Does Aiming for Long-Term Non-Decreasing Flow of Timber Secure Carbon Accumulation: A Lithuanian Forestry Case
Abstract
1. Introduction
2. Materials and Methods
2.1. Study Area
2.2. Modelling the Development of Forests and Forestry
2.3. Accounting for Changing Climate Conditions
- (1)
- Reference, which assumed the continuation of climate change mitigation efforts in the EU as they were in 2016 and small efforts globally, resulting in strong climate change and a temperature increase of ca. 3.7 °C by 2100 compared to pre-industrial values. Globally, this was expected to increase timber and pulpwood harvests with relatively unchanged proportions and a medium level of logging residue extraction. In Lithuania, this scenario assumed the relatively largest increase of the yield of coniferous forests in Lithuania.
- (2)
- EU bioenergy, which assumed strong EU climate change mitigation efforts and medium efforts globally, therefore resulting in medium climate change and a temperature increase of ca. 2.5 °C by 2100 compared to pre-industrial values. Globally, this was considered to result in increasing pulpwood shares until 2050 and, after that, a strong increase of both timber and pulpwood harvests, with logging residues extraction, as for the reference scenario. The productivity of coniferous forests in Lithuania was projected to increase, however, less than under conditions of the reference scenario.
- (3)
- Global bioenergy, which assumed strong climate change mitigation, thus resulting in halted climate change with a temperature increase of ca. 1.5–2 °C by 2100 compared to pre-industrial values. This was characterised by high bioenergy demand increases, especially for the harvests of small-diameter pulpwood. All available residues were considered to be extracted for energy purposes. The productivity of coniferous stands was projected to increase, however, less so than under the EU bioenergy scenario.
2.4. Assessed Attributes Describing Forests and Timber Delivery
- Standing volume (m3/ha)—gross remaining wood volume of the living trees in the forest stands after harvest and mortality in the preceding decade.
- Area-weighted average age (years).
- Annual net wood volume increment per 1 ha (IV) of total forest stand area (m3/ha/year), estimated as:where SV is the standing volume; HV is the harvest volume; MV is the mortality volume; t and t1 are two subsequent points of time (e.g., t: 2020 and t1: 2030). To get the mortality rates, we used data on volumes of trees that died, were harvested, and remained growing from permanent sample plots of the Lithuanian national forest inventory (NFI) referring to three 5-year inventory cycles in 1998–2016 [78].
- Volume of annually harvested timber per 1 ha of total forest stand area (m3/ha/year). The distribution of harvested timber by assortments (sawlogs, pulpwood, logs remaining in the forest and harvest residues) and their prices were taken from the state forestry statistics referring to the years from 2013 to 2018 [79]. To reduce the number of assortment categories, the pulpwood volume also included the volume of roundwood for particle board and firewood.
