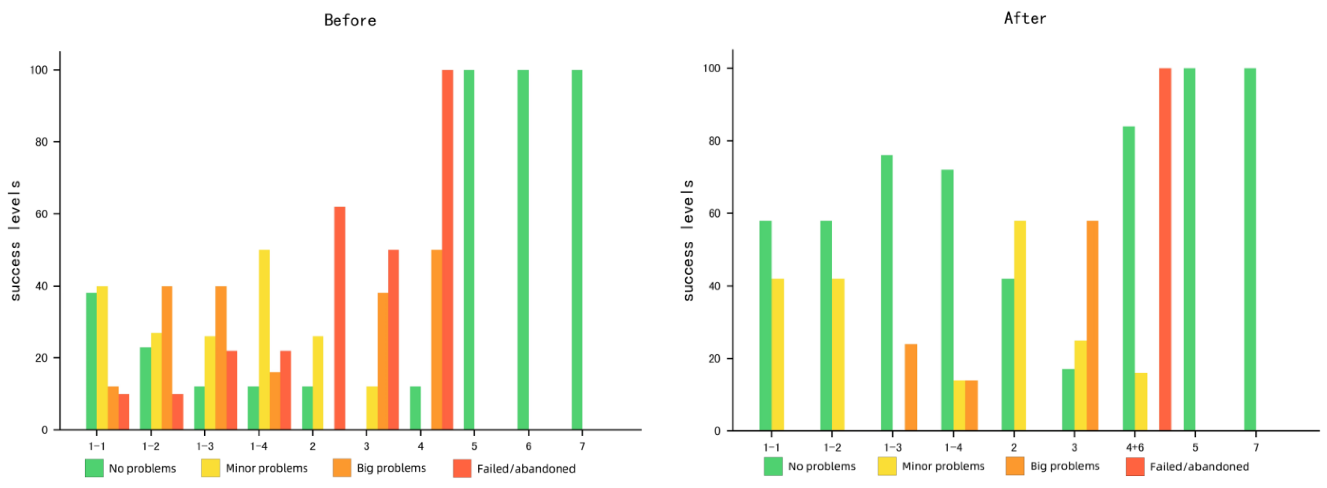
Figure 8.
The success levels. (Left): before the iteration; (right): after the iteration.
After the iteration, the subjects’ success rates in completing the tasks increased significantly. Subjects could complete all tasks independently. Some problems existed only in the two more complex and most difficult levels of the Fish Catching task and the Star Trek task. The latter two difficulty levels of the Fish Catching training corresponded to the case of N = 2 in the N-back training, and the subjects often forgot what they needed to judge in the Star Trek task. The reasons might be: (1) individual subjects have a limited cognitive ability and need more familiarization time and a lot of practice in understanding the rules, and they cannot remember and understand all the rules of the training in a short test, which is a considerable challenge for them; (2) subjects skip the reading of the rules after they find that there is an example session, which leads to bias in understanding and requires hints from the preliminary test to complete the task. At the end of this test, a time limit was set for the reading rules session, and users had to take the next session after the specified time. After the second user test, the product was also graded against the evaluation benchmark, and the scores of the two scales were compared. The iterated solutions were all improved compared to the original solution, and the direction of the solution iteration was correct and effective.
Table 4 shows that after the iterations, the product achieved an excellent rating except for clarity, and met users’ expectations. The research team of the UEQ scale established an evaluation benchmark based on data from many contributors assessing 246 products using the UEQ scale, with an average number of 40.26 responses per study. The benchmark included five quality levels: excellent (ranked in the top 10%), good (ranked in the 10–25%), above average (ranked in the 25–50%), below average (ranked in the 50–75%), and poor (ranked in the bottom 25%) [44].
Table 4.
Benchmark intervals for the UEQ scale.
In terms of mean values, the iterated prototypes showed improvements in all dimensions compared to the original prototypes (see Table 5). The product was consistently scored as excellent on both the attractiveness and novelty latitudes. Subjects reported that they had not been trained in such gamification before, indicating that the content was exciting and engaging. After the program iteration, users would complete their tasks without effort and feel secure and predictable. The iterative program improved the incentives, and facilitation increased as users understood and accepted the new incentive approach. The subjects thought the product design was apparent immediately, but it was not easy to understand, challenging to learn, and somewhat complicated. This might be because the subjects did not have corresponding training experience in the past and needed some practice and adaptation time. The training difficulty was too significant for the subjects. The design could be improved in subsequent studies by increasing the subdivision level of difficulty or trying other training paradigms with more straightforward rules.
