You are currently viewing a new version of our website. To view the old version click .
Sustainability
  • Article
  • Open Access

14 April 2021

Priming Effects of Cover Cropping on Bacterial Community in a Tea Plantation

and
1
Department of Soil and Environmental Sciences, College of Agriculture and Natural Resources, National Chung Hsing University, Taichung 40227, Taiwan
2
Innovation and Development Center of Sustainable Agriculture (IDCSA), National Chung Hsing University, Taichung 40227, Taiwan
*
Author to whom correspondence should be addressed.
This article belongs to the Section Sustainable Agriculture

Abstract

The acidic nature of red soil commonly found in tea plantations provides unique niches for bacterial growth. These bacteria as well as soil properties are dynamic and vary with agricultural management practices. However, less is known about the influence of manipulation such as cover cropping on bacterial communities in tea plantations. In this study a field trial was conducted to address the short-term effects of soybean intercropping on a bacterial community. Diversity, metabolic potential and structure of the bacterial community were determined through community level physiological profiling and amplicon sequencing approaches. Cover cropping was observed to increase soil EC, available P, K, and microelements Fe, Mn, Cu, and Zn after three months of cultivation. Bacterial functional diversity and metabolic potential toward six carbon source categories also increased in response to cover cropping. Distinct bacterial communities among treatments were revealed, and the most effective biomarkers, such as Acidobacteriaceae, Burkholderiaceae, Rhodanobacteraceae, and Sphingomonadaceae, were identified in cover cropping. Members belonging to these families are considered as organic matter decomposers and/or plant growth promoting bacteria. We provided the first evidence that cover cropping boosted both copiotrophs (Proteobacteria) and oligotrophs (Acidobacteria), with potentially increased functional stability, facilitated nutrient cycling, and prospective benefits to plants in the tea plantation.

1. Introduction

The diversity of microbes associated with plant roots is enormous, and the complex plant-associated microbial community is crucial for plant health [1]. The root microbiome shaped by plants can be regarded as a hotspot for microbial activity, which drives the evolution of diverse and adapted associated microbes [2,3]. Clarification of the root-associated bacterial community helps to understand plant-microbe interactions and develop more effective soil management strategies to sustain plant growth and health.
The tea plant (Camellia sinensis) is a popular beverage and cash crop widely cultivated in Asian areas. In Taiwan, there are 12,196 ha of tea plantation, producing 14,637 tons per year [4]. The acidic nature of red soil in tea plantations provides unique niches for bacteria, which led to the exploration of many acid-tolerant and plant growth promoting bacteria [5]. The most commonly found bacterial phyla dominating in tea plantations include Acidobacteria, Actinobacteria, Chloroflexi, and Proteobacteria [6,7,8,9,10,11]. The dynamics of bacterial communities in the chronosequence of tea plantations were studied, which showed that beneficial bacteria decreased after long-term tea cultivation [6,7]. Compared with the chemical inputs and chemical–organic combined inputs, organic management practice was observed to improve microbial diversity of tea plantation soils [9]. By revealing the spatial distribution of bacteria in different rhizo-compartments, the niche preferences of many bacterial families in the tea plantation were demonstrated [11].
Studies on rhizosphere microbes help to develop agricultural systems with high levels of food security and less environmental impacts [12]. Cover cropping is a particularly efficient and environmentally favorable tool to manipulate microbiome composition and shows benefits to soil quality and crop output [13]. Compared to non-legume cover crops, legumes generally decompose rapidly and can be used to increase microbial proliferation and nutrient cycling [14,15]. Adopting soybean intercropping in the tea plantation may also serve as an alternative practice to suppress weed growth instead of using herbicides. However, the influence of cover cropping on bacterial communities in tea plantations is poorly understood.
A field trial was conducted here to study the short-term effects of cover cropping on the bacterial community in a conventional tea plantation. The hypotheses that cover cropping boosted diversity and metabolic potential, and affected community structure of bacteria, were tested. The interspaces between tea plant rows were intercropped with soybean or mulched with polyethylene plastic film. Samples were collected from soybean rhizosphere soils and bare soils during the three months of the experimental period. They were further subjected to community level physiological profiling and 16S rDNA amplicon sequencing to explore the potential participants in response to cover cropping.

2. Materials and Methods

2.1. Site Descriptions and Sampling

The study was conducted during April and July, 2020 in a tea plantation located in Mingchien, Nantou County, Taiwan (23°50′28.1″N, 120°38′32.9″E, elevation 370 m). The soil at the study site was classified as loam under the USDA soil classification system, with sand, silt, and clay contents of 37.4%, 40.4%, and 22.2%, respectively. The tea cultivar grown in this field is Oolong, with an age of almost ten years. Soybean cultivar (Glycine max) Tainan no. 7, a fast-growing variety with high biomass and superior drought and cold resistance [16], was selected as the cover crop used in this study. Conventional farming manipulation had been conducted in the field, which was 0.17 hectare in size, with the application of 300 kg of #42 Biotec Organic Compound Fertilizer (N-P2O5-K2O-MgO: 23-5-5-3) (consisting of 65% organic matter) annually. Germinating fertilizer was applied in March, topdressing fertilizer in July, and basal fertilizer in October. Chemical insecticides such as diafenthiuron, emamectin benzoate, flucythrinate, and tolfenpyrad were used in pest control by spraying them directly on the surface of tea leaves.
The inter-row manipulations conducted in bare control and cover cropping areas during the experimental period are listed in Table 1. The experiment was set up on 6 experimental plots (both treatments in triplicates), and the size of the individual plots was 4 × 0.5 m. To evaluate the priming effects of cover cropping on the bacterial community, samples were collected from soybean rhizosphere soils and bare soils with 20 cm in depth during the three months of the experimental period (Figure S1). Three random sampling points within each experimental plot were mixed into one sample, and a total of six samples were obtained from six experimental plots. An ice box was used to bring the collected samples back to the laboratory. At three sampling dates there was no day precipitation (considered for 3 days before sampling). The average temperature (°C) for April, May, June, and July was 18.0, 21.9, 23.2, and 23.6, respectively.
Table 1. The inter-row manipulations conducted in bare control and cover cropping during the experimental period.

