The Mediating Role of Disaster Policy Implementation in Disaster Risk Reduction and Sustainable Development in Sierra Leone
Abstract
1. Introduction
2. Literature Review
2.1. Hypothesis Development
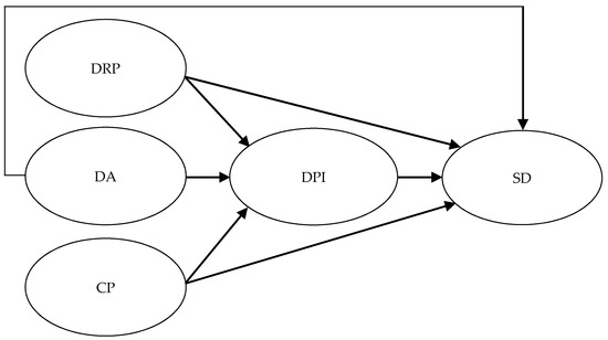
2.1.1. Disaster Risk Perception, Policy Implementation, and Sustainable Development
2.1.2. Disaster Adaptation, Policy Implementation, and Sustainable Development
2.1.3. Community Participation (CP), Policy Implementation, and Sustainable Development
2.1.4. Disaster Policy Implementation and Sustainable Development
3. Research Methodology
3.1. Research Design and Data Collection
3.2. Measurement Item
3.2.1. Sustainable Development
3.2.2. Disaster Risk Perception
3.2.3. Community Participation
3.2.4. Disaster Adaptation
3.2.5. Disaster Policy Implementation
4. Analysis of the Results
4.1. Validity and Reliability Test
4.2. Model Estimate and Test of Hypothesis
4.2.1. Hypothesis Testing
The Influence of Disaster Reduction on Sustainable Development
The Influence of Disaster Reduction on Disaster Policy Implementation
The Influence of Disaster Policy Implementation on Sustainable Development
4.3. Analysis of Mediating Effect
5. Discussion
Practical Implications
6. Conclusions
Author Contributions
Funding
Institutional Review Board Statement
Informed Consent Statement
Data Availability Statement
Acknowledgments
Conflicts of Interest
Appendix A
- Part A: Sustainably development
- When people interfere with the environment, they often produce disastrous consequences
- Environmental protection and people’s quality of life are directly linked
- Biodiversity should be protected at the expense of industrial agricultural production
- Building development is less important than environmental protection
- Environmental protection is more important than industrial growth
- Government economic policies should increase sustainable production even if it means spending money
- People should sacrifice more to reduce economic differences between populations
- Government economic policies should increase fair trade
- Government economic policies should act if a country is wasting its natural resources
- Reducing poverty and hunger in the world is more important than increasing the economic well-being of the industrialized countries
- Each country can do a lot to keep the peace in the world
- The society should further promote equal opportunities for males and females
- The contact between cultures is stimulating and enriching
- The society should provide free basic health services
- The society should take responsibility for the welfare of individuals and families
- Teacher in college should use student-centered teaching methods
- Teachers in college should promote future-oriented thinking in addition to historical knowledge
- Teachers in college should promote interdisciplinarity between subjects
- Teachers in college should promote the connection between local and global issues
- Teachers in college should promote critical thinking rather than lecturing
- Part B: Disaster risk reduction
- I am very sure that large-scale disasters will certainly occur in the next 10 years
- My locality is safe from all kinds of disasters
- I think my building is well designed and will withstand an earthquake event
- I am sure that my sleeping space is secure during and after disaster
- Part C: Community participation
- Attitude item
- I feel responsible for my community
- I believe I should make a difference in my community
- I believe that I have a responsibility to help the poor and the hungry
- I am committed to serve in my community
- I believe that all citizens have a responsibility to their community
- I believe that it is essential to be informed of community issues
- I believe that it is important to volunteer
- I believe that it is important to financially support charitable organizations
- Behavior item
- I am involved in structured volunteer position(s) in the community
- When working with others, I make positive changes in the community
- I help members of my community
- I participate in discussions that raise issues of social responsibility
- I contribute to charitable organizations within the community
- Part D: Disaster adaptation
- I am aware of the shelter areas and open space in case of a disaster
- I have information about which government office needs to be contacted after the disaster
- I have knowledge about the disaster-prone area
- I am getting enough information from INGO/NGO about disaster adaptation
- I have knowledge about an evacuation area during a disaster
- I know the important of community activities for disaster risk reduction
- I know the life evacuation system in my locality
- Part E: Disaster policy implementation
- Proper land management policy reduces disaster risk
- Prohibition of population concentrations in hazardous areas reduces disaster risk
- Proper environmental policy results in environmental improvement
- Regulation enforcement reduces disaster risk
- Social justice reduces disaster risk
- Institutional capacity building reduces disaster risk
- Proper resource management reduces disaster risk
- Effective legislation of disaster reduces disaster risk
- Research and development on disaster knowledge reduces disaster risk
- Timely information dissemination on disaster reduces disaster risk
- Effective coordination among disaster agencies and disaster-prone communities reduces disaster risk
- Early warning and effective monitoring reduce disaster risk
- Inclusive public disaster policies for disaster-prone areas reduces disaster risk
- Mapping out disaster priority needs reduces disaster risk
- Strengthening decentralization of disaster risk reduction interventions reduces disaster risk
References
- Sierra Leone Disaster Management Policy (final DRAFT Copy). 2006. Available online: https://ifrc.org/docs/idrl/671EN.pdf (accessed on 30 August 2020).
