Sustainability Prediction Model for Capital City Relocation in Indonesia Based on Inclusive Wealth and System Dynamics
Abstract
1. Introduction
2. Materials and Methods
2.1. Framework of Study
2.2. Capital City Relocation in the Context of Indonesia
2.3. Study Area
2.4. Three Scenarios Depending on Population Recovery and Increased Migrants
2.5. System Dynamics Model
2.5.1. Model of Produced Capital
2.5.2. Model of Human Capital
2.5.3. Model of Natural Capital
2.5.4. Natural Disaster
2.5.5. Population Migration and Emission Model
2.6. Evaluation Indicator for the Results
3. Results and Discussion
3.1. Model Test
3.2. IWI+, IWI, and Their per Capita
3.3. PC and PC per Capita
3.4. HC and HC per Capita
3.5. NC and NC per Capita
3.6. Scenario 1—The Most Reliable Scenario
3.7. Scenario 3—Sustainability Evaluation
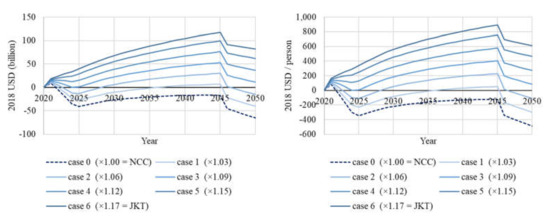
Impacts of Income Level in the NCC on Education Capital, HC, IWI, and Their per Capita
4. Conclusions and Recommendation
Author Contributions
Funding
Acknowledgments
Conflicts of Interest
Appendix A





References
- BBC. Changing Places: Why Countries Decide to Move Their Capitals. Available online: https://www.bbc.com/news/world-49406700 (accessed on 1 October 2019).
- Gorbiano, M.I.; Tehusijarana, K.M.; Adri, N. Jokowi Picks East Kalimantan. Available online: https://www.thejakartapost.com/multimedia/2019/08/27/jokowi-picks-east-kalimantan.html (accessed on 1 October 2019).
- BAPPENAS. Dampak Ekonomi dan Skema Pembiayaan Pemindahan Ibu Kota Negara [Economic Impacts and Financing Schemes for Moving Capital of the State Capital]; BAPPENAS (Ministry of National Development Planning of Indonesia): Jakarta, Indonesia, 2019. [Google Scholar]
- BAPPENAS. Rencana Pemindahan Ibu Kota Negara [Planned Relocation of the National Capital]; Indonesia National Minister of Planning and Development: Jakarta, Indonesia, 2019. [Google Scholar]
- Andreas, H.; Zainal Abidin, H.; Pradipta, D.; Anggreni Sarsito, D.; Gumilar, I. Insight look the subsidence impact to infrastructures in Jakarta and Semarang area; Key for adaptation and mitigation. In Proceedings of the MATEC Web of Conference, Jakarta, Indonesia, 22 January 2018; Volume 147, pp. 1–8. [Google Scholar]
- Ahlenius, H. Extent of Deforestation in Borneo 1950–2005, and Projection towards 2020. Available online: https://www.grida.no/resources/8324 (accessed on 28 October 2019).
- Ahlenius, H. Orangutan Distribution on Borneo (Indonesia, Malaysia). Available online: https://www.grida.no/resources/8326 (accessed on 28 October 2019).
- BBC. Will Indonesia’s New Capital just Move the Problem to the Jungle? Available online: https://www.bbc.com/news/world-asia-49481090 (accessed on 2 October 2019).
- Aly, E.A.; Managi, S. Energy infrastructure and their impacts on societies’ capital assets: A hybrid simulation approach to inclusive wealth. Energy Policy 2018, 121, 1–12. [Google Scholar] [CrossRef]
- Pearson, L.J.; Biggs, R.; Harris, M.; Walker, B. Measuring sustainable development: The promise and difficulties of implementing Inclusive Wealth in the Goulburn-Broken Catchment, Australia. Sustain. Sci. Pract. Policy 2013, 9, 16–27. [Google Scholar] [CrossRef]
- Collins, R.D.; Selin, N.E.; De Weck, O.L.; Clark, W.C. Using inclusive wealth for policy evaluation: Application to electricity infrastructure planning in oil-exporting countries. Ecol. Econ. 2017, 133, 23–34. [Google Scholar] [CrossRef]
- Akanle, T. UNU, UNEP Launch Inclusive Wealth Index for Measuring Sustainability. Available online: http://sdg.iisd.org/news/unu-unep-launch-inclusive-wealth-index-for-measuring-sustainability/ (accessed on 11 November 2019).
