Eco-Physiological Responses of Black Chokeberries as Affected by Applications of Oil Cake
Abstract
1. Introduction
2. Materials and Methods
2.1. Orchard Condition
2.2. Treatments
2.3. Soil and Leaf Mineral Nutrients
2.4. Bush Growth and Light Intensity
2.5. Data Analysis
3. Results and Discussion
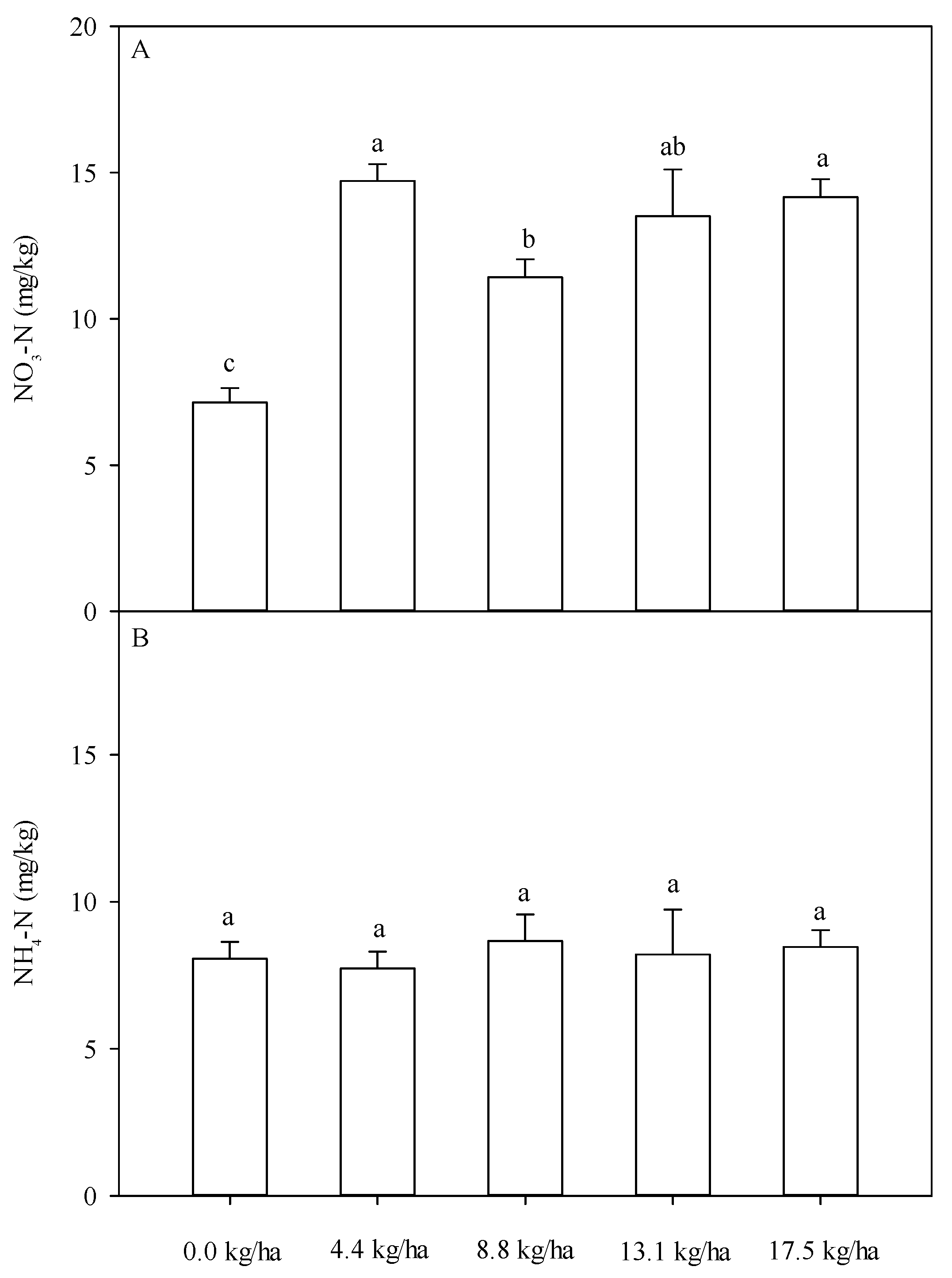
3.1. Soil Mineral Nutrients
3.2. Leaf Mineral Nutrients
3.3. Bush Growth
3.4. Fruit Productivity
4. Conclusions
Funding
Acknowledgments
Conflicts of Interest
References
- Brand, M. Aronia: Native shrubs with untapped potential. Arnoldia 2010, 67, 14–25. [Google Scholar]
- Jeppsson, N. The effects of fertilizer rate on vegetative growth, yield and fruit quality, with special respect to pigments, in black chokeberry (Aronia melanocarpa) cv. ‘Viking’. Sci. Hortic. 2000, 83, 127–137. [Google Scholar] [CrossRef]
- Kawecki, Z.; Tomaszewska, Z. The effect of various soil management techniques on growth and yield in the black chokeberry (Aronia melanocarpa Elliot). J. Fruit Ornam. Plant Res. 2006, 14, 67–73. [Google Scholar]
- Kokotkiewicz, A.; Jaremicz, Z.; Luczkiewicz, M. Aronia plants: A review of traditional use, biological activities, and perspectives for modern medicine. J. Med. Food 2010, 13, 255–269. [Google Scholar] [CrossRef] [PubMed]
- Scott, R.W.; Skirvin, R.M. Black chokeberry (Aronia melanocarpa Michx.): A semi-edible fruit with no pest. J. Am. Pomol. Soc. 2007, 61, 135–137. [Google Scholar]
- Strik, B.; Finn, C.; Wrolstad, R. Performance of chokeberry (Aronia melanocarpa) in Oregon, USA. Acta Hortic. 2003, 626, 447–451. [Google Scholar] [CrossRef]
- Won, J.Y.; Shin, H.S.; Oh, Y.J.; Han, H.D.; Kwon, Y.S.; Kim, D.I. Tree growth and fruit characteristics of ‘Nero’ black chokeberry according to different cultivation regions and altitudes. Korean J. Plant Res. 2018, 31, 136–148. [Google Scholar]
- RDA. Aronia; Rural Development Adminstration: Jeonju, Korea; RDA Press: Suwon, Korea, 2015. [Google Scholar]
- Denev, P.N.; Kratchanov, C.G.; Ciz, M.; Lojek, A.; Kratchanova, M.G. Bioavailability and antioxidant activity of black chokeberry (Aronia melanocarpa) polyphenols: In vitro and in vivo evidences and possible mechanisms of action: A review. Compr. Rev. Food Sci. Food Saf. 2012, 11, 471–489. [Google Scholar] [CrossRef]
- Kulling, S.E.; Rawel, H.M. Chokeberry (Aronia melanocarpa)—A review on the characteristic components and potential health effects. Planta Med. 2008, 74, 1625–1634. [Google Scholar] [CrossRef] [PubMed]