2.2. Soil Chemical Property Analyses

The pH, EC, and organic matter content were determined with air-dried and sieved (20 mesh for pH and EC, 35 mesh for organic matter) soils. Soil pH was measured in a 1:1 (5 g in 5 mL of deionized water) soil–water slurry with a glass electrode [17]. Electrical conductivity (EC) was measured in a 1:5 (5 g in 25 mL of deionized water) soil–water slurry [18]. Organic matter content was determined by the Walkley-Black wet oxidation method [19]. Total N was determined by the Kjeldahl digestion method [20] as described in [21]. Available P, K, Ca, Mg, Fe, Mn, Cu, and Zn were analyzed by the Mehlich No. 3 procedure [22]; 5 g of air-dried soil (<1.0 mm) was placed in a 100 mL flask, treated with 50 mL of Mehlich 3 extracting solution and shaken for 5 min, and then filtered; the extract was placed in a 50 mL plastic vial and analyzed by ICP-OES ULTIMA 2C with a sequential JY 138 ULTRACE spectrometer (HORIBA Jobin Yvon Inc., Edison, NJ, USA).

2.3. Determination of Functional Diversity and Metabolic Potential of Bacteria

Community level physiological profiling was performed based on the carbon source utilization patterns determined by Biolog EcoPlateTM (Biolog Inc., Hayward, CA, USA). Soil suspensions were prepared after 5 g of soils were aseptically weighed, placed in 45 mL of phosphate-buffered saline solution and gently shaken for 30 min. Samples were then 1000-fold diluted, and a 150 μL aliquot was inoculated into each microplate well. The optical density at both 590 and 750 nm was read on a microplate reader at 0, 24, 48, 72, and 96 h. The final values used to denote activity in each well were calculated as described in [23]. Substrate richness was calculated by counting total number of carbon substrates oxidized by individual treatment on Biolog EcoPlateTM (wells with OD higher than 0.25). The average well color development, substrate average well color development, and diversity parameters including Shannon’s diversity index and evenness, were calculated as described in [24].

2.4. Determination of Population Diversity and Community Structure of Bacteria

To determine bacterial community structure, total DNAs of soils were isolated using a DNeasy PowerSoil Pro Kit (Qiagen Inc., Germantown, MD, USA). Primer set 341F-805R with barcode was used to amplify V3-V4 region of 16S rDNA. A KAPA HiFi PCR Kit (Roche, Switzerland) was used to generate amplicon, and PCR products were purified with a QIAquick Gel Extraction Kit (QIAGEN, Hilden, Germany). Sequencing libraries were generated using a TruSeq Nano DNA Library Prep Kit (Illumina, San Diego, CA, USA) following manufacturer’s recommendations. The Illumina Miseq platform was used in sequencing and 300 bp paired-end reads were generated at Genomics BioSci & Tech Ltd., Taiwan. Raw sequence reads have been submitted to the NCBI SRA database under BioProject PRJNA699862. Paired-end reads were trimmed using the Cutadapt program, merged using FLASH v1.2.11, and analyzed by FastQC v0.11.5 and MultiQC v0.9 for quality control. Mothur v.1.39.5 with 97% identity was used in operational taxonomic unit (OTU) picking. Chimera sequences were identified using UCHIME v4.2 with Gold database as reference data. To perform species annotation, the sequences derived from different OTU were compared with representative sequences from the SILVA database [25]. According to species annotation, the statistical amount of sequences of every sample in each classification level was calculated. The relative abundance (percentage of each OTU in total OTUs) of dominant bacterial taxa (>2%) at the phylum and the family level was expressed. The Chao1, Shannon index, and InvSimpson index were calculated with QIIME software [26] to evaluate bacterial diversity within a community from each treatment (alpha diversity).

2.5. Statistical Analysis

All the analyses were performed in triplicates for bare control and cover cropping within three months, and the results were presented as mean values. One-way ANOVA (analysis of variance) and Duncan’s test (p < 0.05) were used to evaluate the significant differences between treatments using XLSTAT statistical software (New York, NY, USA). Euclidean dissimilarity metrics were computed to generate a hierarchically clustered heat-map using the TBtools software [27]. Pearson correlation matrix was computed to perform principal component analysis (PCA). This was used to determine the relationships between treatments and other variables such as dominant phyla, dominant families, and color response data based on substrate utilization. Substrate utilization assay data were analyzed after substrates were divided into six groups and the average absorbance per category was calculated [28]. All meaningful loadings (>0.5) were included and considered significant in the interpretation of principal components [29]. Biplots were constructed to interpret the analysis, with the original variables drawn as vectors to summarize the correlation between the variable and both illustrated axes [30]. Weighted UniFrac distance metric [31] was used on beta diversity analysis. This was used to compare bacterial communities presenting in each treatment through principal coordinates analysis (PCoA) and non-metric multidimensional scaling (NMDS) with QIIME software. Linear discriminant analysis effect size (LEfSe) was determined to find biomarker between treatments using relative abundances. The graph which has bars representing the effect size (LDA) for particular taxa was generated. Analysis of similarities (ANOSIM), an ANOVA-like non-parametric statistic test which operates on a ranked dissimilarity matrix, was performed using R packages.

3. Results

3.1. Soil Chemical Property

The pH, EC, organic matter, and nutrient contents of tea plantation soils were determined after three months of treatments. Compared with bare control, cover cropping led to a lower pH and higher EC. Organic matter contents were not significantly different between treatments (Table 2). Cover cropping increased available P and K but not total N. Significantly (p < 0.05) higher content of microelements including Fe, Mn, Cu, and Zn were also recorded in cover cropping.
Table 2. Soil properties of bare control and cover cropping samples collected after three months of treatments.

