In-Depth Characterisation of Common Bean Diversity Discloses Its Breeding Potential for Sustainable Agriculture
Abstract
1. Introduction
2. Materials and Methods
2.1. Plant Material
2.2. Genotyping
Genetic Structure and Cryptic Relatedness
2.3. Phenotyping
2.3.1. Morpho-Phenological Traits
2.3.2. Phenotypic Data Analyses
2.3.3. Seed-protein Content Evaluation
2.3.4. Identification of Accessions Carrying Relevant Traits for Sustainable Agriculture
3. Results
3.1. Genetic Structure and Cryptic Relatedness
3.2. Phenotyping
3.2.1. Quantitative Traits
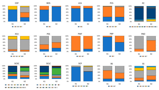
3.2.2. Qualitative Traits
3.2.3. Seed-Protein Content Evaluation
3.2.4. Identification of Accessions Carrying Relevant Traits for Sustainable Agriculture
4. Discussion
Supplementary Materials
Author Contributions
Funding
Acknowledgments
Conflicts of Interest
References
- Giller, K.E.; Beare, M.H.; Izac, A.N.; Swift, M.J. Agricultural intensification, soil biodiversity and agroecosystem function. Appl. Soil Ecol. 1997, 6, 3–16. [Google Scholar] [CrossRef]
- Wagg, C.; Bender, S.F.; Widmer, F.; van der Heijden, M.G.A. Soil biodiversity and soil community composition determine ecosystem multifunctionality. Proc. Natl. Acad. Sci. USA 2014, 111, 5266–5270. [Google Scholar] [CrossRef] [PubMed]
- Carvalheiro, L.G.; Veldtman, R.; Shenkute, A.G.; Tesfay, G.B.; Pirk, C.W.W.; Donaldson, J.S.; Nicolson, S.W. Natural and within-farmland biodiversity enhances crop productivity. Ecol. Lett. 2011, 14, 251–259. [Google Scholar] [CrossRef] [PubMed]
- Ceccarelli, S. Nurturing diversity in our guts and on our farms to reduce health risks and increase food system resilience. In Bioversity International, Agrobiodiversity Index Report 2019: Risk and Resilience; Bioversity International: Rome, Italy, 2019; pp. 107–113. [Google Scholar]
- Cardinale, B.J.; Duffy, J.E.; Gonzalez, A.; Hooper, D.U.; Perrings, C.; Venail, P.; Narwani, A.; MacE, G.M.; Tilman, D.; Wardle, D.A.; et al. Biodiversity loss and its impact on humanity. Nature 2012, 486, 59–67. [Google Scholar] [CrossRef]
- Stoate, C.; Boatman, N.; Borralho, R.; Carvalho, C.R.; Snoo, G.R.D.; Eden, P. Ecological impacts of arable intensification in Europe. J. Environ. Manag. 2001, 63, 337–365. [Google Scholar] [CrossRef]
- Liebman, M.; Liebman, E.R.; Gallandt, E.R. Many little hammers: Ecological management of crop-weed interactions. In Ecology in Agriculture; Jackson, L.E., Ed.; Academic Press: San Diego, CA, USA, 1997; pp. 291–342. [Google Scholar]
- Seel, C.; Leinenebach, S.; Scheer, A.-W. Crop pollination from native bees at risk from agricultural intensification. Proc. Natl. Acad. Sci. USA 2000, 99, 16812–16816. [Google Scholar] [CrossRef]
- Suso, M.J.; Bebeli, P.J.; Christmann, S.; Mateus, C.; Negri, V.; Pinheiro de Carvalho, M.A.A.; Torricelli, R.; Veloso, M.M. Enhancing legume ecosystem services through an understanding of plant-pollinator interplay. Front. Plant Sci. 2016, 7, 333. [Google Scholar] [CrossRef]
- Curto, G.; Dallavalle, E.; Santi, R.; Casadei, N.; D’Avino, L.; Lazzeri, L. The potential of Crotalaria juncea L. as a summer green manure crop in comparison to Brassicaceae catch crops for management of Meloidogyne incognita in the Mediterranean area. Eur. J. Plant Pathol. 2015, 142, 829–841. [Google Scholar] [CrossRef]
- Zander, P.; Amjath-Babu, T.S.; Preissel, S.; Reckling, M.; Bues, A.; Schläfke, N.; Kuhlman, T.; Bachinger, J.; Uthes, S.; Stoddard, F.; et al. Grain legume decline and potential recovery in European agriculture: A review. Agron. Sustain. Dev. 2016, 36, 26. [Google Scholar] [CrossRef]
- Pérez Domínguez, I.; Fellmann, T.; Weiss, F.; Witzke, P.; Barreiro-Hurlé, J.; Himics, M.; Jansson, T.; Salputra, G.; Leip, A. An economic assessment of GHG mitigation policy options for EU agriculture (EcAMPA 2). JRC Sci. Policy Rep. 2016. [Google Scholar] [CrossRef]
- Campbell, B.M.; Beare, D.J.; Bennett, E.M.; Hall-Spencer, J.M.; Ingram, J.S.I.; Jaramillo, F.; Ortiz, R.; Ramankutty, N.; Sayer, J.A.; Shindell, D. Agriculture production as a major driver of the Earth system exceeding planetary boundaries. Ecol. Soc. 2017, 22, 8. [Google Scholar] [CrossRef]