- UNU-IHDP; UNEP. Inclusive Wealth Report 2012. Measuring Progress toward Sustainability; Cambridge University Press: Cambridge, UK, 2012; ISBN 9781107683396. [Google Scholar]
- UNU-IHDP; UNEP. Inclusive Wealth Report 2014. Measuring Progress toward Sustainability; Scherkenbach, C., Tkacikv, J., Eds.; Cambridge University Press: Cambridge, UK, 2014; ISBN 9781107524002. [Google Scholar]
- Managi, S.; Kumar, P. Inclusive Wealth Report 2018; Routledge: Oxford, UK, 2018; ISBN 9781138541276. [Google Scholar]
- Sterman, J.D. Business Dynamics: Systems Thinking and Modeling for a Complex World; McGraw-Hill Education: New York, NY, USA, 2000; ISBN 978-0072389159. [Google Scholar]
- MIT. System Dynamics. Available online: http://web.mit.edu/sysdyn/sd-intro/ (accessed on 16 March 2020).
- Nguyen, T.; Cook, S.; Ireland, V. Application of System Dynamics to Evaluate the Social and Economic Benefits of Infrastructure Projects. Systems 2017, 5, 29. [Google Scholar] [CrossRef]
- UN Population Division. World Population Prospects 2019. Available online: https://population.un.org/wpp/ (accessed on 11 November 2019).
- FAO. FAOSTAT. Available online: http://www.fao.org/faostat/en/#data (accessed on 28 October 2019).
- Muntean, M.; Vignati, E.; Crippa, M.; Solazzo, E.; Schaaf, E.; Guizzardi, D.; Olivier, J.G. Fossil CO2 Emissions of All World Countries—2018 Report; European Commission: Luxembourg, 2018. [Google Scholar]
- Crippa, M.; Guizzardi, D.; Muntean, M.; Schaaf, E.; Dentener, F.; van Aardenne, J.A.; Monni, S.; Doering, U.; Olivier, J.G.J.; Pagliari, V.; et al. Gridded Emissions of Air Pollutants for the Period 1970–2012 within EDGAR v4.3.2. Available online: https://doi.org/10.5194/essd-10-1987-2018 (accessed on 28 October 2019).
- BPS. Statistics Service Information. Available online: https://silastik.bps.go.id/ (accessed on 6 November 2019).
- ILO. ILOSTAT. Available online: https://ilostat.ilo.org/ (accessed on 28 October 2019).
- Lloyd’s; Cambridge Centre for Risk Studies at the University of Cambridge Judge Business School. Lloyd’s City RIsk Index. Available online: https://cityriskindex.lloyds.com/ (accessed on 18 February 2020).
- Quistorff, B. Capitalitis? Effects of the 1960 Brazilian Capital Relocation. SSRN Electron. J. 2015, 1–30. [Google Scholar] [CrossRef]
- Reva, D. Capital City Relocation and National Security: The Cases of Nigeria and Kazakhstan; University of Pretoria: Pretoria, South Africa, 2016. [Google Scholar]
- Moser, S. Putrajaya: Malaysia’s new federal administrative capital. Cities 2010, 27, 285–297. [Google Scholar] [CrossRef]
- Gordon, D.L.A. Planning Twentieth Century Capital Cities; Taylor & Francis Ltd.: London, UK, 2006; ISBN 9780415557344. [Google Scholar]
- Mubaroq, M.R.; Solikin, A. Review on the Financing Scheme of Indonesia’s Capital City Relocation Plan: Lessons Learned from Brazil, Malaysia, and Tanzania. In Proceedings of the Proceedings of the 1st International Conference on Finance Economics and Business, (ICOFEB 2018), Aceh, Indonesia, 12–13 November 2018. [Google Scholar]
- Indonesia Government. Biography of Jakarta. Available online: https://indonesia.go.id/ (accessed on 6 November 2019).