Table 5.
Comparison of the scores of the two test scales.
5. Discussion
Overall, the lack of knowledge on intelligent device use may reduce older adults’ willingness to use mobile apps in their daily lives. The sense of confidence that older adults experience when using technology-type products could affect their perceptions of the usefulness of technology [45], and if mishandled, leave them with a loss of confidence in using technology. This may affect any technology interventions that may support them in later life. This study focuses on reducing the cost of learning the product for older adults by proposing a design strategy of shortening the process path and designing simple and direct interactions that incorporate desktop widget functionality and provide more obvious entry points to make it easier for them to begin training. Product functional areas and elements were kept as simple and differentiated as possible to reduce distractions, which are findings that are consistent with previous research [46]. Some studies have shown that after a relatively short introductory text, they could operate mobile devices with relative ease without further assistance [47], but this is only for tool-based or entertainment products; for the training products in this study, more detailed rule descriptions and help tips needed to be provided to users to increase novice error tolerance.
In terms of motivating older adults to use training products for a long time, the researchers proposed first choosing visual themes that are close to life to enhance familiarity and fun, and second, increasing the emotional design and setting appropriate incentives. Studies have shown that games are a meaningful way for them to train their cognitive and physical abilities, improve their self-esteem, and reduce social isolation to enhance their quality of life through entertainment and socialization [48]. Choosing familiar themes would help them understand complex training rules while enabling them to have more fun and self-satisfaction, which is the exact purpose of the reminiscence therapy proposed [49], as evidenced in our study: attractiveness and novelty of the product were the two highest-scoring dimensions in both scale scores. The participants enjoyed interacting with their peers, especially for activities of interest, as found in other studies [50,51,52,53,54,55,56]. It was found in the user feedback on the design solution that motivational approaches such as leaderboards and buddy contests were the fastest understood and first features noticed by older adults, who preferred to gain confidence and satisfaction from the comparison.
Although subjects reported no cognitive function-like disorders, there may be cases of pre-existing memory-related disorders without clinical diagnoses that should be screened for and differentiated in subsequent studies. In the training task, the 2-back paradigm was difficult for older adults, while the 1-back task tended to train more on short-term memory. In the follow-up work, we plan to add a dynamic memory paradigm to better train on a refreshing feature. Due to the limited research time, this study only tested the usability of the product solution and did not investigate its effectiveness. In future work, more detailed strategies and training programs should be developed, and the product’s effectiveness should be analyzed through the recovered data by tracking older adults for a long time after the product development. There are only three trainings in the current product. To attract older adults for long-term use, more exciting and fresh training needs to be provided, and more training paradigms could be combined in future product design to design more training modes to keep the training fresh. In terms of social significance, this product would increase society’s concern for older adults, alleviate young people’s concerns about their parent’s health, and promote the stability of society.
There are also obvious limitations to the study. As learned from the interviews, most of the older adults’ lives were closely related to their grandchildren, and the emotional communication with their grandchildren was also the direction they were always concerned about. In the subsequent research, we would consider combining the working memory training system with the children’s working memory training system to promote each other and increase the training motivation of both groups at the same time.
In addition to the function of the product itself, the activity of exchanging points for public welfare products could be added to the subsequent design. In the study, it was found that most older adults undertook unpaid voluntary and public welfare activities, but most of them were not aware of the ways to participate in public welfare online and expressed a positive attitude of interest and expectation to participate. A virtual public service activity could be set up in a subsequent study to explore the effect of the presence or absence of public service activities on the frequency of product use by older adults after a long-term follow-up.
Older adults can train anytime and anywhere in their daily lives with the training product and synchronize the training results’ data to healthcare professionals while improving their abilities, helping them to conduct long-term tracking and provide longitudinal data to supplement clinical assessments. In future product planning, we will carry out a multi-terminal design from the perspective of relevant practitioners to improve the training ecology and promote the development of the aging-appropriate industry.
6. Conclusions
Through user interviews and co-design workshops, this study explored the needs of this group for mobile applications of working memory training. The influencing factors’ structure of working memory training products was obtained through interviews, and the design of working memory training applications was studied in the workshop with older adults and researchers in combination with the interview results. By formulating visual design criteria, product interface design, widget design, daily training plans, novice teaching and practice modes, interactive functions, incentive mechanisms, and reducing the difficulties and discomfort of the elderly in using applications, the feedback from users and experts showed that the training subject was interesting and easy to understand, and the training program also provided enough guidance and practice modes, making it easier to master the rules. In addition, the training program provided the function of training with others and ranking, which made it easier to motivate them to keep training. To attract older users to use it for a long time, more interesting and fresh training needs to be provided. In future product design, more training paradigms will be combined to design training models further.