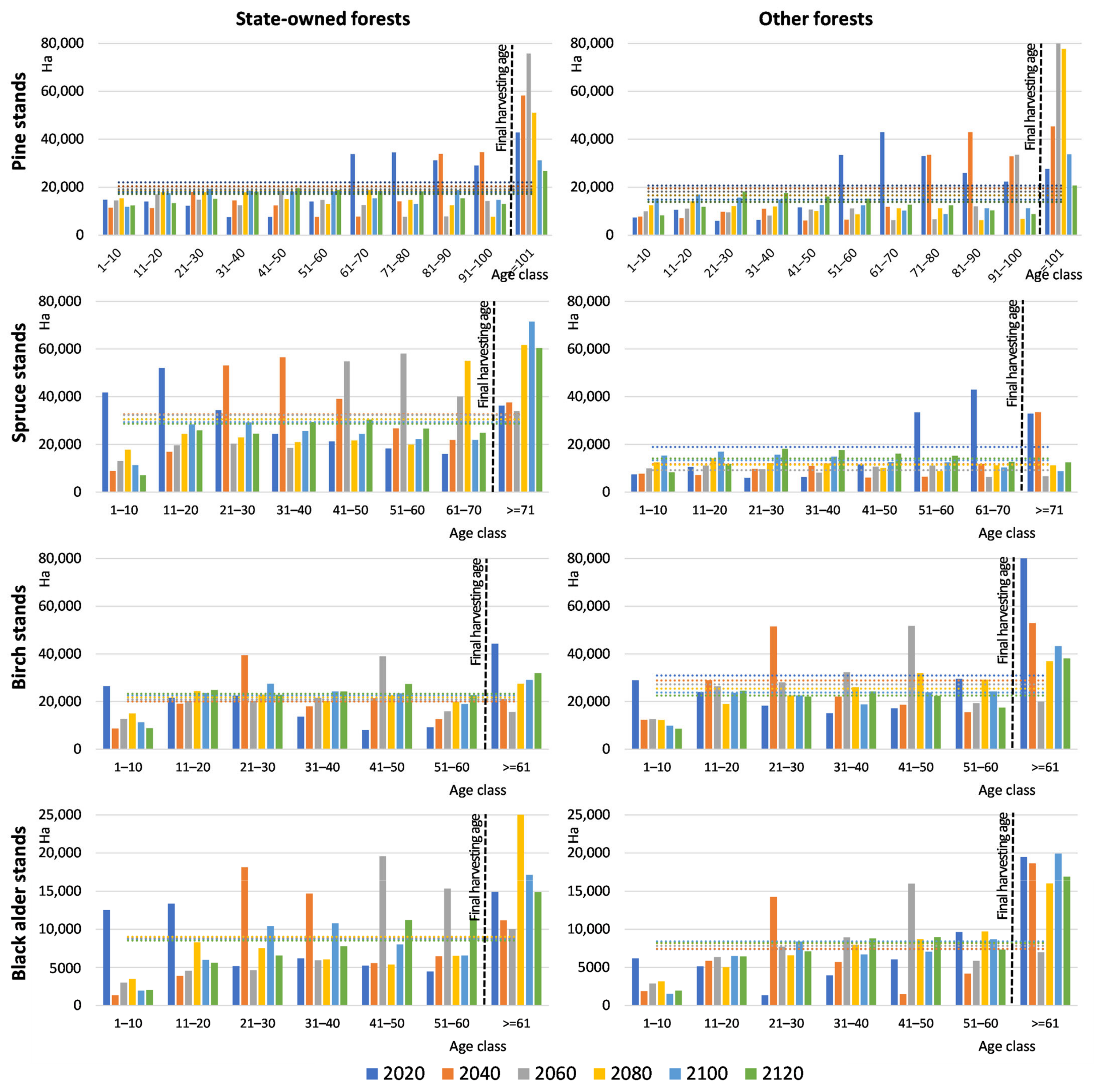
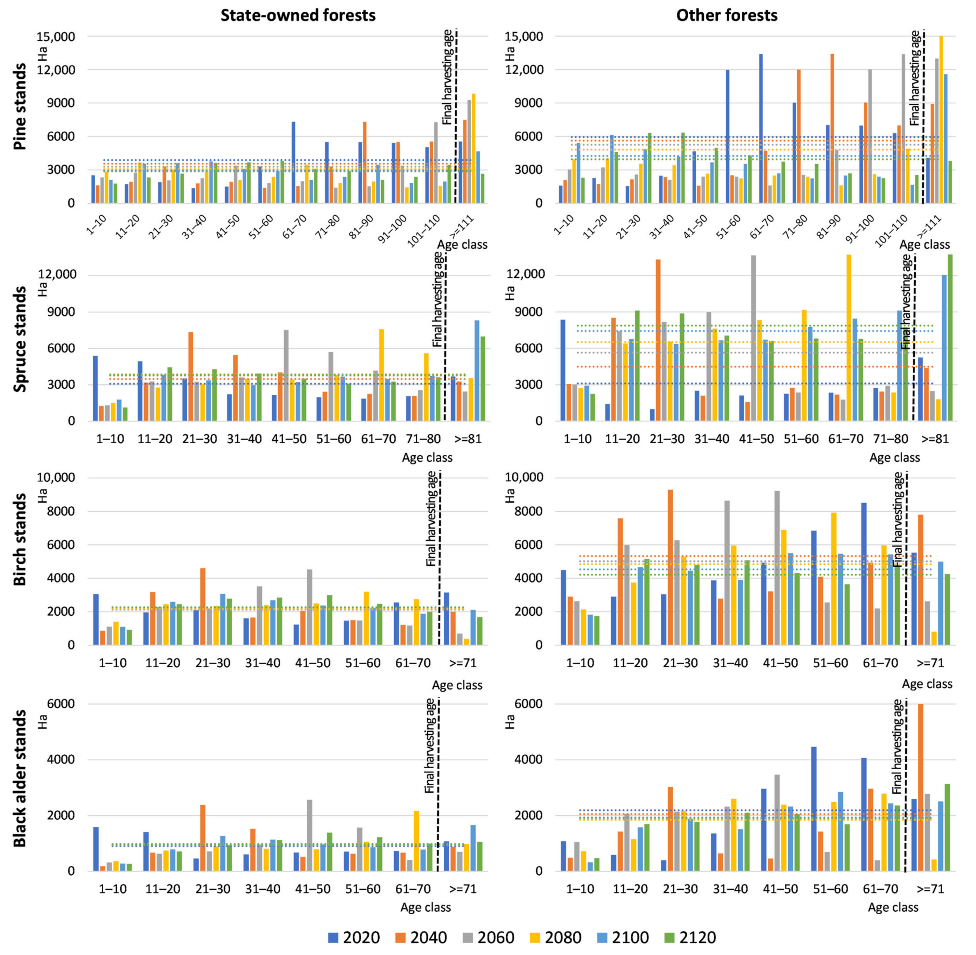
- Total area of forest stands, belonging to a specific age class (ha). As an age class, we assumed 10-year-long forest stand age intervals, i.e., the 1st age class ranging from 1 to 10 years, the 2nd age class from 11 to 20 and so on.
2.5. Assessing Carbon Sequestration
- (1)
- Carbon stocks in the forest, including the above- and belowground living tree biomass and deadwood (harvesting residues, stumps and dead roots). The methodology employed for assessing the carbon changes in biomass pools was based on Tier 1 gain-loss method described in the Intergovernmental Panel on Climate Change (IPCC) Guidelines for National Greenhouse Gas Inventories [55]. For that we estimated the above- and belowground biomass gains, losses due to harvest and mortality and transfer of carbon from biomass to harvest or deadwood pools. The aboveground biomass gains were estimated using the wood volume increment per 1 ha data and wood density, biomass to carbon conversion factor and biomass conversion factors from merchantable wood to total biomass adopted for gain-loss method [55]. Total biomass was achieved adjusting the aboveground biomass values using the values of relative share of root biomass in the total tree biomass. Conversion factors used were adopted for deciduous trees and conifers. Biomass losses due to harvest and mortality were derived using the volumes of harvested timber and mortality, available from the simulations. Deadwood carbon stocks included dead logs (harvest residue logs and mortality logs) and roots (including stumps) and they were calculated to decline with time using an exponential first-order decay function and half-life values for dead coarse roots and stumps and aboveground deadwood.
- (2)
- Wood usage and wood products. The carbon stock changes were based on the carbon stored in wood products coming from timber harvesting during each simulation step. The calculations were implemented using an exponential first-order decay model (function) and half-life values for HWP semi-finished products. HWP stock changes were estimated for each semi-finished wood category and using data on wood product inputs and historical HWP data for initial values of carbon stocks in semi-finished wood products. The wood inflow from the harvest into semi-finished woods products was based on harvest residue loss, wood used for production of energy and harvested timber by assortment (available from the simulations), taking into consideration wood getting lost during processing and the shares of assortments allocation to semi-finished product categories.
- (3)
- CO2 emissions savings due to energy substitution and product substitution. Displacement factors (DF) were used to estimate the emission savings. In our study, we considered three basic fossil fuels being replaced and the displacement factor (for calculating substitution of fossil C-emissions) for energetic wood use was based on average values for gas (0.19), oil (0.26), and coal (0.36).