- Luttikholt, L.W.M. Principles of organic agriculture as formulated by the International Federation of Organic Agriculture Movements. Wagen. J. Life Sci. 2007, 54, 347–360. [Google Scholar] [CrossRef]
- Willer, H.; Lernoud, J. The World of Organic Agriculture: Statistics and Emerging Trends 2017, 18th ed.; Research Institute of Organic Agriculture FiBL: Frick, Switzerland; IFOAM—Organics International: Bonn, Germany, 2017. [Google Scholar]
- Bañados, M.P.; Strik, B.C.; Bryla, D.R.; Righetti, L.R. Response of highbush blueberry to nitrogen fertilizer during field establishment, I: Accumulation and allocation of fertilizer nitrogen and biomass. HortScience 2012, 47, 648–655. [Google Scholar] [CrossRef]
- Barker, A.V. Science and Technology of Organic Farming; CRC Press: Boca Raton, FL, USA, 2010. [Google Scholar]
- Bryla, D.R.; Machado, R.M.A. Comparative effects of nitrogen fertigation and granular fertilizer application on growth and availability of soil nitrogen during establishment of highbush blueberry. Front. Plant Sci. 2011, 2, 1–8. [Google Scholar] [CrossRef]
- Huett, D.O. Prospects for manipulating the vegetative-reproductive balance in horticultural crops through nitrogen nutrition: A review. Aust. J. Agric. Res. 1996, 47, 47–66. [Google Scholar] [CrossRef]
- Kwack, Y.B.; Cahe, W.B.; Lee, M.H.; Jeong, H.W.; Rhee, H.C.; Kim, J.G.; Kim, H.L. Effect of nitrogen fertigation on the growth and nutrition uptake of ‘Brightwell’ rabbiteye blueberry. Korean J. Environ. Agric. 2017, 36, 161–168. [Google Scholar] [CrossRef]
- Leitzke, L.N.; Picolotto, L.; Pereira, I.S.; Vignolo, G.K.; Schmitz, J.D.; Vizzotto, M.; Antunes, L.E.C. Nitrogen fertilizer affects the chemical composition of the substrate, the foliar nutrient content, the vegetative growth, the production and fruit quality of blueberry. Cientifica 2015, 43, 316–324. [Google Scholar] [CrossRef]
- Kim, B.S.; Pagay, V.; Cho, K.C.; Na, Y.G.; Yun, B.K.; Choi, K.J.; Jung, S.K.; Choi, H.S. Effect of oil cake application on soil and leaf nutrition and on fruit yields in non-astringent persimmon (Diospyros × kaki Thunb.) trees. J. Hortic. Sci. Biotechnol. 2015, 90, 203–209. [Google Scholar] [CrossRef]
- KMA. Statistical Analysis of Climate; Korea Meteorological Administration: Seoul, Korea, 2018. [Google Scholar]
- KMA. Statistical Analysis of Climate; Korea Meteorological Administration: Seoul, Korea, 2019. [Google Scholar]
- RDA. Agricultural Science and Technology; Rural Development Adminstration: Jeonju, Korea; Sammi Press: Suwon, Korea, 2003. [Google Scholar]
