Next Article in Journal
Identifying Research Topics and Trends in Asset Management for Sustainable Use: A Topic Modeling Approach
Previous Article in Journal
An Evaluation of the Formative Experiences of Students Enrolled in Postgraduate Studies in Education: Case Study in Northern Mexico
 
 
Font Type:
Arial Georgia Verdana
Font Size:
Aa Aa Aa
Line Spacing:
Column Width:
Background:
Article

Impacts of Composition and Canopy Characteristics of Plant Communities on Microclimate and Airborne Particles in Beijing, China

1
School of Landscape Architecture, Beijing Forestry University, Beijing 100083, China
2
Laboratory of Beijing Urban and Rural Ecological Environment, Beijing 100083, China
3
National Engineering Research Center for Floriculture, Beijing 100083, China
*
Author to whom correspondence should be addressed.
Sustainability 2021, 13(9), 4791; https://doi.org/10.3390/su13094791
Submission received: 17 March 2021 / Revised: 10 April 2021 / Accepted: 14 April 2021 / Published: 24 April 2021

Abstract

As the basic component of urban green-spaces, plant communities regulate both the microclimate and air particle levels. Understanding the regulatory mechanism of plant communities represents the theoretical basis for using green spaces to improve the urban climate and mitigate air particle pollution. Based on field investigations, differences in the daily air temperatures (AT), relative humidity (RH), and PM10 and PM2.5 concentrations in eight compositional types of plant communities were quantitatively analyzed. In addition, the correlations between these variables and various canopy parameters were further established in order to detect critical thresholds. The results showed that, among the eight compositional types, significant differences existed in daily AT, RH, PM10 and PM2.5 levels. The mixed tree, shrub and grass (M-TSG) community had the strongest cooling and PM10 reduction effects; the broad-leafed tree, shrub and grass (B-TSG) community had the best humidifying effect; while the mixed tree and grass (M-TG) community most effectively reduced PM2.5 concentrations. The daily AT and PM10 concentrations were significantly negatively correlated with canopy density (CD) and leaf area index (LAI), but positively correlated with canopy porosity (CP) and sky view factor (SVF), while these correlations were opposite for daily RH. The response of daily PM2.5 concentrations to canopy characteristics was complex, featuring multiple non-linear relations. Critical thresholds were found in some cases. Overall, M-TSG or M-TG communities with about 75% CD, 55% CP, 2.5 LAI and 0.18 SVF perform most noticeable both microclimate and air particle regulation services.

1. Introduction

Due to rapid urbanization and industrialization, increased human activity has discharged large amounts of anthropogenic heat and pollutants into the atmosphere, which has triggered a series of urban environmental crises [1]. A large number of studies have reported that land surface temperatures, air temperatures (AT) and air pollutant levels within cities are significantly higher than those in surrounding rural areas [2,3]. The urban heat island (UHI) effect and air pollution have become prominent restrictions to the development of multiple cities in recent years. Taking Beijing as an example, the AT of Beijing has increased significantly at a rate of 0.45 °C per decade from 1960 to 2018. This has resulted in warmer winters and summer heat anomalies. In 2019, it was recorded that the air quality of Beijing was below the national standard for as much as 125 days, accounting for 34% of the whole year. Airborne particles remain the main form of air pollutant in Beijing [4]. Continuous high temperatures in urban areas reduce their atmospheric pressure to levels lower than the surrounding rural areas. This is not conducive to the diffusion or dispersion of pollutants, creating a reflux back into the urban area [5,6,7]. High temperatures can also catalyze the secondary reactions of some pollutants, further aggravating the deterioration of urban air quality. The long-term suspension of air particles can form a cover over the city, which not only hinders the outward radiation of urban heat [8], but also absorbs and scatters solar radiation, thus, indirectly contributing to a deteriorating local thermal environment. Therefore, it is crucial to explore the long-term feasibility, economic and effective control strategies for reducing both the UHI phenomenon and air particle pollution from the perspective of sustainable development.
Previously UHI research has mainly focused on the origin, strength, spatial and temporal distribution, simulation and prediction of UHI [9,10,11], while pollution studies have focused on the component characteristics, source apportionment, attenuation mechanisms and hazard assessment of airborne particles [12,13,14]. These studies have covered various topics ranging from large-scale analyses based on remote sensing retrieval, to local and micro-scale projects based on field observations and numerical simulations [15,16,17,18]. In recent years, the effects of landscape elements on UHI and airborne particle pollution have begun to attract increasing attention. As the most important natural component of the urban ecosystem, green-space is the main provider of urban ecosystem services (ES). Among the many ESs, thermal and particulate matter (PM) regulation services are considered as the key services provided by green-space vegetation. Such services are of great significance in coping with global climate change, alleviating urban heat island effects and improving urban air quality [19,20,21,22]. These regulatory services generated from plants can influence the level and distribution of water, heat and PM in the air via transpiration, isolation and blocking, as well as absorption and detention effects [23,24,25]. However, plants in urban green spaces rarely exist as individuals, but rather as plant communities, which generally refers to vegetation assemblages or patches constructed via plant selection, configuration, planting and management in urban green-spaces. The dense canopy of plant communities, comprising branches and leaves, can absorb and reflect a large amount of solar radiation and exerts a shading effect. Meanwhile, plants’ evapotranspiration processes bring water into the air, which transforms and consumes ambient heat, thus, adjusting both the AT and relative humidity (RH) under the tree canopy and its surrounding environment [26,27,28]. In addition, complex community canopies can change the velocity and direction of airflow, create local circulation and promote the deposition of air particles. Moreover, this is coupled with the detention and absorption of different-sized particles by the canopy branches and leaves, leading to the regulation of airborne particle levels [29,30]. Therefore, the basic component of urban green spaces is plant communities. Additionally, when appropriately implemented, plant communities, as a basic functional unit, can produce a regulating effect on both UHI and air pollution.
Plant communities feature multiple composition types. Most scholars believe that different community types have variable effects on cooling, humidifying and are associated with different-sized particle concentrations. The regulatory effects of multi-layer communities dominated by trees are significantly better than those of other types [31,32]. Recently, canopy characteristic effects, such as canopy density (CD), leaf area index (LAI), plant height and ventilation coefficients, on the levels of AT, RH and PM concentrations under the canopy have been reported [30,33]. To influence ambient microclimate, CD and LAI are considered the most important factors affecting AT [34,35]. To influence airborne particle levels, most studies advocate that plant communities with high planting density, CD and LAI have greater total dust retention capacities, making them more effective at reducing PM [36,37]. However, in some cases, dense vegetation has been found to inhibit air exchange near the ground, which is not conducive to the diffusion and attenuation of PM [38]. Recently, further development of quantitative methods has led some researchers to focus on whether there is a critical threshold for the effects of plant community canopy on microclimate and air particle levels [21,39]. However, there are insufficient results to define key thresholds to guide the construction of plant communities in urban areas to regulate these attributes.
Moreover, many studies have shown that there is a complex interaction between AT, RH and air particles, especially in the case of fine particles [40,41]. Studies have reported fine particles are particularly sensitive to microclimate factors. Some specific AT and RH conditions may not be conducive to the regulation of air particle levels [42]. As previous studies on the regulatory effects of green spaces mostly focused on the mitigation of either UHI or air pollution, they lack comprehensive consideration of both environmental issues [37,38,43,44], which may easily lead to neglecting one or the other in application. Therefore, finding a strategy to balance both issues is highly relevant to the construction of plant communities to improve urban thermal and dust environments.
To quantitatively investigate the regulating mechanisms and influential factors of plant communities on microclimate and air particle levels in highly heterogeneous urban environments, and provide theoretical guidance for future urban green-space design and management optimization, in this paper we focused on characterizing: (1) variations of microclimate and air particle levels in various plant community types; and (2) determining critical thresholds of plant community canopy characteristics on microclimate and airborne particle levels.