3. Results
3.1. Standing Volume, Age and Timber Harvesting in Lithuanian Forests during the Next Century
3.2. Carbon Stock Changes in Lithuanian Forests during the Next Century
4. Discussion
4.1. Sustainability of Timber Deliveries from Lithuanian Forests during the Next Century
4.2. Carbon Stock Changes in Lithuanian Forests if Current Forest Management Practices Are Continued
4.3. Proposals for Carbon Accounting Policies
5. Conclusions
Author Contributions
Funding
Institutional Review Board Statement
Informed Consent Statement
Data Availability Statement
Conflicts of Interest
Appendix A


References
- United Nations. Non-Legally Binding Authoritative Statement of Principles for a Global Consensus on the Management, Conservation and Sustainable Development of All Types of Forests; United Nations: New York, NY, USA, 1992. [Google Scholar]
- Brockerhoff, E.G.; Barbaro, L.; Castagneyrol, B.; Forrester, D.I.; Gardiner, B.; González-Olabarria, J.R.; Lyver, P.O.; Meurisse, N.; Oxbrough, A.; Taki, H.; et al. Forest Biodiversity, Ecosystem Functioning and the Provision of Ecosystem Services. Biodivers. Conserv. 2017, 26, 3005–3035. [Google Scholar] [CrossRef]
- Maes, J.; Paracchini, M.; Zulian, G.; Dunbar, M.; Alkemade, R. Synergies and Trade-Offs between Ecosystem Service Supply, Biodiversity, and Habitat Conservation Status in Europe. Biol. Conserv. 2012, 155, 1–12. [Google Scholar] [CrossRef]
- Biber, P.; Borges, J.G.; Moshammer, R.; Barreiro, S.; Botequim, B.; Brodrechtová, Y.; Brukas, V.; Chirici, G.; Cordero-Debets, R.; Corrigan, E.; et al. How Sensitive Are Ecosystem Services in European Forest Landscapes to Silvicultural Treatment? Forests 2015, 6, 1666–1695. [Google Scholar] [CrossRef]
- Biber, P.; Felton, A.; Nieuwenhuis, M.; Lindbladh, M.; Black, K.; Bahýl’, J.; Bingöl, Ö.; Borges, J.G.; Botequim, B.; Brukas, V.; et al. Forest Biodiversity, Carbon Sequestration, and Wood Production: Modeling Synergies and Trade-Offs for Ten Forest Landscapes Across Europe. Front. Ecol. Evol. 2020, 8, 547696. [Google Scholar] [CrossRef]
- Peters, D.M.; Schraml, U. Sustainability Frames in the Context of the Energy Wood Conflict in Germany. Sustainability 2015, 7, 14501–14520. [Google Scholar] [CrossRef]
- Knoke, T.; Messerer, K.; Paul, C. The Role of Economic Diversification in Forest Ecosystem Management. Curr. For. Rep. 2017, 3, 93–106. [Google Scholar] [CrossRef]
- Nordström, E.-M.; Nieuwenhuis, M.; Başkent, E.Z.; Biber, P.; Black, K.; Borges, J.; Bugalho, M.N.; Corradini, G.; Corrigan, E.; Eriksson, L.O.; et al. Forest Decision Support Systems for the Analysis of Ecosystem Services Provisioning at the Landscape Scale under Global Climate and Market Change Scenarios. Eur. J. For. Res. 2019, 138, 561–581. [Google Scholar] [CrossRef]
- Schwaiger, F.; Poschenrieder, W.; Biber, P.; Pretzsch, H. Ecosystem Service TraDe-offs for Adaptive Forest Management. Ecosyst. Serv. 2019, 39, 100993. [Google Scholar] [CrossRef]
- Paillet, Y.; Bergès, L.; Hjältén, J.; Ódor, P.; Avon, C.; Bernhardt-Römermann, M.; Bijlsma, R.-J.; De Bruyn, L.; Fuhr, M.; Grandin, U.; et al. Biodiversity Differences between Managed and Unmanaged Forests: Meta-Analysis of Species Richness in Europe. Conserv. Biol. 2010, 24, 101–112. [Google Scholar] [CrossRef] [PubMed]
- Felton, A.; Gustafsson, L.; Roberge, J.-M.; Ranius, T.; Hjältén, J.; Rudolphi, J.; Lindbladh, M.; Weslien, J.; Rist, L.; Brunet, J. How Climate Change Adaptation and Mitigation Strategies Can Threaten or Enhance the Biodiversity of Production Forests: In-Sights from Sweden. Biol. Conserv. 2016, 194, 11–20. [Google Scholar] [CrossRef]
- Felton, A.; Sonesson, J.; Nilsson, U.; Lämås, T.; Lundmark, T.; Nordin, A.; Ranius, T.; Roberge, J.-M. Varying Rotation Lengths in Northern Production Forests: Implications for Habitats Provided by Retention and Production Trees. Ambio 2017, 46, 324–334. [Google Scholar] [CrossRef] [PubMed]
- Deal, R.L.; Raymond, C.; Peterson, D.L.; Glick, C. Ecosystem Services and Climate Change: Understanding the Differences and Identifying Opportunities for Forest Carbon. 2010. Available online: https://www.fs.fed.us/rm/pubs/rmrs_p061/rmrs_p061_009_025.pdf (accessed on 17 February 2021).
- Winjum, J.K.; Dixon, R.K.; Schroeder, P.E. Forest Management and Carbon Storage: An Analysis of 12 Key Forest Nations. Water Air Soil Pollut. 1993, 70, 239–257. [Google Scholar] [CrossRef]
- Leighty, W.W.; Hamburg, S.P.; Caouette, J. Effects of Management on Carbon Sequestration in Forest Biomass in Southeast Alaska. Ecosystem 2006, 9, 1051–1065. [Google Scholar] [CrossRef]
- Profft, I.; Mund, M.; Weber, G.-E.; Weller, E.; Schulze, E.-D. Forest Management and Carbon Sequestration in Wood Products. Eur. J. For. Res. 2009, 128, 399–413. [Google Scholar] [CrossRef]
- Daigneault, A.J.; Miranda, M.J.; Sohngen, B. Optimal Forest Management with Carbon Sequestration Credits and Endogenous Fire Risk. Land Econ. 2009, 86, 155–172. [Google Scholar] [CrossRef]
- Ministry of Environment, State Forest Service. Lithuanian Statistical Yearbook of Forestry 2019. Available online: http://www.amvmt.lt/index.php/leidiniai/misku-ukio-statistika/2019 (accessed on 25 December 2020).