Author Contributions
Conceptualization, W.L.; methodology, Z.Z.; investigation, R.H.; writing—original draft preparation, Y.J.; writing—review and editing, D.Z.; supervision, Y.G.; project administration, Y.L. All authors have read and agreed to the published version of the manuscript.
Funding
This research received no external funding.
Institutional Review Board Statement
The study was conducted according to the guidelines of the Declaration of Helsinki and approved by the Ethics Committee of the Beijing Normal University (Code: 202202280023).
Informed Consent Statement
Informed consent was obtained from all subjects involved in the study. Written informed consent has been obtained from the participants to publish this paper.
Data Availability Statement
Not applicable.
Acknowledgments
We would like to express our gratitude to the design team at Microsoft Studio 8, Dahua Wang, Huamao Peng, Lin Chong, and the participants for their meaningful support of this work.
Conflicts of Interest
The authors declare no conflict of interest.
References
- Laidlaw, K.; Wang, D.; Coelho, C.; Power, M. Attitudes to ageing and expectations for filial piety across Chinese and British cultures: A pilot exploratory evaluation. Aging Ment. Health 2010, 14, 283–292. [Google Scholar] [CrossRef] [PubMed]
- Checa, I.; Perales, J.; Espejo, B. Measurement invariance of the satisfaction with life scale by gender, age, marital status and educational level. Qual. Life Res. 2019, 28, 963–968. [Google Scholar] [CrossRef] [PubMed]
- Idárraga-Cabrera, C.; Dueñas, J.-M.; Martínez-González, M.-B.; Navarro-Blanco, R.; Denegri-Coria, M.; Pino, M. Cognitive functioning, life satisfaction, and their relationship with the financial attitudes of older individuals who participate in an active aging program. Behav. Sci. 2020, 10, 189. [Google Scholar] [CrossRef] [PubMed]
- Al Mahmud, A.; Long, K.M.; Harrington, K.D.; Casey, K.; Bhar, S.; Curran, S.; Hunter, K.; Lim, M.H. Developing a digital psychoeducational tool to reduce loneliness in older adults: A design case study. Int. J. Hum. –Comput. Interact. 2022, 38, 499–528. [Google Scholar] [CrossRef]
- Hertzog, C.; Kramer, A.F.; Wilson, R.S.; Lindenberger, U. Enrichment effects on adult cognitive development: Can the functional capacity of older adults be preserved and enhanced? Psychol. Sci. Public Interest 2008, 9, 1–65. [Google Scholar] [CrossRef]
- Peng, H.; Wen, J.; Wang, D.; Gao, Y. The impact of processing speed training on working memory in old adults. J. Adult Dev. 2012, 19, 150–157. [Google Scholar] [CrossRef]
- Deary, I.J.; Corley, J.; Gow, A.; Harris, S.E.; Houlihan, L.M.; Marioni, R.; Penke, L.; Rafnsson, S.B.; Starr, J.M. Age-associated cognitive decline. Br. Med. Bull. 2009, 92, 135–152. [Google Scholar] [CrossRef]
- Cheng, Y.J.; Lin, C.H.; Lane, H.Y. Involvement of cholinergic, adrenergic, and glutamatergic network modulation with cognitive dysfunction in Alzheimer’s disease. Int. J. Mol. Sci. 2021, 22, 2283. [Google Scholar] [CrossRef]
- Pulliam, L.; Sun, B.; Mustapic, M.; Chawla, S.; Kapogiannis, D. Plasma neuronal exosomes serve as biomarkers of cognitive impairment in HIV infection and Alzheimer’s disease. J. Neurovirol. 2019, 25, 702–709. [Google Scholar] [CrossRef]
- Jash, K.; Gondaliya, P.; Kirave, P.; Kulkarni, B.; Sunkaria, A.; Kalia, K. Cognitive dysfunction: A growing link between diabetes and Alzheimer’s disease. Drug Dev. Res. 2020, 81, 144–164. [Google Scholar] [CrossRef]
- Smith, G.E.; Housen, P.; Yaffe, K.; Ruff, R.; Kennison, R.F.; Mahncke, H.W.; Zelinski, E.M. A cognitive training program based on principles of brain plasticity: Results from the Improvement in Memory with Plasticity-based Adaptive Cognitive Training (IMPACT) Study. J. Am. Geriatr. Soc. 2009, 57, 594–603. [Google Scholar] [CrossRef] [PubMed]