2. Materials and Methods

2.1. Study Area and Measurement Sites

Beijing (39°56′ N, 116°20′ E), situated in the northern part of the North China Plain, has a monsoon-influenced humid continental climate, with hot and humid summers and generally cold and dry winters. Based on meteorological data for 2019, the annual average temperature of Beijing was 12.5 °C and the average annual precipitation was 511.1 mm, which mostly occurred in summer. The predominant wind direction in summer was southeast to northeast, while the reverse direction dominated in winter [45]. In 2019, the average concentrations of PM2.5 and PM10 were 42 µg/m3 and 60 µg/m3 in Beijing [4].
Urban residential areas, featuring highly heterogeneous internal environments and complex underlying surface patterns, which could be considered as “miniatures” of urban environments, are highly suitable for local and micro-scale studies. In this study, Wangjinghuayuan (WJHY; 40°0′ N, 116°28′ E), Xiuyuan (XY; 39°59′ N, 116°24′ E), Shuiduizi (SDZ; 39°55′ N, 116°28′ E) and Hepingjiayuan (HPJY; 39°57′ N, 116°25′ E) residential areas were selected for field monitoring (Figure 1). These four residential areas are evenly distributed in the northwest Chaoyang District of Beijing, with an average separation distance of 6.58 km and no large green spaces around them. Their surrounding streets enclose them as internally isolated spaces with typically flat interior terrain. The vegetation coverage in all residential areas is around 40%–60%. Descriptions of these four residential areas are given in Table 1.
Experiments aiming at examining the influence of community composition (Experiment A) were carried out in the green spaces of WJHY, XY and SDZ residential areas. Based on pre-investigation, eight plant community types were defined, which are: mixed coniferous and broad-leaved trees, shrubs and grasses (M-TSG); broad-leaved trees, shrubs and grasses (B-TSG); coniferous trees, shrubs and grasses (C-TSG); mixed coniferous and broad-leaved trees and grasses (M-TG); broad-leaved trees and grasses (B-TG); coniferous trees and grasses (C-TG); broad-leaved shrubs and grasses (B-SG); and coniferous shrubs and grasses (C-SG). We selected 24 plant community plots with a size of 10 m × 10 m. Additionally, all these community types are common in Beijing urban green spaces.
Experiments aiming at examining the influence of canopy characteristics (Experiment B) were carried out in the green space of HPJY. We selected nine mixed plant communities with different canopy structures with a size of 15 m × 15 m. Each plot features moderate and similar proportions of trees, shrubs and grasses. We ensured that the distance between the center of each selected community and the surrounding buildings was more than 10 m to avoid any interference with the measurement results.
Basic information about the above 24 and 9 plots is detailed in Table 2 and Table 3, respectively. The locations of the residential areas and 33 plant community plots are shown in Figure 1.

2.2. Microclimate and Airborne Particle Level Measurements

In this study, all monitoring was conducted on clear (pollution levels of mild or good) and windless (wind velocity < 2 m/s) days in summer (July–August 2016) with similar basic weather conditions (AT, RH and air quality) to avoid the influence of significantly different meteorological factors, e.g., cloudiness, precipitation, wind and heavy pollution. Experiment A was carried out in August 2015 and experiment B was carried out in July 2015. To reduce the potential interference of the variation in measurement time on the results of mobile monitoring, a two-way route mobile monitoring method was employed. Movements between measurement points were in one order on the first day and reversed on the second. The two consecutive days of data monitoring were regarded as a replication. In each experiment, six consecutive days of data monitoring, which is comprised of three replications, were conducted. Data were collected every 2 h from 8:00 to 18:00 h in each day, with a total of six standard time periods.
AT and RH were measured by using TES-1341 thermistor temperature tester (nominal accuracy of 0.1 °C; TES, Taiwan, China), which was housed in radiation shields to avoid direct sunlight. PM10 and PM2.5 concentrations were synchronously measured using handheld DUSTMATE particle collectors (Turnkey Instruments Ltd., Northwich, UK). All instruments were placed at the center of each plot, sampling at 1.2 m-height aboveground. Six sets of repeated measurements were made at each site, with a recording interval of 1 min. One line transect observation took about 60 min for each residential area. The monitoring time was also simultaneously recorded at each measuring plot.
Considering that AT, RH and PM concentrations may be sensitive to local climate changes during measurement time, an independent set of instruments was installed on a paved area within the study site to record local climate change from 8:00 to 18:00. Based on mathematical correction methods used in some thermal environment research [46], these data were used as a reference to correct mobile measurements to each standard time.

2.3. Classification of Plant Community Types and Measurements of Canopy Characteristics

In this study, plant compositions of selected plots were recorded during preinvestigation and classified into eight community types as described above. To measure canopy characteristics, CD, canopy porosity (CP), LAI and sky view factor (SVF) were selected to define the community canopy in horizontal, vertical and overall leaf volume dimensions, respectively. Within each community, five measuring points were set at the positions shown in Figure 2. All canopy measurements were conducted on a cloudy day (without strong direct solar radiation) at a 1.5 m-height above each measuring point. The mean of these five measuring points was used to represent the CD, CP, LAI and SVF values of each community.
(1) CD measurements: Photos were taken vertically at all measurement points within the plant community using a full-frame single-lens reflex (SLR) camera. Then, these photos were processed by Adobe Photoshop software (PS; Abode Inc., San Jose, CA, USA) and the CD was represented as the mean pixel ratio of the horizontal section of the canopy.
(2) CP measurements: Photos were taken horizontally toward the center of the canopy at all measurement points within the plant community using a full-frame SLR camera. After PS pretreatment, the CP was determined as the mean Photoshop pixel ratio of the vertical section of the canopy.
(3) LAI measurements: LAI values for each plant community were directly obtained using the LAI-2200 Plant Canopy Analyzer (LI-COR Biosciences, Lincoln, NE, USA). To avoid interference from surrounding obstructions, the lens cover with 30–60° angle was used (depends on the surrounding environment).
(4) SVF measurements: Photos were taken vertically at all measurement points within the plant community by a full-frame SLR camera with a fisheye lens. After PS pretreatment, photos were imported into RayMan software [47] to further determine SVF values. An example is shown in Figure 3.

2.4. Data Analysis

In this study, for each monitoring point, the mean value of round-trip mobile data at the same time represented its observational value at this time. The averages of the six rounds of data monitoring were used to represent daily averages of AT, RH, PM10 and PM2.5.
One-way ANOVA and multiple comparison (Duncan’s method) were carried out to examine the significant differences in microclimates and PM levels among plant communities with different compositions. Groups with identical letters are not significantly different at α = 0.05. Pearson correlation was used to examine relationships among canopy parameters, AT, RH and PM concentrations. Relationships among these variables were visualized based on non-linear curve fitting. All statistical analyses were performed using SPSS 22.0 software (IBM Corp., Armonk, NY, USA). A p-value < 0.05 was regarded as being statistically significant. Non-linear fitting was performed using Origin 2017 software (OriginLab Corp., Northhampton, MA, USA).

