Mapping the Potential Global Distribution of Red Imported Fire Ant (Solenopsis invicta Buren) Based on a Machine Learning Method
Abstract
1. Introduction
2. Materials and Methods
2.1. Data
2.1.1. Environmental Variables
2.1.2. Presence Data
2.1.3. Pseudo-Absence Data
2.2. Boosted Regression Tree Model
3. Results
3.1. Accuracy Evaluation
3.2. Potential Risk of S. Invicta Invasion
3.3. Relative Contribution of Environmental Factors
4. Discussion
5. Conclusions
Supplementary Materials
Author Contributions
Funding
Acknowledgments
Conflicts of Interest
References
- Pejchar, L.; Mooney, H.A. Invasive species, ecosystem services and human well-being. Trends Ecol. Evol. 2009, 24, 497–504. [Google Scholar] [CrossRef] [PubMed]
- Mooney, H.A.; Cleland, E.E. The evolutionary impact of invasive species. Proc. Natl. Acad. Sci. USA 2001, 98, 5446–5451. [Google Scholar] [CrossRef] [PubMed]
- Lowe, S.; Browne, M.; Boudjelas, S.; de Poorter, M. 100 of the World’s Worst Invasive Alien Species: A Selection from the Global Invasive Species Database; Invasive Species Specialist Group: Auckland, New Zealand, 2000; Volume 12. [Google Scholar]
- Adams, C.; Banks, W.; Lofgren, C.; Smittle, B.; Harlan, D. Impact of the red imported fire ant, Solenopsis invicta (Hymenoptera: Formicidae), on the growth and yield of soybeans. J. Econ. Entomol. 1983, 76, 1129–1132. [Google Scholar] [CrossRef]
- Allen, C.R.; Epperson, D.; Garmestani, A. Red imported fire ant impacts on wildlife: A decade of research. Am. Midl. Nat. 2004, 152, 88–104. [Google Scholar] [CrossRef]
- Gutrich, J.J.; VanGelder, E.; Loope, L. Potential economic impact of introduction and spread of the red imported fire ant, Solenopsis invicta, in Hawaii. Environ. Sci. Policy 2007, 10, 685–696. [Google Scholar] [CrossRef]
- Jemal, A.; Hugh-Jones, M. A review of the red imported fire ant (Solenopsis invicta Buren) and its impacts on plant, animal, and human health. Prev. Vet. Med. 1993, 17, 19–32. [Google Scholar] [CrossRef]
- Vinson, S.B. Impact of the invasion of the imported fire ant. Insect Sci. 2013, 20, 439–455. [Google Scholar] [CrossRef]
- Wojcik, D.P.; Allen, C.R.; Brenner, R.J.; Forys, E.A.; Jouvenaz, D.P.; Lutz, R.S. Red Imported Fire Ants: Impact On Biodiversity. Am. Entomol. 2001, 47, 16–23. [Google Scholar] [CrossRef]
- Callcott, A.-M.A.; Collins, H.L. Invasion and range expansion of imported fire ants (Hymenoptera: Formicidae) in North America from 1918–1995. Fla. Entomol. 1996, 79, 240–251. [Google Scholar] [CrossRef]
- Vinson, S.B. Invasion of the red imported fire ant (Hymenoptera: Formicidae): Spread, biology, and impact. Am. Entomol. 1997, 43, 23–39. [Google Scholar] [CrossRef]
- Davis, L.R., Jr.; van der Meer, R.K.; Porter, S.D. Red imported fire ants expand their range across the West Indies. Fla. Entomol. 2001, 84, 735. [Google Scholar] [CrossRef]
- Sung, S.; Kwon, Y.S.; Lee, D.K.; Cho, Y. Predicting the potential distribution of an invasive species, Solenopsis invicta Buren (Hymenoptera: Formicidae), under climate change using species distribution models. Entomol. Res. 2018, 48, 505–513. [Google Scholar] [CrossRef]
- Sutherst, R.W.; Maywald, G. A climate model of the red imported fire ant, Solenopsis invicta Buren (Hymenoptera: Formicidae): Implications for invasion of new regions, particularly Oceania. Environ. Entomol. 2005, 34, 317–335. [Google Scholar] [CrossRef]