- Rockström, J.; Steffen, W.; Noone, K.; Persson, Å.; Chapin, F.S.; Lambin, E.F.; Lenton, T.M.; Scheffer, M.; Folke, C.; Schellnhuber, H.J.; et al. A safe operating space for humanity. Nature 2009, 461, 472–475. [Google Scholar] [CrossRef] [PubMed]
- Reckling, M.; Bergkvist, G.; Watson, C.A.; Stoddard, F.L.; Zander, P.M.; Walker, R.L.; Pristeri, A.; Toncea, I.; Bachinger, J. Trade-offs between economic and environmental impacts of introducing legumes into Cropping Systems. Front. Plant Sci. 2016, 7, 1–15. [Google Scholar] [CrossRef]
- Bouxin, A. Food and Feed Statistical Yearbook 2013; FEFAC, Ed.; European Feed Manufaturers’ Association: Brussels, Belgium, 2014. [Google Scholar]
- Messina, M.J. Legumes and soybeans: Overview of their nutritional profiles and. Am. J. Clin. Nutr. 1999, 70, 439–450. [Google Scholar] [CrossRef] [PubMed]
- Clément, T.; Joya, R.; Bresson, C.; Cannelle, C. Market Developments and Policy Evaluation Aspects of the Plant Protein Sector in the EU; European Union: Brussels, Belgium, 2018. [Google Scholar]
- Duranti, M.; Gius, C. Legume seeds: Protein content and nutritional value. Field Crop. Res. 1997, 53, 31–45. [Google Scholar] [CrossRef]
- Ibarra-Perez, F.J.; Ehdaie, B.; Waines, J.G. Estimation of outcrossing rate in common bean. Crop Sci. 1997, 37, 60–65. [Google Scholar] [CrossRef]
- Singh, S.P.; Gepts, P.; Debouck, D.G. Races of common bean (Phaseolus vulgaris, Fabaceae). Econ. Bot. 1991, 45, 379–396. [Google Scholar] [CrossRef]
- Kwak, M.; Gepts, P. Structure of genetic diversity in the two major gene pools of common bean (Phaseolus vulgaris L., Fabaceae). Theor. Appl. Genet. 2009, 118, 979–992. [Google Scholar] [CrossRef]
- Santalla, M.; Rodiño, A.P.; De Ron, A.M. Allozyme evidence supporting southwestern Europe as a secondary center of genetic diversity for the common bean. Theor. Appl. Genet. 2002, 104, 934–944. [Google Scholar] [CrossRef]
- Rodiño, A.P.; Santalla, M.; González, A.M.; De Ron, A.M.; Singh, S.P. Novel Genetic Variation in Common Bean from the Iberian Peninsula. Crop Sci. 2006, 46, 2540–2546. [Google Scholar] [CrossRef]
- Angioi, S.A.; Rau, D.; Attene, G.; Nanni, L.; Bellucci, E.; Logozzo, G.; Negri, V.; Zeuli, P.L.S.; Papa, R. Beans in Europe: Origin and structure of the European landraces of Phaseolus vulgaris L. Theor. Appl. Genet. 2010, 121, 829–843. [Google Scholar] [CrossRef] [PubMed]
- Raggi, L.; Tissi, C.; Mazzucato, A.; Negri, V. Molecular polymorphism related to flowering trait variation in a Phaseolus vulgaris L. collection. Plant Sci. 2014, 215–216, 180–189. [Google Scholar] [CrossRef] [PubMed]
- Rodriguez, M.; Rau, D.; Bitocchi, E.; Bellucci, E.; Biagetti, E.; Carboni, A.; Gepts, P.; Nanni, L.; Papa, R.; Attene, G. Landscape genetics, adaptive diversity and population structure in Phaseolus vulgaris. New Phytol. 2016, 209, 1781–1794. [Google Scholar] [CrossRef] [PubMed]
- Rodiño, A.P.; Santalla, M.; De Ron, A.M.; Singh, S.P. A core collection of common bean from the Iberian peninsula. Euphytica 2003, 131, 165–175. [Google Scholar] [CrossRef]
- Blair, M.W.; Díaz, L.M.; Buendía, H.F.; Duque, M.C. Genetic diversity, seed size associations and population structure of a core collection of common beans (Phaseolus vulgaris L.). Theor. Appl. Genet. 2009, 119, 955–972. [Google Scholar] [CrossRef] [PubMed]
- Rana, J.C.; Sharma, T.R.; Tyagi, R.K.; Chahota, R.K.; Gautam, N.K.; Singh, M.; Sharma, P.N.; Ojha, S.N. Characterisation of 4274 accessions of common bean (Phaseolus vulgaris L.) germplasm conserved in the Indian gene bank for phenological, morphological and agricultural traits. Euphytica 2015, 205, 441–457. [Google Scholar] [CrossRef]
- Leitão, S.T.; Dinis, M.; Veloso, M.M.; Šatović, Z.; Vaz Patto, M.C. Establishing the bases for introducing the unexplored portuguese common bean germplasm into the breeding world. Front. Plant Sci. 2017, 8, 1–18. [Google Scholar] [CrossRef]
