Earthworm (Eisenia fetida) Mucus Inspired Bionic Fertilizer to Stimulate Maize (Zea mays L.) Growth
Abstract
1. Introduction
2. Materials and Methods
2.1. Sample Collection and Analysis of Nitrogen Content of Earthworm Epidermal Mucus
2.2. Formula Design of Bionic Fertilizer Mixtures
- (1)
- 150 g/plant of bionic fertilizer with an amino acid content of 10 wt.% was adopted as bionic fertilizer 1; mucus of Eisenia fetida with same solution mass as bionic fertilizer was adopted as mucus treatment 1. Urea and the bionic fertilizer had the same nitrogen content. The mucus, bionic fertilizer and urea were all set to have five fertilization treatments with the same solution mass. The concentration of the first fertilization treatment was the highest, and the concentration of the latter fertilization treatment was half of the previous concentration (diluted twice). The total amount of solute of the three liquid fertilizers used during the maize test stage is shown in Table 1.
- (2)
- The total amount of the above three types of liquid fertilizer was distributed to two stages of maize emergence stage and seedling growth stage. Since the maize emergence stage is a slow absorption stage for nitrogen fertilizer, 20 wt.% (30 g/plant) of the above solution is applied during the maize emergence stage, and 80 wt.% (120 g/plant) of the above solution is applied in the maize seedling stage.
- (3)
- Different concentrations of mucus, bionic fertilizer, urea and distilled water were applied to maize plants, and the effects of mucus and bionic fertilizer on soil fertility were investigated. Extraction of 150 g of mucus using an electrical stimulation method requires approximately 1000 g of Eisenia fetida.
2.3. Investigation of Effects of Liquid Fertilizers on Maize during the Emergence Stage
2.4. Investigation of Effects of Liquid Fertilizers on Maize within the Growth Stage
- (1)
- Soil nutrient content
- (2)
- Maize growth index
- (3)
- Maize physiological indicators
2.5. Data Analysis
3. Results and Discussion
3.1. Effects on the Vigor of Maize Seeds
3.2. Effects on the Quality of Maize Seedingl Plants
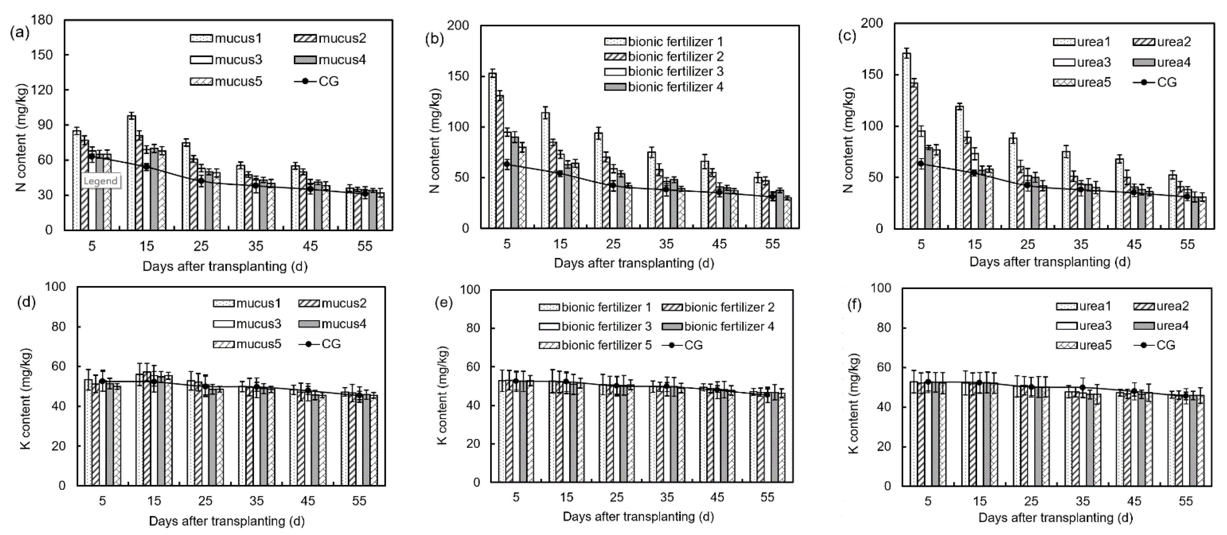
3.3. Effects on Soil Nutrients
3.4. Effects on Maize Growth
4. Conclusions
- (1)
- The lower concentration treatments of liquid fertilizers were more beneficial to the improvement of maize seed vigor index than the higher concentration ones. The effects of three liquid fertilizers on the emergence rate of maize were ranked as follows: Mucus > bionic fertilizer > urea.
