Can Shrub Flammability be Affected by Goat Grazing? Flammability Parameters of Mediterranean Shrub Species under Grazing
Abstract
1. Introduction
2. Materials and Methods
2.1. Study Area and Species Selection
2.2. Previous Characterization
2.3. Field Sampling
2.4. Description of Laboratory Procedures
2.4.1. Flammability Testing Method
2.4.2. Gross Heat of Combustion Testing Method
2.5. Data Analysis
3. Results
3.1. Previous Fuel Characterization
3.2. Flammability Test Parameters
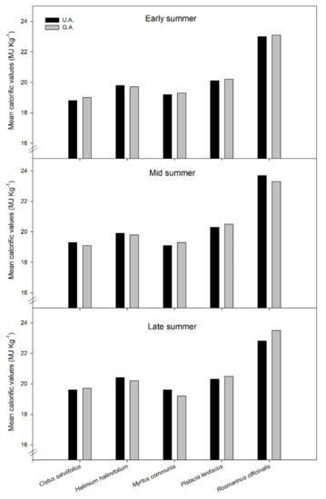
3.3. Gross Heat of Combustion
4. Discussion
5. Conclusions
Author Contributions
Funding
Institutional Review Board Statement
Informed Consent Statement
Data Availability Statement
Acknowledgments
Conflicts of Interest
Appendix A
| Mean Time to Ignition [s] | Ignition Frequency (%) | |||||
|---|---|---|---|---|---|---|
| 100–95 | 94–90 | 89–85 | 84–80 | 79–50 | <0 | |
| <12.5 | 5 | 4 | 3 | 3 | 2 | 1 |
| 12.6–17.5 | 4 | 3 | 3 | 2 | 1 | 1 |
| 17.6–22.5 | 3 | 3 | 2 | 2 | 1 | 0 |
| 22.6–27.5 | 3 | 2 | 2 | 1 | 0 | 0 |
| 27.6–32.5 | 2 | 2 | 1 | 1 | 0 | 0 |
| >32.6 | 2 | 1 | 1 | 0 | 0 | 0 |
Appendix B
| Variable | Means | SEM | p-Values | |||
|---|---|---|---|---|---|---|
| Ungrazed | Grazed | Treatment | Time | Interaction | ||
| Cistus salviifolius | ||||||
| Moisture content (%) | 126 | 127 | 2.2 | 0.482 | 0.000 | 0.075 |
| Mean time ignition (s) | 24 | 22 | 0.5 | 0.000 | 0.001 | 0.133 |
| Mean time combustion (s) | 12 | 13 | 0.4 | 0.000 | 0.000 | 0.009 |
| Calorific values (MJ kg−1) | 19 | 19 | 0.1 | 0.109 | 0.000 | 0.000 |
| Halimium halimifolium | ||||||
| Moisture content (%) | 136 | 125 | 2.4 | 0.001 | 0.000 | 0.900 |
| Mean time ignition (s) | 22 | 20 | 0.4 | 0.000 | 0.000 | 0.008 |
| Mean time combustion (s) | 12 | 13 | 0.4 | 0.019 | 0.000 | 0.022 |
| Calorific values (MJ kg−1) | 20 | 20 | 0.2 | 0.051 | 0.000 | 0.410 |
| Myrtus communis | ||||||
| Moisture content (%) | 143 | 94 | 3.6 | 0.000 | 0.000 | 0.067 |
| Mean time ignition (s) | 24 | 26 | 0.7 | 0.043 | 0.000 | 0.001 |
| Mean time combustion (s) | 8 | 28 | 3.1 | 0.021 | 0.000 | 0.006 |
| Calorific values (MJ kg−1) | 19.27 | 19.25 | 0.1 | 0.070 | 0.000 | 0.000 |
| Pistacia lentiscus | ||||||
| Moisture content (%) | 125 | 108 | 2.3 | 0.000 | 0.000 | 0.356 |
| Mean time ignition (s) | 14 | 15 | 0.5 | 0.032 | 0.000 | 0.005 |
| Mean time combustion (s) | 12 | 12 | 0.3 | 0.057 | 0.000 | 0.090 |
| Calorific values (MJ kg−1) | 20 | 20 | 0.1 | 0.000 | 0.001 | 0.004 |
| Rosmarinus officinalis | ||||||
| Moisture content (%) | 127 | 104 | 4.2 | 0.001 | 0.000 | 0.083 |
| Mean time ignition (s) | 22 | 21 | 0.6 | 0.041 | 0.000 | 0.043 |
| Mean time combustion (s) | 9 | 11 | 0.5 | 0.018 | 0.001 | 0.037 |
| Calorific values (MJ kg−1) | 23 | 24 | 0.1 | 0.000 | 0.000 | 0.000 |
References
- Lasanta, T.; Nadal-Romero, E.; Arnáez, J. Managing abandoned farmland to control the impact of re-vegetation on the environment. The state of the art in Europe. Environ. Sci. Policy 2015, 52, 99–109. [Google Scholar] [CrossRef]
- Spanish Department of Defense against Forest Fires (ADCIF). Available online: https://www.mapa.gob.es/es/desarrollo-rural/temas/politica-forestal/incendios-forestales/default_info_general.aspx (accessed on 8 December 2020).