- IBGE. National Census. Available online: https://www.ibge.gov.br/en/statistics/social/population.html (accessed on 17 January 2020).
- Bank Indonesia. Foreign Exchange Rates. Available online: https://www.bi.go.id (accessed on 6 November 2019).
- Williamson, S.H. Seven Ways to Compute the Relative Value of a U.S. Dollar Amount, 1790 to Present. Available online: https://www.measuringworth.com/ (accessed on 6 November 2019).
- Yusuf, A.A.; Resosudarmo, B.P. Does clean air matter in developing countries’ megacities? A hedonic price analysis of the Jakarta housing market, Indonesia. Ecol. Econ. 2009, 68, 1398–1407. [Google Scholar] [CrossRef]
- JICA; BAPPENAS. The Study on Integrated Transportation Master Plan for Jabodetabek (Phaseii); Final Report Main Report Volume 2: Pre Feasibility Study; Japan International Cooperation Agency: Tokyo, Japan, 2004; Volume 2. [Google Scholar]
- Asri, D.U.; Hidayat, B. Current Transportation Issues in Jakarta and its Impact on Environment. East. Asia Soc. Transp. Stud. 2005, 5, 1792–1798. [Google Scholar]
- Syaukat, Y.; Sarma, M.; Falatehan, A.F.; Bahtiar, R. Analysis of Willingness to Pay (WTP) to Determine Road Pricing in Jakarta. Sci. J. PPI-UKM 2014, 1, 258–260. [Google Scholar]
- Rioja, F. What Is the Value of Infrastructure Maintenance? A Survey. In Infrastructure and Land Policies; Ingram, G.K., Brandt, K.L., Eds.; Lincoln Institute of Land Policy: Cambridge, MA, USA, 2013; pp. 347–365. [Google Scholar]
- Kaming, P.F.; Olomolaiye, P.O.; Holt, G.D.; Harris, F.C. What Motivates Construction Craftsmen in Developing Countries? A Case Study of Indonesia. Build. Environ. 1998, 33, 131–141. [Google Scholar] [CrossRef]
- Elmanisa, A.M.; Kartiva, A.A.; Fernando, A.; Arianto, R.; Winarso, H.; Zulkaidi, D. Land Price Mapping of Jabodetabek, Indonesia. Geoplan. J. Geomatics Plan. 2016, 4, 53–62. [Google Scholar] [CrossRef]
- Gnagey, M.; Tans, R. Property-Price Determinants in Indonesia. Bull. Indones. Econ. Stud. 2018, 54, 61–84. [Google Scholar] [CrossRef]
- Feenstra, R.C.; Inklaar, R.; Timmer, M.P. The Next Generation of the Penn World Table. Am. Econ. Rev. 2015, 105, 3150–3182. [Google Scholar] [CrossRef]
- OECD. Household Spending (Indicator). Available online: https://data.oecd.org/hha/household-spending.htm (accessed on 23 December 2019).
- OECD. Real GDP Long-Term Forecast (Indicator). Available online: https://data.oecd.org/gdp/real-gdp-long-term-forecast.htm#indicator-chart (accessed on 23 December 2019).
- Resosudarmo, B.P.; Napitupulu, L. Health and economic impact of air pollution in Jakarta. Econ. Rec. 2004, 80, S65–S75. [Google Scholar] [CrossRef]
- UNDP. Briefing note for countries on the 2019 Human Development Report: Indonesia. In Human Development Report 2019: Inequalities in Human Development in the 21st Century; United Nations Development Programme: New York, NY, USA, 2019; pp. 1–9. [Google Scholar]
- Klenow, P.J.; Rodríguez-Clare, A. The Neoclassical Revival in Growth Economics: Has It Gone Too Far? Natl. Bur. Econ. Res. 1997, 12, 73–103. [Google Scholar] [CrossRef]
- Emberson, L. Air Pollution Impacts on Crops and Forests: An Introduction. In Air Pollution Impacts on Crops and Forests: A Global Assessment; Emberson, L., Ashmore, M., Murray, F., Eds.; Imperial College Press: London, UK, 2003; pp. 3–29. [Google Scholar]
- IER. ExternE. Available online: http://www.externe.info/externe_d7/ (accessed on 15 January 2020).