- (2)
- Under lower concentration of bionic and urea fertilizer treatments, the average of plant height and stem diameter after the maize emergence were increased as compared with higher concentration ones. Compared with the CG, lower concentrations of mucus were beneficial to the growth of maize seedling roots, while higher concentrations of urea significantly inhibited (p < 0.05) the development of maize seedling roots.
- (3)
- Higher concentration treatments provided more nitrogen nutrition to the soil as compared to that of lower concentrations. The mucus treatment reached the maximum nitrogen content after 15 days of transplanting. While, the bionic fertilizer and urea treatment reached the maximum nitrogen content after 5 days of transplanting. The difference between rapidly available potassium and phosphorus in each fertilization treatment was not significant (p > 0.05). Similarly, the effects of three liquid fertilizers on the pH value in the sampled soil were not significant (p > 0.05).
- (4)
- As compared with the CG, the three tested liquid fertilizers significantly promoted (p < 0.05) the growth of maize in terms of plant height and stem diameter. At the end of the experimental stage, the effects of three liquid fertilizers on the maize plant height and stem diameter were ranked as follows: bionic fertilizer > urea > mucus > CG.
- (5)
- During the test stage, the SPAD value of maize leaves increased gradually, and the SPAD value of maize leaves reached the peak 55 days after transplanting. The effects of three liquid fertilizers on the SPAD value of maize leaves were ranked as follows: bionic fertilizer > urea > mucus > CG.
- (6)
- During the growing stage of maize plants, mucus and bionic fertilizer increased the chlorophyll content of maize leaves, which was beneficial to increase nitrogen content. The application of liquid fertilizer increased the photosynthetic rate of maize leaves and promoted the accumulation of dry matter in maize. The effects of liquid fertilizer on photosynthetic characteristics of maize leaves were ranked as follows: bionic fertilizer > urea > mucus > CG.
Supplementary Materials
Author Contributions
Funding
Institutional Review Board Statement
Data Availability Statement
Acknowledgments
Conflicts of Interest
References
- Foley, J.A.; Ramankutty, N.; Brauman, K.A.; Cassidy, E.S.; Gerber, J.S.; Johnston, M.; Mueller, N.D.; O’Connell, C.; Ray, D.K.; West, P.C.; et al. Solutions for a cultivated planet. Nature 2011, 478, 337–342. [Google Scholar] [CrossRef]
- He, Z.; Shang, X.; Zhang, T. Study on Water Saving Potential and Net Profit of Zea mays L.: The Role of Surface Mulching with Micro-Spray Irrigation. Appl. Sci. 2020, 10, 402. [Google Scholar] [CrossRef]
- Laucka, A.; Andriukaitis, D.; Valinevicius, A.; Navikas, D.; Zilys, M.; Markevicius, V.; Klimenta, D.; Sotner, R.; Jerabek, J. Method for Volume of Irregular Shape Pellets Estimation Using 2D Imaging Measurement. Appl. Sci. 2020, 10, 2650. [Google Scholar] [CrossRef]
- Sweeney, D.W.; Ruiz-Diaz, D.; Jardine, D.J. Nitrogen Management and Uptake by Corn on No-Till and Ridge-Till Claypan Soil. Agrosyst. Geosci. Environ. 2018, 1, 180034. [Google Scholar] [CrossRef]
- Omar, L.; Ahmed, O.H.; Jalloh, M.B.; Nik Muhamad, A.M. Soil Nitrogen Fractions, Nitrogen Use Efficiency and Yield of Zea mays L. Grown on a Tropical Acid Soil Treated with Composts and Clinoptilolite Zeolite. Appl. Sci. 2020, 10, 4139. [Google Scholar] [CrossRef]