- Teixeira-Santos, A.C.; Moreira, C.S.; Magalhães, R.; Magalhães, C.; Pereira, D.R.; Leite, J.; Carvalho, S.; Sampaio, A. Reviewing working memory training gains in healthy older adults: A meta-analytic review of transfer for cognitive outcomes. Neurosci. Biobehav. Rev. 2019, 103, 163–177. [Google Scholar] [CrossRef] [PubMed]
- Chen, B.; Wei, Y.; Deng, W.; Sun, S. The effects of cognitive training on cognitive abilities and everyday function: A 10-week randomized controlled trial. Int. J. Aging Hum. Dev. 2018, 86, 69–81. [Google Scholar] [CrossRef] [PubMed]
- Lumsden, J.; Edwards, E.A.; Lawrence, N.S.; Coyle, D.; Munafò, M.R. Gamification of cognitive assessment and cognitive training: A systematic review of applications and efficacy. JMIR Serious Games 2016, 4, e5888. [Google Scholar] [CrossRef] [PubMed]
- Vermeir, J.F.; White, M.J.; Johnson, D.; Crombez, G.; Van Ryckeghem, D.M.L. The effects of gamification on computerized cognitive training: Systematic review and meta-analysis. JMIR Serious Games 2020, 8, e18644. [Google Scholar] [CrossRef]
- Shipstead, Z.; Redick, T.S.; Engle, R.W. Is working memory training effective? Psychol. Bull. 2012, 138, 628. [Google Scholar] [CrossRef]
- Cavallini, E.; Pagnin, A.; Vecchi, T. Aging and everyday memory: The beneficial effect of memory training. Arch. Gerontol. Geriatr. 2003, 37, 241–257. [Google Scholar] [CrossRef]
- Morrison, A.B.; Chein, J.M. Does working memory training work? The promise and challenges of enhancing cognition by training working memory. Psychon. Bull. Rev. 2011, 18, 46–60. [Google Scholar] [CrossRef]
- Borella, E.; Carretti, B.; Riboldi, F.; de Beni, R. Working memory training in older adults: Evidence of transfer and maintenance effects. Psychol. Aging 2010, 25, 767. [Google Scholar] [CrossRef]
- Karbach, J.; Verhaeghen, P. Making working memory work: A meta-analysis of executive-control and working memory training in older adults. Psychol. Sci. 2014, 25, 2027–2037. [Google Scholar] [CrossRef]
- Xin, X.; Zhou, W.; Li, M.; Wang, H.; Xu, H.; Fan, Y.; Ma, W.; Zhu, D. Innovation design in personal center interface of mobile application. In Proceedings of the International Conference of Design, User Experience, and Usability, Vancoucer, Canada, 9–14 July 2017; Springer: Cham, Switzerland, 2017; pp. 310–323. [Google Scholar]
- Pergher, V.; Shalchy, M.A.; Pahor, A.; Van Hulle, M.M.; Jaeggi, S.M.; Seitz, A.R. Divergent research methods limit understanding of working memory training. J. Cogn. Enhanc. 2020, 4, 100–120. [Google Scholar] [CrossRef] [PubMed]
- Boendermaker, W.J.; Boffo, M.; Wiers, R.W. Exploring elements of fun to motivate youth to do cognitive bias modification. Games Health J. 2015, 4, 434–443. [Google Scholar] [CrossRef] [PubMed]
- Surie, D.; Pederson, T.; Janlert, L.E. The easy ADL home: A physical-virtual approach to domestic living. J. Ambient. Intell. Smart Environ. 2010, 2, 287–310. [Google Scholar] [CrossRef]
- Bonnechère, B.; Jansen, B.; Omelina, L.; Jan, S.V.S. The use of commercial video games in rehabilitation: A systematic review. Int. J. Rehabil. Res. 2016, 39, 277–290. [Google Scholar] [CrossRef] [PubMed]
- Bickel, W.K.; Moody, L.; Quisenberry, A. Computerized working-memory training as a candidate adjunctive treatment for addiction. Alcohol Res. Curr. Rev. 2014, 36, 123. [Google Scholar]
- Cantarella, A.; Borella, E.; Carretti, B.; Kliegel, M.; de Beni, R. Benefits in tasks related to everyday life competences after a working memory training in older adults. Int. J. Geriatr. Psychiatry 2017, 32, 86–93. [Google Scholar] [CrossRef]