3. Results

3.1. Microclimate and Airborne Particle Levels of Different Community Types

3.1.1. Air Temperature and Relative Humidity

The daily average AT (dAT) of the eight plant community types in summer are shown in Figure 4a with the superscript representing the result of multiple comparisons. The M-TSG community had the lowest dAT (33.58 ± 2.04) °C, followed by B-TSG (33.95 ± 1.91) °C and B-TG (34.49 ± 1.01) °C. C-SG reached the highest dAT of (38.39 ± 1.10) °C, which is dramatically higher than the minimum value of 4.81 °C. ANOVA and Duncan analysis revealed significant differences among the eight plant community types, having a p-value of 0.008. As shown in Figure 4b, the maximum dRH was recorded in the B-TSG community (57.41% ± 4.07%), followed by M-TSG (56.52% ± 4.76%) and B-TG (53.98% ± 3.94%) community. The minimum dRH was recorded in the C-SG community (45.59% ± 4.12%). The difference between extreme values was 11.81%. There were significant differences among community types (p = 0.012).

3.1.2. Particulate Matter Concentrations

PM concentrations shown in Figure 4c reveal that the M-TSG community had the lowest daily average PM10 concentration (dPM10), with a value of merely (37.31 ± 5.98) µg/m3, followed by the (39.67 ± 6.16) µg/m3 B-TSG. The (57.33 ± 6.11) µg/m3 C-SG community featured the highest concentration. The daily average dPM10 of these eight plant community types ranked as follows: M-TSG < B-TSG < C-TSG < M-TG < C-TG < B-TG < B-SG < C-SG, with a range of 20.02 µg/m3 and significant differences among different plant community types (p = 0.035). As for daily average PM2.5 levels (dPM2.5) shown in Figure 4d, the difference among all eight plant community types was also significant (p = 0.042). M-TSG had the lowest concentration, with dPM2.5 of (15.52 ± 1.55) µg/m3, followed by (15.84 ± 1.69) µg/m3 B-TSG. (18.57 ± 1.36) µg/m3 B-SG and (18.95 ± 1.22) µg/m3 C-SG featured significantly higher concentrations than others, while the difference in extreme values was 3.43 µg/m3.

3.2. Response of Microclimate and Airborne Particle Levels to Plant Community Canopy Characteristics

The canopy characteristics and the daily average AT, RH, PM10 and PM2.5 values of the nine plant communities in experiment B are, respectively, shown in Table 4 and Table 5. To examine the effects of canopy characteristics on microclimate and airborne particle levels, we analyzed the relationships of AT, RH, PM10 and PM2.5 levels with canopy parameters by calculating Pearson’s correlation coefficients (cc) as shown in Table 6.

3.2.1. Air Temperature and Relative Humidity

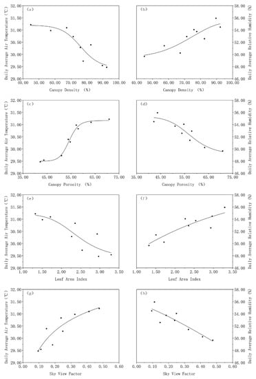
Results shown in Table 6 and Figure 5a,b suggest that CD had a strong negative correlation with dAT (cc= −0.874), but was positively correlated with dRH (cc = −0.865). Both correlations reached high significance levels (sig. < 0.01). With increasing CD, dAT gradually decreased, while dRH increased. As CD increased to about 65%, the plant community had a cooling effect, although dAT declined very slightly. Once the CD was over 70%, the decline in dAT was obvious. This indicates that 65%–70% may be a key CD threshold to affect ambient AT. With increasing CD, the change rate of dRH remained stable, showing a quasilinear increase, with no indication of a critical threshold.
CP was found to be positively correlated with dAT, but negatively correlated with dRH, with cc values of 0.930 and −0.917, respectively (sig. < 0.01, Table 6). The dAT changed less dramatic when CP fell below 48% (Figure 5c), while dramatic AT changes were found between 50%–60% CP, suggesting that plant communities with CP in this interval had marked cooling effects. However, when the community canopy became too porous in the horizontal direction, with CP larger than 60%, the cooling effect was extremely limited. The correlation between CP and dRH shown in Figure 5d is quasilinear. With increasing CP, the reduction in dRH decreased (CP around 57%), although a critical threshold was not apparent.
The dAT decreased while the dRH increased significantly with increasing LAI, as indicated by the results shown in Table 6 and Figure 5e,f. Both parameters were correlated at a high level of significance (sig. < 0.01), with cc values of −0.905 and 0.867, respectively. With increasing LAI, the reduction in dAT changed slightly. In contrast, the dRH increased in a steady quasilinear trend. No thresholds were apparent for AT and RH related to this canopy characteristic.
In contrast, a significant positive relationship between SVF and dAT was observed (cc = 0.885, sig. < 0.01). Lower SVF led to lower dAT. This trend suggests that when the SVF increased within the range 0.10–0.25, the increment in dAT was slightly higher than that when SVF was over 0.25. However, this threshold was not well defined. Meanwhile, the dRH decreased significantly with increasing SVF (cc = −0.902, sig. < 0.01). The relationship between SVFs and dRH was also quasilinear.

3.2.2. Particulate Matter Concentrations

The results in Table 6 and Figure 6a show that the dPM10 was negatively correlated with CD (cc = −0.769, sig. < 0.05). With increasing CD, the dPM10 decreased significantly without obvious fluctuation. However, when CD increased to 60%–75%, the dPM10 reduction increased significantly. Once the CD exceeded 80%, the reduction slowed down again. Interestingly, no significant relationship was detected between CD and dPM2.5 (sig. > 0.05). From Figure 6b, the dPM2.5 first showed an obvious decrease, but as CD increased to around 78%, dPM2.5 increased instead. This indicates that high canopy density is not necessarily conducive to reducing PM2.5. From the fitting trend in Figure 6b, 75% was identified as the key CD threshold for effective PM2.5 reduction.
The dPM10 values showed a significant positive correlation with CP (sig. < 0.05), with a cc value of 0.711 (Table 6). With increasing CP, dPM10 increased (Figure 6c). The response of dPM10 to the change in CP did not fluctuate significantly. With higher canopy porosity in the horizontal direction, the interception and filtration effects on PM10 became weaker. There was no obvious inflection point to this fitting trend. The correlation between dPM2.5 and CP was insignificant (sig. > 0.05). As CP gradually increased, the dPM2.5 slightly increased (Figure 6d). Once CP reached 55%, the growth rate of dPM2.5 accelerated. This indicates that CP values below 55% are beneficial to the absorption of PM2.5, but once the CP exceeds 55%, the sparse canopy cannot effectively reduce fine particles.
The dPM10 concentration was negatively correlated with LAI (sig. < 0.05, cc = −0.788). As LAI increased, the dPM10 decreased, with no obvious fluctuation. Once LAI exceeded 2.8, still to increase, the decline in dPM10 slowed. Therefore, a LAI value of 2.8 may be the threshold for community canopy to effectively reduce PM10. There was no significant correlation between dPM2.5 and LAI (sig. > 0.05). With increasing LAI, dPM2.5 had a U-shaped trend, first decreasing and then increasing, yielding a critical threshold of around 2.50.
SVF had a significant positive effect on dPM10 (Table 6), with a cc value of 0.762 (sig. < 0.05). Higher SVF lead to higher dPM10, with an quasilinear trend (Figure 6g). The positive relationship between dPM2.5 and SVF was also significant (sig. < 0.05, cc = 0.671). The trend showed a V-shape with the ascending segment obviously larger than the descending one, and the valley located around 0.18. As SVF decreased from a higher level, the dPM2.5 decreased rapidly. Once SVF dropped to 0.18, the dPM2.5 started to rise again. This indicates that although low SVF enhances the diffusion and attenuation of fine particles, high SVF sustains fine particles under the canopy.