- Matlok, N.; Szostek, M.; Antos, P.; Gajdek, G.; Gorzelany, J.; Bobrecka-Jamro, D.; Balawejder, M. Effect of Foliar and Soil Fertilization with New Products Based on Calcinated Bones on Selected Physiological Parameters of Maize Plants. Appl. Sci. 2020, 10, 2579. [Google Scholar] [CrossRef]
- Gao, J.; Zhang, J.; Zhang, F.; Hou, Z.; Zhai, Y.; Ge, L. Analysis of Movement Law and Influencing Factors of Hill-Drop Fertilizer Based on SPH Algorithm. Appl. Sci. 2020, 10, 1643. [Google Scholar] [CrossRef]
- Shiferaw, B.; Prasanna, B.M.; Hellin, J.; Bänziger, M. Crops that feed the world 6. Past successes and future challenges to the role played by maize in global food security. Food Secur. 2011, 3, 307. [Google Scholar] [CrossRef]
- Domínguez, J.; Bohlen, P.J.; Parmelee, R.W. Earthworms Increase Nitrogen Leaching to Greater Soil Depths in Row Crop Agroecosystems. Ecosystems 2004, 7, 672–685. [Google Scholar] [CrossRef]
- Rüdisser, J.; Tasser, E.; Peham, T.; Meyer, E.; Tappeiner, U. Hidden Engineers and Service Providers: Earthworms in Agricultural Land-Use Types of South Tyrol, Italy. Sustainability 2021, 13, 312. [Google Scholar] [CrossRef]
- Wen, S.; Shao, M.a.; Wang, J. Earthworm Burrowing Activity and Its Effects on Soil Hydraulic Properties under Different Soil Moisture Conditions from the Loess Plateau, China. Sustainability 2020, 12, 9303. [Google Scholar] [CrossRef]
- Medina-Sauza, R.M.; Álvarez-Jiménez, M.; Delhal, A.; Reverchon, F.; Blouin, M.; Guerrero-Analco, J.A.; Cerdán, C.R.; Guevara, R.; Villain, L.; Barois, I. Earthworms Building Up Soil Microbiota, a Review. Front. Environ. Sci. 2019, 7, 81. [Google Scholar] [CrossRef]
- Wurst, S.; Gebhardt, K.; Rillig, M.C. Independent effects of arbuscular mycorrhiza and earthworms on plant diversity and newcomer plant establishment. J. Veg. Sci. 2011, 22, 1021–1030. [Google Scholar] [CrossRef]
- Ma, L.; Shao, M.a.; Li, T. Characteristics of Soil Moisture and Evaporation under the Activities of Earthworms in Typical Anthrosols in China. Sustainability 2020, 12, 6603. [Google Scholar] [CrossRef]
- Dulaurent, A.-M.; Daoulas, G.; Faucon, M.-P.; Houben, D. Earthworms (Lumbricus terrestris L.) Mediate the Fertilizing Effect of Frass. Agronomy 2020, 10, 783. [Google Scholar] [CrossRef]
- Dekemati, I.; Simon, B.; Bogunovic, I.; Kisic, I.; Kassai, K.; Kende, Z.; Birkás, M. Long Term Effects of Ploughing and Conservation Tillage Methods on Earthworm Abundance and Crumb Ratio. Agronomy 2020, 10, 1552. [Google Scholar] [CrossRef]
- Kanianska, R.; Jaďuďová, J.; Makovníková, J.; Kizeková, M. Assessment of Relationships between Earthworms and Soil Abiotic and Biotic Factors as a Tool in Sustainable Agricultural. Sustainability 2016, 8, 906. [Google Scholar] [CrossRef]
- Griffiths, B.S.; Faber, J.; Bloem, J. Applying Soil Health Indicators to Encourage Sustainable Soil Use: The Transition from Scientific Study to Practical Application. Sustainability 2018, 10, 3021. [Google Scholar] [CrossRef]
- Darwin, C. The Formation of Vegetable Mould through the Action of Worms: With Observations on Their Habits; Appleton: New York, NY, USA, 1892; Volume 37. [Google Scholar]
- Syers, J.K.; Springett, J.A. Earthworms and soil fertility. In Biological Processes and Soil Fertility; Tinsley, J., Darbyshire, J.F., Eds.; Springer: Dordrecht, The Netherlands, 1984; pp. 93–104. [Google Scholar] [CrossRef]
- Angst, G.; Mueller, C.W.; Prater, I.; Angst, Š.; Frouz, J.; Jílková, V.; Peterse, F.; Nierop, K.G.J. Earthworms act as biochemical reactors to convert labile plant compounds into stabilized soil microbial necromass. Commun. Biol. 2019, 2, 441. [Google Scholar] [CrossRef]