- Cutter, S.L.; Barnes, L.; Berry, M.; Burton, C.; Evans, E.; Tate, E.; Webb, J. A place-based model for understanding community resilience to natural disasters. Glob. Environ. Chang. 2008, 18, 598–606. [Google Scholar] [CrossRef]
- IPCC. Summary for policymakers. In Climate Change: Impacts, Adaptation, and Vulnerability; Part A: Global and Sectoral Aspects. Contribution of Working Group II to the Fifth Assessment Report of the Intergovernmental Panel on Climate Change; Cambridge University Press: Cambridge, UK, 2014; pp. 1–32. [Google Scholar]
- UNDRR. Global Assessment Report on Disaster Risk Reduction; United Nations Office for Disaster Risk Reduction (UNDRR): Geneva, Switzerland, 2019. [Google Scholar]
- Sierra Leone: Rapid Damage and Loss Assessment of August 14th, 2017 Landslide and Floods in the Western Area; Report No. 121120. 2017. Available online: https://reliefweb.int/sites/reliefweb.int/files/resources/19371_Sierra_Leone_DaLA_Web-forprinting.pdf (accessed on 15 January 2021).
- UNDP. International Consultant to Further Review and Update National DRM Policy and Develop National DRM Strategy and Action Plan. 2013. Available online: https://jobs.undp.org/cj_view_job.cfm?cur_job_id=39439 (accessed on 13 January 2021).
- Rajput, S.; Xu, R. Sierra Leone: Climate, Disaster, and Crisis Financing for Shock-Responsive Safety Nets. 2020. Available online: https://preventionweb.net/news/view/73109 (accessed on 13 January 2021).
- Tuladhar, G.; Yatabe, R.; Dahal, R.K.; Bhandary, N.P. Disaster risk reduction knowledge of local people in Nepal. GEOENVIRON DISASTERS 2, 5. 2015. Available online: https://doi.org/10.1186/s40677-014-0011-4 (accessed on 9 December 2020).
- Fouad Bendimerad. Disaster Risk Reduction and Sustainable Development. 2005. Available online: https://pdfs.semanticscholar.org/7219/29932392f6b5d9bd4861f615d8554dade5e1.pdf (accessed on 30 August 2020).
- Maxwell, S.; Buchanan-Smith, M. Linking relief and development: Introduction and overview. IDS Bull. 1994, 25, 1–19. [Google Scholar] [CrossRef][Green Version]
- Bendimerad, F.; Disaster Risk Reduction and Sustainable Development. World Bank Seminar on the Role of Local Governments in Reducing the Risk of Disasters, Held in Istanbul, Turkey, 2003, 57–75. Available online: https://info.worldbank.org/etools/docs/library/114715/istanbul03/docs/istanbul03/05bendimerad3-n (accessed on 15 September 2020).
- Kameda, H. Networking disaster risk reduction technology and knowledge through Disaster Reduction Hyperbase (DRH). In Proceedings of the Disaster Reduction Hyperbase (DRH) Contents Meeting, Kobe, Japan, 12–13 March 2007. [Google Scholar]
- Onstad, P.A.; Danes, S.M.; Hardman, A.M.; Olson, P.D.; Marczak, M.S.; Heins, R.K.; Croymans, S.R.; Coffee, K.A. The road to recovery from a natural disaster: Voices from the community. Community Dev. 2012, 3, 566–580. [Google Scholar] [CrossRef]
- Klein, R.J.T.; Adams, K.M.; Dzebo, A.; Davis, M.; Siebert, C.K. Advancing Climate Adaptation Practices and Solutions: Emerging Research Priorities; Stockholm Environment Institute: Stockholm, Sweden, 2017. [Google Scholar]
- Karali, E.; Mattern, K. Communicating climate change adaptation information using web-based platforms. Adv. Appl. Sci. Res. 2017, 14, 241–245. [Google Scholar] [CrossRef]
- Calliari, E.; Michetti, M.; Farnia, L.; Ramieri, E. A network approach for moving from planning to implementation in climate change adaptation: Evidence from southern Mexico. Environ. Sci. Policy 2019, 94, 146–157. [Google Scholar] [CrossRef]
- International Institute for Sustainable Development (IISD). 2020. Available online: https://iisd.org/mission-and-goals (accessed on 22 December 2020).
- Uitto, J.I.; Shaw, R. Sustainable development and disaster risk reduction: Introduction. Sustain. Dev. Disaster Risk Reduct. 2016. [Google Scholar] [CrossRef]
- Barrie, A. SL Tops China in Fastest-Growing Economics World Bank. Sierra Leone. 2012. Available online: https://awoko.org/2013/04/26/sl-tops-china-in-fastest-growing-economies-world-bank/ (accessed on 25 December 2020).
- Bell, B.P.; Damon, I.K.; Jernigan, D.B.; Kenyon, T.A.; Nicol, S.T.; O’Connor, J.P.; Tappero, J.W. Overview, control strategies, and lessons learned in the CDC response to the 2014–2016 ebola epidemic. Morb. Mortal. Wkly. Rep. 2016, 65, 4–11. [Google Scholar] [CrossRef] [PubMed]
- The World Bank. Summary on the Ebola Recovery Plan: Sierra Leone External Icon. 2015. Available online: https://www.reliefweb.int/report/sierra-leone/summary-ebola-recovery-plan-sierra-leone (accessed on 20 August 2020).
