Next Issue
Volume 15, December
Previous Issue
Volume 15, October
 
 

Clin. Pract., Volume 15, Issue 11 (November 2025) – 26 articles

Cover Story (view full-size image): The European Federation of Internal Medicine (EFIM) recognizes the transformative potential of AI in advancing the field of internal medicine. This position paper explores how AI can be applied to achieve the goals of P6 Medicine principles in internal medicine. AI adoption—particularly generative artificial intelligence (GAI) and digital therapeutics (DTx)—together with an emphasis on patients’ psycho-cognitive factors, paves a path towards an integrated, data-driven future for healthcare. Specific concerns regarding AI applications include clinical efficacy and usability, ethical responsibility, and legal compliance. In addition, clear, practice-oriented guidelines for internists on how to incorporate these technologies safely, effectively, and ethically into patient care remain lacking. View this paper
  • Issues are regarded as officially published after their release is announced to the table of contents alert mailing list.
  • You may sign up for e-mail alerts to receive table of contents of newly released issues.
  • PDF is the official format for papers published in both, html and pdf forms. To view the papers in pdf format, click on the "PDF Full-text" link, and use the free Adobe Reader to open them.
Order results
Result details
Section
Select all
Export citation of selected articles as:
14 pages, 962 KB  
Article
Contribution of Final-Year Medical Students to Hypertension Diagnosis in Primary Care Units
by Nikolaos Evangelidis, Areti Triantafyllou, Magda Gavana, Vasileios Gkolias, Styliani Ouzouni, Paschalis Evangelidis, Ilias Theodoropoulos, Despoina Symintiridou, Evangelia Naka, Ioannis Staikos, Martha Andreou, Stefanos Tsotoulidis, Stamatina Lamprou, Maria Dragasaki, Eirini Kada, Anna-Bettina Haidich, Michael Doumas and Emmanouil Smyrnakis
Clin. Pract. 2025, 15(11), 216; https://doi.org/10.3390/clinpract15110216 - 20 Nov 2025
Viewed by 631
Abstract
Background/Objective: Worldwide, ~45% of hypertensives remain undiagnosed, and ~26% are adequately controlled. The active involvement of all healthcare professionals in diagnosing hypertension at primary health care units (PHCUs) is linked to better blood pressure (BP) control. There is currently no research examining the [...] Read more.
Background/Objective: Worldwide, ~45% of hypertensives remain undiagnosed, and ~26% are adequately controlled. The active involvement of all healthcare professionals in diagnosing hypertension at primary health care units (PHCUs) is linked to better blood pressure (BP) control. There is currently no research examining the potential role of senior medical students in the diagnosis of hypertension. This study aimed to evaluate the contribution of final-year medical students’ active participation in the diagnosis of hypertension. The study also examined the prevalence and control of hypertension among health service users in Greek PHCUs. Methods: This is a cross-sectional convenience sample study. During clinical placement in PHC, sixth-year medical students received systematic training and performed BP measurements, according to the guidelines, in private, well-organized spaces. Adult patients and visitors were enlisted for BP measurements. The BP readings were provided to the participants so they could discuss any concerns about their BP with their physician. Statistical analysis was performed with SPSS. Categorical variables are presented as frequencies. Continuous variables were assessed for normality and, based on their distribution, are expressed as mean ± standard deviation or median (interquartile range). Appropriate tests were performed for the comparisons across groups (chi-square for the categorical variables, and two-sample t-test or Mann–Whitney test for continuous variables). A p-value < 0.05 was considered statistically significant. Results: In the present study, 124 medical students performed BP measurements in 68 PHCUs. BP was measured in 704 individuals, aged 61 (IQR: 48.0–73.0) years old; 58.8% were female, 68.3% of whom were patients. The prevalence of hypertension was 56.7%. The control rate was 44.9% (BP < 140 and 90 mmHg among all hypertensives), and the control rate under treatment was 61.0% (BP < 140 and 90 mmHg among treated hypertensives). The involvement of medical students contributed positively, increasing the diagnosis of hypertension in individuals who might not have their BP measured in routine clinical practice. Ninety-nine newly diagnosed hypertensives were detected. Students identified 220 uncontrolled hypertensives and 112 uncontrolled under-treated patients, who were then referred to the consultant physicians. Conclusions: Students played a critical role in diagnosing hypertension and identifying newly diagnosed hypertensive patients. Embracing interprofessional care in the diagnosis and management of hypertension is essential for achieving better outcomes for our patients. Engaging medical students in BP measurements is a practical and feasible approach to improve hypertension diagnosis and control, taking into consideration the increased workload of PHC physicians. While this action has important medical education implications, the impact on the knowledge level of medical students was not evaluated. Limitations of this study include the assessment of BP in one visit without home BP measurements or a second visit, lack of follow-up of newly diagnosed hypertensives, and the low average number of BP measurements per student. Full article
Show Figures