- Curry, J.P.; Schmidt, O. The feeding ecology of earthworms—A review. Pedobiologia 2007, 50, 463–477. [Google Scholar] [CrossRef]
- Edwards, C.A. Earthworm Ecology; CRC Press: Boca Raton, FL, USA, 2004. [Google Scholar]
- Phillips, H.R.P.; Guerra, C.A.; Bartz, M.L.C.; Briones, M.J.I.; Brown, G.; Crowther, T.W.; Ferlian, O.; Gongalsky, K.B.; van den Hoogen, J.; Krebs, J.; et al. Global distribution of earthworm diversity. Science 2019, 366, 480. [Google Scholar] [CrossRef]
- Sizmur, T.; Richardson, J. Earthworms accelerate the biogeochemical cycling of potentially toxic elements: Results of a meta-analysis. Soil Biol. Biochem. 2020, 148, 107865. [Google Scholar] [CrossRef]
- Pey, B.; Cortet, J.; Watteau, F.; Cheynier, K.; Schwartz, C. Structure of earthworm burrows related to organic matter of a constructed Technosol. Geoderma 2013, 202–203, 103–111. [Google Scholar] [CrossRef]
- Xiang, H.; Guo, L.; Zhang, J.; Zhao, B.; Wei, H. In Situ Earthworm Breeding to Improve Soil Aggregation, Chemical Properties, and Enzyme Activity in Papayas. Sustainability 2018, 10, 1193. [Google Scholar] [CrossRef]
- Lubbers, I.M.; Brussaard, L.; Otten, W.; Van Groenigen, J.W. Earthworm-induced N mineralization in fertilized grassland increases both N2O emission and crop-N uptake. Eur. J. Soil Sci. 2011, 62, 152–161. [Google Scholar] [CrossRef]
- Mokgophi, M.M.; Manyevere, A.; Ayisi, K.K.; Munjonji, L. Characterisation of Chamaecytisus tagasaste, Moringa oleifera and Vachellia karroo Vermicomposts and Their Potential to Improve Soil Fertility. Sustainability 2020, 12, 9305. [Google Scholar] [CrossRef]
- Blanchart, E.; Lavelle, P.; Braudeau, E.; Le Bissonnais, Y.; Valentin, C. Regulation of soil structure by geophagous earthworm activities in humid savannas of Cote d’Ivoire. Soil Biol. Biochem. 1997, 29, 431–439. [Google Scholar] [CrossRef]
- Bohlen, P.J.; Parmelee, R.W.; Blair, J.M. Integrating the Effects of Earthworms on Nutrient Cycling across Spatial and Temporal Scales; CRC Press: Boca Raton, FL, USA, 2004; pp. 161–180. [Google Scholar]
- Jjagwe, J.; Chelimo, K.; Karungi, J.; Komakech, A.J.; Lederer, J. Comparative Performance of Organic Fertilizers in Maize (Zea mays L.) Growth, Yield, and Economic Results. Agronomy 2020, 10, 69. [Google Scholar] [CrossRef]
- Fonte, S.J.; Quintero, D.C.; Velásquez, E.; Lavelle, P. Interactive effects of plants and earthworms on the physical stabilization of soil organic matter in aggregates. Plant Soil 2012, 359, 205–214. [Google Scholar] [CrossRef]
- Pulido Moncada, M.; Gabriels, D.; Lobo, D.; Rey, J.C.; Cornelis, W.M. Visual field assessment of soil structural quality in tropical soils. Soil Tillage Res. 2014, 139, 8–18. [Google Scholar] [CrossRef]
- Dobson, A.M.; Blossey, B.; Richardson, J.B. Invasive earthworms change nutrient availability and uptake by forest understory plants. Plant Soil 2017, 421, 175–190. [Google Scholar] [CrossRef]
- Rodríguez, M.P.; Domínguez, A.; Moreira Ferroni, M.; Wall, L.G.; Bedano, J.C. The Diversification and Intensification of Crop Rotations under No-Till Promote Earthworm Abundance and Biomass. Agronomy 2020, 10, 919. [Google Scholar] [CrossRef]
- Li, Y.; Shao, M.; Wang, J.; Li, T. Effects of Earthworm Cast Application on Water Evaporation and Storage in Loess Soil Column Experiments. Sustainability 2020, 12, 3112. [Google Scholar] [CrossRef]
- Brussaard, L.; Pulleman, M.M.; Ouédraogo, É.; Mando, A.; Six, J. Soil fauna and soil function in the fabric of the food web. Pedobiologia 2007, 50, 447–462. [Google Scholar] [CrossRef]
