“License Plate Lottery”: Why Are People So Keen to Participate in It?
Abstract
:1. Introduction
- Based on the theory of planned behavior, the perceived car necessity is expanded, and the various psychological factors that affect citizens’ participation in the lottery are divided into several variables;
- Social attributes and psychological factors are combined in this study to establish a model of citizens’ willingness to participate in the LPLP;
- The purpose of this study is to investigate the impact of these factors on citizens’ participation in the car lottery, which can provide a reference basis for refining the license plate lottery policy and guiding the rational participation in the lottery. Resulting in the improved vehicle demand management.
2. Methods
2.1. Theory of Planned Behavior
2.2. Multiple Indicators and Multiple Causes Model (MIMIC)
- is an exogenous observable variable vector with causality to ;
- is an observable index variable vector of ;
- and are the error terms of endogenous and exogenous variables, respectively;
- and are coefficient matrices with estimated parameters.
3. Questionnaire Survey and Inspection
- N is the population;
- α is the significance level;
- k is quantile;
- P is usually set to 0.05. Because a setting of 0.50 yields the most plausible sample size.
3.1. Descriptive Statistics Analysis
3.2. Model Inspection
4. Multiple Indicators and Multiple Causes Model Analysis
4.1. Analysis of the Relationship between Individual Socioeconomic Attributes and the Latent Variables of Extended Theory of Planned Behavior Model
4.2. Analysis of the Relationship between the Latent Variables of the Expanded Theory of Planned Behavior
4.3. Analysis of the Relationship between Latent Variables and Corresponding Observed Variables
5. Conclusions
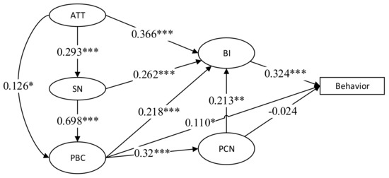
- Car ownership attitude has the greatest impact on behavioral intention to participate in the lottery. The main attraction of motor vehicle ownership is the increased comfort and convenience of travel. Therefore, policy makers can learn from cities with advanced transit development experiences such as Portland, to reduce citizens’ reliance on motor vehicle travel by restricting the car use environment and improving the quantity of public transportation services [41], thereby reducing citizens’ perception of the convenience and comfort of car travel.
- The impact of subjective norms on behavioral intention to participate in the lottery indicates that the behavior of relatives and friends plays the strongest subjective normative role. Messages delivered through the news media can also play a strong subjective normative role. Based on this finding, rational participation in the lottery can be strengthened by providing public and green transportation, which can help in eliminating non-essential car purchases.
- Perceived behavioral control has a stronger impact on behavioral intention to participate in the lottery than perceived car necessity. The ability to participate in the lottery at no cost and the potential economic benefits of the license plate registration are the main factors that attract citizens to participate in the lottery. At present, citizens can easily participate in the lottery at no cost, and the economic benefit from the secondary trading of license plate is growing increasingly significant. Therefore, a considerable number of citizens who lost the lottery seek to rent or purchase the use of license plates from others. In response to this phenomenon, policy makers can consider increasing the participation threshold to discourage the participation of individuals who profit from the lottery and those with flexible demand lacking an immediate need for a car.
- Perceived car necessity has the least impact on behavioral intention to participate in the lottery. Among the associated variables, the demand for commuting by private vehicle is the main factor that motivates citizens to participate in the lottery. Policy makers can increase the investment and promotion of customized buses, carpooling and other transport modes to supplement the comfort freedom and flexibility that comes with commuting by the private vehicle. The government can set up relevant indicators to evaluate the necessity of car use among citizens and adopt different lottery policies according to the vehicle needs of different citizens, thus ensuring that citizens in urgent need of a car will have a better chance of winning the lottery.
Author Contributions
Funding
Institutional Review Board Statement
Informed Consent Statement
Data Availability Statement
Conflicts of Interest
References
- International Energy Agency. IEA CO2 Emissions from Fuel Combustion Highlights 2017; International Energy Agency: Paris, France, 2017. [Google Scholar]
- Beijing Municipal Government. Beijing Municipal Government Interim Regulations on the Regulation and Control of the Number of Passenger Cars in Beijing; Beijing Municipal Government: Beijing, China, 2011.