- Agee, J.K.; Skinner, C.N. Basic principles of forest fuel reduction treatments. For. Ecol. Manag. 2005, 211, 83–96. [Google Scholar] [CrossRef]
- Jáuregui, B.M.; Celaya, R.; García, U.; Osoro, K. Vegetation dynamics in burnt heather-gorse shrublands under different grazing management with sheep and goats. Agrofor. Syst. 2007, 70, 103–111. [Google Scholar] [CrossRef]
- Ruiz-Mirazo, J.; Robles, A.B.; González-Rebollar, J.L. Two-year evaluation of fuelbreaks grazed by livestock in the wildfire prevention program in Andalusia (Spain). Agric. Ecosyst. Environ. 2011, 141, 13–22. [Google Scholar] [CrossRef]
- Velamazán, M.; Perea, R.; Bugalho, M.N. Ungulates and ecosystem services in Mediterranean woody systems: A semi-quantitative review. J. Nat. Conserv. 2020, 55, 125837. [Google Scholar] [CrossRef]
- Diamond, J.M.; Call, C.A.; Devoe, N. Effects of targeted cattle grazing on fire behavior of cheat grass-dominated rangeland in the northern Great Basin, USA. Int. J. Wildland Fire 2010, 18, 944–950. [Google Scholar] [CrossRef]
- Mosquera-Losada, M.R.; Moreno, G.; Pardini, A.; McAdam, J.H.; Papanastasis, V.; Burgess, P.J.; Rigueiro-Rodríguez, A. Past, present and future of agroforestry systems in Europe. In Agroforestry-The Future of Global Land Use; Nair, P.K.R., Garrity, D., Eds.; Springer: Dordrecht, The Netherlands, 2012; pp. 285–312. [Google Scholar]
- Rigueiro-Rodríguez, A.; Fernández-Núñez, E.; González-Hernández, P.; McAdam, J.H.; Mosquera-Losada, M.R. Advances in Agroforestry Series Agroforestry in Europe. In Advances in Agroforestry Series Agroforestry in Europe; Rigueiro-Rodríguez, A., McAdam, J., Mosquera-Losada, M.R., Eds.; Springer: Dordrecht, The Netherlands, 2008; pp. 43–66. [Google Scholar]
- Mancilla-Leytón, J.; Mejías-Pino, R.; MartínVicente, A. Do goats preserve the forest? Evaluating the effects of grazing goats on combustible Mediterranean scrub. Appl. Veg. Sci. 2012, 16, 63–73. [Google Scholar] [CrossRef]
- Pareja, J.; Baraza, E.; Ibáñez, M.; Domenech, O.; Bartolomé, J. The role of feral goats in maintaining firebreaks by using attractants. Sustainability 2020, 12, 7144. [Google Scholar] [CrossRef]
- Madrigal, J.; Hernando, C.; Guijarro, M. A new bench-scale methodology for evaluating the flammability of live forest fuels. J. Fire Sci. 2012, 31, 131–142. [Google Scholar] [CrossRef]
- Noy-Meir, I. Compensating Growth of Grazed Plants and Its Relevance to the Use of Rangelands. Ecol. Appl. 1993, 3, 32–34. [Google Scholar] [CrossRef]
- Baraza, E.; Hódar, J.A.; Zamora, R. Consequences of plant–chemical diversity for domestic goat food preference in Mediterranean forests. Acta Oecol. 2009, 35, 117–127. [Google Scholar] [CrossRef]
- White, R.H.; Zipperer, W.C. Testing and classification of individual plants for fire behaviour: Plant selection for the wildland—Urban interface. Int. J. Wildland Fire 2010, 19, 213–227. [Google Scholar] [CrossRef]
- Anderson, H.E. Forest fuel ignitibility. Fire Technol. 1970, 6, 312–319. [Google Scholar] [CrossRef]
- Dimitrakopoulos, A.P. A statistical classification of Mediterranean species based on their flammability components. Int. J. Wildland Fire 2001, 10, 113. [Google Scholar] [CrossRef]