- Bolt, K.; Matete, M.; Clements, M. Manual for Calculating Adjusted Net Savings; Environment Department, World Bank: Washington, DC, USA, 2002. [Google Scholar]
- Van der Ploeg, S.; De Groot, R.S. The TEEB Valuation Database—A Searchable Database of 1310 Estimates of Monetary Values of Ecosystem Services; Foundation for Sustainable Development: Wageningen, The Netherlands, 2010. [Google Scholar]
- World Bank. Where is the Wealth of Nations? World Bank: Washington, DC, USA, 2006; ISBN 9780821363546. [Google Scholar]
- Cambridge Centre for Risk Studies at the University of Cambridge Judge Business School. Cambridge Global Risk Index for 2018; Cambridge Centre for Risk Studies at the University of Cambridge Judge Business School: Cambridge, UK, 2018. [Google Scholar]
- GFDRR. ThinkHazard! Available online: http://thinkhazard.org/ (accessed on 18 February 2020).
- Fraser, S.; Douglas, J.; Simpson, A.; Kuijper, M.; Winsemius, H.; Burzel, A.; Hohmann, A.; Taillefer, N.; Giraud, P.; ThinkHazard, C. ThinkHazard!: Methodology report Updated for ThinkHazard! Version 2; World Bank Global Facility for Disaster Reduction and Recovery: Washington, DC, USA, 2017. [Google Scholar]
- MAIPARK. Indonesian Earthquake Insurance Statistics 2018; MAIPARK: Jakarta, Indonesia, 2018. [Google Scholar]
- JICA. Country Report Indonesia: Natural Disaster Risk Assessment and Area Business Continuity Plan Formulation for Industrial Agglomerated Areas in the ASEAN Region; Japan International Cooperation Agency: Tokyo, Japan, 2004.
- Roman, P.; Thiry, G. The inclusive wealth index. A critical appraisal. Ecol. Econ. 2016, 124, 185–192. [Google Scholar] [CrossRef]
- Page, S.E.; Rieley, J.; Wüst, R.A.J. Lowland tropical peatlands of Southeast Asia. In Peatlands: Evolution and Records of Environmental and Climate Change; Martini, I.P., Cortizas, A.M., Chesworth, W., Eds.; Elsevier Science: Amsterdam, The Netherlands, 2006; pp. 145–172. [Google Scholar]




















| No. | Component | Expenditures | Sources of Financing | |||
|---|---|---|---|---|---|---|
| USD (Billion) | Ratio (%) | Government | PPP 1 | Private | ||
| 1 | Main Functions: | 3.73 | 11.0 | ― | ― | ― |
| 1. Legislative building | V | |||||
| 2. Executive building | V | |||||
| 3. Judiciary building | V | |||||
| 4. State Palace and strategic buildings of the TNI 2/POLRI 3 | V | |||||
| 2 | Supporting Functions: | 17.08 | 50.2 | ― | ― | ― |
| 1. Official residence (terraced, ASN 4 & TNI/POLRI house) | V | V | V | |||
| 2. Educational facilities (elementary, middle, high school) | V | V | ||||
| 3. Educational facilities (higher education) | V | V | ||||
| 4. Health facilities | V | |||||
| 5. Penitentiary | V | |||||
| 3 | Supporting Functions: | 12.36 | 36.3 | ― | ― | ― |
| 1. Facilities and infrastructure (roads, electricity, telecommunications, drinking water, drainage) | V | |||||
| 2. Green open space | 0.29 | 0.9 | V | |||
| 4 | Land Procurement Needs | 0.58 | 1.7 | V | ||
| Total | 34.05 | 100 | ― | ― | ― | |