Figure 1

16 pages, 1243 KB  
Article
Urinary Tract Infections and Bacterial Multidrug Resistance in Kidney Transplant Impact on Function and Graft Survival
by Hernán Javier Pájaro Huertas, María Viviana Pantoja Echeverri, Gustavo Aroca Martínez, Carlos Guido Musso, Alex Dominguez Vargaz and Henry J. González-Torres
Clin. Pract. 2025, 15(11), 215; https://doi.org/10.3390/clinpract15110215 - 19 Nov 2025
Viewed by 969
Abstract
Objective: This study aimed to evaluate the sociodemographic, clinical, paraclinical, and microbiological characteristics of kidney transplant recipients with and without urinary tract infection (UTI) and determine their impact on renal function and graft survival in a referral center in Atlántico, Colombia. Methods [...] Read more.
Objective: This study aimed to evaluate the sociodemographic, clinical, paraclinical, and microbiological characteristics of kidney transplant recipients with and without urinary tract infection (UTI) and determine their impact on renal function and graft survival in a referral center in Atlántico, Colombia. Methods: We conducted a retrospective, observational, analytical study including 163 kidney transplant recipients between 2015 and 2020. Clinical and microbiological variables were compared according to UTI status. Renal function was assessed using estimated glomerular filtration rate (eGFR). Graft survival was analyzed with Kaplan–Meier curves, and predictors of graft loss were identified using Cox regression models. Results: UTI prevalence was 17.8% (29/163), with a higher proportion of women in the UTI (+) group compared to the UTI (−) group (62% vs. 34%, p = 0.004). Escherichia coli (59%) and Klebsiella spp. (31%) were the predominant pathogens, with MDR in 66% of isolates and carbapenem resistance in 28%. Patients with UTIs had significantly lower baseline and follow-up eGFR (p ≤ 0.002), yet five-year graft survival was comparable (93% vs. 91%, p = 0.54). Baseline eGFR (HR: 0.95, p < 0.001) and institutional referral (HR: 9.7, p = 0.010) were independent predictors of graft loss, whereas UTIs were not associated with increased risk. Conclusions: Post-transplant UTIs in Atlántico were characterized by high antimicrobial resistance and reduced renal function, but did not affect graft survival. Antimicrobial stewardship and institutional optimization strategies are essential to improve outcomes in this vulnerable population. Full article
Show Figures