- Havlin, J.L.; Beaton, J.D.; Tisdale, S.L.; Nelson, W.L. Soil Fertility and Fertilizers; Pearson Education, Inc.: Upper Saddle River, NJ, USA, 2004. [Google Scholar]
- Neumann, P.M. Plant Growth and Leaf-Applied Chemicals; CRC Press: Boca Raton, FL, USA, 2017. [Google Scholar]
- RDA. Criteria of Fertilizer Application in Crops; Rural Development Adminstration: Jeonju, Korea; Sammi Press: Suwon, Korea, 2011. [Google Scholar]
- Cheng, L. CO2 assimilation in relation to nitrogen in apple leaves. J. Hortic. Sci. Biotechnol. 2000, 75, 383–387. [Google Scholar] [CrossRef]
- Kim, S.J.; Yu, D.J.; Kim, T.C.; Lee, H.J. Growth and photosynthetic characteristics of blueberry under various (Vaccinium corymbosum cv. Bluecrop) under various shade levels. Sci. Hortic. 2011, 129, 486–492. [Google Scholar] [CrossRef]
- Strong, D.; Azarenko, A.N. Relationship between trunk cross-sectional area, harvest index, total tree dry weight and yield components of ‘Starkspur Supreme Delicious’ apple trees. J. Am. Pomol. Soc. 2000, 54, 22–27. [Google Scholar]
- Palmer, J.W. Changing concepts of efficiency in orchard systems. Acta Hortic. 2011, 903, 41–49. [Google Scholar] [CrossRef]





| Year/Treatment (per ha) | pH (1:5) | EC (dS/m) | OM (mg/kg) | Total T-N (%) | P2O5 (mg/kg) | ExCation (cmolc/kg) | ||
|---|---|---|---|---|---|---|---|---|
| K2O | CaO | MgO | ||||||
| 2018 | ||||||||
| 0.0 kg | 7.8 a | 0.26 a | 12.7 a | 0.13 a | 279.4 b | 0.16 a | 9.4 a | 1.3 a |
| 4.4 kg | 7.6 a | 0.26 a | 10.4 a | 0.12 a | 303.8 ab | 0.13 a | 7.0 b | 1.5 a |
| 8.8 kg | 7.3 b | 0.27 a | 6.7 a | 0.12 a | 342.0 a | 0.14 a | 8.3 ab | 1.5 a |
| 13.1 kg | 7.3 b | 0.26 a | 11.2 a | 0.13 a | 351.1 a | 0.14 a | 7.3 b | 1.4 a |
| 17.5 kg | 7.1 b | 0.26 a | 8.1 a | 0.16 a | 351.1 a | 0.16 a | 7.9 b | 1.3 a |
| 2019 | ||||||||
| 0.0 kg | 7.7 a | 0.23 a | 20.0 a | 0.09 a | 256.5 a | 0.41 a | 4.1 a | 1.2 bc |
| 4.4 kg | 7.4 b | 0.21 a | 22.0 a | 0.10 a | 293.1 a | 0.40 a | 4.1 a | 1.3 ab |
| 8.8 kg | 7.1 c | 0.21 a | 24.3 a | 0.08 a | 323.7 a | 0.27 a | 4.1 a | 1.1 c |
| 13.1 kg | 7.0 c | 0.24 a | 21.8 a | 0.09 a | 300.8 a | 0.31 a | 4.0 a | 1.4 a |
| 17.5 kg | 7.0 c | 0.22 a | 19.9 a | 0.09 a | 316.0 a | 0.39 a | 4.1 a | 1.1 c |
| Desired level | 6.0–7.0 | 0.00–0.20 | 25–35 | – | 400–500 | 0.70–0.80 | 5.0–6.0 | 1.5–2.5 |
| Year/Treatment (per ha) | Nutrient Concentration (%) | ||||
|---|---|---|---|---|---|
| Total N | P | K | Ca | Mg | |
| 2018 | |||||
| 0.0 kg | 1.4 b | 0.40 a | 0.8 a | 2.6 a | 0.9 a |