- Zeng, L.; Lu, Y.; He, X.; Zhang, W.; Liang, G. Identification of red imported fire ant Solenopsis invicta to invade mainland China and infestation in Wuchuan, Guangdong. Entomol. Knowl. 2005, 42, 144–148. [Google Scholar]
- Zhang, R.; Li, Y.; Liu, N.; Porter, S.D. An overview of the red imported fire ant (Hymenoptera: Formicidae) in mainland China. Fla. Entomol. 2007, 90, 723–732. [Google Scholar] [CrossRef]
- Williams, D.F.; Collins, H.L.; Oi, D.H. The red imported fire ant (Hymenoptera: Formicidae): An historical perspective of treatment programs and the development of chemical baits for control. Am. Entomol. 2001, 47, 146–159. [Google Scholar] [CrossRef]
- Ross, K.G.; Shoemaker, D.D. Estimation of the number of founders of an invasive pest insect population: The fire ant Solenopsis invicta in the USA. Proc. R. Soc. B Biol. Sci. 2008, 275, 2231–2240. [Google Scholar] [CrossRef]
- Killion, M.J.; Grant, W.E. A colony-growth model for the imported fire ant—Potential geographic range of an invading species. Ecol. Model. 1995, 77, 73–84. [Google Scholar] [CrossRef]
- Korzukhin, M.D.; Porter, S.D.; Thompson, L.C.; Wiley, S. Modeling temperature-dependent range limits for the fire ant Solenopsis invicta (Hymenoptera: Formicidae) in the United States. Environ. Entomol. 2001, 30, 645–655. [Google Scholar] [CrossRef]
- Morrison, L.W.; Porter, S.D.; Daniels, E.; Korzukhin, M.D. Potential global range expansion of the invasive fire ant, Solenopsis invicta. Biol. Invasions 2004, 6, 183–191. [Google Scholar] [CrossRef]
- Ward, D.F. Modelling the potential geographic distribution of invasive ant species in New Zealand. Biol. Invasions 2007, 9, 723–735. [Google Scholar] [CrossRef]
- Ulrichs, C.; Hopper, K.R. Predicting insect distributions from climate and habitat data. Biocontrol 2008, 53, 881–894. [Google Scholar] [CrossRef]
- Wang, H.J.; Wang, H.; Tao, Z.X.; Ge, Q.S. Potential range expansion of the red imported fire ant (Solenopsis invicta) in China under climate change. J. Geogr. Sci. 2018, 28, 1965–1974. [Google Scholar]
- Brown, J.H.; Sax, D.F. An essay on some topics concerning invasive species. Austral. Ecol. 2004, 29, 530–536. [Google Scholar] [CrossRef]
- Crowl, T.A.; Crist, T.O.; Parmenter, R.R.; Belovsky, G.; Lugo, A.E. The spread of invasive species and infectious disease as drivers of ecosystem change. Front. Ecol. Environ. 2008, 6, 238–246. [Google Scholar] [CrossRef]
- Di Marco, M.; Santini, L. Human pressures predict species’ geographic range size better than biological traits. Glob. Change Biol. 2015, 21, 2169–2178. [Google Scholar] [CrossRef]
- Roura-Pascual, N.; Hui, C.; Ikeda, T.; Leday, G.; Richardson, D.M.; Carpintero, S.; Espadaler, X.; Gómez, C.; Guénard, B.; Hartley, S. Relative roles of climatic suitability and anthropogenic influence in determining the pattern of spread in a global invader. Proc. Natl. Acad. Sci. USA 2011, 108, 220–225. [Google Scholar] [CrossRef]
- Gallardo, B.; Zieritz, A.; Aldridge, D.C. The importance of the human footprint in shaping the global distribution of terrestrial, freshwater and marine invaders. PLoS ONE 2015, 10, e0125801. [Google Scholar] [CrossRef]
- Rosson, J.L. Abiotic and Biotic Factors Affecting The Distribution of Solenopsis invicta Buren, Brachymyrmex sp., and Linepithema humile (Mayr) in East Baton Rouge Parish, Louisiana. Master Thesis, Lousiana State University, Baton Rouge, LA, USA, 2004. [Google Scholar]