- Brukas, V. New World, Old Ideas—A Narrative of the Lithuanian Forestry Transition. J. Environ. Policy Plan. 2015, 17, 495–515. [Google Scholar] [CrossRef]
- Brukas, V.; Felton, A.; Lindbladh, M.; Sallnäs, O. Linking Forest Management, Policy and Biodiversity Indicators—A Comparison of Lithuania and Southern Sweden. For. Ecol. Manag. 2013, 291, 181–189. [Google Scholar] [CrossRef]
- Mankus, R. Lietuvos Miškai Rusijos Imperijos sudėtyje (1795–1915 m.). Miškų Ukis Vokiečių Okupacijos Metais (1915–2018 m.) (Lithuanian Forests within the Russia Empire (1795–1915). Forestry during the Years of German Occupation (1915–2018)). In Lietuvos Miškų Metraštis XX Amžius (The Chronicle of Lithuanian Forests XX Century); Verbyla, V., Brukas, A., Kairiūkštis, L., Eds.; Aplinkos Ministerija: Vilnius, Lithuania, 2003; pp. 29–41. (In Lithuanian) [Google Scholar]
- Brukas, A. Miškų Ekonomika ir Finansai Tarpukario Lietuvoje (Forest Economics and Finances in the Interwar Lithuania). In Lietuvos Miškų Metraštis XX AmžIus (The Chronicle of Lithuanian Forests XX Century); Verbyla, V., Brukas, A., Kairiūkštis, L., Eds.; Aplinkos Ministerija: Vilnius, Lithuania, 2003; pp. 371–374. (In Lithuanian) [Google Scholar]
- Kairiūkštis, L. Lietuviškos Miškininkystės Atsiradimas ir Būdingesni Jos Bruožai (Emergence of Lithuanian Forestry and Its Key Features). In Lietuvos Miškų Metraštis XX Amžius (The Chronicle of Lithuanian Forests XX Century); Verbyla, V., Brukas, A., Kairiūkštis, L., Eds.; Aplinkos Ministerija: Vilnius, Lithuania, 2003; pp. 478–480. (In Lithuanian) [Google Scholar]
- Kenstavičius, J.; Brukas, A. Lietuvos Miškingumas, Miškų Plotai ir Jų Išsidėstymas (Forest Cover Proportion in Lithuania, Forest Areas and Their Distribution). In Lietuvos Miškų Metraštis XX Amžius (The Chronicle of Lithuanian Forests XX Century); Verbyla, V., Brukas, A., Kairiūkštis, L., Eds.; Aplinkos Ministerija: Vilnius, Lithuania, 2003; pp. 110–120. (In Lithuanian) [Google Scholar]
- Juknelienė, D.; Mozgeris, G. Forest Cover Proportion in Lithuania, Forest Areas and Their Distribution. Žemės Ukio Mokslai 2015, 22, 209–215. [Google Scholar] [CrossRef][Green Version]
- Makrickiene, E.; Mozgeris, G.; Brukas, V.; Brodrechtova, Y.; Sedmak, R.; Salka, J. From Command-and-Control to Good Forest Governance: A Critical Comparison between Lithuania and Slovakia. For. Policy Econ. 2019, 109, 1–13. [Google Scholar] [CrossRef]
- Brukas, V.; Weber, N. Forest Management after the Economic Transition—At the Crossroads between German and Scandinavian Traditions. For. Policy Econ. 2009, 11, 586–592. [Google Scholar] [CrossRef]
- Brukas, V.; Kuliešis, A.; Sallnäs, O.; Linkevičius, E. Resource Availability, Planning Rigidity and Realpolitik in Lithuanian Forest Utilization. Nat. Resour. Forum 2011, 35, 77–88. [Google Scholar] [CrossRef]
- Forest Felling Rules. Lietuvos Respublikos Aplinkos Ministro Įsakymas “Dėl Miško Kirtimų Taisyklių Patvirtinimo”, 2010 m. sausio 27 d. Nr. D1-79. (Order of the Minister of Environment of the Republic of Lithuania No. D1-79 from January 27, 2010 “On the Approval of Forest Felling Rules”). Available online: https://www.e-tar.lt/portal/lt/legalAct/TAR.4A966C7D30EB (accessed on 31 December 2020).