- Marichal, R.; Mathieu, J.; Couteaux, M.M.; Mora, P.; Roy, J.; Lavelle, P. Earthworm and microbe response to litter and soils of tropical forest plantations with contrasting C:N:P stoichiometric ratios. Soil Biol. Biochem. 2011, 43, 1528–1535. [Google Scholar] [CrossRef]
- Nguyen Tu, T.T.; Vidal, A.; Quénéa, K.; Mendez-Millan, M.; Derenne, S. Influence of earthworms on apolar lipid features in soils after 1 year of incubation. Biogeochemistry 2020, 147, 243–258. [Google Scholar] [CrossRef]
- Puga-Freitas, R.; Barot, S.; Taconnat, L.; Renou, J.-P.; Blouin, M. Signal Molecules Mediate the Impact of the Earthworm Aporrectodea caliginosa on Growth, Development and Defence of the Plant Arabidopsis thaliana. PLoS ONE 2012, 7, e49504. [Google Scholar] [CrossRef] [PubMed]
- Hamamoto, T.; Uchida, Y. The Role of Different Earthworm Species (Metaphire Hilgendorfi and Eisenia Fetida) on CO2 Emissions and Microbial Biomass during Barley Decomposition. Sustainability 2019, 11, 6544. [Google Scholar] [CrossRef]
- Laossi, K.-R.; Ginot, A.; Noguera, D.C.; Blouin, M.; Barot, S. Earthworm effects on plant growth do not necessarily decrease with soil fertility. Plant Soil 2010, 328, 109–118. [Google Scholar] [CrossRef]
- Eisenhauer, N.; Scheu, S. Earthworms as drivers of the competition between grasses and legumes. Soil Biol. Biochem. 2008, 40, 2650–2659. [Google Scholar] [CrossRef]
- Milleret, R.; Le Bayon, R.-C.; Gobat, J.-M. Root, mycorrhiza and earthworm interactions: Their effects on soil structuring processes, plant and soil nutrient concentration and plant biomass. Plant Soil 2009, 316, 1–12. [Google Scholar] [CrossRef]
- Jjagwe, J.; Komakech, A.J.; Karungi, J.; Amann, A.; Wanyama, J.; Lederer, J. Assessment of a Cattle Manure Vermicomposting System Using Material Flow Analysis: A Case Study from Uganda. Sustainability 2019, 11, 5173. [Google Scholar] [CrossRef]
- Whalen, J.K.; Parmelee, R.W.; Subler, S. Quantification of nitrogen excretion rates for three lumbricid earthworms using 15 N. Biol. Fertil. Soils 2000, 32, 347–352. [Google Scholar] [CrossRef]
- Bhadauria, T.; Ramakrishnan, P. Role of earthworms in nitrogen cycling during the cropping phase of shifting agriculture (Jhum) in north-east India. Biol. Fertil. Soils 1996, 22, 350–354. [Google Scholar] [CrossRef]
- Ll, H.; Li, X.; Dou, Z.; Zhang, J.; Wang, C. Earthworm (Aporrectodeatrapezoides)–mycorrhiza (Glomus intraradices) interaction and nitrogen and phosphorus uptake by maize. Biol. Fertil. Soils 2012, 48, 75–85. [Google Scholar] [CrossRef]
- Ortiz-Ceballos, A.I.; Peña-Cabriales, J.J.; Fragoso, C.; Brown, G.G. Mycorrhizal colonization and nitrogen uptake by maize: Combined effect of tropical earthworms and velvetbean mulch. Biol. Fertil. Soils 2007, 44, 181–186. [Google Scholar] [CrossRef]
- Li, Y.; Wang, S.; Lu, M.; Zhang, Z.; Chen, M.; Li, S.; Cao, R. Rhizosphere interactions between earthworms and arbuscular mycorrhizal fungi increase nutrient availability and plant growth in the desertification soils. Soil Tillage Res. 2019, 186, 146–151. [Google Scholar] [CrossRef]
- Heredia, R.B.; Dueñas, S.; Castillo, L.; Ventura, J.J.; Silva Briano, M.; Posadas del Rio, F.; Rodríguez, M.G. Autofluorescence as a tool to study mucus secretion in Eisenia foetida. Comp. Biochem. Physiol. Part A Mol. Integr. Physiol. 2008, 151, 407–414. [Google Scholar] [CrossRef]