- King, J.R.; Tschinkel, W.R. Experimental evidence that human impacts drive fire ant invasions and ecological change. Proc. Natl. Acad. Sci. USA 2008, 105, 20339–20343. [Google Scholar] [CrossRef]
- Bertelsmeier, C.; Luque, G.M.; Hoffmann, B.D.; Courchamp, F. Worldwide ant invasions under climate change. Biodivers. Conserv. 2015, 24, 117–128. [Google Scholar] [CrossRef]
- Suarez, A.V.; Holway, D.A.; Case, T.J. Patterns of spread in biological invasions dominated by long-distance jump dispersal: Insights from Argentine ants. Proc. Natl. Acad. Sci. USA 2001, 98, 1095–1100. [Google Scholar] [CrossRef]
- Gippet, J.M.W.; Liebhold, A.M.; Fenn-Moltu, G.; Bertelsmeier, C. Human-mediated dispersal in insects. Curr. Opin. Insect Sci. 2019, 35, 96–102. [Google Scholar] [CrossRef]
- Morrill, W.L. Dispersal of red imported fire ants by water. Fla. Entomol. 1974, 57, 39–42. [Google Scholar] [CrossRef]
- Zhao, J.; Zhong, P.S.; Huang, T.; Zhang, S.S. Impact of precipitation on behavior of Solenopsis invicta Buren colony. Chin. J. Vector Biol. Control 2009, 19, 234–236. [Google Scholar]
- Morrill, W.L. Overwinter survival of the red imported fire ant in central Georgia. Environ. Entomol. 1977, 6, 50–52. [Google Scholar] [CrossRef]
- Quarles, A.; Kostecke, R.M.; Phillips, S.A. Supercooling of the red imported fire ant (Hymenoptera: Formicidae) on a latitudinal temperature gradient in Texas. Southwest. Nat. 2005, 50, 302–307. [Google Scholar] [CrossRef]
- Vogt, J.T.; Smith, W.A.; Grantham, R.A.; Wright, R.E. Effects of temperature and season on foraging activity of red imported fire ants (Hymenoptera: Formicidae) in Oklahoma. Environ. Entomol. 2003, 32, 447–451. [Google Scholar] [CrossRef]
- Drees, B.M.; Summerlin, B.; Vinson, S.B. Foraging activity and temperature relationship for the red imported fire ant. Southwest. Entomol. 2007, 32, 149–155. [Google Scholar] [CrossRef]
- Potts, L.; Francke, O.; Cokendolpher, J. Humidity preferences of four species of fire ants (Hymenoptera: Formicidae: Solenopsis). Insectes Sociaux 1984, 31, 335–340. [Google Scholar] [CrossRef]
- Tschinkel, W.R. The fire ant (Solenopsis invicta): Still unvanquished. In Biological Pollution: The Control and Impact of Invasive Exotic Species; Indiana Academy of Science: Indianapolis, IN, USA, 1993; pp. 121–136. [Google Scholar]
- Vogt, J.T.; Wallet, B.; Coy, S. Dynamic thermal structure of imported fire ant mounds. J. Insect Sci. 2008, 8, 31. [Google Scholar] [CrossRef]
- G-Econ 4.0 Dataset of Yale University. Available online: https://gecon.yale.edu/ (accessed on 15 December 2019).
- Gippet, J.M.; Mondy, N.; Diallo-Dudek, J.; Bellec, A.; Dumet, A.; Mistler, L.; Kaufmann, B. I’m not like everybody else: Urbanization factors shaping spatial distribution of native and invasive ants are species-specific. Urban Ecosyst. 2017, 20, 157–169. [Google Scholar] [CrossRef]
- Human, K.G.; Weiss, S.; Weiss, A.; Sandler, B.; Gordon, D.M. Effects of abiotic factors on the distribution and activity of the invasive Argentine ant (Hymenoptera: Formicidae). Environ. Entomol. 1998, 27, 822–833. [Google Scholar] [CrossRef]
- Buczkowski, G.; Richmond, D.S. The effect of urbanization on ant abundance and diversity: A temporal examination of factors affecting biodiversity. PLoS ONE 2012, 7, e41729. [Google Scholar] [CrossRef] [PubMed]
- CliMond Climate Data. Available online: https://www.climond.org/ClimateData.aspx (accessed on 15 December 2019).