- Raggi, L.; Tiranti, B.; Negri, V. Italian common bean landraces: Diversity and population structure. Genet. Resour. Crop Evol. 2013, 60, 1515–1530. [Google Scholar] [CrossRef]
- Sinkovič, L.; Pipan, B.; Sinkovič, E.; Meglič, V. Morphological seed characterization of common (Phaseolus vulgaris L.) and runner (Phaseolus coccineus L.) bean germplasm: A slovenian gene bank example. BioMed Res. Int. 2019, 2019, 1–13. [Google Scholar] [CrossRef]
- Nadeem, M.A.; Habyarimana, E.; Çiftçi, V.; Nawaz, M.A.; Karaköy, T.; Comertpay, G.; Shahid, M.Q.; Hatipoǧlu, R.; Yeken, M.Z.; Ali, F.; et al. Characterization of genetic diversity in Turkish common bean gene pool using phenotypic and whole-genome DArTseq-generated silicoDArT marker information. PLoS ONE 2018, 13, 1–28. [Google Scholar] [CrossRef]
- Blair, M.W.; González, L.F.; Kimani, P.M.; Butare, L. Genetic diversity, inter-gene pool introgression and nutritional quality of common beans (Phaseolus vulgaris L.) from Central Africa. Theor. Appl. Genet. 2010, 121, 237–248. [Google Scholar] [CrossRef] [PubMed]
- Akibode, S.; Maredia, M. Global and regional trends in production, trade and consumption of food legume crops. Dep. Agric. Food Resour. Econ. 2012, 87. [Google Scholar] [CrossRef]
- Food and Agriculture Organisation of the United Nations. FAOSTAT Database. Available online: http: //www.fao.org/faostat/en/#data/QC (accessed on 14 May 2019).
- European Commission Statistics Database (EUROSTAT). Available online: https://ec.europa.eu/ eurostat/data/database (accessed on 14 May 2019).
- Petry, N.; Boy, E.; Wirth, J.P.; Hurrell, R.F. Review: The potential of the common bean (Phaseolus vulgaris) as a vehicle for iron biofortification. Nutrients 2015, 7, 1144–1173. [Google Scholar] [CrossRef] [PubMed]
- Assefa, T.; Assibi Mahama, A.; Brown, A.V.; Cannon, E.K.S.; Rubyogo, J.C.; Rao, I.M.; Blair, M.W.; Cannon, S.B. A review of breeding objectives, genomic resources, and marker-assisted methods in common bean (Phaseolus vulgaris L.). Mol. Breed. 2019, 39, 20. [Google Scholar] [CrossRef]
- Beebe, S.; Gonzalez, A.V.; Rengifo, J. Research on trace minerals in the common bean. Food Nutr. Bull. 2000, 21, 387–391. [Google Scholar] [CrossRef]
- Valdisser, P.A.M.R.; Pereira, W.J.; Almeida Filho, J.E.; Müller, B.S.F.; Coelho, G.R.C.; de Menezes, I.P.P.; Vianna, J.P.G.; Zucchi, M.I.; Lanna, A.C.; Coelho, A.S.G.; et al. In-depth genome characterization of a Brazilian common bean core collection using DArTseq high-density SNP genotyping. BMC Genom. 2017, 18, 423. [Google Scholar] [CrossRef]
- Mazzucato, A.; Papa, R.; Bitocchi, E.; Mosconi, P.; Nanni, L.; Negri, V.; Picarella, M.E.; Siligato, F.; Soressi, G.P.; Tiranti, B.; et al. Genetic diversity, structure and marker-trait associations in a collection of Italian tomato (Solanum lycopersicum L.) landraces. Theor. Appl. Genet. 2008, 116, 657–669. [Google Scholar] [CrossRef]
- Rossi, M.; Bitocchi, E.; Bellucci, E.; Nanni, L.; Rau, D.; Attene, G.; Papa, R. Linkage disequilibrium and population structure in wild and domesticated populations of Phaseolus vulgaris L. Evol. Appl. 2009, 2, 504–522. [Google Scholar] [CrossRef]
- Cichy, K.A.; Porch, T.G.; Beaver, J.S.; Cregan, P.; Fourie, D.; Glahn, R.P.; Grusak, M.A.; Kamfwa, K.; Katuuramu, D.N.; McClean, P.; et al. A Phaseolus vulgaris diversity panel for andean bean improvement. Crop Sci. 2015, 55, 2149–2160. [Google Scholar] [CrossRef]
- Peterson, B.K.; Weber, J.N.; Kay, E.H.; Fisher, H.S.; Hoekstra, H.E. Double Digest RADseq: An Inexpensive Method for De Novo SNP Discovery and Genotyping in Model and Non-Model Species. PLoS ONE 2012, 7, e37135. [Google Scholar] [CrossRef]
- Pignone, D.; De Paola, D.; Rapanà, N.; Janni, M. Single seed descent: A tool to exploit durum wheat (Triticum durum Desf.) genetic resources. Genet. Resour. Crop Evol. 2015, 62, 1029–1035. [Google Scholar] [CrossRef]
- Dreiseitl, A. Heterogeneity of Powdery Mildew Resistance Revealed in Accessions of the ICARDA Wild Barley Collection. Front. Plant Sci. 2017, 8, 1–7. [Google Scholar] [CrossRef] [PubMed]