3.2. Functional Diversity and Metabolic Potential of Bacteria

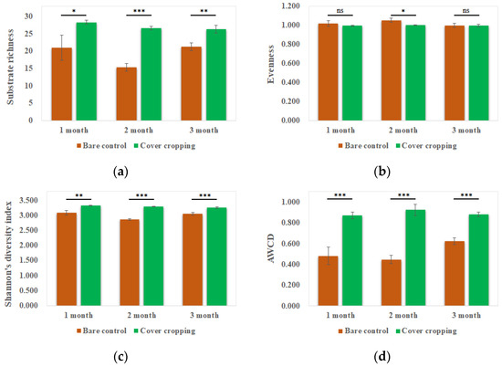
Comparing with bare control, cover cropping significantly (p < 0.05) increased substrate richness and Shannon’s diversity index regardless of the month used for assessment (Figure 1a,c). Significantly (p < 0.05) higher average well color development values were also recorded in cover cropping (Figure 1d). The potential of the bacterial community to utilize six carbon source categories was analyzed, and amino acid, carbohydrate, and carboxylic acid were better utilized than others in bare control plots (Figure 2a). After cover cropping, the utilization of six carbon source categories increased during all the months that were considered.
Figure 1. Functional diversity: (a) substrate richness, (b) evenness, (c) Shannon’s diversity index, and (d) average well color development (AWCD) of bacterial communities in bare control and cover cropping samples collected during three months. Error bar, mean (n = 3) ± standard deviation. * p < 0.05, ** p < 0.01, *** p < 0.005; ns, non-significant.
Figure 2. (a) Hierarchically clustered heat-map of substrate average well color development of bacterial communities in bare control (BC) and cover cropping (CC) samples collected after one month (_1M), two months (_2M), and three months (_3M) of treatments. The heat-map was generated based on Euclidean dissimilarity metrics, normalized from −1.5 to 2 and color scale represented from blue to red through yellow. (b) Principal component analysis (PCA) of the absorbance data from Biolog EcoPlate. Bare control (BC) and cover cropping (CC) samples collected after one month (_1M), two months (_2M), and three months (_3M) of treatments were compared. The first and second principal components are shown, which explained 70.20% and 10.16% of the total variance, respectively. Loading variables (six carbon source categories) explaining variation in different treatments.
PCA showed distinct differences in carbon source utilization patterns among bacterial communities in bare control and cover cropping (Figure 2b). The proportion of variation explained by PC1 was 70.20%, while by PC2 it was 10.16% in samples collected during three months. Samples collected from bare control and cover cropping were widely separated from each other on the PC1 axis. Utilization of phenolic compound and polymer showed the same distribution along PC2, while that of others was on the opposite side. Utilization of six carbon source categories showed significantly (p < 0.05) positive correlation with cover cropping, while it was negatively correlated with bare control (Table S1).

3.3. Population Diversity and Community Structure of Bacteria

Both bare control and cover cropping showed considerable quantities of OTUs during the experimental period (Table S2). Compared with bare control, the Chao1, Shannon and InvSimpson indices were slightly higher after one month of cover cropping, although there was no significant difference between treatments. The InvSimpson index was lower in cover cropping than that in bare control after three months. Shifts in bacterial community structure in relation to cover cropping were visualized through PCoA (Figure S2a). The proportion of variation explained by PC1 was 58.45%, while by PC2 it was 21.45% in samples collected during three months. The distribution of triplicate samples from the same treatment was observed to be closer to each other. A larger distance was observed in bare control samples collected from different sampling periods. In contrast, samples from cover cropping were less separated from each other in the PCoA plot. Ordination by NMDS showed that overall variation in the bacterial community among samples was associated with cover cropping and the sampling period (Figure S2b). Bare control samples collected from three sampling periods plotted further from each other, whereas samples from cover cropping were closer to each other. ANOSIM also revealed a significant (p < 0.005) difference between bacterial communities in bare control and cover cropping.
Dominant bacterial phyla which had higher relative abundance (>2%) in either bare control or cover cropping were selected for comparison. A total of nine phyla dominating in bare control or cover cropping were displayed (Figure 3a). They accounted for 96.51%–97.87% or 96.63%–97.86% of the relative abundance in the whole bacterial community, respectively. During all the months that were considered, higher relative abundances of Actinobacteria and Chloroflexi were observed in bare control than in cover cropping. Cover cropping was demonstrated to enrich Acidobacteria, Bacteroidetes, and Proteobacteria. In the PCA biplot, the distribution of samples from cover cropping was observed to be closer to each other, which can be distinguished from that of bare control (Figure 3b). Cover cropping samples showed significantly (p < 0.05) positive correlation with Acidobacteria, Planctomycetes, Proteobacteria, Verrucomicrobia, and the candidate phylum WPS-2 in most of the cases. Besides, they were negatively correlated with Actinobacteria and Chloroflexi (Table S3).
Figure 3. (a) Relative abundances of dominant bacterial phyla (>2%) in bare control (BC) and cover cropping (CC) samples collected after one month (_1M), two months (_2M), and three months (_3M) of treatments. Relative abundances of nine phyla were displayed in different colors. The ‘Others’ comprise the unclassified and low abundance phyla. Error bar, mean (n = 3) ± standard deviation. (b) PCA of the relative abundance data from next generation sequencing. Bare control (BC) and cover cropping (CC) samples collected after one month (_1M), two months (_2M), and three months (_3M) of treatments were compared. The first and second principal components are shown, which explained 47.21% and 24.89% of the total variance, respectively. Loading variables (dominant bacterial phyla) explaining variation in different treatments.
Dominant bacterial families which had higher relative abundance (>2%) in either bare control or cover cropping were selected for comparison. Considering the three sampling periods, the relative abundances of Acidobacteriaceae, Burkholderiaceae, and Sphingomonadaceae were higher in cover cropping than that in bare control (Figure 4a). Solibacteraceae was abundant in both bare control and cover cropping. The relative abundances of Rhodanobacteraceae and Xanthomonadaceae also significantly increased after one month of cover cropping. The dominant families in bare control or cover cropping accounted for 41.74%–54.07% and 39.39%–50.05% of the relative abundance in the whole bacterial community, respectively. PCA showed distinct differences in dominant families presenting in bare control and cover cropping (Figure 4b). The proportion of variation explained by PC1 was 49.57%, while by PC2 it was 20.64% in samples collected during three months. The distribution of triplicate samples from the same treatment was observed to be closer to each other. The highest relative abundances in Acidothermaceae, Gemmataceae, Ktedonobacteraceae, Pseudonocardiaceae, Solirubrobacteraceae, and Xanthobacteraceae were recorded in samples of one-month bare control, which were observed to be far from other treatments. Cover cropping showed significantly (p < 0.05) positive correlation with Acidobacteriaceae, Solibacteraceae, and Sphingomonadaceae (Table S3). Besides, it was negatively correlated with Acidothermaceae, Gemmataceae, Ktedonobacteraceae, Pseudonocardiaceae, Solirubrobacteraceae, and Xanthobacteraceae.
Figure 4. (a) Hierarchically clustered heat-map of relative abundances of dominant bacterial families in bare control (BC) and cover cropping (CC) samples collected after one month (_1M), two months (_2M), and three months (_3M) of treatments. The heat-map was generated based on Euclidean dissimilarity metrics, normalized from −2 to 2.5 and color scale represented from blue to red through yellow. (b) PCA of the relative abundance data from next generation sequencing. Bare control (BC) and cover cropping (CC) samples collected after one month (_1M), two months (_2M), and three months (_3M) of treatments were compared. The first and second principal components are shown, which explained 49.57% and 20.64% of the total variance, respectively. PCA was performed based on Pearson correlation matrix. Loading variables (dominant bacterial families) explaining variation in different treatments.
LEfSe was used to find biomarkers in bare control and cover cropping, and the LDA scores for particular taxa were given (Figure S3). The most effective biomarkers (LDA score > 3.6) identified in cover cropping included the phylum Bacteroidetes and Proteobacteria; and the family Acidobacteriaceae, Burkholderiaceae, Rhodanobacteraceae, and Sphingomonadaceae. The most effective biomarkers (LDA score < −3.6) identified in bare control included the phylum Chloroflexi; and the family Acidothermaceae, Gemmataceae, Ktedonobacteraceae, Pseudonocardiaceae, and Solirubrobacteraceae.