- SRTM 90 m DEM Digital Elevation Database. Available online: http://srtm.csi.cgiar.org/ (accessed on 15 December 2019).
- Global Inventory Modeling and Mapping Studies. Available online: http://iridl.ldeo.columbia.edu/SOURCES/.UMD/.GLCF/.GIMMS/.NDVIg/.global/.dataset_documentation.html (accessed on 15 December 2019).
- The Global Land Cover-SHARE (GLC-SHARE). Available online: http://www.fao.org/land-water/land/land-governance/land-resources-planning-toolbox/category/details/en/c/1036355/ (accessed on 15 December 2019).
- Travel Time to Major Cities: A Global Map of Accessibility. Available online: https://forobs.jrc.ec.europa.eu/products/gam/index.php (accessed on 15 December 2019).
- Gridded Population of the World (GPW), v4. Available online: https://sedac.ciesin.columbia.edu/data/collection/gpw-v4 (accessed on 15 December 2019).
- The Nighttime Lights of the World Data Set. Available online: https://sos.noaa.gov/datasets/nighttime-lights/ (accessed on 15 December 2019).
- Solenopsis invicta Buren, 1972 in GBIF Secretariat. 2019. Available online: https://www.gbif.org/species/5035230 (accessed on 15 December 2019).
- AntWeb. Available online: https://www.antweb.org/ (accessed on 15 December 2019).
- CABI Invasive Species Compendium. Available online: https://www.cabi.org/isc/datasheet/50569 (accessed on 15 December 2019).
- Wetterer, J.K. Exotic Spread of Solenopsis invicta Buren (Hymenoptera: Formicidae) beyond North America. Sociobiology 2013, 60, 50–55. [Google Scholar] [CrossRef]
- List of Administrative Areas for The Distribution of Agricultural Plant Quarantine Pests in China. 2019. Available online: http://www.gov.cn/zhengce/zhengceku/2019-10/19/content_5442299.htm (accessed on 15 December 2019).
- Barbet-Massin, M.; Jiguet, F.; Albert, C.H.; Thuiller, W. Selecting pseudo-absences for species distribution models: How, where and how many? Methods Ecol. Evol. 2012, 3, 327–338. [Google Scholar] [CrossRef]
- Elith, J.; Graham, C.H.; Anderson, R.P.; Dudík, M.; Ferrier, S.; Guisan, A.; Hijmans, R.J.; Huettmann, F.; Leathwick, J.R.; Lehmann, A. Novel methods improve prediction of species’ distributions from occurrence data. Ecography 2006, 29, 129–151. [Google Scholar] [CrossRef]
- Leathwick, J.; Elith, J.; Francis, M.; Hastie, T.; Taylor, P. Variation in demersal fish species richness in the oceans surrounding New Zealand: An analysis using boosted regression trees. Mar. Ecol. Prog. Ser. 2006, 321, 267–281. [Google Scholar] [CrossRef]
- Buston, P.M.; Elith, J. Determinants of reproductive success in dominant pairs of clownfish: A boosted regression tree analysis. J. Anim. Ecol. 2011, 80, 528–538. [Google Scholar] [CrossRef]
- Compton, T.J.; Morrison, M.A.; Leathwick, J.R.; Carbines, G.D. Ontogenetic habitat associations of a demersal fish species, Pagrus auratus, identified using boosted regression trees. Mar. Ecol. Prog. Ser. 2012, 462, 219–230. [Google Scholar] [CrossRef]
- Elith, J.; Leathwick, J. Boosted Regression Trees for Ecological Modeling. R Documentation. 2017. Available online: https://cran.r-project.org/web/packages/dismo/vignettes/brt.pdf (accessed on 12 June 2011).