- WHO. Ebola in Sierra Leone: A Slow Start to an Outbreak That Eventually Outpaced All Others. 2016. Available online: https://who.int/csr/disease/ebola/one-year-report/sierra-leone/en/ (accessed on 20 August 2020).
- World Bank: Social, Urban, Rural and Resilience Global Practice Africa Region. 2018. Available online: http://documents1.worldbank.org/curated/en/796841519527638944/pdf/SIERRA-LEONE-PAD-02122018.pdf (accessed on 14 January 2021).
- Government of Sierra Leone Project Fiduciary Management Unit: Hiring of Disaster Risk Management Policy Consultant. 2019. Available online: https://mof.gov.sl/wp-content/uploads/2020/01/Hiring-of-Disaster-Risk-Management-Policy-Consultant-FERP.pdf (accessed on 13 January 2021).
- UNISDR (United Nations International Strategy for Disaster Reduction). The Sendai Framework for Disaster Risk Reduction 2015–2030; United Nations, Ed.; UNDRR: Sendai, Japan, 2015. [Google Scholar]
- The World Bank: Freetown Emergency Recovery Project (P166075). 2017. Available online: https://documents1.worldbank.org/curated/en/796841519527638944/pdf/SIERRA-LEONE-PAD-02122018.pdf (accessed on 15 December 2020).
- Emergency Plan of Action Operation Update Sierra Leone: Floods. 2015. Available online: https://reliefweb.int/sites/reliefweb.int/files/resources/MDRSL00601.pdf (accessed on 20 August 2020).
- FAO Flooding in Sierra Leone Situation Report 2. 2015. Available online: https://reliefweb.int/report/sierra-leone/flooding-sierra-leone-situation-report-2 (accessed on 19 August 2020).
- Sierra Leone Mudslide Response. C4D in Humanitarian Action Case Study: Using Digital Platforms to Place Affected Populations at the Heart of the Response. 2017. Available online: https://unicef.org/innovation/sites/unicef.org.innovation/files/2019-04/Sierra%20Leone%20case%20study_20%20March%202019.pdf (accessed on 18 August 2020).
- Govt. Sierra Leone, UNICEF, WHO. The Emergency Cholera Vaccination Campaign Kicks Off in Sierra Leone. 2017. Available online: https://reliefweb.int/report/sierra-leone/emergency-cholera-vaccination-campaign-kicks-sierra-leone (accessed on 12 August 2020).
- UNCT Sierra Leone, UNDP. Sierra Leone: Landslide and Floods Recovery Bulletin #1. 12 September 2017. Available online: https://reliefweb.int/report/sierra-leone/sierra-leone-landslide-and-floods-recovery-bulletin-1-12-september-2017 (accessed on 1 August 2020).
- Takeuchi, Y.; Mulyasari, F.; Shaw, R. Chapter 4 roles of family and community in disaster education. In Community, Environment, and Disaster Risk Management; Shaw, R., Takeuchi, K.S.Y., Eds.; Disaster education; Emerald Publisher: Bingley, UK, 2011; Volume 7, pp. 77–94. [Google Scholar]
- Birkmann, J.; von Teichman, K. Integrating disaster risk reduction and climate change adaptation: Key challenges—Scales, knowledge, and norms. Sustain. Sci. 2010, 5, 171–184. [Google Scholar] [CrossRef]
- Walshe, R.A.; Nunn, P.D. Integration of indigenous knowledge and disaster risk reduction: A case study from Baie Martelli, Pentecost Island, Vanuatu. Int. J. Disaster Risk Sci. 2012, 3, 185–194. [Google Scholar] [CrossRef]
- UN General Assembly. The Sendai Framework for Disaster Risk Reduction 2015–2030; UN General Assembly: Geneva, Switzerland, 2015. [Google Scholar]
- Bruce, I. A Preventable Disaster: Landslides and Flooding Disaster in Freetown, Sierra Leone. 2019. Available online: https://blogs.worldbank.org/sustainablecities/preventable-disaster-landslides-and-flooding-disaster-freetown-sierra-leone?CID=SURR_TT_WBGCities_EN_EXT (accessed on 14 January 2021).
- UNICEF. Emergencies: UNICEF’s Emergency Preparedness and Response in Sierra Leone. 2019. Available online: https://unicef.org/sierraleone/emergencies (accessed on 11 January 2021).
- UNGA (United Nations General Assembly). Report of the Open-Ended Intergovernmental Expert Working Group on Indicators and Terminology Relating to Disaster Risk Reduction. 2017. Available online: https://unisdr.org/archive/51767 (accessed on 18 August 2020).