4. Discussion

The application of soybean green manure has been found to increase soil pH and available nutrients such as N, P, and K, which showed potential to restore long-term degraded tea orchards [32]. In this study we also demonstrated that cover cropping adopted in interspaces between tea plant rows increased soil EC, available P, K, Fe, Mn, Cu, and Zn. The soybean intercropping was assumed to enhance symbiotic nitrogen fixation in the tea plantation. However, the roots of soybeans failed to form nodules within three months of cultivation, which was probably due to chemical fertilization or the strongly acidic nature of tea plantation soils. This may be overcome after conducting liming and inoculating effective nitrogen-fixing bacteria, which have been successfully adopted to increase nodulation and nitrogen fixation of soybeans grown in strongly acidic soils [33].
The community level physiological profiling approach was found to be sensitive to changes in the short term due to management practices, which demonstrated that organic amendment significantly increased microbial functional diversity [34]. We also demonstrated the increase in both functional diversity and metabolic potential of the bacterial community in response to cover cropping. The bacterial community in soybean intercropping samples showed better utilization of amines including phenylethylamine and putrescine than that from bare control. These two amines are bioactive compounds found in tea leaves [35]. Phenylethylamine has also been found in fermented soybean, while putrescine was synthesized in various organs in soybean which include young roots [36,37]. Besides, soybean was shown to secrete several primary metabolites such as sugars and organic acids into the rhizosphere [38,39]. In addition to root exudates of the tea plant, the soybean root system may provide alternative carbon pools to influence metabolic activity and community structure of bacteria in the tea plantation.
Cover cropping was demonstrated to enrich bacterial phyla Acidobacteria, Bacteroidetes, and Proteobacteria regardless of the month used for comparison. Members belonging to Acidobacteria were categorized as oligotrophs, while Bacteroidetes, and Proteobacteria were associated with copiotrophy [40,41]. This provided insight into the priming effects of cover cropping on bacterial taxa with different life strategies in the tea plantation. The higher metabolic potential recorded in cover cropping might be related to the increase in relative abundance of Proteobacterial members (Burkholderiaceae, Rhodanobacteraceae, Sphingomonadaceae, and Xanthomonadaceae) and/or Acidobacterial members (Acidobacteriaceae and Solibacteraceae).
The genus Burkholderia, which dominated in Burkholderiaceae, is probably the most diverse and environmentally adaptable plant-associated bacteria in ecosystems [42]. This genus can be phylogenetically divided into two main clusters, which include human, animal, and plant pathogens or potentially plant beneficial bacteria [43]. The broader catabolic abilities of rhizobacterial strains compared with pathogenic members of Burkholderiaceae is reliably due to the niches rich in a large diversity of exudates from plants [44,45]. Recently it was demonstrated that Burkholderiaceae dominated not only the root surface but root interior of tea plants, which might form intimate associations with the tea plant and participate in the modulation of tea plant growth [11]. The family Sphingomonadaceae has been intensively studied owing to its pronounced ability to degrade natural and xenobiotic compounds. The extraordinary catabolic flexibility to degrade a broad range of compounds was contributed to by the degradative megaplasmids found in this group [46]. In this study, Sphingomonas was revealed as the dominant genus (accounting for 86%–96% of the relative abundance) within Sphingomonadaceae. Members belonging to this genus are often found in association with plants, since they were isolated from different rhizo-compartments and possess plant growth-promoting traits [47,48,49].
The presences of families Rhodanobacteraceae and Xanthomonadaceae were temporarily affected by cover cropping during the first month. Both of them were affiliated with the order Lysobacterales (earlier known as Xanthomonadales) based on the results of phylogenomic analyses [50]. Rhodanobacteraceae was dominated by an unclassified group (accounting for 41% of the relative abundance), and Xanthomonadaceae was dominated by the genus Stenotrophomonas (accounting for 92% of the relative abundance) in one-month cover cropping. The genus Stenotrophomonas is often found in association with plants. They can not only enhance plant productivity through plant growth-promoting characteristics, but metabolize a large range of organic compounds found in plant root exudates [51].
Acidobacteriaceae belong to the subdivision 1 of the phylum Acidobacteria, which possess a broad range of enzymes related to sugar usage [52,53,54]. In general, members affiliated with this family are chemo-organoheterotrophic mesophiles, with an acidic to moderately acidic pH optimum that were mostly isolated from soils [55,56]. The relative abundance of Acidobacteria was found to increase toward lower soil pH [57,58]. The correlations between pH, organic carbon, nitrogen, and the number of sequences derived from Acidobacteriaceae demonstrated their preference for low pH and high availability of plant-derived organic matter [59]. Besides bacterial families which proliferated in response to cover cropping, the family Solibacteraceae was observed with a considerable amount in both bare control and cover cropping (accounting for 2.97%–9.09% and 6%–7.7% of the relative abundance, respectively). This family comprised a representative strain Ellin6076, which was assigned to the subdivision 3 of the phylum Acidobacteria and showed metabolic versatility toward various carbon sources [60,61,62]. Recently, members of subdivision 3 Acidobacteria were reclassified into Bryobacteraceae, a newly proposed family considered as mildly acidophilic chemoheterotrophs that utilize various sugars and polysaccharides [63]. Besides, the abundances of Solibacteraceae along with another three families in the bean rhizosphere were positively correlated with host resistance to fungal root pathogens [64]. The role of Solibacteraceae involving in plant-microbe interactions might be clarified after obtaining more cultivated representatives.
Recent advances in plant–microbe interaction research revealed that plants are able to shape their rhizosphere microbiome [1,3]. Tea plants have been found to enrich Acidobacteriaceae, Burkholderiaceae, and Xanthobacteraceae, as can be seen from the higher relative abundances obtained from root surface than from soil [11]. The abundances of the former two families increased in response to soybean intercropping. These provided hints regarding their better adaptation to the root system of both tea plants and soybeans. The enriched bacterial taxa after cover cropping might be considered as potential organic matter decomposers and/or plant growth-promoting bacteria. However, many of them were with few cultivated representatives and poorly studied. They might be obtained using diluted media or through a long period of incubation instead of conventional cultivation methods [65]. Efforts should also be made to study their roles, especially in organic decomposition and interaction with tea plants.