- Marino, E.; Guijarro, M.; Hernando, C.; Madrigal, J.; Díez, C. Fire hazard after prescribed burning in a gorse shrubland: Implications for fuel management. J. Environ. Manag. 2011, 92, 1003–1011. [Google Scholar] [CrossRef]
- Ganteaume, A.; Jappiot, M.; Lampin, C.; Guijarro, M.; Hernando, C. Flammability of Some Ornamental Species in Wildland–Urban Interfaces in Southeastern France: Laboratory Assessment at Particle Level. Environ. Manag. 2013, 52, 467–480. [Google Scholar] [CrossRef]
- Rivera, J.D.D.; Davies, G.M.; Jahn, W. Flammability and the Heat of Combustion of Natural Fuels: A Review. Combust. Sci. Technol. 2012, 184, 224–242. [Google Scholar] [CrossRef]
- Ormeño, E.; Céspedes, B.; Sánchez, I.A.; Velasco-García, A.; Moreno, J.M.; Fernandez, C.; Baldy, V. The relationship between terpenes and flammability of leaf litter. For. Ecol. Manag. 2009, 257, 471–482. [Google Scholar] [CrossRef]
- Leytón, J.M.M.; Farnés, C.P.; Vicente, A.M. Selection of browse species and energy balance of goats grazing on forest understory vegetation in Doñana Natural Park (SW Spain). Livest. Sci. 2012, 148, 237–242. [Google Scholar] [CrossRef]
- Valette, J. Inflammabilités des espèces forestières méditerranéennes: Consèquences sur la combustibilitè des formations forestières. R. For. Française 1990, 42, 76–92. [Google Scholar] [CrossRef]
- Hernando, C. Combustibles forestales: Inflamabilidad. In La Defensa Contra Incendios Forestales, Fundamentos y Experiencias; Vélez Muñoz, R., Ed.; McGraw-Hill: Madrid, Spain, 2009; pp. 123–130. [Google Scholar]
- Bond, W.J.; Keeley, J.E. Fire as a global ‘herbivore’: The ecology and evolution of flammable ecosystems. Trends Ecol. Evol. 2005, 20, 387–394. [Google Scholar] [CrossRef] [PubMed]
- Elvira, L.; Hernando, C. Inflamabilidad y Energía de las Especies de Sotobosque; Monagrafía INIA, Ministerio de Agricultura: Madrid, Spain, 1989. [Google Scholar]
- Dimitrakopoulos, A.; Papaioannou, K.K. Flammability Assessment of Mediterranean Forest Fuels. Fire Technol. 2001, 37, 143–152. [Google Scholar] [CrossRef]
- Alessio, G.A.; Peñuelas, J.; Llusià, J.; Ogaya, R.; Estiarte, M.; De Lillis, M. Influence of water and terpenes on flammability in some dominant Mediterranean species. Int. J. Wildland Fire 2008, 17, 274–286. [Google Scholar] [CrossRef]
- Fernandes, P.; Rego, F. A New Method to Estimate Fuel Surface Area-to-Volume Ratio Using Water Immersion. Int. J. Wildland Fire 1998, 8, 121–128. [Google Scholar] [CrossRef]
- Doran, J.D.; Randall, C.K.; Long, A.J. Fire in the Wildland-Urban Interface: Selecting and Maintaining Firewise Plants for Landscaping; University of Florida Cooperative Extension Service, Institute of Food and Agricultural Sciences, EDIS: Gainesville, FL, USA, 2004. [Google Scholar]
- Lunt, I.D.; Prober, S.M.; Morgan, J.W. How do fire regimes affect ecosystem structure, function and diversity in grasslands and grassy woodlands of southern Australia? In Flammable Australia: Fire Regimes, Biodiversity and Ecosystems in a Changing World; Williams, R., Gill, A., Bradstock, R., Eds.; CSIRO Publishing: Melbourne, Australia, 2012; pp. 253–270. [Google Scholar]
- Whalley, W. Grassland regeneration and reconstruction: The role of grazing animals. Ecol. Manag. Restor. 2005, 6, 3–4. [Google Scholar] [CrossRef]
- McNaughton, S.J. The propagation of disturbance in savannas through food webs. J. Veg. Sci. 1992, 3, 301–314. [Google Scholar] [CrossRef]