- Elith, J.; Leathwick, J.R.; Hastie, T. A working guide to boosted regression trees. J. Anim. Ecol. 2008, 77, 802–813. [Google Scholar] [CrossRef]
- R Core Team. R: A Language and Environment for Statistical Computing; R Core Team: Vienna, Austria, 2013. [Google Scholar]
- Hijmans, R.J.; Phillips, S.; Leathwick, J.; Elith, J. Dismo: Species Distribution Modeling, R Package Version 1.1–4; R Core Team: Vienna, Austria, 2017; Volume 1. [Google Scholar]
- Kuhn, M. Caret: Classification and Regression Training. ASCL 2015, ascl: 1505.003. Available online: https://ascl.net/1505.003 (accessed on 15 December 2019).
- Ridgeway, G.; Southworth, M.H.; RUnit, S. Package ‘gbm’. Viitattu 2013, 10, 40. [Google Scholar]
- Peterson, A.; Nakazawa, Y. Environmental data sets matter in ecological niche modelling: An example with Solenopsis invicta and Solenopsis richteri. Glob. Ecol. Biogeogr. 2008, 17, 135–144. [Google Scholar] [CrossRef]
- Porter, S.D.; Tschinkel, W.R. Foraging in Solenopsis invicta (Hymenoptera: Formicidae): Effects of weather and season. Environ. Entomol. 1987, 16, 802–808. [Google Scholar] [CrossRef]
- Ness, J.; Bronstein, J.L. The effects of invasive ants on prospective ant mutualists. Biol. Invasions 2004, 6, 445–461. [Google Scholar] [CrossRef]
- Global Ecosystems and Environment Observation and Analysis Annual Report. 2019. Available online: http://www.chinageoss.org/geoarc/2019/ (accessed on 15 December 2019).
- De Blécourt, M.; Gröngröft, A.; Baumann, S.; Eschenbach, A. Losses in soil organic carbon stocks and soil fertility due to deforestation for low-input agriculture in semi-arid southern Africa. J. Arid. Environ. 2019, 165, 88–96. [Google Scholar] [CrossRef]
- Yang, R.; Luo, Y.; Yang, K.; Hong, L.; Zhou, X. Analysis of forest deforestation and its driving factors in myanmar from 1988 to 2017. Sustainability 2019, 11, 3047. [Google Scholar] [CrossRef]
- James, S.S.; Pereira, R.M.; Vail, K.M.; Ownley, B.H. Survival of imported fire ant (Hymenoptera: Formicidae) species subjected to freezing and near-freezing temperatures. Environ. Entomol. 2002, 31, 127–133. [Google Scholar] [CrossRef]
- Xu, Y.-J.; Lu, Y.-Y.; Pan, Z.-P.; Zeng, L.; Liang, G.-W. Heat tolerance of the red imported fire ant, Solenopsis invicta (Hymenoptera: Formicidae) in mainland China. Sociobiology 2009, 54, 115. [Google Scholar]