Graphical abstract

10 pages, 215 KB  
Article
Does Thyroid Dysfunction Have a Role in the Etiology of Vocal Fold Edema?
by Alenka Kravos, Ksenija Gersak, Simona Gaberscek and Irena Hocevar-Boltezar
Clin. Pract. 2025, 15(11), 214; https://doi.org/10.3390/clinpract15110214 - 18 Nov 2025
Viewed by 1074
Abstract
Background/Objectives: Previous studies have shown that hypothyroidism with myxedema may significantly affect the vocal folds. The aim of this study was to investigate thyroid dysfunction and other possible risk factors, including smoking, for the development of Reinke’s edema (RE) in a group of [...] Read more.
Background/Objectives: Previous studies have shown that hypothyroidism with myxedema may significantly affect the vocal folds. The aim of this study was to investigate thyroid dysfunction and other possible risk factors, including smoking, for the development of Reinke’s edema (RE) in a group of men. Methods. Serum levels of thyroid-stimulating hormone (TSH), free thyroxine (fT4), and free triiodothyronine (fT3) were measured in a group of men with first occurrence or recurrent RE and in age- and gender-matched control subjects without laryngeal pathology. All participants completed a questionnaire on other possible etiologic factors for the development of RE, especially smoking. Risk factors were compared between the two groups. Levels of TSH and thyroid hormones were also compared between patients with recurrent disease and those with a first occurrence of RE. Results. A total of 53 men with RE (mean age 53.82 years) and 45 controls (mean age 57.71 years) completed the study protocol. TSH and thyroid hormone levels were within the normal limits in all participants. Serum fT3 levels were significantly higher in patients with RE compared to controls (p = 0.034). After univariate analysis, all risk factors were included in a multivariate regression model. Only smoking remained a significant variable. Thyroid hormone levels did not differ between patients with first-onset RE and those with recurrent RE. Conclusions. An association between hypothyroidism and the development of RE was not confirmed. The significantly higher fT3 levels in patients compared to controls were still within the normal range and may reflect normal variation. Regression analysis of possible risk factors for RE showed the primacy of smoking. Full article
10 pages, 449 KB  
Communication
Role of Cerebral Oximetry in Reducing Postoperative End-Organ Dysfunction After Major Non-Cardiac Surgery: A Randomised Controlled Trial
by Matthanja Bieze, Karen Foley, W. Scott Beattie, Jo Carroll, Humara Poonawala, Lian-Kah Ti and George Djaiani
Clin. Pract. 2025, 15(11), 213; https://doi.org/10.3390/clinpract15110213 - 18 Nov 2025
Viewed by 883
Abstract
Background/Objectives: An increasing number of older individuals require general anaesthesia for major non-cardiac surgery, with 20% displaying postoperative complications. Regional cerebral oxygen saturation (rSO2) correlates with the gold standard of mixed venous oxygen saturation, indicating global perfusion. We hypothesised that [...] Read more.
Background/Objectives: An increasing number of older individuals require general anaesthesia for major non-cardiac surgery, with 20% displaying postoperative complications. Regional cerebral oxygen saturation (rSO2) correlates with the gold standard of mixed venous oxygen saturation, indicating global perfusion. We hypothesised that rSO2-based anaesthesia reduces organ dysfunction and morbidity after major non-cardiac surgery. Methods: In Singapore and Toronto, we conducted a prospective, double-blind, randomised controlled trial in elderly patients undergoing major non-cardiac surgery, after obtaining research ethics board permission and informed consent. This RCT followed the CONSORT guidelines. Patients received bilateral cerebral oximetry sensors, and the control group received standard care. In the intervention group, an algorithm restored rSO2 if it dropped 10% below baseline for >15 s by adjusting cerebral perfusion pressure, inspired oxygen concentration, end-tidal carbon dioxide, depth of anaesthesia, haemoglobin, and cardiac index. Postoperative complications and outcomes were noted. Categorical data were analysed using Chi-square or Fisher’s exact tests and continuous data using a t-test or a Mann–Whitney U test. The study was powered for 394 patients, but due to the COVID-19 pandemic and funding constraints, this study was terminated at 101 patients. Results: Of 101 patients, 49 were randomised to the control and 52 to the intervention group. A total of 31 (63%) patients in the control group and 30 (58%) in the interventional exhibited bilateral cerebral desaturation. Time of cumulative cerebral desaturation was longer in the control group (23 ± 48 min vs. 9 ± 15 min, respectively, p = 0.01). A total of 142 algorithm-based treatments were employed, restoring rSO2 in 29 (86%) patients. Both groups displayed equal postoperative outcomes. Conclusions: In major non-cardiac surgery, cerebral desaturation is prevalent in over 85% of patients. Although algorithm-guided therapy restored rSO2 in the majority of patients, it did not result in reduced postoperative morbidity. Full article
Show Figures