- Zhang, D.; Chen, Y.; Ma, Y.; Guo, L.; Sun, J.; Tong, J. Earthworm epidermal mucus: Rheological behavior reveals drag-reducing characteristics in soil. Soil Tillage Res. 2016, 158, 57–66. [Google Scholar] [CrossRef]
- Zhang, S.; Tang, C.; Li, H.; Wei, Z.; Hu, F. Earthworm Mucus Enhanced Cadmium Accumulation of Tomato Seedlings. Int. J. Phytoremediation 2009, 12, 24–33. [Google Scholar] [CrossRef]
- Chen, Y.; Zhang, Q.; Zhang, Y.; Chen, J.; Zhang, D.; Tong, J. Changes in fibrolytic enzyme activity during vermicomposting of maize stover by an anecic earthworm Amynthas hupeiensis. Polym. Degrad. Stab. 2015, 120, 169–177. [Google Scholar] [CrossRef]
- Chen, Y.; Zhang, Y.; Zhang, Q.; Xu, L.; Li, R.; Luo, X.; Zhang, X.; Tong, J. Earthworms modify microbial community structure and accelerate maize stover decomposition during vermicomposting. Environ. Sci. Pollut. Res. 2015, 22, 17161–17170. [Google Scholar] [CrossRef] [PubMed]
- Bityutskii, N.P.; Maiorov, E.I.; Orlova, N.E. The priming effects induced by earthworm mucus on mineralization and humification of plant residues. Eur. J. Soil Biol. 2012, 50, 1–6. [Google Scholar] [CrossRef]
- Guhra, T.; Stolze, K.; Schweizer, S.; Totsche, K.U. Earthworm mucus contributes to the formation of organo-mineral associations in soil. Soil Biol. Biochem. 2020, 145, 107785. [Google Scholar] [CrossRef]
- Zhang, S.; Hu, F.; Li, H. Effects of earthworm mucus and amino acids on cadmium subcellular distribution and chemical forms in tomato seedlings. Bioresour. Technol. 2009, 100, 4041–4046. [Google Scholar] [CrossRef] [PubMed]
- Pratelli, R.; Voll, L.M.; Horst, R.J.; Frommer, W.B.; Pilot, G. Stimulation of Nonselective Amino Acid Export by Glutamine Dumper Proteins. Plant Physiol. 2010, 152, 762. [Google Scholar] [CrossRef] [PubMed]
- Padgett, P.E.; Leonard, R.T. Regulation of nitrate uptake by amino acids in maize cell suspension culture and intact roots. Plant Soil 1993, 155, 159–161. [Google Scholar] [CrossRef]
- Khan, S.; Yu, H.J.; Li, Q.; Gao, Y.N.; Sallam, B.N.; Wang, H.; Liu, P.; Jiang, W.J. Exogenous Application of Amino Acids Improves the Growth and Yield of Lettuce by Enhancing Photosynthetic Assimilation and Nutrient Availability. Agronomy 2019, 9, 266. [Google Scholar] [CrossRef]
- Qiu, X.-M.; Sun, Y.-Y.; Ye, X.-Y.; Li, Z.-G. Signaling Role of Glutamate in Plants. Front. Plant Sci. 2020, 10, 1743. [Google Scholar] [CrossRef]
- Teixeira, W.F.; Fagan, E.B.; Soares, L.H.; Soares, J.N.; Reichardt, K.; Neto, D.D. Seed and Foliar Application of Amino Acids Improve Variables of Nitrogen Metabolism and Productivity in Soybean Crop. Front. Plant Sci. 2018, 9, 396. [Google Scholar] [CrossRef]
- Garczyńska, M.; Kostecka, J.; Pączka, G.; Hajduk, E.; Mazur-Pączka, A.; Butt, K.R. Properties of Vermicomposts Derived from Cameroon Sheep Dung. Appl. Sci. 2020, 10, 5048. [Google Scholar] [CrossRef]
- Ren, L.; Liang, Y. Biological couplings: Classification and characteristic rules. Sci. China Technol. Sci. 2009, 52, 2791–2800. [Google Scholar] [CrossRef]
- Ren, L.; Liang, Y. Preliminary studies on the basic factors of bionics. Sci. China Technol. Sci. 2014, 57, 520–530. [Google Scholar] [CrossRef]
- Ren, L. Progress in the bionic study on anti-adhesion and resistance reduction of terrain machines. Sci. China Technol. Sci. 2009, 52, 273–284. [Google Scholar] [CrossRef]
- Ren, L.; Liang, Y. Biological couplings: Function, characteristics and implementation mode. Sci. China Technol. Sci. 2010, 53, 379–387. [Google Scholar] [CrossRef]
- Ren, L.; Liang, Y. Coupling Bionics; Science Press: Beijing, China, 2011. [Google Scholar]