- Drees, B.M.; Berger, L.A.; Cavazos, R.; Vinson, B.S. Factors affecting sorghum and corn seed predation by foraging red imported fire ants (Hymenoptera: Formicidae). J. Econ. Entomol. 1991, 84, 285–289. [Google Scholar] [CrossRef]
- Milks, M.; Fuxa, J.; Richter, A.; Moser, E. Multivariate analyses of the factors affecting the distribution, abundance and social form of Louisiana fire ants, Solenopsis invicta. Insectes Sociaux 2007, 54, 283–292. [Google Scholar] [CrossRef]
- Whitcomb, W.; Bhatkar, A.; Nickerson, J. Predators of Solenopsis invicta queens prior to successful colony establishment. Environ. Entomol. 1973, 2, 1101–1103. [Google Scholar] [CrossRef]




| Author/Year | Methods | Environmental Variables | Extent | Resolution |
| Killion et al., 1993 [19] | Colony-growth model | Temperature | The United States | - |
| Korzukhin et al., 2001 [20] | Colony-growth model | Temperature, precipitation | The United States | Station |
| Morrison et al., 2004 [21] | Colony-growth model | Temperature, precipitation | Global | Station |
| Sutherst et al., 2005 [14] | CLIMEX | Temperature, moisture | Global | 10′(~340 km2) |
| Ward, 2007 [22] | BIOCLIM, DOMAIN, MAXENT | 19 bioclimatic variables | New Zealand | 30″(~1 km2) |
| Ulrichs et al., 2008 [23] | Stepwise Discriminant function analysis | Relative humidity, temperature, precipitation, landcover type | the United States | 2.5′(~85 km2) |
| Wang et al., 2018 [24] | colony-growth model | Temperature, precipitation | China | 0.1°(~10 km2) |
| Sung et al., 2018 [13] | GLM, GAM, MARS, ANN, CTA, RF | 5 bioclimatic variables | Global | 30″(~1 km2) |
| Category | Predictor Variables | Data Source |
|---|---|---|
| Climatic factors | Maximum temperature | CliMond Climate Data [48] |
| Minimum temperature | ||
| Relative humidity | ||
| Accumulated annual precipitation | ||
| Geographical factors | Distance to ocean | G-Econ 4.0 dataset of Yale University [44] |
| Distance to river | ||
| Distance to lake | ||
| Elevation | Shuttle Radar Topography Mission (SRTM) [49] | |
| Vegetation | Global Inventory Modelling and Mapping Studies (GIMMS) group [50] | |
| Human factors | Land cover | Global Land Cover-SHARE (GLC-SHARE) [51] |