- Agrawal, N. Disaster Risk Evaluation–Qualitative Methods. In Natural Disasters and Risk Management in Canada; Springer: Geneva, Switzerland, 2018. [Google Scholar]
- Alfieri, L.; Feyen, L.; Dottori, F.; Bianchi, A. Ensemble flood risk assessment in Europe under high-end climate scenarios. Glob. Environ. Chang. 2015, 35, 199–212. [Google Scholar] [CrossRef]
- Wright, K. Resilient communities? Experiences of risk and resilience in a time of austerity. Int. J. Disaster Risk Reduct. 2016, 18, 154–161. [Google Scholar] [CrossRef]
- Driessen, P.; Hegger, D.; Van Rijswick, H.; Kundzewicz, Z.W. Toward more resilient flood risk governance: Guest editorial, part of a special feature on toward more resilient flood risk governance. Ecol. Soc. 2016, 21, 53. [Google Scholar] [CrossRef]
- Kurian, M.; Ardakanian, R.; Veiga, L.G.; Meyer, K. Disaster risk, political decentralization and the use of indices for evidence-based decision making. In Resources, Services, and Risks; Springer: Cham, Switzerland, 2016. [Google Scholar]
- Wu, W.N.; Chang, K.; Tso, Y.E. If only we knew what we know: Factors for mobilizing citizen participation in community-based emergency preparedness. Chin. Public Adm. Rev. 2016, 7, 77–109. [Google Scholar]
- Schipper, L.; Pelling, M. Disaster risk, climate change, and international development: Scope for, and challenges to, integration. Disasters 2006, 30, 19–38. [Google Scholar] [CrossRef] [PubMed]
- Mercer, J. Disaster risk reduction or climate change adaptation: Are we reinventing the wheel? J. Int. Dev. 2010, 22, 247–264. [Google Scholar] [CrossRef]
- Walter, J. World Disasters Report 2005: Focus on Information in Disasters; Stylus Publishing: Sterling, VA, USA, 2005. [Google Scholar]
- Kappes, M.S.; Keiler, M.; von Elverfeldt, K.; Glade, T. Challenges of analyzing multi-hazard risk: A review. Nat. Hazards 2012, 64, 1925–1958. [Google Scholar] [CrossRef]
- Maslen, S.; Hayes, J. Preventing black swans: Incident reporting systems as collective knowledge management. J. Risk Res. 2016, 19, 1246–1260. [Google Scholar] [CrossRef]
- The Association of Chartered Certified Accountants (ACCA). Reporting Risk: The Association of Chartered Certified Accountants; The Association of Chartered Certified Accountants: London, UK, 2014. [Google Scholar]
- Bubeck, P.; Botzen, W.J.W.; Aerts, J.C.J.H. A review of risk perceptions and other factors that influence flood mitigation behavior. Risk Anal. 2012, 32, 1481–1495. [Google Scholar] [CrossRef] [PubMed]
- Birkholz, S.; Muro, M.; Jeffrey, P.; Smith, H.M. Rethinking the relationship between flood risk perception and flood management. Sci. Total Environ. 2014, 478, 12–20. [Google Scholar] [CrossRef] [PubMed]
- Murphy, B.L.; McBean, G.; Dolan, H.; Falkiner, L.; Kovacs, P. Enhancing Local Level Emergency Management: The Influence of Disaster Experience and the Role of Households and Neighbourhoods; Institute for Catastrophic Loss Reduction: Toronto, ON, Canada, 2005; Available online: MicrosoftWord-finalreport_2.rtf(iclr.org) (accessed on 11 November 2020).
- Guha-Sapir, D.; Below, R.; Hoyois, P. EM-DAT: The CRED/OFDA International Disaster Database. 2015. Available online: https://emdat.be/database (accessed on 28 December 2020).
- Munich Re Worst Natural Disasters Statistics. 2016. Available online: https://munichre.com/en/reinsurance/business/non-life/natcatservice/significant-naturalcatastrophes/index.html (accessed on 28 December 2020).
- Adikari, Y.; Yoshitani, J. Global Trends in Water-Related Disasters: An Insight for Policymakers; Under the Auspices of UNESCO at the Public Works Research Institute (PWRI): Tsukuba, Japan, 2009. [Google Scholar]
- UNISDR (United Nations Office for Disaster Risk Reduction) and CRED (Centre for Research on the Epidemiology of Disasters). 2015 Disasters in Numbers. 2016. Available online: https://unisdr.org/files/47804_2015disastertrendsinfographic.pdf (accessed on 20 November 2020).
- UNISDR. UNISDR Terminology on Disaster Risk Reduction, United Nations International Strategy on Disaster Risk Reduction (UNISDR). 2020, p. 31. Available online: https://unisdr.org/files/7817_UNISDRTerminologyEnglish.pdf (accessed on 15 May 2020).