4. Discussion

The effects of different plant community compositions and canopy characteristics on AT, RH and air particle levels have received increasing attention recently because the cooling, humidifying and particle-detaining abilities differ greatly among tree species [48,49]. This means that plant communities, comprised of different plant species, have variable potentials to regulate heat and pollution. Meanwhile, the regulatory effects of plant communities on environmental factors do not equal a simple superposition of the regulatory capacities of individual plants. Instead, the canopy structures, reflecting the overall leaf volume and geometric shape of the plant community, have important impacts on energy conversion and airflow beneath the canopy, affecting microclimate and airborne particle levels [50]. Based on this, our investigation focused on the effects of community composition and canopy structure on microclimate and airborne particle levels.

4.1. Effects of Plant Community Composition on Microclimate and Airborne Particle Levels

Some previous studies have found that there are differences between conifers and broad-leaved plants in regulating microclimate [51,52]. Compared with plant communities composed solely of coniferous or broad-leaved plants, mixed-composition plant communities have better cooling and humidifying effects. The coniferous communities perform remarkably well at shading and cooling, while the broad-leaved communities often produce an excellent humidifying effect. In addition to species composition, the hierarchical structure of the plant community also affects the overall biomass and canopy characteristics of the community. Zhu et al. [53] reported that the cooling and humidifying effects of turf communities are not significant. In contrast, tree–shrub–grass communities have a large leaf area, and can provide a remarkable microclimate effect. Tree–grass communities also maintain strong permeability under sufficient leaf amount, which is conducive to the air circulation under their canopies, especially in breezy weather, demonstrating an outstanding cooling effect. In this study, the daily average AT and RH of the different community types were significantly different. The cooling and humidifying effects of the M-TSG and B-TSG communities were excellent compared with the other types. This is precisely because these two community types have more leaves and higher canopy coverage, resulting in stronger transpiration, and a greater capacity to intercept and absorb solar radiation. Previous researchers have drawn similar conclusions [54,55].
Similarly, for airborne particles, the composition of the plant community determines its regulatory effect on different-sized PM. There are reports of conifers having smaller leaf area but denser canopies which may intercept airborne particles effectively. Moreover, some pine species secrete mucus, making it difficult for adhering particles to re-enter the atmosphere [55,56]. Apparently, trees are the main agents for removal of air particles in green spaces, given their dense canopies and large total leaf areas, which enhance their dust retention capacities [23,57,58]. In this study, we found that the M-TSG community, with abundant leaves and a mixed structure, reduced PM10 most greatly. However, as for PM2.5, although plant communities with scarce leaves were not conducive to the absorption of fine particles, outward diffusion of PM2.5 was hindered when the hierarchical structure was too complex and dense. In addition, some studies have found that some organic volatiles released by conifers can be converted into secondary aerosols, forming PM2.5 and other fine particles [59]. Therefore, having sufficient leaf area, internal airflow permeability and moderate coniferous components make the M-TG community the most efficient at reducing PM2.5. Differences in dPM10 among the eight community types were more pronounced than those for dPM2.5, indicating that community composition has a greater influence on coarse particles than on fine particles.

4.2. Critical Thresholds of Plant Community Canopy’s Regulating Effects on Microclimate and Airborne Particle Levels

Canopy characteristics affect the thermal and airborne-particle regulation service of a plant community. Based on remote sensing data and field survey, Hardin [33] found that the cooling effect of urban forests was significantly positively correlated with LAI. Srivanit and Hokao [35] pointed out that CD is an important factor affecting the cooling effect related to urban forests. Peters and Mcfadden [34] also advocated that the AT within plant communities was significantly related to community CD and LAI. Similar conclusions were drawn in this study. The dAT within the community was significantly negatively correlated with CD and LAI, but positively correlated with CP and SVF. In contrast, dRH showed the reverse trends with these attributes. Generally, the density of the plant community canopy in the vertical direction (CD, SVF) determines the amount of solar radiation intercepted and absorbed, while the porosity (CP) in the horizontal direction affects the air exchange between the plant community and its surroundings. When the community canopy became too dense in the horizontal direction, it hindered air circulation under the canopy and slowed down heat loss. LAI reflects the total leaf amount of the community, which determines the amount of transpiration and shade cast. These all affect the heat and water conversion inside and outside the community, and therefore affect AT and RH. Hence, plant communities with high CD and LAI but low CP and SVF resulted in greater cooling and humidifying effects.
In our study, several specific inflection points were found in non-linear responses between some canopy characteristics and dAT and dRH. Plant communities with CD over 65%–70% and CP below 60% had outstanding cooling effects. As a plant community’s humidification effects mainly depend on transpiration, its relations with canopy characteristics were basically linear. As CD and LAI increased, and CP and SVF decreased, RH increased steadily, showing no critical threshold. A few scholars have recently attempted to explore critical thresholds of vegetation canopy attributes affecting microclimate. Zhu et al. [53] found that when CD ranged from 10% to 31%, the community had a slight cooling and humidifying effect. This effect became significant once values exceeded 44%, and stabilized at 67%. Tang et al. [39] advocated that the cooling intensity of a plant community was linearly and positively correlated with CD. Every 10% increase in CD caused the cooling intensity to increase by 0.5°C. In contrast, there was a non-linear positive correlation between LAI and the cooling intensity of the community. Once LAI increased within the range of 0.23–2.30, the cooling intensity increased rapidly. There is still much to explore in this field and more research is needed.
The dPM10 and dPM2.5 had variable relationships with community CD, CP, LAI and SVF. Generally, when air carrying PM passes through the community canopy, large-sized particles are more likely to be intercepted and deposited on the surfaces of branches, leaves and stems [60]. Therefore, when communities have higher CD and LAI, but lower CP and SVF values, this creates a canopy structure with a larger amount of branches and leaves in both horizontal and vertical directions, allowing it to intercept more coarse particles like PM10. In contrast, Liu et al. [37] found that PM2.5 level was positively correlated with CD, LAI and average tree diameter (DBH), but negatively correlated with average tree height, forest land area, herbaceous coverage and height. In this study, most responses of dPM2.5 to community canopy structure were non-linear, with critical inflection points, resulting in few significant correlations. This may be related to the dependence of the attenuation of fine particles on outward diffusion dilution. Therefore, when the community canopy is too sparse, it is not conducive to the interception and absorption of PM2.5. However, dense canopies will not only hinder the diffusion of PM2.5 into the upper atmosphere along with turbulent air flow, but weaken the Brownian motion of particles under low temperature and high humidity conditions, which could even increase their concentration due to the moisture absorption and condensation of fine particles. Compared with dPM10, the response of dPM2.5 to community canopy structure is more complex. Janhäll [30] mentioned that vegetation barriers were suggested to be dense enough to provide a large depositional surface area, but porous enough to ensure air infiltration and upward diffusion of particles. Similar conjectures can be made based on the results of this study.
To date, only a few scholars have reported critical thresholds of plant community canopy characteristics affecting air particle levels. Yin et al. [56] considered that the best CD and CP values for plant communities to reduce total suspended particulates (TSP) were 70%–85% and 25%–33%, respectively. In our study, communities with CD values above 65%–70% and LAI values below 2.8 had higher reduction effects on PM10. For PM2.5, the greatest reductions occurred for CD, CP, LAI and SVF values of 75%–78%, 55%, 2.30–2.50 and 0.18, respectively. Our results clearly have some overlap with Yin’s conclusions.
Canopy structure is an important factor affecting the thermal and air particle regulatory services of plant communities. A previous study recorded strong associations between air pollutants and UHI effect during certain seasons (i.e., winter and autumn) [32]. Therefore, constructing plant communities with good regulatory effects on both microclimate and air particle pollution is an economical and effective way to improve urban environments. In this study, mixed TSG and TG communities with CD, CP, LAI and SVF values of 75%, 55%, 2.5 and 0.18, respectively, produced noticeable positive effects on both microclimate and air particle levels.
In general, this work focused on the impacts of the composition and canopy characteristics of plant communities on microclimate and airborne particles in Beijing and quantified the critical thresholds of plant community canopy characteristics. This research may guide future urban green spaces’ construction aiming to improve the thermal environment and reduce air pollution. However, this study also has some limitations. Firstly, although the study area and selected plant communities are typical in urban green-space in Beijing, limited by the monitoring conditions, the number of samples is limited. Secondly, it must be noted that the critical thresholds of canopy structure reported here may only be applicable to our study area, and could not be validated as general conclusions. Future research is urgently needed to support and corroborate our results in future.