- Raggi, L.; Caproni, L.; Carboni, A.; Negri, V. Genome-wide association study reveals candidate genes for flowering time variation in common bean (Phaseolus vulgaris L.). Front. Plant Sci. 2019, 10, 1–14. [Google Scholar] [CrossRef] [PubMed]
- Purcell, S.; Neale, B.; Todd-Brown, K.; Thomas, L.; Ferreira, M.A.R.; Bender, D.; Maller, J.; Sklar, P.; de Bakker, P.I.W.; Daly, M.J.; et al. PLINK: A tool set for whole-genome association and population-based linkage analyses. Am. J. Hum. Genet. 2007, 81, 559–575. [Google Scholar] [CrossRef] [PubMed]
- Pritchard, J.K.; Stephens, M.; Donnelly, P. Inference of population structure using multilocus genotype data. Genetics 2000, 155, 945–959. [Google Scholar] [CrossRef] [PubMed]
- Evanno, G.; Regnaut, S.; Goudet, J. Detecting the number of clusters of individuals using the software STRUCTURE: A simulation study. Mol. Ecol. 2005, 14, 2611–2620. [Google Scholar] [CrossRef]
- Earl, D.A.; vonHoldt, B.M. STRUCTURE HARVESTER: A website and program for visualizing STRUCTURE output and implementing the Evanno method. Conserv. Genet. Resour. 2012, 4, 359–361. [Google Scholar] [CrossRef]
- Rosenberg, N.A. distruct: A program for the graphical display of population structure. Mol. Ecol. Notes 2003, 4, 137–138. [Google Scholar] [CrossRef]
- Klaedtke, S.; Caproni, L.; Klauck, J.; de la Grandville, P.; Dutartre, M.; Stassart, P.; Chable, V.; Negri, V.; Raggi, L. Short-term local adaptation of historical common bean (Phaseolus vulgaris L.) varieties and implications for in situ management of bean diversity. Int. J. Mol. Sci. 2017, 18, 493. [Google Scholar] [CrossRef]
- Bitocchi, E.; Nanni, L.; Bellucci, E.; Rossi, M.; Giardini, A.; Zeuli, P.S.; Logozzo, G.; Stougaard, J.; McClean, P.; Attene, G.; et al. Mesoamerican origin of the common bean (Phaseolus vulgaris L.) is revealed by sequence data. Proc. Natl. Acad. Sci. USA 2012, 109, E788–E796. [Google Scholar] [CrossRef]
- Bradbury, P.J.; Zhang, Z.; Kroon, D.E.; Casstevens, T.M.; Ramdoss, Y.; Buckler, E.S. TASSEL: Software for association mapping of complex traits in diverse samples. Bioinformatics 2007, 23, 2633–2635. [Google Scholar] [CrossRef] [PubMed]
- International Board for Plant Genetic Resources (IBPGR). Phaseolus vulgaris Descriptors; International Board for Plant Genetic Resources: Rome, Italy, 1982. [Google Scholar]
- Community Plant Variety Office (CPVO). Protocol for Test on Distinctness, Uniformity and Stability—Phaseolus vulgaris L.; European Union: Brussels, Belgium, 2013. [Google Scholar]
- Singh, S.P.; Gutiérrez, J.A.; Molina, A.; Urrea, C.; Gepts, P. Genetic diversity in cultivated common bean: II. Marker-based analysis of morphological and agronomic traits. Crop Sci. 1991, 31, 23–29. [Google Scholar] [CrossRef]
- Singh, M.; Ceccarelli, S.; Grando, S. Precision of the genotypic correlation estimated from variety trials conducted in incomplete block designs. TAG Theor. Appl. Genet. 1997, 95, 1044–1048. [Google Scholar] [CrossRef]
- Singh, M.; Malhotra, R.S.; Ceccarelli, S.; Sarker, A.; Grando, S.; Erskine, W. Spatial variability models to improve dryland field trials. Exp. Agric. 2003, 39, 151–160. [Google Scholar] [CrossRef]
- Rollins, J.A.; Drosse, B.; Mulki, M.A.; Grando, S.; Baum, M.; Singh, M.; Ceccarelli, S.; von Korff, M. Variation at the vernalisation genes Vrn-H1 and Vrn-H2 determines growth and yield stability in barley (Hordeum vulgare) grown under dryland conditions in Syria. Theor. Appl. Genet. 2013, 126, 2803–2824. [Google Scholar] [CrossRef] [PubMed]
- Raggi, L.; Negri, V.; Ceccarelli, S. Morphological diversity in a barley composite cross-derived population evolved under low-input conditions and its relationship with molecular diversity: Indications for breeding. J. Agric. Sci. 2016, 154, 943–959. [Google Scholar] [CrossRef]
- Akaike, H. A new look at the statistical model identification. IEEE Trans. Autom. Control 1974, 19, 716–723. [Google Scholar] [CrossRef]
- De Mendiburu, F. R Package “Agricolae”. Available online: http://tarwi. lamolina.edu.pe/~fmendiburu/ (accessed on 5 February 2019).