- Al Shloul, T.; Javeed, M.; Gochoo, M.; Alsuhibany, S.A.; Ghadi, Y.Y.; Jalal, A.; Park, J. Student’s health exercise recognition tool for e-learning education. Intell. Autom. Soft Comput. 2023, 35, 149–161. [Google Scholar] [CrossRef]
- Afsar, M.M.; Saqib, S.; Ghadi, Y.Y.; Alsuhibany, S.A.; Jalal, A.; Park, J. Body worn sensors for health gaming and e-Learning in virtual reality. Comput. Mater. Contin. 2022, 73, 4763–4777. [Google Scholar]
- Bonnechère, B.; Fabris, C.; Bier, J.C.; van Sint Jan, S.; Feipel, V.; Jansen, B. Evaluation of cognitive functions of aged patients using video games. In Proceedings of the 4th Workshop on ICTs for Improving Patients Rehabilitation Research Techniques, Lisbon, Portugal, 13–14 October 2016; pp. 21–24. [Google Scholar]
- Tahir, S.B.U.D.; Jalal, A.; Kim, K. Wearable inertial sensors for daily activity analysis based on adam optimization and the maximum entropy Markov model. Entropy 2020, 22, 579. [Google Scholar] [CrossRef]
- Zeng, Z.; Fauvel, S.; Hsiang, B.T.T.; Wang, D.; Qiu, Y.; Khuan, P.C.O.; Leung, C.; Shen, Z.; Chin, J.J. Towards long-term tracking and detection of early dementia: A computerized cognitive test battery with gamification. In Proceedings of the 3rd International Conference on Crowd Science and Engineering, Singapore, 28–31 July 2018; pp. 1–10. [Google Scholar]
- Ge, S.; Zhu, Z.; Wu, B.; McConnell, E.S. Technology-based cognitive training and rehabilitation interventions for individuals with mild cognitive impairment: A systematic review. BMC Geriatr. 2018, 18, 1–19. [Google Scholar] [CrossRef]
- Lin, L.H.; Xu, W.Q.; Wang, S.B.; Hu, Q.; Zhang, P.; Huang, J.-H.; Ke, Y.-F.; Ding, K.-R.; Hou, C.-L.; Jia, F.-J. U-shaped association between sleep duration and subjective cognitive complaints in Chinese elderly: A cross-sectional study. BMC Psychiatry 2022, 22, 1–11. [Google Scholar] [CrossRef] [PubMed]
- Maher, C.; Hadfield, M.; Hutchings, M.; De Eyto, A. Ensuring rigor in qualitative data analysis: A design research approach to coding combining NVivo with traditional material methods. Int. J. Qual. Methods 2018, 17, 1609406918786362. [Google Scholar] [CrossRef]
- Von Bastian, C.C.; Oberauer, K. Effects and mechanisms of working memory training: A review. Psychol. Res. 2014, 78, 803–820. [Google Scholar] [CrossRef] [PubMed]
- Spinuzzi, C. The methodology of participatory design. Tech. Commun. 2005, 52, 163–174. [Google Scholar]
- Lindsay, S.; Jackson, D.; Schofield, G.; Olivier, P. Engaging older people through participatory design. In Proceedings of the ACM Conference on Human Factors in Computing (CHI’12), Austin, TX, USA, 5–10 May 2012. [Google Scholar]
- Rieman, J.; Franzke, M.; Redmiles, D. Usability evaluation with the cognitive walkthrough. In Proceedings of the Conference Companion on Human Factors in Computing Systems, Boston, MA, USA, 7–11 May 1995; pp. 387–388. [Google Scholar]
- Albert, B.; Tullis, T. Measuring the User Experience: Collecting, Analyzing, and Presenting Usability Metrics; Morgan Kaufmann: Burlington, MA, USA, 2013. [Google Scholar]
- Schrepp, M.; Thomaschewski, J.; Hinderks, A. Construction of a benchmark for the user experience questionnaire (UEQ). Int. J. Interact. Multimed. Artif. Intell. 2017, 4, 40–44. [Google Scholar] [CrossRef]
- Korhonen, H.; Paavilainen, J.; Saarenpää, H. Expert review method in game evaluations: Comparison of two playability heuristic sets. In Proceedings of the 13th International MindTrek Conference, Tampere, Finland, 30 September–2 October 2009; pp. 74–81. [Google Scholar]
- Eidels, A.; Ryan, K.; Williams, P.; Algom, D. Depth of processing in the Stroop task: Evidence from a novel forced-reading condition. Exp. Psychol. 2014, 61, 385. [Google Scholar] [CrossRef]