- Beijing Municipal Passenger Car Index Regulation Management Office Beijing Municipal Passenger Car Index Regulation Management Information System. Available online: https://xkczb.jtw.beijing.gov.cn/ (accessed on 9 November 2020).
- Beijing Municipal Government. Beijing Municipal Government (Beijing Interim Provisions on the Regulation and Control of the Number of Passenger Cars) Implementing Regulations; Beijing Municipal Government: Beijing, China, 2014.
- Lixiao, Y. Beijing Police Cracked down on the Crime of Fake Marriage Transfer Beijing Car License Plate Indicators, Detained 124 People [N]. Available online: https://baijiahao.baidu.com/s?id=1682885039639668252&wfr=spider&for=pc (accessed on 9 November 2020).
- Gao, L. Study on the Beijing Lottery Policy Effect on Choice Behavior of Buying Carr. Master’s Thesis, Beijing University of Technology, Beijing, China, 2015. [Google Scholar]
- Liu, F.; Zhao, F.; Liu, Z.; Hao, H. The Impact of Purchase Restriction Policy on Car Ownership in China’s Four Major Cities. J. Adv. Transp. 2020, 2020, 1–14. [Google Scholar] [CrossRef]
- Yang, J.; Liu, Y.; Qin, P.; Liu, A.A. A review of Beijing׳s vehicle registration lottery: Short-term effects on vehicle growth and fuel consumption. Energy Policy 2014, 75, 157–166. [Google Scholar] [CrossRef]
- Meisi, S. Study on the Policy Evaluation of Vehicle Registrations via a Lottery System in Beijing. Master’s Thesis, Beijing University of Chemical Technology, Beijing, China, 2016. [Google Scholar]
- Wang, S.; Zhao, J. The distributional effects of lotteries and auctions—License plate regulations in Guangzhou. Transp. Res. Part A Policy Pract. 2017, 106, 473–483. [Google Scholar] [CrossRef]
- Sandel, M.J. Macmillan Justice: What’s the Right Thing to Do? Farrar, Straus and Giroux: New York, NY, USA, 2009. [Google Scholar]
- Ma, J. Research on the Restriction Policy of Cars and Its Impact on Consumers-Taking Tianjin as an Example. Master’s Thesis, Tianjin University of Commerce, Tianjin, China, 2016. [Google Scholar]
- Tao, L.; Wenyin, Y.; Lei, W.; Hai, Y. Ladder Probability Rule Optimization of License-plate Lottery in Beijing. J. Transp. Syst. Eng. Inf. Technol. 2019, 19, 227–232. [Google Scholar]
- Li, Z.; Wu, Q.; Yang, H. A theory of auto ownership rationing. Transp. Res. Part. B Methodol. 2019, 127, 125–146. [Google Scholar] [CrossRef]
- Zhuge, C.; Wei, B.; Shao, C.; Shan, Y.; Dong, C. The role of the license plate lottery policy in the adoption of Electric Vehicles: A case study of Beijing. Energy Policy 2020, 139, 111328. [Google Scholar] [CrossRef]
- Yang, J.; Liu, A.A.; Qin, P.; Linn, J. The effect of vehicle ownership restrictions on travel behavior: Evidence from the Beijing license plate lottery. J. Environ. Econ. Manag. 2020, 99, 102269. [Google Scholar] [CrossRef]
- Yang, J.; Liu, A.; Qin, P.; Linn, J. The Effect of Owning a Car on Travel Behavior: Evidence from the Beijing License Plate Lottery; Resources for the Future Discussion Paper 16–18. 2016. Available online: https://ssrn.com/abstract=2789824 (accessed on 29 November 2021).