Figure 1

14 pages, 1225 KB  
Article
The Use and Effectiveness of Different Emergency Contraception Methods Among Adolescent Girls and Young Women in a Greek Clinic: A Cross-Sectional, Comparative, Observational Study
by Athanasia Chatzilazarou, Christina Pagkaki, Anastasia Bothou, Vasiliki Kourti, Dimitrios Lamprinos, Nektaria Kritsotaki, Efthymios Oikonomou, Nikolaos Machairiotis, Angeliki Gerede, Nikoletta Koutlaki and Panagiotis Tsikouras
Clin. Pract. 2025, 15(11), 212; https://doi.org/10.3390/clinpract15110212 - 18 Nov 2025
Viewed by 2630
Abstract
Background: Emergency contraception (EC), also known as postcoital contraception, is a method used to prevent an unintended pregnancy following unprotected or inadequately protected sexual intercourse. The available options include emergency contraceptive pills or the insertion of an intrauterine device (IUD). Emergency contraception pills [...] Read more.
Background: Emergency contraception (EC), also known as postcoital contraception, is a method used to prevent an unintended pregnancy following unprotected or inadequately protected sexual intercourse. The available options include emergency contraceptive pills or the insertion of an intrauterine device (IUD). Emergency contraception pills contain either levonorgestrel (a single 1.5 mg dose, effective within 72 h) or ulipristal acetate (a single 30 mg dose, effective within 120 h), both of which are most effective when taken as soon as possible after unprotected intercourse. Another highly effective option is the insertion of a copper or levonorgestrel-releasing intrauterine device, although IUDs are not registered for EC use in all countries. The aims of this cross-sectional, comparative, observational study were to collect data on the emergency contraception methods used by adolescent girls and young women to examine their association with various factors, such as religious beliefs, and to evaluate the effectiveness of different emergency contraception methods, including hormonal options and intrauterine devices. Methods: Data were collected from 240 women who attended our Family Planning Clinic using a structured questionnaire that included items on their demographic characteristics, religious beliefs, medical history, lifestyle factors, contraceptive use and side effects, prior use of emergency contraception, method selected, and reasons for seeking emergency contraception. Descriptive statistics were used to summarize the data, comparisons between religious groups were conducted using chi-square tests, and factors related to the timing of emergency contraceptive use were investigated using multinomial logistic regression analysis. Results: Most of the reasons for emergency contraception use did not differ significantly between Christian and Muslim participants. However, Christians were significantly more likely to use emergency contraception due to missed contraceptive doses (20.9% vs. 6.7%, p = 0.004) or the failure to take a progesterone-only pill (19.1% vs. 3.3%, p = 0.001). Levonorgestrel was the most frequently used method in both groups (48.9% of Christians vs. 60% of Muslims, p = 0.132), followed by ulipristal acetate (30.9% vs. 40%, p = 0.180). Notably, 18.5% of Christian participants used an intrauterine device (IUD) for emergency contraception, while no Muslim participants reported IUD use (p < 0.001), indicating a significant difference potentially influenced by cultural or religious factors. Conclusions: Both religious and individual sociodemographic factors affect not only the choice of emergency contraception but also the urgency with which the emergency contraception is used. Interventions aimed at improving contraception education, addressing partner-related challenges, and promoting timely access could improve reproductive health outcomes. Full article
Show Figures