- Garruti, R.D.S.; Bourne, M.C. Effect of storage conditions of dry bean seeds (Phaseolus vulgaris L.) on texture profile parameters after cooking. J. Food Sci. 1985, 50, 1067–1071. [Google Scholar] [CrossRef]
- Wickham, H. Ggplot2: Elegant Graphics for Data Analysis; Springer: Berlin/Heidelberg, Germany, 2009; ISBN 9780387981413. [Google Scholar]
- Gabriel, K.R. The biplot graphic display of matrices with application to principal component analysis. Biometrika 1971, 58, 453–467. [Google Scholar] [CrossRef]
- Lucarini, E.; Pagnotta, E.; Micheli, L.; Parisio, C.; Testai, L.; Martelli, A.; Calderone, V.; Matteo, R.; Lazzeri, L.; Mannelli, L.D.C.; et al. Eruca sativa meal against diabetic neuropathic pain: An H2S-mediated effect of glucoerucin. Molecules 2019, 24, 3006. [Google Scholar] [CrossRef]
- Leimu, R.; Fischer, M. A Meta-analysis of local adaptation in plants. PLoS ONE 2008, 3, e4010. [Google Scholar] [CrossRef] [PubMed]
- Joshi, J.; Schmid, B.; Caldeira, M.C.; Dimitrakopoulos, P.G.; Good, J.; Harris, R.; Hector, A.; Huss-Danell, K.; Jumpponen, A.; Minns, A.; et al. Local adaptation enhances performance of common plant species. Ecol. Lett. 2001, 4, 536–544. [Google Scholar] [CrossRef]
- Newton, A.C.; Begg, G.S.; Swanston, J.S. Deployment of diversity for enhanced crop function. Ann. Appl. Biol. 2009, 154, 309–322. [Google Scholar] [CrossRef]
- Lammerts Van Bueren, E.T.; Jones, S.S.; Tamm, L.; Murphy, K.M.; Myers, J.R.; Leifert, C.; Messmer, M.M. The need to breed crop varieties suitable for organic farming, using wheat, tomato and broccoli as examples: A review. NJAS Wagening. J. Life Sci. 2011, 58, 193–205. [Google Scholar] [CrossRef]
- Newton, A.C.; Akar, T.; Baresel, J.P.; Bebeli, P.J.; Bettencourt, E.; Bladenopoulos, K.V.; Czembor, J.H.; Fasoula, D.A.; Katsiotis, A.; Koutis, K.; et al. Cereal landraces for sustainable agriculture. A review. Agron. Sustain. Dev. 2010, 30, 237–269. [Google Scholar] [CrossRef]
- Murphy, K.M.; Campbell, K.G.; Lyon, S.R.; Jones, S.S. Evidence of varietal adaptation to organic farming systems. Field Crop. Res. 2007, 102, 172–177. [Google Scholar] [CrossRef]
- Caproni, L.; Raggi, L.; Tissi, C.; Howlett, S.; Torricelli, R.; Negri, V. Multi-environment evaluation and genetic characterisation of common bean breeding lines for organic farming systems. Sustainability 2018, 10, 777. [Google Scholar] [CrossRef]
- Blair, M.W.; Soler, A.; Cortés, A.J. Diversification and population structure in common beans (Phaseolus vulgaris L.). PLoS ONE 2012, 7, e49488. [Google Scholar] [CrossRef]
- Goldringer, I.; Prouin, C.; Rousset, M.; Galic, N.; Bonnin, I. Rapid differentiation of experimental populations of wheat for heading time in response to local climatic conditions. Ann. Bot. 2006, 98, 805–817. [Google Scholar] [CrossRef]
- Raggi, L.; Ciancaleoni, S.; Torricelli, R.; Terzi, V.; Ceccarelli, S.; Negri, V. Evolutionary breeding for sustainable agriculture: Selection and multi-environmental evaluation of barley populations and lines. Field Crop. Res. 2017, 204, 76–88. [Google Scholar] [CrossRef]
- Finckh, M.R.; Mundt, C.C. Plant competition and disease in genetically diverse wheat populations. Oecologia 1992, 91, 82–92. [Google Scholar] [CrossRef] [PubMed]
- Finckh, M.R.; Mundt, C.C. Temporal dynamics of plant competition in genetically diverse wheat populations in the presence and absence of Stripe Rust. J. Appl. Ecol. 2006, 33, 1041–1052. [Google Scholar] [CrossRef]