- Russell, L.A.; Goltz, J.D.; Bourque, L.B. Preparedness and hazard mitigation actions before and after two earthquakes. Environ. Behav. 1995, 27, 744–770. [Google Scholar] [CrossRef]
- Hoffmann, R.; Muttarak, R. Learn from the past, prepare for the future: Impacts of education and experience on disaster preparedness in the Philippines and Thailand. World Dev. 2017, 96, 32–51. [Google Scholar] [CrossRef]
- Field, C.B.; Barros, V.; Stocker, T.F.; Dahe, Q.; Jon Dokken, D.; Ebi, K.L.; Mastrandrea, M.D.; Mach, K.J.; Plattner, G.K.; Allen, S.K.; et al. Managing the Risks of Extreme Events and Disasters to Advance Climate Change Adaptation; Cambridge University Press: Cambridge, UK, 2012; ISBN 9781139177245. [Google Scholar]
- Wisner, B.; Blaikie, P.; Cannon, T.; Davis, I. At Risk: Natural Hazards, People’s Vulnerability, and Disasters; Routledge: London, UK, 2004; p. 471. [Google Scholar]
- Glade, T.; Anderson, M.; Crozier, M.J. Landslide Hazard, and Risk; John Wiley & Sons, Inc.: West Sussex, UK, 2005; p. 801. [Google Scholar]
- Zagheni, E.; Muttarak, R.; Striessnig, E. Differential mortality patterns from hydro-meteorological disasters: Evidence from cause-of-death data by age and sex. Vienna Yearb. Popul. Res. 2015, 13, 47–70. [Google Scholar]
- Winterhalder, G. Environmental analysis in human evolution and adaptation research. Hum. Ecol. 1980, 8, 135–170. [Google Scholar] [CrossRef]
- Stakhiv, E. Evaluation of IPCC Adaptation Strategies; Institute for Water Resources, U.S. Army Corps of Engineers: Fort Belvoir, VA, USA, 1993; pp. 1–200. [Google Scholar]
- Denevan, W.M. Adaptation, variation and cultural geography. Prof. Geogr. 1983, 35, 399–406. [Google Scholar] [CrossRef]
- Bogardi, J.J. Hazards, risks and vulnerabilities in a changing environment: The unexpected onslaught on human security? Glob. Environ. Chang. 2004, 14, 361–365. [Google Scholar] [CrossRef]
- Shaw, R.; Pulhin, J.M.; Pereira, J.J. Climate Change Adaptation and Disaster Risk Reduction: Issues and Challenges; Emerald: Bingley, UK, 2010; pp. 1–19. [Google Scholar]
- Shaw, R.; Pulhin, J.M.; Pereira, J.J. Climate Change Adaptation and Disaster Risk Reduction: An Asian Perspective; Emerald: Bingley, UK, 2010; pp. 1–18. [Google Scholar]
- Lei, Y.; Wang, J.; Yue, Y.; Zhou, H.; Yin, W. Rethinking the relationships of vulnerability, resilience, and adaptation from a disaster risk perspective. Nat. Hazards 2014, 70, 609–627. [Google Scholar] [CrossRef]
- Cutter, S.L.; Ash, K.D.; Emrich, C.T. The geographies of community disaster resilience. Glob. Environ. Chang. 2014, 29, 65–77. [Google Scholar] [CrossRef]
- Wegscheider, S.; Post, J.; Zosseder, K.; Mück, M.; Strunz, G.; Riedlinger, T.; Muhari, A.; Anwar, H.Z. Generating tsunami risk knowledge at community level as a base for planning and implementation of risk reduction strategies. Nat. Hazardsd Earth Syst. Sci. 2011, 11, 249–258. [Google Scholar] [CrossRef]
- Aldrich, D.P.; Meyer, M.A. Social capital, and community resilience. Am. Behav. Sci. 2015, 59, 254–269. [Google Scholar] [CrossRef]
- Kapucu, N. Interagency communication networks during emergencies: Boundary spanners in multiagency coordination. Am. Rev. Public Adm. 2005, 36, 207–225. [Google Scholar] [CrossRef]
- Kapucu, N. Interorganizational coordination in dynamic context: Networks in emergency response management. Connections 2005, 26, 33–48. [Google Scholar]
- Guarino, M.; Mashiko, T.; Franz, G.; Satoh, S. Collaborative planning for post-disaster reconstruction in Italy: Focus on community participation in the town of Novi di Modena. In Proceedings of the 18th International Planning History Society Conference, Yokohama, Japan, 9 July 2018. [Google Scholar]
- The Associated Press—NORC, Center for Public Affairs Research. Two years after Superstorm Sandy: Resilience in Twelve Neighborhoods; The Associated Press—NORC: New York, NY, USA, 2014; Available online: https://apnorc.org/PDFs/Sandy/SandyPhase2Report_Final.pdf (accessed on 2 August 2020).
- Shreve, C.M.; Kelman, I. Does mitigation save? Reviewing cost-benefit analyses of disaster risk reduction. Int. J. Disaster Risk Reduct. 2014, 10, 213–235. [Google Scholar] [CrossRef]
- Muttarak, R.; Lutz, W.; Jiang, L. Introduction: What can demographers contribute to the study of vulnerability? Vienna Yearb. Popul. Res. 2015, 13, 1–13. [Google Scholar]
- Gray, B.; Hanna, F.; Reifels, L. The integration of mental health and psychosocial support and disaster risk reduction: A mapping and review. Int. J. Environ. Res. Public Health 2020, 17, 1900. [Google Scholar] [CrossRef] [PubMed]
- Okorodudu, C.; Kuriansky, J. Integrating psychosocial and mental health principles into policy and planning for the prevention and management of epidemics and disasters. In Psychosocial Aspects of a Deadly Epidemic: What Ebola Has Taught Us about Holistic Healing: What Ebola Has Taught Us about Holistic Healing; Kuriansky, J., Ed.; ABC-CLIO: Santa Barbara, CA, USA, 2016; pp. 375–394. [Google Scholar]
- UNFCCC, United Nations Framework Convention on Climate Change. Paris Agreement; UNFCCC: New York, NY, USA, 2015; Available online: https://unfccc.int/files/essential_background/convention/application/pdf/english_paris_agreement.pdf (accessed on 29 July 2020).
- ACP-EU Natural Disaster Risk Reduction Program—Global Facility for Disaster Reduction and Recovery (GFDRR)—The World Bank. 2017. Available online: https://www.gfdrr.org/en/acp-eu (accessed on 10 December 2020).
- UN, United Nations. Resolution Adopted by the General Assembly on September 25 2015 70/1. Transforming Our World: The 2030 Agenda for Sustainable Development; UN: New York, NY, USA, 2015; Available online: https://un.org/ga/search/view_doc.asp?symbol=A/RES/70/1&Lang=E (accessed on 28 July 2020).