5. Conclusions

In summer, significant differences existed in daily AT, RH, PM10 and PM2.5 levels among eight plant community types. The M-TSG community had the strongest cooling and PM10 reduction effects; the B-TSG community had the best humidifying effect; and the M-TG community was most effective in reducing PM2.5. dAT and dPM10 were significantly negatively correlated with CD and LAI, while positively related with CP and SVF, while these correlations were opposite for dRH. The response of dPM2.5 to various canopy structures was complex, featuring multiple non-linear relations. Critical thresholds were found in some cases. Plant communities with CD greater than 65%–70% and CP below 60% had a significant cooling effect. No critical threshold was found for the humidifying effect. Plant communities with CD ranging 60%–75% and LAI close to but no more than 2.8 had excellent PM10 reduction effects. Plant communities featuring 75%–78%, 55%, 2.30–2.50 and 0.18 CD, CP, LAI and SVF, respectively, had pronounced PM2.5 reduction effect. Overall, mixed TSG or TG communities with about 75% CD, 55% CP, 2.5 LAI and 0.18 SVF perform most noticeably both microclimate and air particle regulation services.

Author Contributions

Conceptualization, S.F., L.D.; funding acquisition, L.D.; project administration, L.D.; data acquisition, S.F.; formal analysis, S.F., M.Z., Y.L., K.L.; drafting the manuscript, S.F., L.D.; revising the manuscript critically for important intellectual content, S.F., L.D. All authors have read and agreed to the published version of the manuscript.

Funding

This work was supported by Beijing Municipal Science and Technology Project (D171100007117001).

Institutional Review Board Statement

Not applicable.

Informed Consent Statement

Not applicable.

Data Availability Statement

Not applicable.

Acknowledgments

This research was funded by Beijing Municipal Science and Technology Project: Establishing Evaluation System for Ecological Function of Multi-scale Green Spaces in the Northern Urban Area (D171100007117001). We would like to thank Sijia Wu, Yilun Li, Kun Li, Mengyuan Zhang, Jing Han, Rui Jing and Fan Wu for their support in the field work and data processing. We sincerely thank the anonymous reviewers for their valuable comments.

Conflicts of Interest

The authors declare no conflict of interest.