5. Conclusions

Cover cropping was demonstrated to boost both copiotrophs (Proteobacteria) and oligotrophs (Acidobacteria) in the tea plantation. The proliferation of these potential participants further contributed to the higher metabolic potential of the bacterial community toward various carbon source categories. Acidobacteriaceae, Burkholderiaceae, Rhodanobacteraceae, and Sphingomonadaceae were identified as the most effective biomarkers in cover cropping. Members belonging to these families are considered as organic matter decomposers and/or plant growth-promoting bacteria. They may facilitate nutrient cycling and bring benefits to plants in the tea plantation, which need to be clarified in the near future.

Supplementary Materials

The following are available online at https://www.mdpi.com/article/10.3390/su13084345/s1, Figure S1: Ordination diagrams of (a) principal coordinates analysis (PCoA) and (b) non-metric multidimensional scaling (NMDS) of the relative abundance data from next generation sequencing. Bare control (BC) and cover cropping (CC) samples collected during three months were compared. PCoA and NMDS were performed based on weighted UniFrac distance metric. Loading variables (whole bacterial community) explaining variation in different treatments, Figure S2: LEfSe analysis showing the bacterial taxa enriched in (a) bare control and (b) cover crop treatment. The bars which represent the effect size (LDA) for particular taxa were given, Table S1: Principal component loadings (correlation between original loading variable and principal component) as a measure of influence of a loading variable on treatment differences, Table S2: Population diversity of bacterial communities in bare control and cover cropping samples collected during three months, Table S3: Principal component loadings (correlation between original loading variable and principal component) as a measure of influence of a loading variable on treatment differences.

Author Contributions

Conceptualization, F.-T.S.; methodology, F.-T.S. and S.-H.L.; software, F.-T.S.; validation, F.-T.S.; formal analysis, S.-H.L.; investigation, F.-T.S. and S.-H.L.; resources, F.-T.S.; data curation, F.-T.S.; writing—original draft preparation, F.-T.S.; writing—review and editing, F.-T.S.; supervision, F.-T.S.; project administration, F.-T.S.; funding acquisition, F.-T.S. All authors have read and agreed to the published version of the manuscript.

Funding

This research work was funded by the Ministry of Science and Technology and in part by the Ministry of Education, Taiwan, R.O.C. under the Higher Education Sprout Project.

Institutional Review Board Statement

Not applicable.

Data Availability Statement

The raw sequence reads obtained in this study have been submitted to the NCBI SRA database under BioProject PRJNA699862.

Acknowledgments

We gratefully acknowledge Y.C. Lian for the facilitation of our fieldwork, Y.W. Lin and M.H. Hung for the technical assistance in soil property analyses, and the anonymous reviewers for their valuable comments on the manuscript.

Conflicts of Interest

The authors declare no conflict of interest.