- EC, European Commission. Communication from the Commission to the European Parliament, the Council, the European Economic, and Social Committee and the Committee of the Regions—An EU Strategy on Adaptation to Climate Change; (COM (2013) 216 Final, Brussels, 16.04.2013); European Commission: Brussels, Belgium, 2013. [Google Scholar]
- ETC/CCA, European Topic Centre on Climate Change Impacts, Vulnerability, and Adaptation. Monitoring, Reporting, and Evaluation of National Level Adaptation in Europe: Lessons and Experiences from Other Policy Domains; ETC/CCA Working Paper, No 1/2017. Available online: https://cca.eionet.europa.eu/docs/WP_1-2017 (accessed on 25 July 2020).
- ETC/CCA, European Topic Centre on Climate Change Impacts, Vulnerability, and Adaptation. Indicators for Adaptation to Climate Change at National Level—Lessons from Emerging Practice in Europe; ETC/CCA Technical Paper 2018/3. Available online: https://cca.eionet.europa.eu/reports/TP_3-2018 (accessed on 26 July 2020).
- EEA, European Environment Agency. Climate Change Adaptation and Disaster Risk Reduction in Europe. Enhancing Coherence of the Knowledge Base, Policies and Practices; EEA Report No 15/2017; EEA, European Environment Agency: København, Denmark, 2017; ISSN 1977-8449. [Google Scholar]
- Mysiak, J.; Castellari, S.; Kurnik, B.; Swart, R.; Pringle, P.; Schwarze, R.; Wolters, H.; Jeuken, A.; van der Linden, P. Brief communication: Strengthening coherence between climate change adaptation and disaster risk reduction. Nat. Hazards Earth Syst. Sci. 2018, 18, 3137–3143. [Google Scholar] [CrossRef]
- Hildén, M.; Boteler, B.; Capriolo, A.; Castellari, S.; Giordano, F.; Jensen, A.; Karali, E.; McGlade, K.; Mäkinen, K.; Nielsen, H.; et al. Policy Integration and Knowledge Use in the EU Adaptation Strategy. (BASE-WP2, D 2.1). 2013. Available online: https://base-adaptation.eu/sites/default/files/Deliverable_2_1.pdf (accessed on 30 July 2020).
- Aldrich, D.; Page, C.; Paul, C.J. Social Capital, and Climate Change Adaptation. 2016. Available online: https://climatescience.oxfordre.com/view/10.1093/acrefore/9780190228620.001.0001/acrefore9780190228620-e-342 (accessed on 2 August 2020).
- Joseph, O.; Fred, M.I.; Philip, N.; William, O.; Gerald, M. Applying social network analysis, centrality measures in identification of climate change adaptation opinion leaders. IJARIT 2016, 6, 1–7. [Google Scholar] [CrossRef][Green Version]
- Reifels, L. Disaster mental health risk reduction: An upstream paradigm shift for disaster mental health. In Proceedings of the UNDRR Science and Technology Conference on the Implementation of the Sendai Framework for Disaster Risk Reduction 2015–2030, Geneva, Switzerland, 27–29 January 2016. [Google Scholar]
- Reifels, L. Reducing the future risk of trauma: On the integration of global disaster policy within specific health domains and established fields of practice. Int. J. Environ. Res. Public Health 2018, 15, 1932. [Google Scholar] [CrossRef] [PubMed]
- Hanna, F. Reducing the Mental Health and Psychosocial risks: Who is Doing What, Why and What’s Next? MHPSS.net Network Webinar. 2018. Available online: https://www.mhpss.net/ (accessed on 2 November 2020).
- International Council of Nurses. Nurses and Disaster Risk Reduction, Response and Recovery, Position Statement; International Council of Nurses: Geneva, Switzerland, 2019. [Google Scholar]
- Reifels, L. Reducing the future risk of trauma: Harnessing EU policy strategies and international treaties to advance population and disaster mental health. In Proceedings of the International Society of Traumatic Stress Studies (ISTSS) 32nd Annual Meeting, Dallas, TX, USA, 10–12 November 2016. [Google Scholar]
- Reifels, L.; Arbon, P.; Capon, A.; Handmer, J.; Humphrey, A.; Murray, V.; Spencer, C.; Wong, D.F. Health and disaster risk reduction regarding the Sendai Framework. Aus. J. Emerg. Manag. 2018, 33, 16–18. [Google Scholar]
- Reifels, L. Reducing Mental Health Risks in Emergencies: MHPSS through a Disaster Risk Reduction Lens. MHPSS.net Network Webinar. 2018. Available online: https://www.researchgate.net/publication/323420709_Reducing_Mental_Health_Risks_in_Emergencies_MHPSS_through_a_Disaster_Risk_Reduction_Lens (accessed on 18 December 2020).
- United Nations University. United Nations Expert Group Meeting on Mental Well-Being, Disability and Disaster Risk Reduction; United Nations University Headquarters: Tokyo, Japan, 2014. [Google Scholar]
- National Research Council. Disaster Resilience: A National Imperative; The National Academies Press: Washington, DC, USA, 2012; Available online: https://doi.org/10.17226/13457 (accessed on 20 December 2020).