References

  1. Grimm, N.B.; Faeth, S.H.; Golubiewski, N.E.; Redman, C.L.; Wu, J.; Bai, X.; Briggs, J.M. Global Change and the Ecology of Cities. Science 2008, 319, 756–760. [Google Scholar] [CrossRef] [PubMed]
  2. King, K.L.; Johnson, S.; Kheirbek, I.; Lu, J.W.; Matte, T. Differences in magnitude and spatial distribution of urban forest pollution deposition rates, air pollution emissions, and ambient neighborhood air quality in New York City. Landsc. Urban Plan. 2014, 128, 14–22. [Google Scholar] [CrossRef]
  3. Rizwan, A.M.; Dennis, L.Y.; Liu, C. A review on the generation, determination and mitigation of Urban Heat Island. J. Environ. Sci. 2008, 20, 120–128. [Google Scholar] [CrossRef]
  4. Beijing Municipal Environmental Protection Bureau. Air Quality Status in Beijing 2019. 2020. Available online: http://sthjj.beijing.gov.cn/bjhrb/index/xxgk69/sthjlyzwg/1718880/1718889/1725050/index.html (accessed on 23 January 2020).
  5. Marando, F.; Salvatori, E.; Sebastiani, A.; Fusaro, L.; Manes, F. Regulating Ecosystem Services and Green Infrastructure: Assessment of Urban Heat Island effect mitigation in the municipality of Rome, Italy. Ecol. Model. 2019, 392, 92–102. [Google Scholar] [CrossRef]
  6. Schwarz, N.; Schlink, U.; Franck, U.; Großmann, K. Relationship of land surface and air temperatures and its implica-tions for quantifying urban heat island indicators—An application for the city of Leipzig (Germany). Ecol. Ind. 2012, 18, 693–704. [Google Scholar] [CrossRef]
  7. Voogt, J.; Oke, T. Thermal remote sensing of urban climates. Remote Sens. Environ. 2003, 86, 370–384. [Google Scholar] [CrossRef]
  8. Nowak, D.J.; Hirabayashi, S.; Bodine, A.; Greenfield, E. Tree and forest effects on air quality and human health in the United States. Environ. Pollut. 2014, 193, 119–129. [Google Scholar] [CrossRef]
  9. Giridharan, R.; Lau, S.; Ganesan, S.; Givoni, B. Urban design factors influencing heat island intensity in high-rise high-density environments of Hong Kong. Build. Environ. 2007, 42, 3669–3684. [Google Scholar] [CrossRef]
  10. Gober, P.; Brazel, A.; Quay, R.; Myint, S.; Grossman-Clarke, S.; Miller, A.; Rossi, S. Using Watered Landscapes to Manipulate Urban Heat Island Effects: How Much Water Will It Take to Cool Phoenix? J. Am. Plan. Assoc. 2009, 76, 109–121. [Google Scholar] [CrossRef]
  11. Zhao, X.; Liu, J.; Bu, Y. Quantitative Analysis of Spatial Heterogeneity and Driving Forces of the Thermal Environment in Urban Built-Up Areas: A Case Study in Xi’an, China. Sustainability 2021, 13, 1870. [Google Scholar] [CrossRef]
  12. Li, L.; Wang, W.; Feng, J.; Zhang, D.; Li, H.; Gu, Z.; Wang, B.; Sheng, G.; Fu, J. Composition, source, mass closure of PM2.5 aerosols for four forests in eastern China. J. Environ. Sci. 2010, 22, 405–412. [Google Scholar] [CrossRef]
  13. Masiol, M.; Squizzato, S.; Rampazzo, G.; Pavoni, B. Source apportionment of PM2.5 at multiple sites in Venice (Italy): Spatial variability and the role of weather. Atmos. Environ. 2014, 98, 78–88. [Google Scholar] [CrossRef]
  14. Rooney, M.S.; Arku, R.E.; Dionisio, K.L.; Paciorek, C.; Friedman, A.B.; Carmichael, H.; Zhou, Z.; Hughes, A.F.; Vallarino, J.; Agyei-Mensah, S.; et al. Spatial and temporal patterns of particulate matter sources and pollution in four communities in Accra, Ghana. Sci. Total Environ. 2012, 435–436, 107–114. [Google Scholar] [CrossRef]
  15. Garcia, J.N.P.M.; Cerdeira, R.S.D.S.; Tavares, N.A.; Coelho, L.M.R. Studying street geometry influence in PM10 concentration. Int. J. Environ. Pollut. 2012, 50, 283. [Google Scholar] [CrossRef]
  16. Gomez-Martinez, F.; Beurs, K.M.D.; Koch, J.; Widener, J. Multi-Temporal Land Surface Temperature and Vegetation Green-ness in Urban Green Spaces of Puebla, Mexico. Land 2021, 10, 155. [Google Scholar] [CrossRef]
  17. Hoek, G.; Beelen, R.; Hoogh, K.; Vienneau, D.; Gulliver, J.; Fischer, P.; Briggs, D. A Review of Land-use Regression Models to Assess Spatial Variation of Outdoor Air Pollution. Atmos. Environ. 2008, 42, 7561–7578. [Google Scholar] [CrossRef]
  18. Zhai, L.; Zou, B.; Fang, X.; Luo, Y.; Wan, N.; Li, S. Land Use Regression Modeling of PM2.5 Concentrations at Optimized Spatial Scales. Atmosphere 2016, 8, 1. [Google Scholar] [CrossRef]
  19. Ng, E.; Chen, L.; Wang, Y.; Yuan, C. A study on the cooling effects of greening in a high-density city: An experience from Hong Kong. Build. Environ. 2012, 47, 256–271. [Google Scholar] [CrossRef]
  20. Nowak, D.J.; Crane, D.E.; Stevens, J.C. Air pollution removal by urban trees and shrubs in the United States. Urban For. Urban Green. 2006, 4, 115–123. [Google Scholar] [CrossRef]
  21. Yin, S.; Cai, J.; Chen, L.; Shen, Z.; Zou, X.; Wu, D.; Wang, W. Effects of vegetation status in urban green spaces on particles removal in a canyon street atmosphere. Acta Ecol. Sin. 2007, 27, 4590–4595. [Google Scholar]
  22. Yin, S.; Shen, Z.; Zhou, P.; Zou, X.; Che, S.; Wang, W. Quantifying air pollution attenuation within urban parks: An experimental approach in Shanghai, China. Environ. Pollut. 2011, 159, 2155–2163. [Google Scholar] [CrossRef]
  23. Litschke, T.; Kuttler, W. On the reduction of urban particle concentration by vegetation a review. Meteorol. Z. 2008, 17, 229–240. [Google Scholar] [CrossRef]
  24. Onishi, A.; Cao, X.; Ito, T.; Shi, F.; Imura, H. Evaluating the potential for urban heat-island mitigation by greening parking lots. Urban For. Urban Green. 2010, 9, 323–332. [Google Scholar] [CrossRef]
  25. Paoletti, E.; Bardelli, T.; Giovannini, G.; Pecchioli, L. Air quality impact of an urban park over time. Procedia Environ. Sci. 2011, 4, 10–16. [Google Scholar] [CrossRef]
  26. Dimoudi, A.; Nikolopoulou, M. Vegetation in the urban environment: Microclimatic analysis and benefits. Energy Build. 2003, 35, 69–76. [Google Scholar] [CrossRef]
  27. Georgi, J.N.; Dimitriou, D. The contribution of urban green spaces to the improvement of environment in cities: Case study of Chania, Greece. Build. Environ. 2010, 45, 1401–1414. [Google Scholar] [CrossRef]
  28. Oliveira, S.; Andrade, H.; Vaz, T. The cooling effect of green spaces as a contribution to the mitigation of urban heat: A case study in Lisbon. Build. Environ. 2011, 46, 2186–2194. [Google Scholar] [CrossRef]
  29. Cavanagh, J.-A.E.; Zawar-Reza, P.; Wilson, J.G. Spatial attenuation of ambient particulate matter air pollution within an urbanised native forest patch. Urban For. Urban Green. 2009, 8, 21–30. [Google Scholar] [CrossRef]
  30. Janhäll, S. Review on urban vegetation and particle air pollution—Deposition and dispersion. Atmos. Environ. 2015, 105, 130–137. [Google Scholar] [CrossRef]
  31. Fowler, D.; Skiba, U.; Nemitz, E.; Choubedar, F.; Branford, D.; Donovan, R.; Rowland, P. Measuring Aerosol and Heavy Metal Deposition on Urban Woodland and Grass Using Inventories of210Pb and Metal Concentrations in Soil. Water Air Soil Pollut. Focus 2004, 4, 483–499. [Google Scholar] [CrossRef]
  32. Skelhorn, C.; Lindley, S.; Levermore, G. The impact of vegetation types on air and surface temperatures in a temperate city: A fine scale assessment in Manchester, UK. Landsc. Urban Plan. 2014, 121, 129–140. [Google Scholar] [CrossRef]
  33. Hardin, P.J.; Jensen, R.R. The effect of urban leaf area on summertime urban surface kinetic temperatures: A Terre Haute case study. Urban For. Urban Green. 2007, 6, 63–72. [Google Scholar] [CrossRef]
  34. Peters, E.B.; McFadden, J.P. Influence of seasonality and vegetation type on suburban microclimates. Urban Ecosyst. 2010, 13, 443–460. [Google Scholar] [CrossRef]
  35. Srivanit, M.; Hokao, K. Evaluating the cooling effects of greening for improving the outdoor thermal environment at an institutional campus in the summer. Build. Environ. 2013, 66, 158–172. [Google Scholar] [CrossRef]
  36. Givoni, B. Impact of planted areas on urban environmental quality: A review. Atmos. Environ. Part B Urban Atmos. 1991, 25, 289–299. [Google Scholar] [CrossRef]
  37. Liu, X.; Yu, X.; Zhang, Z. PM2.5 Concentration Differences between Various Forest Types and Its Correlation with Forest Structure. Atmosphere 2015, 6, 1801–1815. [Google Scholar] [CrossRef]
  38. Setälä, H.; Viippola, V.; Rantalainen, A.-L.; Pennanen, A.; Yli-Pelkonen, V. Does urban vegetation mitigate air pollution in northern conditions? Environ. Pollut. 2013, 183, 104–112. [Google Scholar] [CrossRef]
  39. Tang, Z.; Ren, Z.; Zheng, H.; He, X. Cooling effects of urban forest community structure. Chinese J. Appl. Ecol. 2017, 28, 2823–2830. [Google Scholar] [CrossRef]
  40. Ngarambe, J.; Joen, S.J.; Han, C.-H.; Yun, G.Y. Exploring the relationship between particulate matter, CO, SO2, NO2, O3 and urban heat island in Seoul, Korea. J. Hazard. Mater. 2021, 403, 123615. [Google Scholar] [CrossRef]
  41. Sebastiani, A.; Marando, F.; Manes, F. Mismatch of regulating ecosystem services for sustainable urban planning: PM10 removal and urban heat island effect mitigation in the municipality of Rome (Italy). Urban For. Urban Green. 2021, 57, 126938. [Google Scholar] [CrossRef]
  42. Dimitriou, K.; Kassomenos, P. Local and regional sources of fine and coarse particulate matter based on traffic and background monitoring. Theor. Appl. Clim. 2013, 116, 413–433. [Google Scholar] [CrossRef]
  43. Masoudi, M.; Tan, P. Multi-year comparison of the effects of spatial pattern of urban green spaces on urban land sur-face temperature. Landscape Urban Plann. 2019, 184, 44–58. [Google Scholar] [CrossRef]
  44. Song, Y.; Song, X.; Shao, G. Effects of Green Space Patterns on Urban Thermal Environment at Multiple Spatial–Temporal Scales. Sustainable 2020, 12, 6850. [Google Scholar] [CrossRef]