| Jakarta | NCC | |||
|---|---|---|---|---|
| Population Recovery Rate | Increased Immigration Rate | |||
| 2021–2050 | 2021–2030 | 2031–2040 | 2041–2050 | |
| Scenario 1 | 90 | 9.93 | 4.78 | 0.75 |
| Scenario 2 | 45 | 4.97 | 2.39 | 0.38 |
| Scenario 3 | 0 | 0 | 0 | 0 |
| Age 0–4 | Age 5–9 | Age 10–14 | Age 15–19 | Age 20–24 | Age 25–64 | |
|---|---|---|---|---|---|---|
| 2021–2024 | 4.82 | 34.07 | 5.37 | 5.37 | 25.37 | 19.95 |
| 2025–2050 | 9.18 | 3.68 | 0 | 0 | 85.00 | 0 |
| Total | 8.60 | 7.73 | 0.716 | 0.72 | 163.72 | 2.66 |
| Sources | Impacts | ||||||||
|---|---|---|---|---|---|---|---|---|---|
| Construction 1 | Traffic 1 | Household 1 | Deforestation 2 | Housing 3 | Health Capital 4 | Medical Cost 4 | Crop Yield 5 | NTFP 6 (Carbon Cost) | |
| CO2 | N | B | N | N | |||||
| CO | N | B | B | B | N | ||||
| NOx | N | B | B | B | |||||
| SO2 | N | B | B | B | B | N | |||
| PM10 | N | B | B | B | B | ||||
| IE | IE Per Capita | ||||||||||||
|---|---|---|---|---|---|---|---|---|---|---|---|---|---|
| IWI+ | IWI | PC | HC | NC | ND | IWI+ | IWI | PC | HC | NC | ND | ||
| Scenario 1 | 46.85 | 46.81 | 21.02 | 26.35 | −0.56 | 0.04 | 40.74 | 40.70 | 18.28 | 22.91 | −0.49 | 0.04 | |
| Scenario 2 | 21.52 | 21.28 | 11.98 | 9.86 | −0.55 | 0.23 | 20.60 | 20.38 | 11.18 | 9.71 | −0.51 | 0.22 | |
| Scenario 3 | −1.81 | −2.24 | 3.13 | −4.84 | −0.54 | 0.43 | −1.81 | −2.24 | 3.13 | −4.84 | −0.54 | 0.43 | |
| Sustainability in Long Run | Positive Value in 2050 | |||
|---|---|---|---|---|
| Case | Adjusted Factor | Case | Adjusted Factor | |
| Edu 1 | Case 6 | 1.17 | Case 6 | 1.17 (JKT) |
| HC 2 | N/A | — | N/A | — |
| IWI+ 3 | N/A | — | Case 3 | 1.09 |
| Edu per capita | Case 6 | 1.17 (JKT) | Case 6 | 1.00 (NCC) |
| HC per capita | N/A | — | N/A | — |
| IWI+ per capita | N/A | — | Case 3 | 1.09 |
© 2020 by the authors. Licensee MDPI, Basel, Switzerland. This article is an open access article distributed under the terms and conditions of the Creative Commons Attribution (CC BY) license (http://creativecommons.org/licenses/by/4.0/).
Share and Cite
Shimamura, T.; Mizunoya, T. Sustainability Prediction Model for Capital City Relocation in Indonesia Based on Inclusive Wealth and System Dynamics. Sustainability 2020, 12, 4336. https://doi.org/10.3390/su12104336
Shimamura T, Mizunoya T. Sustainability Prediction Model for Capital City Relocation in Indonesia Based on Inclusive Wealth and System Dynamics. Sustainability. 2020; 12(10):4336. https://doi.org/10.3390/su12104336
Chicago/Turabian StyleShimamura, Takuya, and Takeshi Mizunoya. 2020. "Sustainability Prediction Model for Capital City Relocation in Indonesia Based on Inclusive Wealth and System Dynamics" Sustainability 12, no. 10: 4336. https://doi.org/10.3390/su12104336
APA StyleShimamura, T., & Mizunoya, T. (2020). Sustainability Prediction Model for Capital City Relocation in Indonesia Based on Inclusive Wealth and System Dynamics. Sustainability, 12(10), 4336. https://doi.org/10.3390/su12104336