- Zu, Y.Q.; Yan, Y.Y. Numerical simulation of electroosmotic flow near earthworm surface. J. Bionic Eng. 2006, 3, 179–186. [Google Scholar] [CrossRef]
- Khan, M.A.; Qaisrani, R.; Li, J.-Q. The techniques of reducing adhesion and scouring soil by bionic–review of literature. Adv. Nat. Sci. 2010, 3, 41–50. [Google Scholar]
- Song, C.-W.; Lee, D.-J.; Lee, S.-Y. Bioinspired segment robot with earthworm-like plane locomotion. J. Bionic Eng. 2016, 13, 292–302. [Google Scholar] [CrossRef]
- Li, J.; Kou, B.; Liu, G.; Fan, W.; Liu, L. Resistance reduction by bionic coupling of the earthworm lubrication function. Sci. China Technol. Sci. 2010, 53, 2989–2995. [Google Scholar] [CrossRef]
- Ren, L.; Cong, Q.; Tong, J.; Chen, B. Reducing adhesion of soil against loading shovel using bionic electro-osmosis method. J. Terramechanics 2001, 38, 211–219. [Google Scholar] [CrossRef]
- Gu, Y.Q.; Fan, T.X.; Mou, J.G.; Jiang, L.F.; Wu, D.H.; Zheng, S.H. A review of bionic technology for drag reduction based on analysis of abilities the earthworm. Int. J. Eng. Res. Afr. 2016, 19, 103–111. [Google Scholar] [CrossRef]
- Vincent, J.F. Biomimetic materials. J. Mater. Res. 2008, 23, 3140–3147. [Google Scholar] [CrossRef]
- El-Ghamry, A.M.; El-Hai, K.A.; Ghoneem, K.M. Amino and humic acids promote growth, yield and disease resistance of faba bean cultivated in clayey soil. Aust. J. Basic Appl. Sci. 2009, 3, 731–739. [Google Scholar]
- Shehata, S.; Gharib, A.; El-Mogy, M.M.; Gawad, A.; Shalaby, E.A. Influence of compost, amino and humic acids on the growth, yield and chemical parameters of strawberries. J. Med. Plants Res. 2011, 5, 2304–2308. [Google Scholar]
- Neuhauser, E.; Loehr, R.; Milligan, D.; Malecki, M. Toxicity of metals to the earthworm Eisenia fetida. Biol. Fertil. Soils 1985, 1, 149–152. [Google Scholar] [CrossRef]
- Raza, S.T.; Tang, J.L.; Ali, Z.; Yao, Z.; Bah, H.; Iqbal, H.; Ren, X. Ammonia Volatilization and Greenhouse Gases Emissions during Vermicomposting with Animal Manures and Biochar to Enhance Sustainability. Int. J. Environ. Res. Public Health 2021, 18, 178. [Google Scholar] [CrossRef]
- Wen, B.; Liu, Y.; Hu, X.-Y.; Shan, X.-Q. Effect of earthworms (Eisenia fetida) on the fractionation and bioavailability of rare earth elements in nine Chinese soils. Chemosphere 2006, 63, 1179–1186. [Google Scholar] [CrossRef]
- Sun, J.; Gao, J.; Wang, Z.; Hu, S.; Zhang, F.; Bao, H.; Fan, Y. Maize Canopy Photosynthetic Efficiency, Plant Growth, and Yield Responses to Tillage Depth. Agronomy 2019, 9, 3. [Google Scholar] [CrossRef]
- Shen, D.; Zhang, G.; Xie, R.; Ming, B.; Hou, P.; Xue, J.; Li, S.; Wang, K. Improvement in Photosynthetic Rate and Grain Yield in Super-High-Yield Maize (Zea mays L.) by Optimizing Irrigation Interval under Mulch Drip Irrigation. Agronomy 2020, 10, 1778. [Google Scholar] [CrossRef]
- Wang, D.; Li, G.; Mo, Y.; Cai, M.; Bian, X. Effect of Planting Date on Accumulated Temperature and Maize Growth under Mulched Drip Irrigation in a Middle-Latitude Area with Frequent Chilling Injury. Sustainability 2017, 9, 1500. [Google Scholar] [CrossRef]
- Li, Y.; Huang, G.; Guo, Y.; Zhou, Y.; Duan, L. Coronatine Enhances Stalk Bending Resistance of Maize, Thickens the Cell Wall and decreases the Area of the Vascular Bundles. Agronomy 2020, 10, 807. [Google Scholar] [CrossRef]
- Wong, L.K. Effects of Secretions of the Mucus Gland of Sirex Noctilio on Biochemical Systems in Pinus Radiata, and some Physicochemical Properties of the Mucus. Ph.D. Thesis, University of Tasmania, Hobart, Australia, 1977. [Google Scholar]