References

  1. Berendsen, R.L.; Pieterse, C.M.J.; Bakker, P.A.H.M. The rhizosphere microbiome and plant health. Trends Plant Sci. 2012, 17, 478–486. [Google Scholar] [CrossRef]
  2. Reinhold-Hurek, B.; Bünger, W.; Burbano, C.S.; Sabale, M.; Hurek, T. Roots shaping their microbiome: Global hotspots for microbial activity. Annu. Rev. Phytopathol. 2015, 53, 403–424. [Google Scholar] [CrossRef]
  3. Kanasugi, M.; Sarkodee-Addo, E.; Omari, R.A.; Dastogeer, K.M.G.; Fujii, Y.; Abebrese, S.O.; Bam, R.; Asuming-Brempong, S.; Okazaki, S. Exploring rice root microbiome; the variation, specialization and interaction of bacteria and fungi in six tropic savanna regions in Ghana. Sustainability 2020, 12, 5835. [Google Scholar] [CrossRef]
  4. Council of Agriculture. Available online: https://agrstat.coa.gov.tw/sdweb/public/inquiry/InquireAdvance.aspx (accessed on 31 March 2021).
  5. Goswami, G.; Deka, P.; Das, P.; Bora, S.S.; Samanta, R.; Boro, R.C.; Barooah, M. Diversity and functional properties of acid-tolerant bacteria isolated from tea plantation soil of Assam. 3 Biotech 2017, 7, 229. [Google Scholar] [CrossRef]
  6. Li, Y.C.; Li, Z.; Li, Z.W.; Jiang, Y.H.; Weng, B.Q.; Lin, W.X. Variations of rhizosphere bacterial communities in tea (Camellia sinensis L.) continuous cropping soil by high-throughput pyrosequencing approach. J. Appl. Microbiol. 2016, 121, 787–799. [Google Scholar] [CrossRef] [PubMed]
  7. Arafat, Y.; Wei, X.Y.; Jiang, Y.H.; Chen, T.; Saqib, H.S.A.; Lin, S.; Lin, W.X. Spatial distribution patterns of root-associated bacterial communities mediated by root exudates in different aged ratooning tea monoculture systems. Int. J. Mol. Sci. 2017, 18, 1727. [Google Scholar] [CrossRef] [PubMed]
  8. Lynn, T.M.; Liu, Q.; Hu, Y.; Yuan, H.; Wu, X.; Khai, A.A.; Wu, J.; Ge, T. Influence of land use on bacterial and archaeal diversity and community structures in three natural ecosystems and one agricultural soil. Arch. Microbiol. 2017, 199, 711–721. [Google Scholar] [CrossRef] [PubMed]
  9. Tan, L.; Gu, S.; Li, S.; Ren, Z.; Deng, Y.; Liu, Z.; Gong, Z.; Xiao, W.; Hu, Q. Responses of microbial communities and interaction networks to different management practices in tea plantation soils. Sustainability 2019, 11, 4428. [Google Scholar] [CrossRef]
  10. Wang, S.; Li, T.; Zheng, Z.; Chen, H.Y.H. Soil aggregate-associated bacterial metabolic activity and community structure in different aged tea plantations. Sci. Total Environ. 2019, 654, 1023–1032. [Google Scholar] [CrossRef]
  11. Chen, W.C.; Ko, C.H.; Su, Y.S.; Lai, W.A.; Shen, F.T. Metabolic potential and community structure of bacteria in an organic tea plantation. Appl. Soil Ecol. 2021, 157, 103762. [Google Scholar] [CrossRef]
  12. Dennis, P.G.; Miller, A.J.; Hirsch, P.R. Are root exudates more important than other sources of rhizodeposits in structuring rhizosphere bacterial communities? FEMS Microbiol. Ecol. 2010, 72, 313–327. [Google Scholar] [CrossRef] [PubMed]
  13. Wang, C.H.; Wu, L.; Wang, Z.; Alabady, M.S.; Parson, D.; Molumo, Z.; Fankhauser, S.C. Characterizing changes in soil microbiome abundance and diversity due to different cover crop techniques. PLoS ONE 2020, 15, e0232453. [Google Scholar] [CrossRef] [PubMed]
  14. Bartelt-Ryser, J.; Joshi, J.; Schmid, B.; Brandl, H.; Balser, T. Soil feedbacks of plant diversity on soil microbial communities and subsequent plant growth. Perspect. Plant Ecol. 2005, 7, 27–49. [Google Scholar] [CrossRef]
  15. Murungu, F.S.; Chiduza, C.; Muchaonyerwa, P.; Mnkeni, P.N.S. Decomposition, nitrogen and phosphorus mineralization from winter-grown cover crop residues and suitability for a small holder farming system in South Africa. Nutr. Cycl. Agroecosyst. 2011, 89, 115e123. [Google Scholar] [CrossRef]
  16. Wu, C.H.; Lien, T.J. The development of a new soybean variety, Tainan No. 7, for covering and green manure. Tainan Dist. Agric. Res. Ext. Stn. Bull. 2003, 42, 1–22. (In Chinese) [Google Scholar]
  17. McLean, E.O. Soil pH and lime requirement. In Methods of Soil Analysis Part 2 Chemical and Microbiological Properties, 2nd ed.; Page, A.L., Miller, R.H., Keeney, D.R., Eds.; ASA-SSSA: Madison, WI, USA, 1982; pp. 199–223. [Google Scholar]
  18. Rhoades, J.D. Soluble salts. In Methods of Soil Analysis Part 2 Chemical and Microbiological Properties, 2nd ed.; Page, A.L., Miller, R.H., Keeney, D.R., Eds.; ASA-SSSA: Madison, WI, USA, 1982; pp. 167–178. [Google Scholar]
  19. Nelson, D.W.; Sommers, L.E. Total carbon, organic carbon and organic matter. In Methods of Soil Analysis Part 2 Chemical and Microbiological Properties, 2nd ed.; Page, A.L., Miller, R.H., Keeney, D.R., Eds.; ASA-SSSA: Madison, WI, USA, 1982; pp. 539–580. [Google Scholar]
  20. Kjeldahl, J. A new method for the determination of nitrogen in organic matter. Z. Anal. Chem. 1883, 22, 366–382. [Google Scholar] [CrossRef]
  21. Bremner, J.M. Nitrogen total. In Methods of Soil Analysis Part 3 Chemical Methods; Sparks, D.L., Page, A.L., Helmke, P.A., Loeppert, R.H., Soltanpour, P.N., Tabatabai, M.A., Johnston, C.T., Sumner, M.E., Eds.; Soil Science Society of America Inc.: Madison, WI, USA, 1996; pp. 1085–1121. [Google Scholar]
  22. Mehlich, A. Mehlich 3 soil test extractant: A modification of Mehlich 2. Comm. Soil Sci. Plant Anal. 1984, 15, 1409–1416. [Google Scholar] [CrossRef]