- Ssekandi, W.; Mulumba, J.W.; Colangelo, P.; Nankya, R.; Fadda, C.; Karungi, J.; Otim, M.; De Santis, P.; Jarvis, D.I. The use of common bean (Phaseolus vulgaris) traditional varieties and their mixtures with commercial varieties to manage bean fly (Ophiomyia spp.) infestations in Uganda. J. Pest Sci. 2016, 89, 45–57. [Google Scholar] [CrossRef] [PubMed]
- Mulumba, J.W.; Nankya, R.; Adokorach, J.; Kiwuka, C.; Fadda, C.; De Santis, P.; Jarvis, D.I. A risk-minimizing argument for traditional crop varietal diversity use to reduce pest and disease damage in agricultural ecosystems of Uganda. Agric. Ecosyst. Environ. 2012, 157, 70–86. [Google Scholar] [CrossRef]
- Suneson, C.A. An evolutionary plant breeding method. Agron. J. 1956, 48, 188–191. [Google Scholar] [CrossRef]
- Raggi, L.; Ceccarelli, S.; Negri, V. Evolution of a barley composite cross derived population: An insight gained by molecular markers. J. Agric. Sci. 2015, 154, 23–39. [Google Scholar] [CrossRef]
- Thépot, S.; Restoux, G.; Goldringer, I.; Hospital, F.; Gouache, D.; Mackay, I.; Enjalbert, J. Efficiently tracking selection in a multiparental population: The case of earliness in wheat. Genetics 2015, 199, 609–623. [Google Scholar] [CrossRef] [PubMed]
- Jung, C.; Müller, A.E. Flowering time control and applications in plant breeding. Trends Plant Sci. 2009, 14, 563–573. [Google Scholar] [CrossRef]
- Rhoné, B.; Remoué, C.; Galic, N.; Goldringer, I.; Bonnin, I. Insight into the genetic bases of climatic adaptation in experimentally evolving wheat populations. Mol. Ecol. 2008, 17, 930–943. [Google Scholar] [CrossRef]
- Porch, T.; Beaver, J.; Debouck, D.; Jackson, S.; Kelly, J.; Dempewolf, H.; Porch, T.G.; Beaver, J.S.; Debouck, D.G.; Jackson, S.A.; et al. Use of wild relatives and closely related species to adapt common bean to climate change. Agronomy 2013, 3, 433–461. [Google Scholar] [CrossRef]
- Anyia, A.; Herzog, H. Water-use efficiency, leaf area and leaf gas exchange of cowpeas under mid-season drought. Eur. J. Agron. 2004, 20, 327–339. [Google Scholar] [CrossRef]







| Trait | Acronym | Organ | Description | Reference |
|---|---|---|---|---|
| Quantitative traits | ||||
| Days to flowering | DTF | Flowers | Days from sowing to the opening of the first flower; | [26] |
| Flower buds per inflorescence | FBI | Flowers | Measured on three inflorescences per plant; | [26] |
| Inflorescence length | IL | Flowers | Measured on three inflorescences per plant; | [58] |
| Pod length | PL | Immature Pod | Three pods per plant fully developed; | [59] |
| Pod width 1 | PW1 | Immature Pod | Measured orthogonally to the pod suture on three fully expanded immature pods per plant | [59] |
| Pod width 2 | PW2 | Immature Pod | Measured parallel to the pod suture on three fully expanded immature pods per plant; | [59] |
| Leaflet length | LL | Leaf | Measured on three leaflets (third) per plant; | [58] |
| Leaflet width | LW | Leaf | Measured on three leaflets (third) per plant; | [58] |
| Seed weight | HSW | Seed | Weight of 100 seeds in grams at moisture content of 12–14%; | [58] |
| Qualitative traits | ||||
| Base of standard | BOS | Flower | 0 Smooth; 1 Striped; | [60] |
| Colour of Flower | COF | Flower | 1 White; 2 Pinkish-white; 3 Pink; 4 Violet; | - |