- Chapman, J.; Truong, V.K.; Elbourne, A.; Gangadoo, S.; Cheeseman, S.; Rajapaksha, P.; Latham, K.; Crawford, R.J.; Cozzolino, D. Combining Chemometrics and Sensors: Toward New Applications in Monitoring and Environmental Analysis. Chem. Rev. 2020, 102, 6048–6069. [Google Scholar] [CrossRef] [PubMed]









| Fertilization Treatment | Mucus Dosage g/Plant | Fertilization Treatment | Amino Acid Dosage (g/Plant) | Fertilization Treatment | Urea Dosage (g/Plant) |
|---|---|---|---|---|---|
| mucus 1 | 150.00 | bionic fertilizer 1 | 15.00 | urea 1 | 4.70 |
| mucus 2 | 75.0 | bionic fertilizer 2 | 7.50 | urea 2 | 2.35 |
| mucus 3 | 37.50 | bionic fertilizer 3 | 3.75 | urea 3 | 1.18 |
| mucus 4 | 18.75 | bionic fertilizer 4 | 1.87 | urea 4 | 0.59 |
| mucus 5 | 9375 | bionic fertilizer 5 | 0.94 | urea 5 | 0.29 |
| Variety | 100 Weight (g) | Triaxial Size(mm) | ||
|---|---|---|---|---|
| L | W | H | ||
| Xianyu 335 | 28.60 ± 0.60 | 10.03 ± 1.19 | 7.84 ± 0.69 | 5.83 ± 1.20 |
| Fertilization Treatment | Mucus Dosage g/Plant | Fertilization Treatment | Amino Acid Dosage (g/Plant) | Fertilization Treatment | Urea Dosage (g/Plant) |
|---|---|---|---|---|---|
| mucus 1 | 30.00 | bionic fertilizer 1 | 3.00 | urea 1 | 0.94 |
| mucus 2 | 15.00 | bionic fertilizer 2 | 1.50 | urea 2 | 0.47 |
| mucus 3 | 7.50 | bionic fertilizer 3 | 0.75 | urea 3 | 0.24 |
| mucus 4 | 3.75 | bionic fertilizer 4 | 0.37 | urea 4 | 0.12 |
| mucus 5 | 1.88 | bionic fertilizer 5 | 0.19 | urea 5 | 0.06 |
| Fertilization Treatment | Maximum Nitrogen Content (mg/kg) | Days after Transplanting (d) | Maximum Increase in Nitrogen Content (%) |
|---|---|---|---|
| mucus1 | 98.34 ± 5.62 | 15 | 53.81 |
| bionic fertilizer1 | 153.43 ± 4.41 | 5 | 140.10 |
| urea1 | 171.21 ± 5.76 | 5 | 167.96 |
| CG | 63.92 ± 5.01 | 5 | − |
| Treatment | Plant Height | Stem Diameter | ||
|---|---|---|---|---|
| Measured Value (cm) | Average Increase (%) | Measured Value (mm) | Average Increase (%) | |
| mucus | 189.47 ± 6.06 | 13.48 | 19.91 ± 0.81 | 13.07 |
| bionic fertilizer | 198.28 ± 8.72 | 18.75 | 21.05 ± 0.89 | 19.32 |
| urea | 190.63 ± 7.85 | 14.20 | 20.43 ± 0.76 | 15.91 |
| control | 166.94 ± 6.84 | − | 17.65 ± 0.65 | − |
Publisher’s Note: MDPI stays neutral with regard to jurisdictional claims in published maps and institutional affiliations. |
© 2021 by the authors. Licensee MDPI, Basel, Switzerland. This article is an open access article distributed under the terms and conditions of the Creative Commons Attribution (CC BY) license (https://creativecommons.org/licenses/by/4.0/).
Share and Cite
Zhang, Z.; Wu, Y.; Truong, V.K.; Zhang, D. Earthworm (Eisenia fetida) Mucus Inspired Bionic Fertilizer to Stimulate Maize (Zea mays L.) Growth. Sustainability 2021, 13, 4299. https://doi.org/10.3390/su13084299
Zhang Z, Wu Y, Truong VK, Zhang D. Earthworm (Eisenia fetida) Mucus Inspired Bionic Fertilizer to Stimulate Maize (Zea mays L.) Growth. Sustainability. 2021; 13(8):4299. https://doi.org/10.3390/su13084299
Chicago/Turabian StyleZhang, Zhihong, Yali Wu, Vi Khanh Truong, and Dongguang Zhang. 2021. "Earthworm (Eisenia fetida) Mucus Inspired Bionic Fertilizer to Stimulate Maize (Zea mays L.) Growth" Sustainability 13, no. 8: 4299. https://doi.org/10.3390/su13084299
APA StyleZhang, Z., Wu, Y., Truong, V. K., & Zhang, D. (2021). Earthworm (Eisenia fetida) Mucus Inspired Bionic Fertilizer to Stimulate Maize (Zea mays L.) Growth. Sustainability, 13(8), 4299. https://doi.org/10.3390/su13084299