- Leonard, S.; Kirkpatrick, J.B.; Marsden-Smedley, J. Variation in the effects of vertebrate grazing on fire potential between grassland structural types. J. Appl. Ecol. 2010, 47, 876–883. [Google Scholar] [CrossRef]
- Barboni, T.; Cannac, M.; Leoni, E.; Chiaramonti, N. Emission of biogenic volatile organic compounds involved in eruptive fire: Implications for the safety of firefighters. Int. J. Wildland Fire 2011, 20, 152–161. [Google Scholar] [CrossRef]
- Holmgren, M. Exotic Herbivores as Drivers of Plant Invasion and Switch to Ecosystem Alternative States. Biol. Invasions 2002, 4, 25–33. [Google Scholar] [CrossRef]
- Morvan, D.; Dupuy, J. Modeling the propagation of a wildfire through a Mediterranean shrub using a multiphase formulation. Combust. Flame 2004, 138, 199–210. [Google Scholar] [CrossRef]
- Fernandes, P.; Botelho, H. A review of prescribed burning effectiveness in fire hazard reduction. Int. J. Wildland Fire 2003, 12, 117–128. [Google Scholar] [CrossRef]
- Reinhardt, E.D.; Keane, R.E.; Calkin, D.E.; Cohen, J.D. Objectives and considerations for wildland fuel treatment in forested ecosystems of the interior western United States. For. Ecol. Manag. 2008, 256, 1997–2006. [Google Scholar] [CrossRef]
- Tercero-Bucardo, N.; Kitzberger, T.; Veblen, T.T.; Raffaele, E. A field experiment on climatic and herbivore impacts on post-fire tree regeneration in north-western Patagonia. J. Ecol. 2007, 95, 771–779. [Google Scholar] [CrossRef]
- Leytón, J.M.M.; Fernández-Alés, R.; Vicente, A.M. Plant-ungulate interaction: Goat gut passage effect on survival and germination of Mediterranean shrub seeds. J. Veg. Sci. 2011, 22, 1031–1037. [Google Scholar] [CrossRef]
- Loverglio, R.; Meddour-Sahar, O.; Leone, V. Goat grazing as a wildfire prevention tool: A basic review. Forest 2014, 7, 260–268. [Google Scholar] [CrossRef]
- Morales-Jerrett, E.; Mancilla-Leytón, J.M.; Delgado-Pertíñez, M.; Mena, Y. The Contribution of Traditional Meat Goat Farming Systems to Human Wellbeing and Its Importance for the Sustainability of This Livestock Subsector. Sustainability 2020, 12, 1181. [Google Scholar] [CrossRef]


| Total Aboveground Biomass (g m−2) | Foliar Biomass (g m−2) | Leaves + Twigs < 6 mm (g m−2) | Leaves /Wood | Height (cm) | 2 Browsing Pressure | ||
|---|---|---|---|---|---|---|---|
| Cistus salviifolius | UA | 712 a 1 | 155 a | 334 a | 0.44 a | 97 a | -- |
| GA | 517 b | 46 b | 150 b | 0.08 b | 47 b | High | |
| Halimuim halimifolium | UA | 896 a | 126 a | 536 a | 0.34 a | 106 a | -- |
| GA | 611 b | 3 b | 225 b | 0.14 b | 88 b | High | |
| Myrtus communis | UA | 1374 a | 269 a | 717 a | 0.37 a | 126 a | -- |
| GA | 1004 b | 49 b | 305 b | 0.04 b | 84 b | Very high | |
| Pistacia lentiscus | UA | 2049 a | 485 a | 500 a | 0.46 a | 193 a | -- |
| GA | 1753 b | 196 b | 264 b | 0.14 b | 148 b | Medium | |
| Rosmarinus officinalis | UA | 1100 a | 333 a | 483 a | 0.62 a | 98 a | -- |
| GA | 1152 a | 321 a | 390 a | 0.49 a | 82 a | Low | |
| Species | Sampling Time of Summer | Treatment | Moisture Content [%] | Time to Ignition [s] | Time of Combustion [s] | 1 FI | |||||
|---|---|---|---|---|---|---|---|---|---|---|---|
| Min. | Mean | Max. | Min | Mean | Max. | ||||||