  23. Classen, A.T.; Boyle, S.I.; Haskins, K.E.; Overby, S.T.; Hart, S.C. Community-level physiological profiles of bacteria and fungi: Plate type and incubation temperature influences on contrasting soils. FEMS Microbiol. Ecol. 2003, 44, 319–328. [Google Scholar] [CrossRef]
  24. Chou, Y.M.; Shen, F.T.; Chiang, S.C.; Chang, C.M. Functional diversity and dominant populations of bacteria in banana plantation soils as influenced by long-term organic and conventional farming. Appl. Soil Ecol. 2017, 110, 21–33. [Google Scholar] [CrossRef]
  25. Quast, C.; Pruesse, E.; Yilmaz, P.; Gerken, J.; Schweer, T.; Yarza, P.; Peplies, J.; Glöckner, F.O. The SILVA ribosomal RNA gene database project: Improved data processing and web-based tools. Nucleic Acids Res. 2013, 41, D590–D596. [Google Scholar] [CrossRef]
  26. Caporaso, J.G.; Kuczynski, J.; Stombaugh, J.; Bittinger, K.; Bushman, F.D.; Costello, E.K.; Fierer, N.; Peña, A.G.; Goodrich, J.K.; Gordon, J.I. QIIME allows analysis of high-throughput community sequencing data. Nat. Methods 2010, 7, 335–336. [Google Scholar] [CrossRef]
  27. Chen, C.; Chen, H.; Zhang, Y.; Thomas, H.R.; Frank, M.H.; He, Y.; Xia, R. TBtools: An integrative toolkit developed for interactive analyses of big biological data. Mol. Plant 2020, 13, 1194–1202. [Google Scholar] [CrossRef] [PubMed]
  28. Zak, J.C.; Willig, M.R.; Moorhead, D.L.; Wildmand, H.G. Functional diversity of microbial communities: A quantitative approach. Soil Biol. Biochem. 1994, 26, 1101–1108. [Google Scholar] [CrossRef]
  29. Manly, B.F.J. Multivariate Statistical Methods: A Primer, 2nd ed.; Chapman and Hall: London, UK, 1994. [Google Scholar]
  30. Nair, A.; Ngouajio, M. Soil microbial biomass, functional microbial diversity, and nematode community structure as affected by cover crops and compost in an organic vegetable production system. Appl. Soil Ecol. 2012, 58, 45–55. [Google Scholar] [CrossRef]
  31. Lozupone, C.; Lladser, M.E.; Knights, D.; Stombaugh, J.; Knight, R. UniFrac: An effective distance metric for microbial community comparison. ISME J. 2011, 5, 169–172. [Google Scholar] [CrossRef]
  32. Jiang, Y.-H.; Arafat, Y.; Letuma, P.; Ali, L.; Tayyab, M.; Waqas, M.; Li, Y.-C.; Lin, W.-W.; Lin, S.; Lin, W.-X. Restoration of long-term monoculture degraded tea orchard by green and goat manures application system. Sustainability 2019, 11, 1011. [Google Scholar] [CrossRef]
  33. Bakari, R.; Mungai, N.; Thuita, M.; Masso, C. Impact of soil acidity and lime on soybean (Glycine max) nodulation and nitrogen fixation in Kenyan soils. Acta Agric. Scand. Sect. B Soil Plant Sci. 2020, 70, 667–678. [Google Scholar]
  34. Gomez, E.; Ferreras, L.; Toresani, S. Soil bacterial functional diversity as influenced by organic amendment application. Bioresour. Technol. 2006, 97, 1484–1489. [Google Scholar] [CrossRef]
  35. Spizzirri, U.G.; Picci, N.; Restuccia, D. Extraction efficiency of different solvents and LC-UV determination of biogenic amines in tea leaves and infusions. J. Anal. Methods Chem. 2016, 2016, 8715287. [Google Scholar] [CrossRef]
  36. Eller, M.H.; Warner, A.L.; Knap, H.T. Genomic organization and expression analyses of putrescine pathway genes in soybean. Plant Physiol. Biochem. 2006, 44, 49–57. [Google Scholar] [CrossRef]
  37. Chen, Y.H.; Liu, X.W.; Huang, J.L.; Baloch, S.; Xu, X.; Pei, X.F. Microbial diversity and chemical analysis of Shuidouchi, traditional Chinese fermented soybean. Food Res. Int. 2019, 116, 1289–1297. [Google Scholar] [CrossRef]
  38. Timotiwu, P.B.; Sakurai, N. Identification of mono-, oligo-, and polysaccharides secreted from soybean roots. J. Plant Res. 2002, 115, 77–85. [Google Scholar] [CrossRef]
  39. Tawaraya, K.; Horie, R.; Shinano, T.; Wagatsuma, T.; Saito, K.; Oikawa, A. Metabolite profiling of soybean root exudates under phosphorus deficiency. Soil Sci. Plant Nutr. 2014, 60, 679–694. [Google Scholar] [CrossRef]
  40. Fierer, N.; Bradford, M.A.; Jackson, R.B. Toward an ecological classification of soil bacteria. Ecology 2007, 88, 1354–1364. [Google Scholar] [CrossRef] [PubMed]
  41. Ho, A.; Di Lonardo, D.P.; Bodelier, P.L.E. Revisiting life strategy concepts in environmental microbial ecology. FEMS Microbiol. Ecol. 2017, 93, fix006. [Google Scholar] [CrossRef] [PubMed]
  42. Compant, S.; Nowak, J.; Coenye, T.; Clément, C.; Ait Barka, E. Diversity and occurrence of Burkholderia spp. in the natural environment. FEMS Microbiol. Rev. 2008, 32, 607–626. [Google Scholar] [CrossRef]
  43. Suárez-Moreno, Z.R.; Caballero-Mellado, J.; Coutinho, B.G.; Mendonça-Previato, L.; James, E.K.; Venturi, V. Common features of environmental and potentially beneficial plant-associated Burkholderia. Microb. Ecol. 2012, 63, 249–266. [Google Scholar] [CrossRef] [PubMed]
  44. Bais, H.P.; Weir, T.L.; Perry, L.G.; Gilroy, S.; Vivanco, J.M. The role of root exudates in rhizosphere interactions with plants and other organisms. Annu. Rev. Plant Biol. 2006, 57, 233–266. [Google Scholar] [CrossRef]
  45. Pérez-Pantoja, D.; Donoso, R.; Agulló, L.; Córdova, M.; Seeger, M.; Pieper, D.H.; González, B. Genomic analysis of the potential for aromatic compounds biodegradation in Burkholderiales. Environ. Microbiol. 2012, 14, 1091–1117. [Google Scholar] [CrossRef]
  46. Stolz, A. Degradative plasmids from sphingomonads. FEMS Microbiol. Lett. 2014, 350, 9–19. [Google Scholar] [CrossRef]