| Pod colour | PC | Immature Pod | 1 Dark purple; 2 Carmine red; 3 Purple stripes on green; 4 Carmine stripes on green; 5 Pale red stripes on green; 6 Dark pink; 7 Normal green; 8 Shiny green; 9 Dull green to silver grey; 10 Golden or deep yellow; 11 Pale yellow to white; | [58] |
| Pod-Cross Section | PCS | Immature Pod | 1 Very Flat; 2 Pear-shaped; 3 Round Elliptic; 4 Figure of eight; | [58] |
| Pod curvature | PCV | Immature Pod | 3 Straight; 5 Slightly curved; 7 Curved; 9 Recurving; | [58] |
| Pod suture string | PSS | Immature Pod | 0 No strings; 1 Few strings; 2 Very stringy; | [59] |
| Pod wall fibre | PWF | Dried Pod | 3 Strongly contracting; 5 Leathery podded; 7 Excessive shattering | [58] |
| Pod beak position | PBP | Dried Pod | 1 Marginal; 2 Non-marginal | [58] |
| Pod beak orientation | PBO | Dried Pod | 3 Upward; 5 Straight; 7 Downward; | [58] |
| Leaf colour anthocyanin | LCA | Leaf | 0 Absent; 1 Present; | [58] |
| Brilliance of seed | BS | Seed | 3 Matt; 5 Medium; 7 Shiny; | [58] |
| Seed Coat dark colour | SCDC | Seed | 1 Black; 2 Brown, pale to dark; 3 Maroon; 4 Grey, brownish to greenish; 5 yellow to greenish yellow; 6 Pale cream to buff; 7 Pure white; 8 Whitish; 9 White, purple tinged; 10 Chlorophyll green; 11 Green to olive; 12 Red; 13 Pink; 14 Purple; | [58] |
| Seed Coat lighter colour | SCLC | Seed | 1 Black; 2 Brown, pale to dark; 3 Maroon; 4 Grey, brownish to greenish; 5 yellow to greenish yellow; 6 Pale cream to buff; 7 Pure white; 8 Whitish; 9 White, purple tinged; 10 Chlorophyll green; 11 Green to olive; 12 red; 13 Pink; 14 Purple; | [58] |
| Seed Coat patterns | SCP | Seed | 0 Absent; 1 Constant mottled; 2 Striped; 3 Rhomboid spotted; 4 Speckled; 5 Circular mottling; 6 Marginal colour patterns; 7 Broad striped; 8 Bicolour; 9 Spotted bicolour; 10 Pattern around hilum; | [58] |
| Seed shape | SS | Seed | 1 Round; 2 Oval; 3 Cuboid; 4 Kidney shaped; 5 Truncate fastigiate; | [58] |
| Perugia | Bologna | |||||||||
|---|---|---|---|---|---|---|---|---|---|---|
| Mean | Range (min–max) | CV (%) | Model (Efficiency) | He2B (SE) | Mean | Range (min–max) | CV (%) | Model (Efficiency) | He2B (SE) | |
| DTF (d) | 52.5 | 33–151 | 42.5 | Crd * (100%) | 0.91 (0.026) | 49.7 | 29–155 | 53.5 | CrdL (122%) | 0.94 (0.009) |
| FBI (cm) | 8.9 | 4.0–22.0 | 35.3 | Crd (100%) | 0.67 (0.087) | 8.5 | 3.7–18.0 | 32.4 | CrdL (134%) | 0.64 (0.091) |
| IL (cm) | 21.1 | 7.5–41.5 | 36.0 | CrdL ** (110%) | 0.67 (0.095) | 17.1 | 3.9–35.1 | 40.6 | Crd (100%) | 0.76 (0.069) |
| LL (cm) | 14.8 | 9.5–22.0 | 19.9 | Crd (100%) | 0.57 (0.113) | 14.6 | 10.6–19.9 | 12.6 | Crd (100%) | 0.84 (0.045) |
| LW (cm) | 11.1 | 6.5–17.3 | 22.0 | Crd (100%) | 0.66 (0.092) | 9.3 | 6.3–13.3 | 13.9 | Crd (100%) | 0.51 (0.113) |
| PL (mm) | 10.3 | 7.0–18.0 | 24.9 | Crd (100%) | 0.60 (0.116) | 11.4 | 5.0–17.5 | 29.7 | Crd (100%) | 0.42 (0.122) |
| PW1 (mm) | 7.5 | 4.2–11.6 | 25.5 | Crd (100%) | 0.41 (0.185) | 8.0 | 3.9–12.5 | 30.7 | Crd (100%) | 0.72 (0.078) |
| PW2 (mm) | 11.6 | 7.6–18.3 | 24.6 | Crd (100%) | 0.57 (0.123) | 12.2 | 6.4–20.4 | 28.9 | Crd (100%) | 0.50 (0.103) |
| HSW (g) | 35.9 | 10.3–97.4 | 45.1 | Crd (100%) | 0.73 (0.082) | 39.7 | 16.4–95.1 | 49.7 | Crd (100%) | 0.99 (0.004) |
| DTF | FBI | IL | LL | LW | PL | PW1 | PW2 | |
| DTF | 1 | |||||||
| FBI | 0.1 | 1 | ||||||
| IL | −0.12 | 0.63 *** | 1 | |||||
| LL | −0.13 | 0.13 | 0.1 | 1 | ||||
| LW | −0.07 | 0.32 * | 0.3 *** | 0.63 *** | 1 | |||