| 4.4 kg | 1.8 a | 0.20 c | 0.7 a | 2.3 a | 1.1 a |
| 8.8 kg | 1.9 a | 0.30 ab | 0.8 a | 2.4 a | 1.0 a |
| 13.1 kg | 2.1 a | 0.20 bc | 0.9 a | 2.2 a | 0.9 a |
| 17.5 kg | 1.7 a | 0.40 a | 0.9 a | 2.4 a | 1.0 a |
| 2019 | |||||
| 0.0 kg | 2.2 b | 0.04 a | 6.2 a | 2.2 a | 3.2 a |
| 4.4 kg | 2.0 b | 0.04 a | 4.8 ab | 2.1 a | 3.1 a |
| 8.8 kg | 2.3 ab | 0.04 a | 3.1 c | 1.8 a | 2.9 a |
| 13.1 kg | 2.4 ab | 0.04 a | 4.5 bc | 2.0 a | 3.1 a |
| 17.5 kg | 2.6 a | 0.05 a | 4.9 ab | 2.0 a | 3.0 a |
| Desired level | 1.8–2.3 | 0.1–0.4 | 0.4–0.6 | 0.4–0.8 | 0.1–0.3 |
| Year/Treatment (per ha) | Avg. Leaf Dry wt. (g) | Bush ht. (cm) | Cane Diameter (mm) | Canopy Width (cm) | Total Dry wt. (g) | No. of Flowers |
|---|---|---|---|---|---|---|
| 2018 | ||||||
| 0.0 kg | 1.1 b | 90.0 a | 8.0 b | 49.5 a | - | - |
| 4.4 kg | 1.2 b | 95.7 a | 10.2 a | 56.0 a | - | - |
| 8.8 kg | 1.3 b | 88.0 a | 11.0 a | 59.0 a | - | - |
| 13.1 kg | 1.7 a | 93.7 a | 11.0 a | 61.0 a | - | - |
| 17.5 kg | 1.3 b | 100.3 a | 10.0 a | 66.8 a | - | - |
| 2019 | ||||||
| 0.0 kg | 1.2 b | 96.7 a | 10.0 b | 54.3 b | 512 b | 37.0 b |
| 4.4 kg | 2.5 a | 105.0 a | 11.9 ab | 63.7 ab | 1020 ab | 44.3 b |
| 8.8 kg | 2.1 ab | 100.7 a | 12.3 a | 72.8 ab | 1311 a | 80.0 a |
| 13.1 kg | 2.1 ab | 101.3 a | 12.3 a | 75.7 ab | 1306 a | 76.0 a |
| 17.5 kg | 2.4 a | 113.3 a | 11.7 ab | 85.7 a | 1141 ab | 47.0 b |
| No. of Flowers | Total Dry wt. | Fruit Yield | Harvest Index | FNUE | PFN | |
|---|---|---|---|---|---|---|
| Significance | ns | ** | * | * | ** | ns |
© 2020 by the author. Licensee MDPI, Basel, Switzerland. This article is an open access article distributed under the terms and conditions of the Creative Commons Attribution (CC BY) license (http://creativecommons.org/licenses/by/4.0/).
Share and Cite
Choi, H.-S. Eco-Physiological Responses of Black Chokeberries as Affected by Applications of Oil Cake. Sustainability 2020, 12, 7601. https://doi.org/10.3390/su12187601
Choi H-S. Eco-Physiological Responses of Black Chokeberries as Affected by Applications of Oil Cake. Sustainability. 2020; 12(18):7601. https://doi.org/10.3390/su12187601
Chicago/Turabian StyleChoi, Hyun-Sug. 2020. "Eco-Physiological Responses of Black Chokeberries as Affected by Applications of Oil Cake" Sustainability 12, no. 18: 7601. https://doi.org/10.3390/su12187601
APA StyleChoi, H.-S. (2020). Eco-Physiological Responses of Black Chokeberries as Affected by Applications of Oil Cake. Sustainability, 12(18), 7601. https://doi.org/10.3390/su12187601