Figure 1

7 pages, 205 KB  
Case Report
Asparaginase Hypersensitivity Reactions in NK/T-Cell Lymphomas
by Javier Varela Gonzalez-Aller, Pablo Nadal, Salome Cañizares, Carmen Muñoz, Anna Valer, Eva Gonzalez-Barca, Eva Domingo, Ana Sureda and Silvana Novelli
Clin. Pract. 2025, 15(11), 211; https://doi.org/10.3390/clinpract15110211 - 17 Nov 2025
Viewed by 790
Abstract
Background/Objectives: Asparaginase (ASP)-based chemotherapy has substantially improved clinical outcomes in Epstein–Barr virus (EBV)-positive NK/T-cell lymphomas (NKTCL). However, as a bacterial-derived enzyme, ASP is frequently associated with immune-mediated adverse events, particularly hypersensitivity reactions (HSRs), which may compromise both treatment efficacy and patient safety. [...] Read more.
Background/Objectives: Asparaginase (ASP)-based chemotherapy has substantially improved clinical outcomes in Epstein–Barr virus (EBV)-positive NK/T-cell lymphomas (NKTCL). However, as a bacterial-derived enzyme, ASP is frequently associated with immune-mediated adverse events, particularly hypersensitivity reactions (HSRs), which may compromise both treatment efficacy and patient safety. This report presents a case of an ASP-related HSR and reviews the incidence within our institutional cohort. Detailed Case Description: A 60-year-old female presented an immediate Grade 2 HSR during her second PEG-asparaginase infusion, with pruritus, vomiting, and presyncope. The infusion was discontinued, and she was subsequently transitioned to crisantaspase—an alternative formulation—which was well tolerated without further adverse events. She remains disease-free to date. A retrospective review of institutional records (2015–2025) identified six patients with NKTCL treated with ASP-containing chemotherapy. The incidence of HSRs in this cohort was 1 of 6 (16.7%). Conclusions: As in acute lymphoblastic leukemia, HSRs to asparaginase remains a major challenge in the management of NKTCL with potential implications for treatment safety and efficacy. The establishment of standardized, consensus-based criteria for the diagnosis, classification, and management of ASP-related HSRs is urgently needed to optimize patient outcomes. Full article
11 pages, 303 KB  
Article
Induction of Labor After Fetal Demise in Third Trimester—A Retrospective Cohort Study
by Sara Vodopivec, Gorazd Kavšek, Polona Pečlin and Mirjam Druškovič
Clin. Pract. 2025, 15(11), 210; https://doi.org/10.3390/clinpract15110210 - 17 Nov 2025
Viewed by 1539
Abstract
Objectives: The aim of our study was to assess the efficacy and safety of two different labor induction methods in patients after fetal demise beyond 28 weeks, with an unfavorable cervix: misoprostol—prostaglandin E1 analog (PGE1) and dinoprostone—prostaglandin E2 analog (PGE2). Methods: [...] Read more.
Objectives: The aim of our study was to assess the efficacy and safety of two different labor induction methods in patients after fetal demise beyond 28 weeks, with an unfavorable cervix: misoprostol—prostaglandin E1 analog (PGE1) and dinoprostone—prostaglandin E2 analog (PGE2). Methods: This retrospective single-center cohort study included all labor cases after fetal demise (intrauterine fetal death or termination of pregnancy with feticide) from 28 to 40 weeks of gestation, where labor was induced by either PGE1 or PGE2. The primary outcome was the induction-to-delivery time interval. Secondary outcomes included the proportion of patients who delivered within 24 h, the failed induction rate, the length of labor, pain during induction, the adverse outcome rate, and the post-labor hospital stay. Results: The induction-to-delivery time interval was shorter in the PGE1 group (p = 0.048). There was no statistically significant difference in the proportion of patients who delivered within 24 h (p = 0.651) and failed inductions (p = 0.18) between groups. The duration of labor was longer in the PGE2 group (p = 0.01). Oxytocin augmentation was more common in the PGE2 group (p < 0.001). Pain during induction was greater in women in the PGE1 group (p < 0.001). There were no statistically significant differences in adverse effects between groups. There was no significant difference in induction to delivery interval between the two methods when comparing lower and higher gestational ages (28 to 34 weeks, p = 0.18; 35 to 40 weeks, p = 0.343). Conclusions: Our findings support the use of a PGE1 regimen for third-trimester labor induction after fetal demise, when no contraindications exist. This approach appears to improve the efficiency of induction and may enhance overall patient care by reducing intervention needs. Full article
Show Figures

Figure 1

10 pages, 791 KB  
Brief Report
Phrenic Nerve Conduction Reference Values in Healthy Adults: An Exploratory Cross-Sectional Study in a Mexican Population
by Francisco Javier González-López, Josefina Hernández-Cervantes, Sol Ramírez-Ochoa, Gabino Cervantes-Guevara, Guillermo A. Cervantes-Cardona, Francisco Javier Hernández-Mora, Berenice Vicente-Hernández, Alejandro González-Ojeda, Clotilde Fuentes-Orozco, Janet Cristina Vázquez-Beltrán and Enrique Cervantes-Pérez
Clin. Pract. 2025, 15(11), 209; https://doi.org/10.3390/clinpract15110209 - 16 Nov 2025
Viewed by 764
Abstract
Background/Objectives: Phrenic nerve conduction (PNC) studies are essential for evaluating respiratory dysfunction and neuromuscular disorders. Despite international reference data, no normative values exist for the Mexican population. This study aimed to establish reference values for PNC latency and amplitude in healthy Mexican [...] Read more.
Background/Objectives: Phrenic nerve conduction (PNC) studies are essential for evaluating respiratory dysfunction and neuromuscular disorders. Despite international reference data, no normative values exist for the Mexican population. This study aimed to establish reference values for PNC latency and amplitude in healthy Mexican adults. Methods: We conducted a cross-sectional study between June 2022 and February 2023 including healthy adults (>18 years). Bilateral PNC studies were performed using surface electrodes and a 4-channel stimulation device. Latency and amplitude were recorded, and demographic and anthropometric data were collected. Results: Fifty subjects (22 women, 44%; 28 men, 56%) were enrolled. Mean latency was 6.10 ms (SD ± 1.48), and mean amplitude was 0.60 mV (SD ± 0.20). Significant differences were observed in left phrenic nerve latency between women and men (median 5.83 vs. 6.37 ms, p = 0.0348) and in amplitude between left and right phrenic nerves (0.55 vs. 0.65 mV, p = 0.0036). No significant correlations were found between latency and age or between amplitude and thoracic perimeter; however, the correlation coefficient suggests a positive relationship for both that should be confirmed in future studies with a larger sample size. Conclusions: This is the first report of PNC normative values in Mexican adults. Findings are consistent with international data and provide locally relevant reference values. Larger multicenter studies are warranted to validate and expand these results. Full article
Show Figures