- Schrepp, M.; Hinderks, A.; Thomaschewski, J. Applying the user experience questionnaire (UEQ) in different evaluation scenarios. In Proceedings of the International Conference of Design, User Experience, and Usability, Heraklion, Greece, 22–27 June 2014; Springer: Cham, Switzerland, 2014; pp. 383–392. [Google Scholar]
- Hong, S.J.; Thong, J.Y.L.; Tam, K.Y. Understanding continued information technology usage behavior: A comparison of three models in the context of mobile internet. Decis. Support Syst. 2006, 42, 1819–1834. [Google Scholar] [CrossRef]
- Zhu, D.; Zhang, B.; Wu, J.; Zhao, L.; Jing, Y.; Wang, D.; Liu, W.; Al Mahmud, A.; Qiao, L.; Auernhammer, J.; et al. Social inclusion in an aging world: Envisioning elderly-friendly digital interfaces. In Proceedings of the International Conference on Human Interaction and Emerging Technologies, Strasbourg, France, 28–30 April 2021; Springer: Cham, Switzerland, 2021; pp. 1082–1087. [Google Scholar]
- Mertens, A.; Brandl, C.; Miron-Shatz, T.; Schlick, C.; Neumann, T.; Kribben, A.; Meister, S.; Diamantidis, C.J.; Albrecht, U.V.; Horn, P.; et al. A mobile application improves therapy-adherence rates in elderly patients undergoing rehabilitation: A crossover design study comparing documentation via iPad with paper-based control. Medicine 2016, 95, e4446. [Google Scholar] [CrossRef]
- Duh, H.B.L.; Do, E.Y.L.; Billinghurst, M.; Quek, F.; Chen, V.H.H. Senior-friendly technologies: Interaction design for senior users. In Proceedings of the CHI’10 Extended Abstracts on Human Factors in Computing Systems, Atlanta, GA, USA, 10–15 April 2010; pp. 4513–4516. [Google Scholar]
- Parker, R.G. Reminiscence: A continuity theory framework. Gerontol. 1995, 35, 515–525. [Google Scholar] [CrossRef]
- Liu, W.; Lee, K.P.; Gray, C.M.; Toombs, A.L.; Chen, K.-H.; Leifer, L. Transdisciplinary teaching and learning in UX design: A program review and AR case studies. Appl. Sci. 2021, 11, 10648. [Google Scholar] [CrossRef]
- Sanders, E.B.N.; Stappers, P.J. Probes, toolkits and prototypes: Three approaches to making in codesigning. CoDesign 2014, 10, 5–14. [Google Scholar] [CrossRef]
- Zhu, D.; Xu, Y.; Ma, H.; Liao, J.; Sun, W.; Chen, Y.; Liu, W. Building a three-level user experience (UX) measurement framework for mobile banking applications in a Chinese context: An analytic hierarchy process (AHP) analysis. Multimodal Technol. Interact. 2022, 6, 83. [Google Scholar] [CrossRef]
- Stargatt, J.; Bhar, S.; Bhowmik, J.; Al Mahmud, A. Digital storytelling for health-related outcomes in older adults: Systematic review. J. Med. Internet Res. 2022, 24, e28113. [Google Scholar] [CrossRef]
- Zielhuis, M.; Visser, F.S.; Andriessen, D.; Stappers, P.J. Making design research relevant for design practice: What is in the way? Des. Stud. 2022, 78, 101063. [Google Scholar] [CrossRef]
- Zhu, D.; Wang, D.; Huang, R.; Jing, Y.; Qiao, L.; Liu, W. User interface (UI) design and user experience questionnaire (UEQ) evaluation of a to-do list mobile application to support day-to-day life of older adults. Healthcare 2022, 10, 2068. [Google Scholar] [CrossRef]
- Li, X.; Niksirat, K.S.; Chen, S.; Weng, D.; Sarcar, S.; Ren, X. The impact of a multitasking-based virtual reality motion video game on the cognitive and physical abilities of older adults. Sustainability 2020, 12, 9106. [Google Scholar] [CrossRef]
Publisher’s Note: MDPI stays neutral with regard to jurisdictional claims in published maps and institutional affiliations. |
© 2022 by the authors. Licensee MDPI, Basel, Switzerland. This article is an open access article distributed under the terms and conditions of the Creative Commons Attribution (CC BY) license (https://creativecommons.org/licenses/by/4.0/).