- Zhang, X.; Bai, X.; Zhong, H. Electric vehicle adoption in license plate-controlled big cities: Evidence from Beijing. J. Clean. Prod. 2018, 20, 191–196. [Google Scholar] [CrossRef]
- Lars, E.; Olsson, J.H.A.M. Intention for Car Use Reduction: Applying a Stage-Based Model. Int. J. Environ. Res. Public Health 2018, 15, 216. [Google Scholar]
- Wang, S.; Fan, J.; Zhao, D.; Yang, S.; Fu, Y. Predicting consumers’ intention to adopt hybrid electric vehicles: Using an extended version of the theory of planned behavior model. Transportation 2016, 43, 123–143. [Google Scholar] [CrossRef]
- Peng, J.; Jing, Z.; Hongli, X.; Junting, Z. Travelers’ Choice Behavior of Car Sharing Based on Hybrid Choice Model. J. Transp. Syst. Eng. Inf. Technol. 2017, 17, 7–13. [Google Scholar]
- Jing, P.; Wang, J.; Chen, L.; Zha, Q. Incorporating the extended theory of planned behavior in a school travel mode choice model: A case study of Shaoxing, China. Transp. Plan. Technol. 2018, 41, 119–137. [Google Scholar] [CrossRef]
- Haustein, S.; Jensen, A.F. Factors of electric vehicle adoption: A comparison of conventional and electric car users based on an extended theory of planned behavior. Int. J. Sustain. Transp. 2018, 12, 484–496. [Google Scholar] [CrossRef] [Green Version]
- Ortiz-Peregrina, S.; Oviedo-Trespalacios, O.; Ortiz, C.; Casares-López, M.; Salas, C.; Anera, R.G. Factors determining speed management during distracted driving (WhatsApp messaging). Sci. Rep. 2020, 10, 159. [Google Scholar]
- Hou, M.; Cheng, J.; Xiao, F.; Wang, C. Distracted Behavior of Pedestrians While Crossing Street: A Case Study in China. Int. J. Environ. Res. Public Health 2021, 18, 353. [Google Scholar] [CrossRef]
- Wang, H.; Mangmeechai, A. Understanding the Gap between Environmental Intention and Pro-Environmental Behavior towards the Waste Sorting and Management Policy of China. Int. J. Environ. Res. Public Health 2021, 18, 757. [Google Scholar] [CrossRef] [PubMed]
- Ajzen, I. The theory of planned behavior. Organ. Behav. Hum. Dec. 1991, 50, 179–211. [Google Scholar] [CrossRef]
- Haustein, S.; Huneke, M. Reduced Use of Environmentally Friendly Modes of Transportation Caused by Perceived Mobility Necessities: An Extension of the Theory of Planned Behavior1. J. Appl. Soc. Psychol. 2007, 37, 1856–1883. [Google Scholar] [CrossRef]
- Marcel Huneckea, S.H.S.G. Psychological, sociodemographic, and infrastructural factors as determinants of the ecological impact caused by mobility behavior. J. Environ. Psychol. 2007, 27, 277–292. [Google Scholar] [CrossRef]
- Marcel Hunecke, S.H.R.B. Attitude-Based Target Groups to Reduce the Ecological Impact of Daily Mobility Behavior. Environ. Behav. 2010, 42, 3–43. [Google Scholar] [CrossRef] [Green Version]
- Thorhauge, M.; Haustein, S.; Cherchi, E. Accounting for the Theory of Planned Behaviour in departure time choice. Transp. Res. Part. F Traffic Psychol. Behav. 2016, 38, 94–105. [Google Scholar] [CrossRef] [Green Version]
- Enste, D.; Schneider, F.; Enste, D. Shadow Economies around the World-Size, Causes, and Consequences; International Monetary Fund: Washington, DC, USA, 2000. [Google Scholar]