- Petrauskas, E.; Kuliešis, A. Scenario-Based Analysis of Possible Management Alternatives for Lithuanian Forests in the 21st Century. Balt. For. 2004, 10, 72–82. [Google Scholar]
- Jasinevičius, G.; Lindner, M.; Verkerk, P.J.; Aleinikovas, M. Assessing Impacts of Wood Utilisation Scenarios for a Lithuanian Bioeconomy: Impacts on Carbon in Forests and Harvested Wood Products and on the Socio-Economic Performance of the Forest-Based Sector. Forests 2017, 8, 133. [Google Scholar] [CrossRef]
- Pang, X.; Trubins, R.; Lekavicius, V.; Galinis, A.; Mozgeris, G.; Kulbokas, G.; Mörtberg, U. Forest Bioenergy Feedstock in Lithuania—Renewable Energy Goals and the Use of Forest Resources. Energy Strat. Rev. 2019, 24, 244–253. [Google Scholar] [CrossRef]
- Ontl, A.T.; Janowiak, M.K.; Swanston, C.W.; Daley, J.; Handler, S.; Cornett, M.; Hagenbuch, S.; Handrick, C.; McCarthy, L.; Patch, N. Forest Management for Carbon Sequestration and Climate Adaptation. J. For. 2019, 118, 86–101. [Google Scholar] [CrossRef]
- Griscom, B.W.; Adams, J.; Ellis, P.W.; Houghton, R.A.; Lomax, G.; Miteva, D.A.; Schlesinger, W.H.; Shoch, D.; Siikamäki, J.V.; Smith, P.; et al. Natural Climate Solutions. Proc. Natl. Acad. Sci. USA 2017, 114, 11645–11650. [Google Scholar] [CrossRef] [PubMed]
- Fargione, J.E.; Bassett, S.; Boucher, T.; Bridgham, S.D.; Conant, R.T.; Cook-Patton, S.C.; Ellis, P.W.; Falcucci, A.; Fourqurean, J.W.; Gopalakrishna, T.; et al. Natural Climate Solutions for the United States. Sci. Adv. 2018, 4, eaat1869. [Google Scholar] [CrossRef] [PubMed]
- Malmsheimer, R.W.; Heffernan, P.; Brink, S.; Crandall, D.; Deneke, F.; Galik, C.; Gee, E.; Helms, J.A.; McClure, N.; Mortimer, M.; et al. Forest Management Solutions for Mitigating Climate Change in the United States. J. For. 2008, 106, 115–173. [Google Scholar]
- Evans, A.M.; Perschel, R. A Review of Forestry Mitigation and Adaptation Strategies in the Northeast, U.S. Clim. Chang. 2009, 96, 167–183. [Google Scholar] [CrossRef]
- Galik, C.S.; Jackson, R.B. Risks to Forest Carbon Offset Projects in a Changing Climate. For. Ecol. Manag. 2009, 257, 2209–2216. [Google Scholar] [CrossRef]
- Ryan, M.G.; Harmon, M.E.; Birdsey, R.A.; Giardina, C.P.; Heath, L.S.; Houghton, R.A.; Jackson, R.B.; McKinley, D.C.; Morri-son, J.F.; Murray, B.C.; et al. A Synthesis of the Science on Forests and Carbon for Us Forests. Issues Ecol. 2010, 13, 1–16. [Google Scholar]
- McKinley, D.C.; Ryan, M.G.; Birdsey, R.A.; Giardina, C.P.; Harmon, M.E.; Heath, L.S.; Houghton, R.A.; Jackson, R.B.; Morrison, J.F.; Murray, B.C.; et al. A Synthesis of Current Knowledge on Forests and Carbon Storage in the United States. Ecol. Appl. 2011, 21, 1902–1924. [Google Scholar] [CrossRef]
- Swift, K. Forest Carbon and Management Options in an Uncertain Climate. J. Ecosyst. Manag. 2012, 13, 1–7. [Google Scholar]
- Favero, A.; Daigneault, A.; Sohngen, B. Forests: Carbon Sequestration, Biomass Energy, or Both? Sci. Adv. 2020, 6, eaay6792. [Google Scholar] [CrossRef] [PubMed]
- Schlamadinger, B.; Marland, G. The Role of Forest and Bioenergy Strategies in the Global Carbon Cycle. Biomass Bioenergy 1996, 10, 275–300. [Google Scholar] [CrossRef]
- Sathre, R.; Gustavsson, L. A State-of-the-Art Review of Energy and Climate Effects of Wood Product Substitution. 2009. Available online: https://www.diva-portal.org/smash/record.jsf?pid=diva2%3A454924&dswid=-8680 (accessed on 27 January 2021).
- Bergman, R.; Puettmann, M.; Taylor, A.; Skog, K.E. The Carbon Impacts of Wood Products. For. Prod. J. 2014, 64, 220–231. [Google Scholar] [CrossRef]
- Baul, T.K.; Alam, A.; Strandman, H.; Kilpeläinen, A. Net Climate Impacts and Economic Profitability of Forest Biomass Pro-duction and Utilization in Fossil Fuel and Fossil-Based Material Substitution under Alternative Forest Management. Biomass Bioenergy 2017, 98, 291–305. [Google Scholar] [CrossRef]
- Gustavsson, L.; Haus, S.; Lundblad, M.; Lundström, A.; Ortiz, C.A.; Sathre, R.; Truong, N.L.; Wikberg, P.E. Climate Change Effects of Forestry and Substitution of Carbon-Intensive Materials and Fossil Fuels. Renew. Sustain. Energy Rev. 2017, 67, 612–624. [Google Scholar] [CrossRef]
- Johnson, E. Goodbye to Carbon Neutral: Getting Biomass Footprints Right. Environ. Impact Assess. Rev. 2009, 29, 165–168. [Google Scholar] [CrossRef]
- Searchinger, T.D.; Hamburg, S.P.; Melillo, J.; Chameides, W.; Havlik, P.; Kammen, D.M.; Likens, G.E.; Lubowski, R.N.; Obersteiner, M.; Oppenheimer, M.; et al. Fixing a Critical Climate Accounting Error. Science 2009, 326, 527–528. [Google Scholar] [CrossRef]
- Walker, T.; Cardellichio, P.; Colnes, A.; Gunn, J.; Kittler, B.; Perschel, B.; Guild, F.; Recchia, C.; Saah, D. Biomass Sustainability and Carbon Policy Study; Manomet Centre for Conservation Sciences: Brunswick, ME, USA, 2010; p. 182. [Google Scholar]
- Haberl, H.; Sprinz, D.; Bonazountas, M.; Cocco, P.; Desaubies, Y.; Henze, M.; Hertel, O.; Johnson, R.K.; Kastrup, U.; LaConte, P.; et al. Correcting a Fundamental Error in Greenhouse Gas Accounting Related to Bioenergy. Energy Policy 2012, 45, 18–23. [Google Scholar] [CrossRef]
- Ter-Mikaelian, M.T.; Colombo, S.J.; Chen, J. The Burning Question: Does Forest Energy Reduce Carbon Emissions? A Review of Common Misconceptions about Forest Carbon Accounting. J. For. 2015, 113, 57–68. [Google Scholar] [CrossRef]
- Searchinger, T.D.; Beringer, T.; Holtsmark, B.; Kammen, D.M.; Lambin, E.F.; Lucht, W.; Raven, P.; Van Ypersele, J.-P. Europe’s Renewable Energy Directive Poised to Harm Global Forests. Nat. Commun. 2018, 9, 1–4. [Google Scholar] [CrossRef] [PubMed]
- Leturcq, P. GHG Displacement Factors of Harvested Wood Products: The Myth of Substitution. Sci. Rep. 2020, 10, 1–9. [Google Scholar] [CrossRef]
- IPCC. 2006 IPCC Guidelines for National Greenhouse Gas Inventories; Prepared by the National Greenhouse Gas Inventories Programme; Eggleston, H.S., Buendia, L., Miwa, K., Ngara, T., Tanabe, K., Eds.; IGES: Tokyo, Japan, 2006. [Google Scholar]
- European Parliament and Council. Regulation (EU) 2018/841 of the European Parliament and of the Council of 30 May 2018 on the Inclusion of Greenhouse Gas Emissions and Removals from Land Use, Land Use Change and Forestry in the 2030 Climate and Energy Framework and Amending Regulation (EU) No 525/2013 and Decision No 529/2013/EU. 2018. Available online: https://eur-lex.europa.eu/legal-content/EN/TXT/?uri=uriserv:OJ.L_.2018.156.01.0001.01.ENG (accessed on 27 January 2021).