Figure 1

12 pages, 451 KB  
Article
Patients Prefer Human Empathy, but Not Always Human Wording: A Single-Blind Within-Subject Trial of GPT-Generated vs. Clinician Discharge Texts in Emergency Ophthalmology
by Dea Samardzic, Jelena Curkovic, Donald Okmazic, Sandro Glumac, Josip Vrdoljak, Marija Skara Kolega and Ante Kreso
Clin. Pract. 2025, 15(11), 208; https://doi.org/10.3390/clinpract15110208 - 14 Nov 2025
Viewed by 783
Abstract
Background/Objectives: Written discharge explanations are crucial for patient understanding and safety in emergency eye care, yet their tone and clarity vary. Large language models (LLMs, artificial intelligence systems trained to generate human-like text) can produce patient-friendly materials, but direct, blinded comparisons with clinician-written [...] Read more.
Background/Objectives: Written discharge explanations are crucial for patient understanding and safety in emergency eye care, yet their tone and clarity vary. Large language models (LLMs, artificial intelligence systems trained to generate human-like text) can produce patient-friendly materials, but direct, blinded comparisons with clinician-written texts remain scarce. This study compared patient perceptions of a routine clinician-written discharge text and a GPT-5-generated explanation, where GPT-5 (OpenAI) is a state-of-the-art LLM, based on the same clinical facts in emergency ophthalmology. The primary objective was empathy; secondary outcomes included clarity, detail, usefulness, trust, satisfaction, and intention to follow advice. Methods: We conducted a prospective, single-blind, within-subject study in the Emergency Ophthalmology Unit of the University Hospital Centre Split, Croatia. Adults (n = 129) read two standardized texts (clinician-written vs. GPT-5-generated), presented in identical format and in randomized order under masking. Each participant rated both on Likert scales with 1–5 points. Paired comparisons used Wilcoxon signed-rank tests with effect sizes, and secondary outcomes were adjusted using the Benjamini–Hochberg false discovery rate. Results: Empathy ratings were lower for the GPT-5-generated text than for the clinician-written text (means 3.97 vs. 4.30; mean difference −0.33; 95% CI −0.44 to −0.22; p < 0.001). After correcting for multiple comparisons, no secondary outcome differed significantly between sources. Preferences were evenly split (47.8% preferred GPT-5 among those expressing a preference). Conclusions: In emergency ophthalmology, GPT-5-generated explanations approached clinician-written materials on most perceived attributes but were rated less empathic. A structured, human-in-the-loop workflow—in which LLM-generated drafts are reviewed and tailored by clinicians—appears prudent for safe, patient-centered deployment. Full article
Show Figures