  45. Beijing Meteorological Bureau. Climatic Characteristics of Beijing 2019. 2019. Available online: http://bj.cma.gov.cn/xwzx/qxyw/202001/t20200115_1380086.html (accessed on 13 January 2020).
  46. Sun, C.-Y. A street thermal environment study in summer by the mobile transect technique. Theor. Appl. Clim. 2011, 106, 433–442. [Google Scholar] [CrossRef]
  47. Matzarakis, A.; Rutz, F.; Mayer, H. Modelling radiation fluxes in simple and complex environments—application of the RayMan model. Int. J. Biometeorol. 2007, 51, 323–334. [Google Scholar] [CrossRef] [PubMed]
  48. Mori, J.; Sæbø, A.; Hanslin, H.M.; Teani, A.; Ferrini, F.; Fini, A.; Burchi, G. Deposition of traffic-related air pollutants on leaves of six evergreen shrub species during a Mediterranean summer season. Urban For. Urban Green. 2015, 14, 264–273. [Google Scholar] [CrossRef]
  49. Xu, Y.; Xu, W.; Mo, L.; Heal, M.R.; Xu, X.; Yu, X. Quantifying particulate matter accumulated on leaves by 17 species of urban trees in Beijing, China. Environ. Sci. Pollut. Res. 2018, 25, 12545–12556. [Google Scholar] [CrossRef] [PubMed]
  50. Qin, Z.; Li, Z.; Cheng, F.; Chen, J.; Liang, B. Influence of canopy structural characteristics on cooling and humidifying effects of Populus tomentosa community on calm sunny summer days. Landsc. Urban Plan. 2014, 127, 75–82. [Google Scholar] [CrossRef]
  51. Liu, J.; Li, S.; Wu, F.; Liu, J.; Zhang, Z. The ecological effects between pure woodland and mixed of urban green space. Acta Ecol. Sin. 2007, 27, 674–684. [Google Scholar]
  52. Qin, J.; Wang, L.; Hu, Y.; Zhang, M.; You, W. Effect of Plant Community on Temperature Lowering and Humidity Increasing in Residential Areas of Shanghai. J. Ecol. R. Environ. 2009, 25, 92–95. [Google Scholar]
  53. Zhu, C.; Ji, P.; Li, S. Effects of the different structure of urban green belts on the air quality. J. Nanjing Forestry Univ. (Nat. Sci. Ed.) 2013, 37, 18–24. [Google Scholar]
  54. Gao, G.; Sun, F.; Thao, N.T.T.; Lun, X.; Yu, X. Different Concentrations of TSP, PM10, PM2.5, and PM1 of Several Urban Forest Types in Different Seasons. Pol. J. Environ. Stud. 2015, 24, 2387–2395. [Google Scholar] [CrossRef]
  55. Nguyen, T.; Yu, X.; Zhang, Z.; Liu, M.; Liu, X. Relationship between types of urban forest and PM2.5 capture at three growth stages of leaves. J. Environ. Sci. 2015, 27, 33–41. [Google Scholar] [CrossRef] [PubMed]
  56. Tallis, M.; Taylor, G.; Sinnett, D.; Freer-Smith, P. Estimating the removal of atmospheric particulate pollution by the urban tree canopy of London, under current and future environments. Landsc. Urban Plan. 2011, 103, 129–138. [Google Scholar] [CrossRef]
  57. Fan, S.X.; Yan, H.; Qi, S.M.Y.; Bai, W.L.; Pi, D.J.; Li, X.; Dong, L. Dust capturing capacities of twenty-six deciduous broad-leaved trees in Beijing. Chin. J. Plant Ecol. 2015, 39, 736–745. [Google Scholar] [CrossRef]
  58. Popek, R.; Gawrońska, H.; Wrochna, M.; Gawroński, S.W.; Saebø, A. Particulate Matter on Foliage of 13 Woody Species: Deposition on Surfaces and Phytostabilisation in Waxes—A 3-Year Study. Int. J. Phytoremed. 2013, 15, 245–256. [Google Scholar] [CrossRef] [PubMed]
  59. Hallquist, M.; Wenger, J.C.; Baltensperger, U.; Rudich, Y.; Simpson, D.; Claeys, M.; Dommen, J.; Donahue, N.M.; George, C.; Goldstein, A.H.; et al. The formation, properties and impact of secondary organic aerosol: Current and emerging issues. Atmos. Chem. Phys. 2009, 9, 5155–5236. [Google Scholar] [CrossRef]
  60. Schaubroeck, T.; Deckmyn, G.; Neirynck, J.; Staelens, J.; Adriaenssens, S.; Dewulf, J.; Muys, B.; Verheyen, K. Multilayered Modeling of Particulate Matter Removal by a Growing Forest over Time, From Plant Surface Deposition to Washoff via Rainfall. Environ. Sci. Technol. 2014, 48, 10785–10794. [Google Scholar] [CrossRef]
Figure 1. Locations of 4 sampled residential areas and 33 plant community sites (picture source: Google Maps, September 2016).
Figure 1. Locations of 4 sampled residential areas and 33 plant community sites (picture source: Google Maps, September 2016).
Sustainability 13 04791 g001
Figure 2. Schematic diagram of measuring point of CD, LAI and SVF in sample community.
Figure 2. Schematic diagram of measuring point of CD, LAI and SVF in sample community.
Sustainability 13 04791 g002
Figure 3. Example of SVF of one sample community in summer.
Figure 3. Example of SVF of one sample community in summer.
Sustainability 13 04791 g003
Figure 4. Daily average levels of (a) AT, (b) RH, (c) PM10 and (d) PM2.5 of different community types.
Figure 4. Daily average levels of (a) AT, (b) RH, (c) PM10 and (d) PM2.5 of different community types.
Sustainability 13 04791 g004
Figure 5. Non-linear fitting relationship between: (a) canopy density and daily average AT; (b) canopy density and daily average RH; (c) canopy porosity and daily average AT; (d) canopy porosity and daily average RH; (e) leaf area index and daily average AT; (f) leaf area index and daily average RH; (g) sky view factor and daily average AT; (h) sky view factor and daily average RH.
Figure 5. Non-linear fitting relationship between: (a) canopy density and daily average AT; (b) canopy density and daily average RH; (c) canopy porosity and daily average AT; (d) canopy porosity and daily average RH; (e) leaf area index and daily average AT; (f) leaf area index and daily average RH; (g) sky view factor and daily average AT; (h) sky view factor and daily average RH.
Sustainability 13 04791 g005
Figure 6. Non-linear fitting relationship between: (a) canopy density and daily average PM10; (b) canopy density and daily average PM2.5; (c) canopy porosity and daily average PM10; (d) canopy porosity and daily average PM2.5; (e) leaf area index and daily average PM10; (f) leaf area index and daily average PM2.5; (g) sky view factor and daily average PM10; (h) sky view factor and daily average PM2.5.
Figure 6. Non-linear fitting relationship between: (a) canopy density and daily average PM10; (b) canopy density and daily average PM2.5; (c) canopy porosity and daily average PM10; (d) canopy porosity and daily average PM2.5; (e) leaf area index and daily average PM10; (f) leaf area index and daily average PM2.5; (g) sky view factor and daily average PM10; (h) sky view factor and daily average PM2.5.
Sustainability 13 04791 g006
Table 1. Information about the four sampled residential areas.
Table 1. Information about the four sampled residential areas.
Residential AreaBuild TimeTotal AreaVegetation AreaVegetation Coverage
(m2)(m2)(%)
WJHY2002239,167.20113,197.8047.33
XY2003135,437.5758,915.3443.50
SDZ1993129,022.8564,214.6749.77
HPJY1985499,524.66292,521.6058.56
Table 2. Details of the sampling community for community composition experiment.
Table 2. Details of the sampling community for community composition experiment.
No.Composition TypesAverage Height (m)Average Crown Diameter (m)Average DBH/GD (cm)
A1M-TSG6.214.3011.25
A2B-TSG5.403.9516.00
A3C-TSG8.843.2610.18
A4M-TG9.294.4614.53
A5B-TG2.932.2215.35
A6C-TG4.793.918.73
A7B-SG1.632.4813.44
A8C-SG0.731.475.02
B1M-TSG4.063.9218.70
B2B-TSG3.865.778.78
B3C-TSG7.193.458.75
B4M-TG5.323.0317.69
B5B-TG7.393.308.13
B6C-TG5.432.8412.11
B7B-SG1.581.1516.81
B8C-SG0.582.085.25
C1M-TSG5.323.1912.87
C2B-TSG7.914.5414.36
C3C-TSG6.272.6319.67
C4M-TG8.334.2220.04
C5B-TG4.453.5315.93
C6C-TG5.323.0814.04
C7B-SG1.932.467.60
C8C-SG0.611.354.37
Note: Ax, Bx and Cx used to distinguish the plant communities from WJHY, XY, SDZ, respectively. Average height, crown diameter and DBH/GD only for trees and shrubs.
Table 3. Details of the sampling community for community canopy experiment.
Table 3. Details of the sampling community for community canopy experiment.
No.Composition TypesAverage Height (m)Average Crown Diameter (m)Average DBH/GD(cm)
D1M-TSG9.104.5019.50
D2B-TSG5.634.5311.47
D3B-TSG4.674.019.13
D4M-TSG11.156.3418.53
D5M-TSG8.926.4819.49
D6M-TSG6.404.7714.39
D7B-TSG11.744.7029.89
D8M-TSG8.575.6928.74
D9M-TSG6.973.2115.55
Note: Dx refers to the plant communities from HPJY. Average height, crown diameter and DBH/GD only for trees and shrubs.
Table 4. Canopy parameters of the sampling community.
Table 4. Canopy parameters of the sampling community.
No.CD (%)CP (%)LAISVF (%)
D144.87970.8641.3220.476
D257.31157.1921.5060.324
D367.26463.3361.7140.412
D471.36957.9682.3560.238
D575.84054.6862.2680.249
D677.58951.0362.5400.185
D782.39253.8662.9320.147
D889.58543.7063.2940.112
D992.28042.2132.9680.095
Table 5. Daily average level of AT, RH, PM10 and PM2.5 within the sampling community.
Table 5. Daily average level of AT, RH, PM10 and PM2.5 within the sampling community.
No.dAT
(°C)
dRH
(%)
dPM10
(ug/m3)
dPM2.5
(ug/m3)
D131.21849.666109.92344.565
D230.97751.415107.74541.593
D331.09150.228104.44142.715
D430.82952.922103.08339.040
D530.28654.053105.29737.943
D629.72453.74694.92935.732
D730.39152.569100.94438.764
D829.54055.93298.62240.678
D929.47154.479101.54940.198
Table 6. Correlation coefficients between community canopy parameters and microclimate and PM factors.
Table 6. Correlation coefficients between community canopy parameters and microclimate and PM factors.
No.CD CPLAISVF
ccsig.ccsig.ccsig.ccsig.
dAT−0.874 **0.0020.930 **0.000−0.867 **0.0020.885 **0.002
dRH0.865 **0.003−0.917 **0.0010.880 **0.002−0.902 **0.001
dPM10−0.769 *0.0150.711 *0.032−0.788 *0.0120.762 *0.017
dPM2.5−0.5910.0940.5510.124−0.5700.1090.671 *0.048
Note: cc refers to correlation coefficient; sig. refers to significance, * and ** represent significant level.
Publisher’s Note: MDPI stays neutral with regard to jurisdictional claims in published maps and institutional affiliations.