- European Parliament and Council. Regulation (EU) 2018/842 of the European Parliament and of the Council of 30 May 2018 on Binding Annual Greenhouse Gas Emission Reductions by Member States from 2021 to 2030 Contributing to Climate Action to Meet Commitments Under the Paris Agreement and Amending Regulation (EU) No 525/2013. 2018. Available online: https://eur-lex.europa.eu/legal-content/EN/TXT/?uri=celex%3A32018R0842 (accessed on 27 January 2021).
- Lietuvos Statistikos Departamentas. Lietuvos Statistikos Metraštis. 2019. Available online: https://osp.stat.gov.lt/lietuvos-statistikos-metrastis/lsm-2019/izanga (accessed on 17 February 2021).
- Lithuania’s National Inventory Report 2021, Greenhouse Gas Emissions 1990–2019. Draft. Available online: https://am.lrv.lt/uploads/am/documents/files/KLIMATO%20KAITA/%C5%A0ESD%20apskaitos%20ir%20kt%20ataskaitos/NIR_2021_01_15%20FINAL.pdf (accessed on 27 January 2021).
- Monitoring Mechanism Regulation. Regulation (EU) No 525/2013 of the European Parliament and of the Council of 21 May 2013 on a Mechanism for Monitoring and Reporting Greenhouse Gas Emissions and for Reporting Other Information at National and Union Level Relevant to Climate Change and Repealing Decision No 280/2004/EC; 2013. Available online: https://eur-lex.europa.eu/legal-content/EN/TXT/?uri=celex%3A32013R0525 (accessed on 15 January 2021).
- Reynolds, K.; Twery, M.; Lexer, M.; Vacik, H.; Ray, D.; Shao, G.; Borges, J. Decision Support Systems in Natural Resource Management. In Handbook on Decision Support Systems; Burstein, F., Holsapple, C., Eds.; Springer: Berlin, Germany, 2008; pp. 499–534. [Google Scholar]
- Orazio, C.; Montoya, R.C.; Régolini, M.; Borges, J.G.; Garcia-Gonzalo, J.; Barreiro, S.; Botequim, B.; Marques, S.; Sedmák, R.; Smreček, R.; et al. Decision Support Tools and Strategies to Simulate Forest Landscape Evolutions Integrating Forest Owner Behaviour: A Review from the Case Studies of the European Project, INTEGRAL. Sustainability 2017, 9, 599. [Google Scholar] [CrossRef]
- Packalen, T.; Sallnäs, O.; Sirkiä, S.; Korhonen, K.; Salminen, O.; Vidal, C.; Robert, N.; Colin, A.; Belouard, T.; Schadauer, K.; et al. The European Forestry Dynamics Model: Concept, Design and Results of First Case Studies; European Commission, Joint Research Centre, Institute for Environment and Sustainability, Publications Office of the European Union: Luxembourg, 2014; p. 17. [Google Scholar] [CrossRef]
- Bohn, U.; Gollub, G.; Hettwer, C.; Weber, H.; Neuhäuslová, Z.; Raus, T.; Schlüter, H. Karte der Natürlichen Vegetation Eu-ropas/Map of the Natural Vegetation of Europe. Maßstab/Scale 1:2,500,000; Landwirtschaftsverlag: Münster, Germany, 2000. [Google Scholar]
- Leht, M.; Laasimer, L.; Kuusk, V.; Tabaka, L.; Lekavicius, A. Flora of the Baltic Countries: Compendium of Vascular Plants (In English and Russian) Volume 1. TAXON 1994, 43, 518. [Google Scholar] [CrossRef]
- Karazija, S. Lietuvos Miško Tipai (Forest Types in Lithuania); Mokslas: Vilnius, Lithuania, 1998; pp. 46–48. (In Lithuanian) [Google Scholar]
- State Forest Service. Miškų Kadastras (Forest Cadastre). 2020. Available online: http://www.amvmt.lt/index.php/kadastras (accessed on 25 December 2020).
- Kuliešis, A.; Kasperavičius, A.; Kulbokas, G.; Brukas, V.; Petrauskas, E.; Mozgeris, G. Lithuania; Springer International Publishing: Berlin/Heidelberg, Germany, 2017; Volume 29, pp. 223–239. [Google Scholar]
- Vitunskas, D. Hayчнo-Meтoдичecкoe Oбocнoвaниe и Paзpaбoткa эcкизoв Дpeвecинoпoльзoвaния. (Methodological Framework and Improvement of Timber Use Planning). In Лecнaя Тaкcaция и Лecoycтpoйcтвo (Forest Inventory and Management Planning); Meжвyзoвcкиe Hayчныe Tpyды. (Inter-University Proceedings): Kaunas, Lithuania, 1988; pp. 40–51. (In Russian) [Google Scholar]
- Mozgeris, G.; Brukas, V.; Pivoriūnas, N.; Činga, G.; Makrickienė, E.; Byčenkienė, S.; Marozas, V.; Mikalajūnas, M.; Dudoitis, V.; Ulevičius, V.; et al. Spatial Pattern of Climate Change Effects on Lithuanian Forestry. Forest 2019, 10, 809. [Google Scholar] [CrossRef]
- Mozgeris, G.; Brukas, V.; Stanislovaitis, A.; Kavaliauskas, M.; Palicinas, M. Owner Mapping for Forest Scenario Modelling—A Lithuanian Case Study. For. Policy Econ. 2017, 85, 235–244. [Google Scholar] [CrossRef]
- Mozgeris, G.; Kavaliauskas, M.; Brukas, V.; Stanislovaitis, A. Assessment of Timber Supply under Alternative Contextual Scenarios. For. Policy Econ. 2019, 103, 36–44. [Google Scholar] [CrossRef]
- Seimas of the Republic of Lithuania. Forest Law of the Republic of Lithuania. 1994. Available online: https://www.e-tar.lt/portal/lt/legalAct/TAR.5D6D055CC00C/asr (accessed on 14 February 2021).