| Cistus salviifolius | Early | UA | 130 | 13 | 25 | 36 | 2 | 12 | 21 | 3 | |
| GA | 136 | 20 | 23 | 25 | 9 | 11 | 14 | 3 | |||
| Mid | UA | 88 | 16 | 20 | 24 | 10 | 15 | 18 | 3 | ||
| GA | 89 | 16 | 18 | 22 | 13 | 16 | 18 | 3 | |||
| Late | UA | 160 | 22 | 27 | 34 | 6 | 9 | 13 | 3 | ||
| GA | 155 | 22 | 26 | 32 | 9 | 13 | 17 | 3 | |||
| Halimiun halimifolium | Early | UA | 148 | 22 | 27 | 31 | 6 | 9 | 12 | 3 | |
| GA | 146 | 21 | 24 | 27 | 8 | 10 | 12 | 3 | |||
| Mid | UA | 104 | 16 | 19 | 22 | 12 | 15 | 20 | 3 | ||
| GA | 97 | 12 | 16 | 21 | 11 | 17 | 22 | 3 | |||
| Late | UA | 150 | 17 | 20 | 24 | 9 | 12 | 15 | 3 | ||
| GA | 138 | 17 | 20 | 25 | 8 | 11 | 14 | 3 | |||
| Myrtus communis | Early | UA | 167 | 22 | 32 | 45 | 1 | 3 | 9 | 1 | |
| GA | 103 | 14 | 26 | 51 | 2 | 24 | 65 | 0 | |||
| Mid | UA | 133 | 13 | 22 | 36 | 3 | 9 | 14 | 1 | ||
| GA | 79 | 11 | 23 | 44 | 11 | 38 | 57 | 0 | |||
| Late | UA | 125 | 12 | 19 | 28 | 7 | 12 | 21 | 3 | ||
| GA | 97 | 15 | 29 | 53 | 3 | 24 | 58 | 0 | |||
| Pistacia lentiscus | Early | UA | 144 | 10 | 17 | 29 | 5 | 9 | 14 | 1 | |
| GA | 129 | 11 | 16 | 32 | 5 | 9 | 17 | 1 | |||
| Mid | UA | 122 | 5 | 10 | 16 | 9 | 15 | 23 | 3 | ||
| GA | 103 | 5 | 12 | 21 | 9 | 16 | 25 | 3 | |||
| Late | UA | 141 | 9 | 16 | 34 | 6 | 11 | 21 | 3 | ||
| GA | 100 | 9 | 17 | 28 | 5 | 11 | 21 | 3 | |||
| Rosmarinus officinalis | Early | UA | 140 | 19 | 25 | 33 | 3 | 8 | 15 | 3 | |
| GA | 107 | 16 | 24 | 33 | 5 | 10 | 17 | 3 | |||
| Mid | UA | 93 | 9 | 16 | 22 | 7 | 12 | 17 | 4 | ||
| GA | 70 | 11 | 15 | 19 | 6 | 12 | 20 | 4 | |||
| Late | UA | 149 | 20 | 26 | 35 | 5 | 7 | 14 | 3 | ||
| GA | 135 | 20 | 24 | 28 | 5 | 10 | 17 | 3 | |||
Publisher’s Note: MDPI stays neutral with regard to jurisdictional claims in published maps and institutional affiliations. |
© 2021 by the authors. Licensee MDPI, Basel, Switzerland. This article is an open access article distributed under the terms and conditions of the Creative Commons Attribution (CC BY) license (http://creativecommons.org/licenses/by/4.0/).
Share and Cite
Mancilla-Leytón, J.M.; Hernando, C.; Cambrollé, J.; Muñoz-Vallés, S.; Pino-Mejías, R.; Vicente, Á.M. Can Shrub Flammability be Affected by Goat Grazing? Flammability Parameters of Mediterranean Shrub Species under Grazing. Sustainability 2021, 13, 1555. https://doi.org/10.3390/su13031555
Mancilla-Leytón JM, Hernando C, Cambrollé J, Muñoz-Vallés S, Pino-Mejías R, Vicente ÁM. Can Shrub Flammability be Affected by Goat Grazing? Flammability Parameters of Mediterranean Shrub Species under Grazing. Sustainability. 2021; 13(3):1555. https://doi.org/10.3390/su13031555
Chicago/Turabian StyleMancilla-Leytón, Juan Manuel, Carmen Hernando, Jesús Cambrollé, Sara Muñoz-Vallés, Rafael Pino-Mejías, and Ángel Martín Vicente. 2021. "Can Shrub Flammability be Affected by Goat Grazing? Flammability Parameters of Mediterranean Shrub Species under Grazing" Sustainability 13, no. 3: 1555. https://doi.org/10.3390/su13031555
APA StyleMancilla-Leytón, J. M., Hernando, C., Cambrollé, J., Muñoz-Vallés, S., Pino-Mejías, R., & Vicente, Á. M. (2021). Can Shrub Flammability be Affected by Goat Grazing? Flammability Parameters of Mediterranean Shrub Species under Grazing. Sustainability, 13(3), 1555. https://doi.org/10.3390/su13031555