- Allen, J.; Muñoz, J.C.; Ortúzar, J.D.D. Modeling service-specific and global transit satisfaction under travel and user heterogeneity. Transp. Res. Part. A Policy Pract. 2018, 113, 509–528. [Google Scholar] [CrossRef]
- Sun, H.; Jing, P.; Zhao, M.; Chen, Y.; Zhan, F.; Shi, Y. Research on the Mode Choice Intention of the Elderly for Autonomous Vehicles Based on the Extended Ecological Model. Sustainability 2020, 12, 10661. [Google Scholar] [CrossRef]
- Wu, M. Statistical Analysis of Questionnaires in Practice-SPSS Operation and Application; Chongqing University Press: Chongqing, China, 2010. [Google Scholar]
- Wu, M. Structural Equation Model-Operation and Application of AMOS; Chongqing University Press: Chongqing, China, 2010. [Google Scholar]
- Darren George, P.M. SPSS for Windows Step by Step: A Simple Guide and Reference; ERIC: Cambridge, MA, USA, 1999. [Google Scholar]
- Ma, F.; Guo, D.; Yuen, K.F.; Sun, Q.; Ren, F.; Xu, X.; Zhao, C. The Influence of Continuous Improvement of Public Car-Sharing Platforms on Passenger Loyalty: A Mediation and Moderation Analysis. Int. J. Environ. Res. Public Health 2020, 17, 2756. [Google Scholar] [CrossRef] [Green Version]
- Peng, J.; Zhicai, J.; Qi-fen, Z. Application of the Expanded Theory of Planned Behavior in Intercity Travel Behavior Based on MIMIC Model. J. Ind. Eng. Eng. Manag. 2016, 30, 61–68. [Google Scholar]
- Cai, S.; Long, X.; Li, L.; Liang, H.; Wang, Q.; Ding, X. Determinants of intention and behavior of low carbon commuting through bicycle-sharing in China. J. Clean Prod. 2019, 212, 602–609. [Google Scholar] [CrossRef]
- Jianhong, Y.; Xiaohong, C.; Hua, Z. Reducing the Reliance on Automobiles: Portland Multi-modal Transportation System Development. Urban. Transp. China 2013, 11, 10–17. [Google Scholar]



| Latent Variable | Measurement Variable | Variable Description |
|---|---|---|
| Perceived Car Necessity (PCN) | PCN1 | Holiday driving demand |
| PCN2 | The demand for driving when taking children to and from school | |
| PCN3 | Demand for commuting by private vehicle | |
| PCN4 | Other driving demand | |
| Car Ownership Attitude (ATT) | ATT1 | Owning a car can improve the flexibility of travel. |
| ATT2 | Owning a car can improve the comfort of travel. | |
| ATT3 | Owning a car can improve the convenience of travel. | |
| ATT4 | Owning a car can improve the safety of travel. | |
| ATT5 | Owning a car can improve the quality of life. | |
| Subjective Norm (SN) | SN1 | Influenced by friends/colleagues/classmates |
| SN2 | Influenced by relevant news or social media | |
| SN3 | Other people who participate in the lottery will affect your participation | |
| SN4 | Influenced by family | |
| Perceptual Behavior Control (PBC) | PBC1 | Participate in the lottery with a “try and see” mentality out of opportunism |
| PBC2 | The degree of difficulty of successfully applying for the license plate (winning rate) | |
| PBC3 | You can participate in the lottery at no cost | |
| PBC4 | The license plates can be leased and sold at a profit, and the results of the application for license plates are equivalent to invisible property | |
| Intention to Participate in Lottery Behavior (BI) | BI1 | I have a strong desire to participate in the lottery |
| BI2 | I would like to encourage people around me to participate in the lottery | |