- Forsell, N.; Korosuo, A.; Milestone 6—Global and Country Specific Prospective Scenarios. Project ALTERFOR Report. 2016, p. 20. Available online: https://www.alterfor-project.eu/files/alterfor/download/Deliverables/MS%206%20Global%20and%20country%20specific%20scenarios_1.pdf (accessed on 27 December 2020).
- Forsell, N.; Korosuo, A.; Havlík, P.; Valin, H.; Lauri, P.; Gusti, M.; Kindermann, G.; Obersteiner, M.; Böttcher, H.; Hennenberg, K.; et al. Study on Impacts on Resource Efficiency of Future EU Demand for Bioenergy (ReceBio). Final Report; Project: ENV.F.1/ETU/2013/0033; Publications Office of the European Union: Luxembourg, 2016; p. 43. [Google Scholar]
- Fricko, O.; Havlik, P.; Rogelj, J.; Klimont, Z.; Gusti, M.; Johnson, N.; Kolp, P.; Strubegger, M.; Valin, H.; Amann, M.; et al. The Marker Quantification of the Shared Socioeconomic Pathway 2: A Middle-of-the-Road Scenario for the 21st Century. Glob. Environ. Chang. 2017, 42, 251–267. [Google Scholar] [CrossRef]
- Augustaitis, A.; Augustaitienė, I.; Baumgarten, M.; Bičenkienė, S.; Girgždienė, R.; Kulbokas, G.; Linkevičius, E.; Marozas, V.; Mikalajūnas, M.; Mordas, G.; et al. Treering Formation as an Indicator of Forest Capacity to Adapt to the Main Threats of Environmental Changes in Lithuania. Sci. Total Environ. 2018, 615, 1247–1261. [Google Scholar] [CrossRef] [PubMed]
- Kuliešis, A.; Kasperavičius, A.; Kulbokas, G. Lithuania. In National Forest Inventories: Assessment of Wood Availability and Use; Springer: Cham, Switzerland, 2016; pp. 521–547. [Google Scholar]
- State Company State Forest Enterprise. 2018. Available online: https://www.vivmu.lt/lt/ (accessed on 27 November 2018).
- Biber, P.; Nieuwenhuis, M.; Nordström, E.-M.; Black, K.; Borga, M.; Borges, J.G.; Eriksson, L.O.; Felton, A.; Hengeveld, G.; Hoogstra-Klein, M.; et al. Synthesis Report: New Forest Management Models in a Landscape Perspective: Innovation Needs and Gains in Ecosystem Service Provisioning. ALTERFOR Deliverable 3.4. 2019. Available online: https://alterfor-project.eu/files/alterfor/download/Deliverables/ALTERFOR%20D3.4%20aFMM%20Synthesis%20Report.pdf (accessed on 28 December 2020).
- Boulanger, Y.; Taylor, A.R.; Price, D.T.; Cyr, D.; Sainte-Marie, G. Stand-Level Drivers Most Important in Determining Boreal Forest Response to Climate Change. J. Ecol. 2018, 106, 977–990. [Google Scholar] [CrossRef]
- Methodology for Estimation the Final Forest Felling Quota. Lietuvos Respublikos Aplinkos Ministro Įsakymas “Dėl Pagrindinių Miško Kirtimų Normos Nustatymo Metodikos Patvirtinimo”, 2008 m. liepos 2 d. Nr. D1-362. (Order of the Minister of Environment of the Republic of Lithuania No. D1-362 from 2 July 2008 “On the Approval of Methodology for Estima-tion the Final Forest Felling Quota”). Available online: https://www.e-tar.lt/portal/lt/legalAct/TAR.EA72E37B9B75/asr (accessed on 12 January 2021).
- State Forest Enterprise. Available online: https://www.vivmu.lt/lt/category/misku-tvarkymo-schema/ (accessed on 12 January 2021).
- Poudel, B.C.; Sathre, R.; Bergh, J.; Gustavsson, L.; Lundström, A.; Hyvönen, R. Potential Effects of Intensive Forestry on Biomass Production and Total Carbon Balance in North-Central Sweden. Environ. Sci. Policy 2012, 15, 106–124. [Google Scholar] [CrossRef]
- Lundmark, T.; Bergh, J.; Hofer, P.; Lundström, A.; Nordin, A.; Poudel, B.C.; Sathre, R.; Taverna, R.; Werner, F. Potential Roles of Swedish Forestry in the Context of Climate Change Mitigation. Forests 2014, 5, 557–578. [Google Scholar] [CrossRef]
- Lundmark, T.; Bergh, J.; Nordin, A.; Fahlvik, N.; Poudel, B.C. Comparison of carbon balances between continuous-cover and clear-cut forestry in Sweden. Ambio 2016, 45, 203–213. [Google Scholar] [CrossRef] [PubMed]
- Kilpeläinen, A.; Torssonen, P.; Strandman, H.; Kellomäki, S.; Asikainen, A.; Peltola, H. Net Climate Impacts of Forest Biomass Production and Utilization in Managed Boreal Forests. GCB Bioenergy 2014, 8, 307–316. [Google Scholar] [CrossRef]
- Torssonen, P.; Kilpeläinen, A.; Strandman, H.; Kellomäki, S.; Jylhä, K.; Asikainen, A.; Peltola, H. Effects of Climate Change and Management on Net Climate Impacts of Production and Utilization of Energy Biomass in Norway Spruce with Stable Age-Class Distribution. GCB Bioenergy 2015, 8, 419–427. [Google Scholar] [CrossRef]
- Sathre, R.; O’Connor, J. Meta-Analysis of Greenhouse Gas Displacement Factors of Wood Product Substitution. Environ. Sci. Policy 2010, 13, 104–114. [Google Scholar] [CrossRef]
- Oliver, C.D.; Nassar, N.T.; Lippke, B.R.; McCarter, J.B. Carbon, Fossil Fuel, and Biodiversity Mitigation with Wood and Forests. J. Sustain. For. 2014, 33, 248–275. [Google Scholar] [CrossRef]
- UNFCCC Conference of the Parties, 2014. Decision 24/CP.19 Revision of the UNFCCC Reporting Guidelines on Annual Inventories for Parties included in Annex I to the Convention. Available online: https://unfccc.int/resource/docs/2013/cop19/eng/10a03.pdf (accessed on 17 February 2021).