  47. White, D.C.; Sutton, S.D.; Ringelberg, D.B. The genus Sphingomonas: Physiology and ecology. Curr. Opin. Biotechnol. 1996, 7, 301–306. [Google Scholar] [CrossRef]
  48. Gatheru Waigi, M.; Sun, K.; Gao, Y. Sphingomonads in microbe-assisted phytoremediation: Tackling soil pollution. Trends Biotechnol. 2017, 35, 883–899. [Google Scholar] [CrossRef]
  49. Asaf, S.; Numan, M.; Khan, A.L.; Al-Harrasi, A. Sphingomonas: From diversity and genomics to functional role in environmental remediation and plant growth. Crit. Rev. Biotechnol. 2020, 40, 138–152. [Google Scholar] [CrossRef]
  50. Naushad, S.; Adeolu, M.; Wong, S.; Sohail, M.; Schellhorn, H.E.; Gupta, R.S. A phylogenomic and molecular marker based taxonomic framework for the order Xanthomonadales: Proposal to transfer the families Algiphilaceae and Solimonadaceae to the order Nevskiales ord. nov. and to create a new family within the order Xanthomonadales, the family Rhodanobacteraceae fam. nov., containing the genus Rhodanobacter and its closest relatives. Antonie Van Leeuwenhoek 2015, 107, 467–485. [Google Scholar]
  51. Ryan, R.P.; Monchy, S.; Cardinale, M.; Taghavi, S.; Crossman, L.; Avison, M.B.; Berg, G.; van der Lelie, D.; Dow, J.M. The versatility and adaptation of bacteria from the genus Stenotrophomonas. Nat. Rev. Microbiol. 2009, 7, 514–525. [Google Scholar] [CrossRef]
  52. Thrash, J.C.; Coates, J.D.; Family, I. Acidobacteriaceae fam. nov. In Bergey’s Manual of Systematic Bacteriology, 2nd ed.; Krieg, N.R., Staley, J.T., Brown, D.R., Hedlund, B.P., Paster, B.J., Ward, N.L., Ludwig, W., Whitman, W.B., Eds.; Springer: New York, NY, USA, 2011; Volume 4, p. 728. [Google Scholar]
  53. Thrash, J.C.; Coates, J.D. Acidobacteriaceae fam. nov. In List of new names and new combinations previously effectively, but not validly, published, Validation List no. 143. Int. J. Syst. Evol. Microbiol. 2012, 62, 1–4. [Google Scholar]
  54. Kielak, A.M.; Barreto, C.C.; Kowalchuk, G.A.; van Veen, J.A.; Kuramae, E.E. The ecology of Acidobacteria: Moving beyond genes and genomes. Front. Microbiol. 2016, 7, 744. [Google Scholar] [CrossRef] [PubMed]
  55. Foesel, B.U.; Mayer, S.; Luckner, M.; Wanner, G.; Rohde, M.; Overmann, J. Occallatibacter riparius gen. nov., sp. nov. and Occallatibacter savannae sp. nov., acidobacteria isolated from Namibian soils, and emended description of the family Acidobacteriaceae. Int. J. Syst. Evol. Microbiol. 2016, 66, 219–229. [Google Scholar] [CrossRef]
  56. Belova, S.E.; Suzina, N.E.; Rijpstra, W.I.C.; Sinninghe Damsté, J.S.; Dedysh, S.N. Edaphobacter lichenicola sp. nov., a member of the family Acidobacteriaceae from lichen-dominated forested tundra. Int. J. Syst. Evol. Microbiol. 2018, 68, 1265–1270. [Google Scholar] [CrossRef]
  57. Kim, H.M.; Jung, J.Y.; Yergeau, E.; Hwang, C.Y.; Hinzman, L.; Nam, S.; Hong, S.G.; Kim, O.S.; Chun, J.; Lee, Y.K. Bacterial community structure and soil properties of a subarctic tundra soil in Council, Alaska. FEMS Microbiol. Ecol. 2014, 89, 465–475. [Google Scholar] [CrossRef]
  58. Sun, L.; Xun, W.; Huang, T.; Zhang, G.; Gao, J.; Ran, W.; Li, D.; Shen, Q.; Zhang, R. Alteration of the soil bacterial community during parent material maturation driven by different fertilization treatments. Soil Biol. Biochem. 2016, 96, 207–215. [Google Scholar] [CrossRef]
  59. Ivanova, A.A.; Zhelezova, A.D.; Chernov, T.I.; Dedysh, S.N. Linking ecology and systematics of Acidobacteria: Distinct habitat preferences of the Acidobacteriia and Blastocatellia in tundra soils. PLoS ONE 2020, 15, e0230157. [Google Scholar] [CrossRef] [PubMed]
  60. Joseph, S.J.; Hugenholtz, P.; Sangwan, P.; Osborne, C.A.; Janssen, P.H. Laboratory cultivation of widespread and previously uncultured soil bacteria. Appl. Environ. Microbiol. 2003, 69, 7210–7215. [Google Scholar] [CrossRef]
  61. Davis, K.E.R.; Joseph, S.J.; Janssen, P.H. Effects of growth medium, inoculum size, and incubation time on culturability and isolation of soil bacteria. Appl. Environ. Microbiol. 2005, 71, 826–834. [Google Scholar] [CrossRef]
  62. Ward, N.L.; Challacombe, J.F.; Janssen, P.H.; Henrissat, B.; Coutinho, P.M.; Wu, M.; Xie, G.; Haft, D.H.; Sait, M.; Badger, J.; et al. Three genomes from the phylum Acidobacteria provide insights into the lifestyles of these microorganisms in soils. Appl. Environ. Microbiol. 2009, 75, 2046–2056. [Google Scholar] [CrossRef]
  63. Dedysh, S.N.; Kulichevskaya, I.S.; Huber, K.J.; Overmann, J. Defining the taxonomic status of described subdivision 3 Acidobacteria: Proposal of Bryobacteraceae fam. nov. Int. J. Syst. Evol. Microbiol. 2017, 67, 498–501. [Google Scholar] [CrossRef]
  64. Mendes, L.W.; Raaijmakers, J.M.; de Hollander, M.; Mendes, R.; Tsai, S.M. Influence of resistance breeding in common bean on rhizosphere microbiome composition and function. ISME J. 2018, 12, 212–224. [Google Scholar] [CrossRef]
  65. Huang, Y.S.; Shen, F.T. Bioprospecting of facultatively oligotrophic bacteria from non-rhizospheric soils. Appl. Soil Ecol. 2016, 108, 315–324. [Google Scholar] [CrossRef]
Publisher’s Note: MDPI stays neutral with regard to jurisdictional claims in published maps and institutional affiliations.

Article Metrics

Citations

Article Access Statistics

Multiple requests from the same IP address are counted as one view.