| BI3 | Even if I have a car, I will still participate in the lottery |
| Variables | Percentage | Variables | Percentage | ||
|---|---|---|---|---|---|
| Age | 18–25 years old | 26.51% | Gender | Male | 58.14% |
| 26–30 years old | 27.67% | Famale | 41.86% | ||
| 31–40 years old | 25.81% | The number of household members who need to commute by car | 0 | 19.77% | |
| 41–50 years old | 16.51% | 1 | 38.6% | ||
| 51–60 years old | 3.26% | 2 | 30.23% | ||
| Older than 60 years old | 0.23% | 3 | 7.91% | ||
| Occupation | Staff in governmentor or public institution | 33.02% | 4 | 1.86% | |
| Professional and technical personnel such as lawyers/doctors/teachers/engineers | 15.12% | ≥5 | 1.63% | ||
| Private/self-employed | 3.26% | The number of household members who are eligible for participating in the lottery | 0 | 25.35% | |
| Corporate Staff | 20.93% | 1 | 37.21% | ||
| Freelance | 4.65% | 2 | 29.53% | ||
| Retired | 0.47% | 3 | 6.05% | ||
| Full-time student | 13.72% | ≥4 | 1.86% | ||
| other | 8.84% | Famliy annual income (CNY) | ≤50,000 | 21.63% | |
| Education level | Senior high school and under | 7.91% | 50,000–100,000 | 32.56% | |
| Technical secondary school/junior college | 24.88% | 100,000–200,000 | 25.12% | ||
| University | 36.98% | 200,000–300,000 | 10.47% | ||
| Master degree or above | 30.23% | 300,000–500,000 | 6.74% | ||
| Number of household members | 1 | 10.7% | 500,000–1,000,000 | 2.09% | |
| 2 | 17.44% | ≥1,000,000 | 1.4% | ||
| 3 | 34.65% | The main mode of transportation for daily travel | Private car | 38.84% | |
| 4 | 23.72% | Public transportation (subway, bus) | 31.16% | ||
| ≥5 | 13.49% | Walking/cycling | 21.4% | ||
| Number of Vehicles in the household | 0 | 29.77% | Taxi/online car-hailing | 5.58% | |
| 1 | 49.53% | other | 3.02% | ||
| 2 | 18.14% | ||||
| ≥3 | 2.56% | ||||
| Variables | Items | Loadings | Cronbach’s Alpha | AVE |
|---|---|---|---|---|
| PCN | PCN1 | 0.731 | 0.889 | 0.644 |
| PCN2 | 0.807 | |||
| PCN3 | 0.780 | |||
| PCN4 | 0.711 | |||
| ATT | ATT1 | 0.827 | 0.914 | 0.691 |
| ATT2 | 0.859 | |||
| ATT3 | 0.864 | |||
| ATT4 | 0.649 | |||
| ATT5 | 0.713 | |||
| SN | SN1 | 0.790 | 0.884 | 0.680 |
| SN2 | 0.803 | |||
| SN3 | 0.843 | |||
| SN4 | 0.565 | |||
| PBC | PBC1 | 0.866 | 0.946 | 0.612 |
| PBC2 | 0.856 | |||
| PBC3 | 0.890 | |||
| PBC4 | 0.870 | |||
| BI | BI1 | 0.673 | 0.825 | 0.612 |
| BI2 | 0.717 | |||
| BI3 | 0.653 |
| Kaiser-Meyer-Olkin Value | 0.905 | |
|---|---|---|
| Bartlett’s Sphericity Test | Approximate chi-square | 7007.652 |
| Df | 190 | |
| Sig. | 0.000 | |
| Item | Rotated Component Matrix | ||||
|---|---|---|---|---|---|
| ATT | PBC | SN | PCN | BI | |
| ATT1 | 0.866 | ||||
| ATT2 | 0.852 | ||||
| ATT3 | 0.898 | ||||
| ATT4 | 0.711 | ||||
| ATT5 | 0.613 | ||||
| PBC1 | 0.901 | ||||
| PBC2 | 0.894 | ||||
| PBC3 | 0.924 | ||||
| PBC4 | 0.920 | ||||
| SN1 | 0.879 | ||||
| SN2 | 0.866 | ||||
| SN3 | 0.898 | ||||
| SN4 | 0.609 | ||||
| PCN1 | 0.813 | ||||
| PCN2 | 0.750 | ||||
| PCN3 | 0.738 | ||||
| PCN4 | 0.662 | ||||
| BI1 | 0.791 | ||||
| BI2 | 0.702 | ||||
| BI3 | 0.691 | ||||
| Evaluation Index | Test Results | Fit Criteria |
|---|---|---|
| Chi-Square/degrees of freedom () | 3.155 | 1–5 |
| Goodness of fit index (GFI) | 0.891 | >0.80 |