Share and Cite

MDPI and ACS Style

Fan, S.; Zhang, M.; Li, Y.; Li, K.; Dong, L. Impacts of Composition and Canopy Characteristics of Plant Communities on Microclimate and Airborne Particles in Beijing, China. Sustainability 2021, 13, 4791. https://doi.org/10.3390/su13094791

AMA Style

Fan S, Zhang M, Li Y, Li K, Dong L. Impacts of Composition and Canopy Characteristics of Plant Communities on Microclimate and Airborne Particles in Beijing, China. Sustainability. 2021; 13(9):4791. https://doi.org/10.3390/su13094791

Chicago/Turabian Style

Fan, Shuxin, Mengyuan Zhang, Yilun Li, Kun Li, and Li Dong. 2021. "Impacts of Composition and Canopy Characteristics of Plant Communities on Microclimate and Airborne Particles in Beijing, China" Sustainability 13, no. 9: 4791. https://doi.org/10.3390/su13094791

APA Style

Fan, S., Zhang, M., Li, Y., Li, K., & Dong, L. (2021). Impacts of Composition and Canopy Characteristics of Plant Communities on Microclimate and Airborne Particles in Beijing, China. Sustainability, 13(9), 4791. https://doi.org/10.3390/su13094791

Note that from the first issue of 2016, this journal uses article numbers instead of page numbers. See further details here.

Article Metrics

Back to TopTop