Figure 1

9 pages, 1050 KB  
Article
Impact of an Artificial Intelligence-Guided Pulmonary Embolism Response Team (AIPERT) on Patient Transfers, Diagnosis, and Management: A Healthcare System Experience
by Akhil Khosla, Inderjit Singh, Jeffrey Pollak and Hamid Mojibian
Clin. Pract. 2025, 15(11), 207; https://doi.org/10.3390/clinpract15110207 - 13 Nov 2025
Viewed by 781
Abstract
Background: Pulmonary embolism (PE) is a time-sensitive condition with variable clinical presentations and outcomes. Rapid risk stratification and appropriate triage are essential for optimizing treatment and patient outcomes. Artificial intelligence (AI) offers an opportunity to enhance clinical decision-making, yet its real-world applications remain [...] Read more.
Background: Pulmonary embolism (PE) is a time-sensitive condition with variable clinical presentations and outcomes. Rapid risk stratification and appropriate triage are essential for optimizing treatment and patient outcomes. Artificial intelligence (AI) offers an opportunity to enhance clinical decision-making, yet its real-world applications remain limited. Objective: The objective of this study was to describe a single healthcare system’s implementation and early experience with an AI-enabled triage tool for pulmonary embolism patients across a multi-hospital network. Methods: This retrospective observational study evaluated the deployment of an AI-based clinical decision support system within a healthcare network. The AI tool detected PE and right ventricular (RV) strain and alerted the PE response team (PERT) to facilitate timely transfer and intervention. Three cohorts were evaluated: pre-AI, Year 1 post-AI, and Year 2 post-AI. Outcomes included transfer volumes, advanced therapy rates, and hospital length of stay (LOS). Results: A total of 183 PE transfer patients were analyzed: 36 pre-AI, 72 in Year 1 post-AI, and 75 in Year 2 post-AI. Transfers increased by 100% in Year 1 (p = 0.0005) and 108% in Year 2 (p = 0.011) compared to pre-AI. Catheter-based thrombectomy increased from 10 pre-AI to 18 in Year 1 (+80%, p < 0.0001) and 28 in Year 2 (+180%, p = 0.0006). After-hours diagnosis rose from 69.4% pre-AI to 70.8% in Year 1 (p = 0.027) and 77.3% in Year 2 (p = 0.088). Surgical embolectomy showed a borderline increase in Year 2 (p = 0.04), though case numbers were small. Conclusions: Implementation of an AI-assisted triage platform for PE was associated with sustained increases in interhospital transfers and advanced interventions, and a reduction in hospital length of stay. These findings support the potential for AI to standardize and expedite acute PE care in a multi-hospital health system. Full article
Show Figures

Figure 1

14 pages, 406 KB  
Review
Assessing the Oral Microbiome in Women of Reproductive Age: A Narrative Review
by Tiberiu H. Ionaș, Mona Ionaș, Radu Chicea, Dragoș A. Dădârlat and Laura Ștef
Clin. Pract. 2025, 15(11), 206; https://doi.org/10.3390/clinpract15110206 - 11 Nov 2025
Viewed by 995
Abstract
The oral microbiome may be an indicator of oral pathologies and hormonal fluctuations. Consequently, the proper identification of methods for studying microbial factors is essential. Because more than half of the components of the oral microbiome belong to species that are very difficult [...] Read more.
The oral microbiome may be an indicator of oral pathologies and hormonal fluctuations. Consequently, the proper identification of methods for studying microbial factors is essential. Because more than half of the components of the oral microbiome belong to species that are very difficult or even impossible to cultivate in the laboratory, the assessment of the oral microbiome nowadays is based on genetic sequencing, using techniques such as DNA hybridization, 16S rRNA sequencing, and metagenomics, mainly analyzing saliva and subgingival plaque. Variations in results may be caused by differences in sample type, analysis methods, accuracy in determining cycle phases, and biases introduced by DNA extraction techniques and technical variations. Choosing the right primers for the 16S rRNA gene and reference databases (like HOMD, Greengenes2) is essential for accurately identifying microorganisms. Metagenomic sequencing offers greater taxonomic and functional detail, but it is costlier and presents bioinformatics challenges, including contamination with human DNA. When the patients under study are women, we have to take into consideration the cyclical changes in the menstrual cycle. Studies suggest that estrogen influences local immune and inflammatory responses and can worsen existing gingival inflammation. Certain oral bacteria can even utilize estradiol and progesterone as growth factors. The composition of the oral microbiome is also affected by hormonal contraceptives, carbohydrate intake, smoking, age, body mass index, genetics, and oral hygiene—all factors that need to be controlled for in future studies. Interpreting the biological significance of the reported cyclic changes requires careful examination of the specific methods used in each study. Full article
Show Figures