| Adjusted goodness of fit index (AGFI) | 0.855 | >0.80 |
| Root mean square residual (RMR) | 0.066 | <0.08 |
| Root mean square error of approximate (RMSEA) | 0.071 | <0.08 |
| Normed fit index (NFI) | 0.924 | >0.80 |
| Incremental fit index (IFI) | 0.947 | >0.80 |
| Comparative fit index (CFI) | 0.936 | >0.80 |
| Items | ATT | SN | PBC | PCN | BI |
|---|---|---|---|---|---|
| Age | −0.118 * | −0.142 ** | −0.022 | 0.191 ** | −0.061 |
| Education level | 0.095 | 0.046 | 0.013 | 0.062 | −0.205 ** |
| The number of people in a household who need to commute by car | 0.041 | 0.035 | 0.228 | 0.067 | 0.158 * |
| The number of people in a household who are eligible for participating in the lottery | −0.03 | −0.086 | 0.19 ** | −0.011 | 0.067 |
| The number of family members in a household participating in the lottery | 0.174 | 0.025 | 0.157 ** | 0.086 | −0.061 |
| Time spent participating in the lottery | −0.092 | 0.019 | 0.075 *** | 0.024 | 0.105 |
| Household annual income | 0.183 *** | −0.059 | 0.076 | 0.091 | 0.085 |
| Vehicle ownership in a household | −0.171 ** | 0.004 | 0.068 | −0.086 | 0.077 |
| Path | Estimate | Standard Deviation | Critical Ratio | p |
|---|---|---|---|---|
| ATT → ATT1 | 0.849 | 0.071 | 16.480 | *** |
| ATT → ATT2 | 0.93 | 0.070 | 17.920 | *** |
| ATT → ATT3 | 0.927 | 0.070 | 17.763 | *** |
| ATT → ATT4 | 0.693 | — | — | — |
| ATT → ATT5 | 0.727 | 0.070 | 14.247 | *** |
| SN → SN1 | 0.849 | 0.105 | 14.056 | *** |
| SN → SN2 | 0.889 | 0.107 | 13.738 | *** |
| SN → SN3 | 0.922 | 0.109 | 14.056 | *** |
| SN → SN4 | 0.599 | — | — | — |
| PBC → PBC1 | 0.869 | 0.036 | 27.224 | *** |
| PBC → PBC2 | 0.857 | 0.039 | 26.450 | *** |
| PBC → PBC3 | 0.943 | 0.031 | 33.599 | *** |
| PBC → PBC4 | 0.916 | — | — | — |
| PCN → PCN1 | 0.698 | 0.061 | 15.377 | *** |
| PCN → PCN2 | 0.775 | 0.057 | 17.832 | *** |
| PCN → PCN3 | 0.886 | 0.049 | 22.040 | *** |
| PCN → PCN4 | 0.838 | — | — | — |
| BI → BI1 | 0.812 | — | — | — |
| BI → BI2 | 0.79 | 0.061 | 17.832 | *** |
| BI → BI3 | 0.744 | 0.063 | 15.377 | *** |
Publisher’s Note: MDPI stays neutral with regard to jurisdictional claims in published maps and institutional affiliations. |
© 2021 by the authors. Licensee MDPI, Basel, Switzerland. This article is an open access article distributed under the terms and conditions of the Creative Commons Attribution (CC BY) license (https://creativecommons.org/licenses/by/4.0/).
Share and Cite
Zhu, J.; Guan, H.; Hao, M.; Qin, Z.; Wang, A. “License Plate Lottery”: Why Are People So Keen to Participate in It? Sustainability 2021, 13, 13411. https://doi.org/10.3390/su132313411
Zhu J, Guan H, Hao M, Qin Z, Wang A. “License Plate Lottery”: Why Are People So Keen to Participate in It? Sustainability. 2021; 13(23):13411. https://doi.org/10.3390/su132313411
Chicago/Turabian StyleZhu, Junze, Hongzhi Guan, Mingyang Hao, Zhengtao Qin, and Ange Wang. 2021. "“License Plate Lottery”: Why Are People So Keen to Participate in It?" Sustainability 13, no. 23: 13411. https://doi.org/10.3390/su132313411
APA StyleZhu, J., Guan, H., Hao, M., Qin, Z., & Wang, A. (2021). “License Plate Lottery”: Why Are People So Keen to Participate in It? Sustainability, 13(23), 13411. https://doi.org/10.3390/su132313411