- Biasutti, M.; Frate, S. A validity and reliability study of the attitudes toward sustainable development scale. Environ. Educ. Res. 2017, 23, 214–230. [Google Scholar] [CrossRef]
- Doolittle, A.; Anna, C. Faul 2, 3. Civic engagement scale: A validation study. SAGE 2013, 3, 2158244013495542. [Google Scholar]
- IFMSA Policy Document—Disaster and Emergency Management. Proposed by the Team of Officials, Adopted at the IFMSA General Assembly August Meeting in Arusha, Tanzania. 2017. Available online: https://ifmsa.org/wp-content/uploads/2017/08/GS_2017AM_Policy_Disaster-and-Emergency-Management.pdf (accessed on 28 September 2020).
- Hair, J.F.; Black, W.C.; Babin, B.J.; Anderson, R.E.; Tatham, R.L. Multivariate Data Analysis; Prentice-Hall: Upper Saddle River, NJ, USA, 2006. [Google Scholar]
- Brusset, X. Does supply chain visibility enhance agility? Int. J. Prod. Econ. 2016, 171, 46–59. [Google Scholar] [CrossRef]
- Bagozzi, R.P.; Yi, Y. On the evaluation of structural equation models. J. Acad. Mark. Sci. 1988, 16, 74–94. [Google Scholar] [CrossRef]
- Fornell, C.; Larcker, D.F. Evaluating structural equation models with unobservable variables and measurement error. J. Mark. Res. 1981, 18, 39–50. [Google Scholar] [CrossRef]
- Baron, R.M.; Kenny, D.A. The moderator-mediator variable distinction in social psychological research: Conceptual, strategic, and statistical considerations. J. Pers. Soc. Psychol. 1986, 51, 1173–1182. [Google Scholar] [CrossRef] [PubMed]
- Sobel, M.E. Asymptotic intervals for indirect effects in structural equations models. In Sociological Methodology, 2nd ed.; Leinhart, S., Ed.; Jossey-Bass: San Francisco, CA, USA, 1982; pp. 290–312. [Google Scholar]
- MacKinnon, D.P.; Fairchild, A.J. Current directions in mediation analysis. Curr. Dir. Psychol. Sci. 2009, 18, 16–20. [Google Scholar] [CrossRef] [PubMed]
- Tofighi, D.; MacKinnon, D.P. R Mediation: An R package for mediation analysis confidence intervals. Behav. Res. Methods. 2011, 43, 692–700. [Google Scholar] [CrossRef] [PubMed]
- MacKinnon, D.P.; Coxe, S.; Baraldi, A.N. Guidelines for the investigation of mediating variables in business research. J. Bus. Psychol. 2012, 27, 1–14. [Google Scholar] [CrossRef] [PubMed]
- MacKinnon, D.P.; Warsi, G.; Dwyer, J.H. A simulation study of mediated effect measures. Multivar. Behav. Res. 1995, 30, 41–62. [Google Scholar] [CrossRef] [PubMed]
- Kates, R.W. Natural hazard in human ecological perspective: Hypotheses and models. Econ. Geogr. 1971, 47, 438–451. [Google Scholar] [CrossRef]
- Douglas, M.; Wildavsky, A. Risk and Culture: An Essay on the Selection of Technological and Environmental Dangers, 1st ed.; University of California Press: Berkeley, CA, USA, 1982; Available online: https://www.jstor.org/stable/10.1525/j.ctt7zw3mr (accessed on 25 December 2020).
- Pidgeon, N.; Hood, C.; Jones, D.; Turner, B.; Gibson, R. Risk perception, in report of a Royal Society Study Group. In Risk: Analysis, Perception and Management; The Royal Society: London, UK, 1992; pp. 89–134. [Google Scholar]
- Van Der Keur, P.; Van Bers, C.; Henriksen, H.J.; Nibanupudi, H.K.; Yadav, S.; Wijaya, R.; Subiyono, A.; Mukerjee, N.; Hausmann, H.J.; Hare, M.; et al. Identification and analysis of uncertainty in disaster risk reduction and climate change adaptation in South and Southeast Asia. Int. J. Disaster Risk Reduct. 2016, 16, 208–214. [Google Scholar] [CrossRef]


| Construct | Research Variable | Factor Loading | Cronbach’s α | Composite Reliability (CR) | Average Variance Extracted (AVE) |
|---|---|---|---|---|---|
| Sustainable Development | SD1 | 0.784 | 0.965 | 0.974 | 0.629 |
| SD2 | 0.762 | ||||
| SD3 | 0.738 | ||||
| SD4 | 0.786 | ||||
| SD5 | 0.724 | ||||
| SD6 | 0.796 | ||||
| SD7 | 0.780 | ||||
| SD8 | 0.824 | ||||
| SD9 | 0.812 | ||||
| SD10 | 0.775 | ||||
| SD11 | 0.847 | ||||
| SD12 | 0.832 | ||||
| SD13 | 0.750 | ||||
| SD14 | 0.804 | ||||
| SD15 | 0.709 | ||||
| SD16 | 0.811 | ||||
| SD17 | 0.845 | ||||
| SD18 | 0.823 | ||||
| SD19 | 0.850 | ||||
| SD20 | 0.788 | ||||