| PL | −0.04 | 0.13 | 0.06 | 0.12 | 0.18 *** | 1 | ||
| PW1 | −0.2 ** | −0.09 | −0.16 * | 0.03 | −0.08 | 0.36 *** | 1 | |
| PW2 | 0.07 | −0.08 | −0.08 | −0.13 | −0.07 | 0.16 | 0.42 *** | 1 |
| Value | Original Accession Number | Collection of Reference | Country of Origin | Common Name | Biological Status | ||
|---|---|---|---|---|---|---|---|
| Mesoamerican (K1) | |||||||
| DTF * (dd) | 34.8 | 4651 | UNIPG | ITA | Fagiolo alto al burro | Landrace | |
| 35.0 | 7585 | UNIPG | ITA | White top (CREA-CI) | Cultivar | ||
| 36.4 | G14415 | CIAT | ESP | - | Landrace | ||
| 36.6 | G15574 | CIAT | TUR | Beyaz Fasulya | Landrace | ||
| HSW (gr) | 65.6 | G20109 | CIAT | FYROM | Krupen | Landrace | |
| 60.6 | G20087 | CIAT | FYROM | Edar Visek | Landrace | ||
| 57.2 | 5080 | UNIPG | ITA | Staiccioli | Landrace | ||
| LL & LW ** (cm) | 12.3 | 8.2 | G20351 | CIAT | FYROM | Niska | Landrace |
| 12.6 | 8.2 | G17830A | CIAT | HUN | Fulokercsi Tf 2608 | Landrace | |
| Proteins (gr/100gr) | 35.4 | PI-309885 | USDA | CRI | Chimbolos | Landrace | |
| 34.0 | G10248A | CIAT | POR | Semiclimber Var. Flat Pods | Landrace | ||
| 33.5 | G2925 | CIAT | TUR | Selection From PI-204715 | Landrace | ||
| Andean (K2) | |||||||
| DTF * (dd) | 32.9 | G10077 | CIAT | NLD | Rottekeutel | Landrace | |
| 33.4 | G10074 | CIAT | NLD | Aff. Berna | Landrace | ||
| 34.0 | PHA358 | IPK | GRE | - | Landrace | ||
| 34.1 | 7583 | UNIPG | ITA | Telemaco (CREA-CI) | Cultivar | ||
| 34.1 | 4652 | UNIPG | ITA | Borlotto basso | Landrace | ||
| 34.1 | G14786 | CIAT | FRA | Le Grignorais | Landrace | ||
| HSW (gr) | 87.4 | 4455 | UNIPG | ITA | A pane | Landrace | |
| 79.5 | 5040 | UNIPG | ITA | Borlotto | Landrace | ||
| 72.6 | 4646 | UNIPG | ITA | O' Marozzo rampicante | Landrace | ||
| 70.0 | 4294 | UNIPG | ITA | Mezza rama | Landrace | ||
| LL & LW ** (cm) | 13.1 | 9.0 | PI-282000 | USDA | CHI | Pintados | Cultivar |
| Proteins (gr/100gr) | 31.7 | 6124 | UNIPG | ITA | Vari 2 | Landrace | |
| 31.1 | 7583 | UNIPG | ITA | Telemaco (CREA-CI) | Cultivar | ||
| 31.0 | 4959 | UNIPG | ITA | Delle valle | Landrace |
© 2019 by the authors. Licensee MDPI, Basel, Switzerland. This article is an open access article distributed under the terms and conditions of the Creative Commons Attribution (CC BY) license (http://creativecommons.org/licenses/by/4.0/).
Share and Cite
Caproni, L.; Raggi, L.; Ceccarelli, S.; Negri, V.; Carboni, A. In-Depth Characterisation of Common Bean Diversity Discloses Its Breeding Potential for Sustainable Agriculture. Sustainability 2019, 11, 5443. https://doi.org/10.3390/su11195443
Caproni L, Raggi L, Ceccarelli S, Negri V, Carboni A. In-Depth Characterisation of Common Bean Diversity Discloses Its Breeding Potential for Sustainable Agriculture. Sustainability. 2019; 11(19):5443. https://doi.org/10.3390/su11195443
Chicago/Turabian StyleCaproni, Leonardo, Lorenzo Raggi, Salvatore Ceccarelli, Valeria Negri, and Andrea Carboni. 2019. "In-Depth Characterisation of Common Bean Diversity Discloses Its Breeding Potential for Sustainable Agriculture" Sustainability 11, no. 19: 5443. https://doi.org/10.3390/su11195443
APA StyleCaproni, L., Raggi, L., Ceccarelli, S., Negri, V., & Carboni, A. (2019). In-Depth Characterisation of Common Bean Diversity Discloses Its Breeding Potential for Sustainable Agriculture. Sustainability, 11(19), 5443. https://doi.org/10.3390/su11195443