| Urban accessibility | European Commission Joint Research Center [52] | |
| Population density | NASA Socioeconomic Data and Applications Center (SEDAC) [53] | |
| Nighttime light | Earth Observation Group, NOAA [54] |
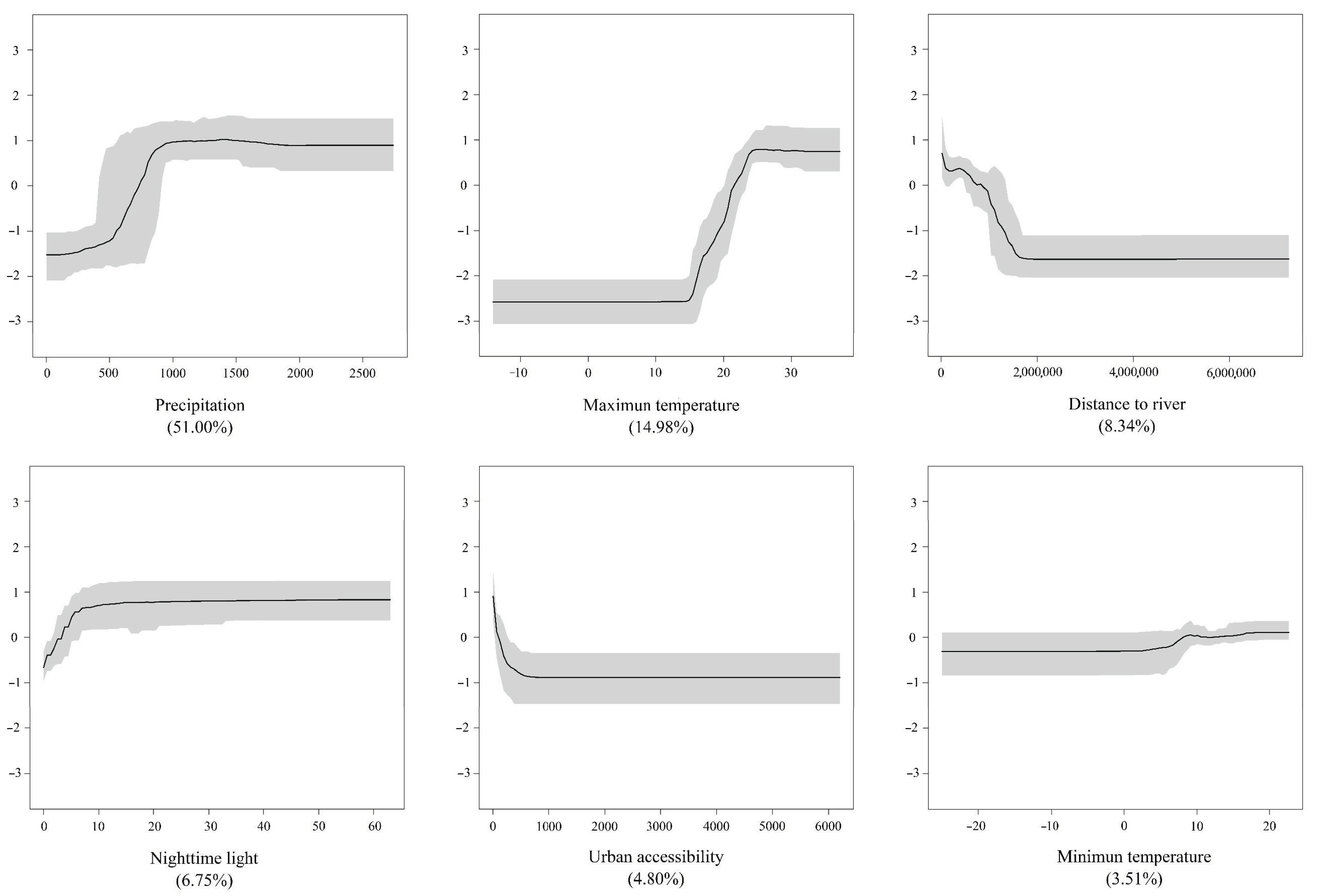
| Mean Relative Importance (%) | Standard Deviation (%) | |
|---|---|---|
| Climatic factors | 71.14% | - |
| Accumulated annual precipitation | 51.00% | 7.21% |
| Maximum temperature | 14.98% | 4.44% |
| Minimum temperature | 3.51% | 1.97% |
| Relative humidity | 1.65% | 0.81% |
| Human factors | 15.55% | - |
| Nighttime light | 6.75% | 3.24% |
| Urban accessibility | 4.80% | 2.22% |
| Land cover | 2.30% | 0.75% |
| Population density | 1.70% | 0.74% |
| Geographical factors | 13.31% | - |
| Distance to river | 8.34% | 2.33% |
| Vegetation | 2.24% | 0.84% |
| Elevation | 1.52% | 0.91% |
| Distance to lake | 0.69% | 0.46% |
| Distance to ocean | 0.52% | 0.29% |
Publisher’s Note: MDPI stays neutral with regard to jurisdictional claims in published maps and institutional affiliations. |
© 2020 by the authors. Licensee MDPI, Basel, Switzerland. This article is an open access article distributed under the terms and conditions of the Creative Commons Attribution (CC BY) license (http://creativecommons.org/licenses/by/4.0/).
Share and Cite
Chen, S.; Ding, F.; Hao, M.; Jiang, D. Mapping the Potential Global Distribution of Red Imported Fire Ant (Solenopsis invicta Buren) Based on a Machine Learning Method. Sustainability 2020, 12, 10182. https://doi.org/10.3390/su122310182
Chen S, Ding F, Hao M, Jiang D. Mapping the Potential Global Distribution of Red Imported Fire Ant (Solenopsis invicta Buren) Based on a Machine Learning Method. Sustainability. 2020; 12(23):10182. https://doi.org/10.3390/su122310182
Chicago/Turabian StyleChen, Shuai, Fangyu Ding, Mengmeng Hao, and Dong Jiang. 2020. "Mapping the Potential Global Distribution of Red Imported Fire Ant (Solenopsis invicta Buren) Based on a Machine Learning Method" Sustainability 12, no. 23: 10182. https://doi.org/10.3390/su122310182
APA StyleChen, S., Ding, F., Hao, M., & Jiang, D. (2020). Mapping the Potential Global Distribution of Red Imported Fire Ant (Solenopsis invicta Buren) Based on a Machine Learning Method. Sustainability, 12(23), 10182. https://doi.org/10.3390/su122310182