| Disaster Risk Perception | DRP1 | 0.873 | 0.793 | 0.828 | 0.699 |
| DRP2 | 0.775 | ||||
| DRP3 | 0.870 | ||||
| DRP4 | 0.822 | ||||
| Disaster Adaptation | DA1 | 0.802 | 0.895 | 0.904 | 0.628 |
| DA2 | 0.710 | ||||
| DA3 | 0.819 | ||||
| DA4 | 0.803 | ||||
| DA5 | 0.835 | ||||
| DA6 | 0.807 | ||||
| DA7 | 0.766 | ||||
| Community Participation | CP1 | 0.807 | 0.962 | 0.984 | 0.695 |
| CP2 | 0.835 | ||||
| CP3 | 0.799 | ||||
| CP4 | 0.878 | ||||
| CP5 | 0.851 | ||||
| CP6 | 0.868 | ||||
| CP7 | 0.803 | ||||
| CP8 | 0.853 | ||||
| CP9 | 0.872 | ||||
| CP10 | 0.861 | ||||
| CP11 | 0.843 | ||||
| CP12 | 0.844 | ||||
| CP13 | 0.779 | ||||
| CP14 | 0.769 | ||||
| Disaster Policy Implementation | DPI1 | 0.774 | 0.965 | 0.971 | 0.675 |
| DPI2 | 0.753 | ||||
| DPI3 | 0.797 | ||||
| DPI4 | 0.815 | ||||
| DPI5 | 0.815 | ||||
| DPI6 | 0.756 | ||||
| DPI7 | 0.852 | ||||
| DPI8 | 0.783 | ||||
| DPI9 | 0.861 | ||||
| DPI10 | 0.820 | ||||
| DPI11 | 0.879 | ||||
| DPI12 | 0.841 | ||||
| DPI13 | 0.859 | ||||
| DPI14 | 0.849 | ||||
| DPI15 | 0.852 |
| Variable | Mean | Std. | SD | DRP | DA | CP | DPI |
|---|---|---|---|---|---|---|---|
| SD | 3.537 | 0.963 | 0.793 | ||||
| DRP | 3.261 | 0.996 | 0.651 ** | 0.836 | |||
| DA | 3.114 | 0.833 | 0.540 ** | 0.495 ** | 0.793 | ||
| CP | 3.726 | 0.953 | 0.801 ** | 0.666 ** | 0.785 ** | 0.834 | |
| DPI | 3.667 | 0.002 | 0.802 ** | 0.629 ** | 0.741 ** | 0.802 ** | 0.821 |
| Model | χ2 | d.f | Χ2/d.f | TLI | IFI | CFI | RMSEA |
|---|---|---|---|---|---|---|---|
| Measurement model | 279.839 | 174 | 1.608 | 0.951 | 0.972 | 0.986 | 0.053 |
| Recommended values | ≤3.0 | ≥0.9 | ≥0.9 | ≥0.9 | ≤0.08 |
| Hypothesis Direction and Structural Path | Path Coefficient | t-Value | Inference | |||
|---|---|---|---|---|---|---|
| H1(+): | DRP | → | SD | 0.319 *** | 7.839 | Supported |
| H3(+): | DA | → | SD | 0.216 *** | 11.522 | Supported |
| H5(+): | CP | → | SD | 0.484 *** | 13.836 | Supported |
| H7(+): | DPI | → | SD | 0.370 *** | 10.973 | Supported |
| Explained variance for each dependent variable (R2) | ||||||
| DPI | SD | |||||
| 0.734 | 0.852 | |||||
| Mediator Variable | Path | Sobel Test’s z-Value | Product of Distribution | |||
|---|---|---|---|---|---|---|
| Mediation Effect | LL95%CI | UL95%CI | ||||
| Disaster Policy Implementation | DRP→DPI→SD | 18.276 *** | µ = 0.466 *** | (σ = 0.039) | 0.054 | 0.174 |
| DA→DPI→SD | 12.748 *** | µ = 0.485 *** | (σ = 0.034) | 0.056 | 0.192 | |
| CP→DPI→SD | 7.673 ** | µ = 0.263 ** | (σ = 0.028) | 0.043 | 0.165 | |
| Independent Variables | Sustainable Development | ||
|---|---|---|---|
| Direct Effect | Indirect Effect | Total Effect | |
| Disaster Risk Perception | 0.319 | 0.062 | 0.381 |
| Disaster Adaptation | 0.216 | 0.075 | 0.291 |
| Community Participation | 0.484 | 0.054 | 0.538 |
Publisher’s Note: MDPI stays neutral with regard to jurisdictional claims in published maps and institutional affiliations. |
© 2021 by the authors. Licensee MDPI, Basel, Switzerland. This article is an open access article distributed under the terms and conditions of the Creative Commons Attribution (CC BY) license (http://creativecommons.org/licenses/by/4.0/).
Share and Cite
Sawaneh, I.A.; Fan, L. The Mediating Role of Disaster Policy Implementation in Disaster Risk Reduction and Sustainable Development in Sierra Leone. Sustainability 2021, 13, 2112. https://doi.org/10.3390/su13042112
Sawaneh IA, Fan L. The Mediating Role of Disaster Policy Implementation in Disaster Risk Reduction and Sustainable Development in Sierra Leone. Sustainability. 2021; 13(4):2112. https://doi.org/10.3390/su13042112
Chicago/Turabian StyleSawaneh, Ibrahim Abdulai, and Luo Fan. 2021. "The Mediating Role of Disaster Policy Implementation in Disaster Risk Reduction and Sustainable Development in Sierra Leone" Sustainability 13, no. 4: 2112. https://doi.org/10.3390/su13042112
APA StyleSawaneh, I. A., & Fan, L. (2021). The Mediating Role of Disaster Policy Implementation in Disaster Risk Reduction and Sustainable Development in Sierra Leone. Sustainability, 13(4), 2112. https://doi.org/10.3390/su13042112