- European Commission. Communication from the Commission to the European Parliament, the European Council, the Coun-cil, the European Economic and Social Committee, the Committee of the Regions and the European Investment Bank. A Clean Planet for All. A European Strategic Long-Term Vision for a Prosperous, Modern, Competitive and Climate Neutral Economy. COM/2018/773 Final. 2018. Available online: https://eur-lex.europa.eu/legal-content/EN/TXT/?uri=CELEX:52018DC0773 (accessed on 27 January 2021).
- Nabuurs, G.-J.; Lindner, M.; Verkerk, P.J.; Gunia, K.; Deda, P.; Michalak, R.; Grassi, G. First Signs of Carbon Sink Saturation in European Forest Biomass. Nat. Clim. Chang. 2013, 3, 792–796. [Google Scholar] [CrossRef]
- Burrascano, S.; Chytry, M.; Kuemmerle, T.; Giarrizzo, E.; Luyssaert, S.; Sabatini, F.M.; Blasi, C. Current European Policies Are Unlikely to Jointly Forest Carbon Sequestration and Protect Biodiversity. Biol. Conserv. 2016, 201, 370–376. [Google Scholar] [CrossRef]
- Ceccherini, G.; Duveiller, G.; Grassi, G.; Lemoine, G.; Avitabile, V.; Pilli, R.; Cescatti, A. Abrupt Increase in Harvested Forest Area over Europe after 2015. Nat. Cell Biol. 2020, 583, 72–77. [Google Scholar] [CrossRef] [PubMed]






| Parameter Name | Value |
|---|---|
| Conversion factor of one biomass mass unit to one carbon mass unit | 0.5 |
| Conversion factor from aboveground merchantable broadleaf wood to total aboveground biomass (from m3 into tons) | 0.8 |
| Conversion factor from aboveground merchantable conifer wood to total aboveground biomass (from m3 into tons) | 0.7 |
| Wood density of deciduous trees (t/m3) | 0.47 |
| Wood density of conifers (t/m3) | 0.41 |
| Relative share of deciduous root biomass in total tree biomass | 0.19 |
| Relative share of coniferous root biomass in total tree biomass | 0.26 |
| Relative share of stump volume in the harvest residues’ volume | 0.5 |
| Relative share of stumps in aboveground mortality tree volume | 0.1 |
| Half lifetime of dead coarse roots and stumps | 17.5 |
| Half lifetime of aboveground deadwood | 12.5 |
| Relative loss factor from above- and belowground deadwood pools | 0.15 |
| Relative amount of deadwood (related to remaining growing stock), used for initialization of deadwood stocks | 0.1 |
| Relative share of the harvested biomass getting lost during processing | 0.5 |
| Relative share of sawlogs being used for production of energy | 0.39 |
| Relative share of pulpwood being processed into wood-based products | 0.56 |
| Relative share of pulpwood being used for energy production | 0.04 |
| Relative share of harvest residues not remaining in the forest, but being used for energy provision or other short-life purposes | 0.3 |
| Initial value of carbon stocks in semi-finished wood products for sawlogs (tC/ha) | 3.96332865 |
| Initial value of carbon stocks in semi-finished wood products for wood-based products (tC/ha) | 1.12310721 |
| Initial value of carbon stocks in semi-finished wood products for paper/pulp (tC/ha) | 0.00428203 |
| Half lifetime of paper | 2 |
| Half lifetime of sawn wood | 35 |
| Half lifetime of wood-based products | 25 |
| Displacement factor (for calculating substitution of fossil C-emissions) for energetic wood use | 0.27 |
| Product displacement factor for wood-based products | 0.47 |
| Product displacement factor for sawn wood | 0.54 |
Publisher’s Note: MDPI stays neutral with regard to jurisdictional claims in published maps and institutional affiliations. |
© 2021 by the authors. Licensee MDPI, Basel, Switzerland. This article is an open access article distributed under the terms and conditions of the Creative Commons Attribution (CC BY) license (http://creativecommons.org/licenses/by/4.0/).
Share and Cite
Mozgeris, G.; Kazanavičiūtė, V.; Juknelienė, D. Does Aiming for Long-Term Non-Decreasing Flow of Timber Secure Carbon Accumulation: A Lithuanian Forestry Case. Sustainability 2021, 13, 2778. https://doi.org/10.3390/su13052778
Mozgeris G, Kazanavičiūtė V, Juknelienė D. Does Aiming for Long-Term Non-Decreasing Flow of Timber Secure Carbon Accumulation: A Lithuanian Forestry Case. Sustainability. 2021; 13(5):2778. https://doi.org/10.3390/su13052778
Chicago/Turabian StyleMozgeris, Gintautas, Vaiva Kazanavičiūtė, and Daiva Juknelienė. 2021. "Does Aiming for Long-Term Non-Decreasing Flow of Timber Secure Carbon Accumulation: A Lithuanian Forestry Case" Sustainability 13, no. 5: 2778. https://doi.org/10.3390/su13052778
APA StyleMozgeris, G., Kazanavičiūtė, V., & Juknelienė, D. (2021). Does Aiming for Long-Term Non-Decreasing Flow of Timber Secure Carbon Accumulation: A Lithuanian Forestry Case. Sustainability, 13(5), 2778. https://doi.org/10.3390/su13052778