Figure 1

22 pages, 1654 KB  
Systematic Review
Giant Asymptomatic Submandibular Sialolith: A Case Report Accompanied by Systematic Review
by Renato Gomes Azevedo, Luan Felipe Toro, Vinícius Franzão Ganzaroli, Vinícius José Ifanger, Nathan Ayres de Faria, Rodrigo Ubiali de Rezende, Julia da Conceição Francisquini and Gestter Willian Lattari Tessarin
Clin. Pract. 2025, 15(11), 205; https://doi.org/10.3390/clinpract15110205 - 10 Nov 2025
Viewed by 1229
Abstract
Background/Objectives: Salivary stones, also known as sialoliths, are calcified structures that develop within the salivary glands and/or their ducts. They occur in approximately 1 per 10,000 to 30,000 individuals per year, primarily affecting adults between 30 and 50 years of age. Although several [...] Read more.
Background/Objectives: Salivary stones, also known as sialoliths, are calcified structures that develop within the salivary glands and/or their ducts. They occur in approximately 1 per 10,000 to 30,000 individuals per year, primarily affecting adults between 30 and 50 years of age. Although several hypotheses have been proposed, the exact mechanisms of formation and their predisposing factors are yet to be confirmed. The submandibular gland is the most commonly affected site, accounting for nearly 80% of cases, while giant and asymptomatic sialoliths are rare clinical findings in dental practice. This study is divided into two components: first, a case report of a giant, asymptomatic sialolith located in Wharton’s duct; second, a systematic review of the literature to explore the clinical procedures, diagnoses, outcomes, and other relevant aspects of this pathology. Methods: The case involved a 42-year-old woman who sought dental care due to the presence of a painless sublingual swelling. Intraoral examination and imaging revealed a calcified mass consistent with sialolithiasis in Wharton’s duct. The stone was successfully removed via sialolithotomy. For the systematic review, an extensive search was conducted in PubMed, Embase, and Cochrane Library up to June 2025, using specific keywords. Initially, 262 studies were identified. After applying inclusion and exclusion criteria, six case reports were included in the final analysis. Results: All selected studies described giant salivary stones located in Wharton’s duct and/or the parenchyma of the submandibular gland, notably without associated pain. Computed tomography and ultrasonography were the most commonly used imaging modalities for diagnosis. In all cases, the primary treatment was sialolithotomy. Conclusions: This study explored a rare case report of an asymptomatic giant sialolith in Wharton’s duct, and it includes a systematic review focused exclusively on asymptomatic giant sialoliths. It specifically addresses key characteristics, preferred imaging modalities, treatment strategies, and clinical considerations for managing this uncommon condition. Registration number: Prospero registration nº CRD420251076737. Full article
Show Figures

Graphical abstract

10 pages, 827 KB  
Article
Association Between Parents’ Self-Perceived Oral Health Knowledge and the Presence of Dental Caries in Their Children
by Andrea Coello Hidalgo, Ana Alvear Miquilena, Esteven Tipan Venegas, Yeslith Sandoval Sánchez, Diego Quiguango Farias, Maria Rodriguez Tates and Byron Velasquez Ron
Clin. Pract. 2025, 15(11), 204; https://doi.org/10.3390/clinpract15110204 - 5 Nov 2025
Viewed by 920
Abstract
Introduction: Oral health in children is essential for their overall well-being, influencing nutrition, language development, and self-esteem. Dental caries represent one of the most prevalent chronic diseases in childhood. Objective: The objective of this study is to evaluate the association between parents’ self-perceived [...] Read more.
Introduction: Oral health in children is essential for their overall well-being, influencing nutrition, language development, and self-esteem. Dental caries represent one of the most prevalent chronic diseases in childhood. Objective: The objective of this study is to evaluate the association between parents’ self-perceived knowledge of oral health and the presence of dental caries in their children. Materials and Methods: A cross-sectional observational study was conducted with 1052 children aged 4 to 14 years and their parents in Quito, Ecuador. Parents completed validated questionnaires (OHIP-14, OIDP, CPQ, and OHQoL-UK) to assess their self-perceived oral health knowledge. Clinical examinations were performed to detect cavitated carious lesions. Statistical analysis included Chi-square tests and odds ratio (OR) calculations. Results: A significant association was found between lower parental knowledge and higher prevalence of dental caries in children (Chi-square = 16.245, p = 0.0062; OR = 18.18, 95% CI [1.80–183.75]). Most caries cases were found in children whose parents rated their knowledge as “good” or “very good,” suggesting a gap between perceived and actual knowledge. Conclusions: The findings highlight the need for targeted educational strategies that address both knowledge and behavioral practices in oral health, especially among parents with low self-perceived knowledge. Full article
Show Figures

Figure 1

14 pages, 426 KB  
Article
Determinants of Patient Satisfaction with Vascular Access in Hemodialysis: Insights from a Multicenter Study in Italy
by Vincenzo Andretta, Marco Cascella, Alexia Cerrone, Angela Prendin, Antonio Mastrangelo and Valentina Cerrone
Clin. Pract. 2025, 15(11), 203; https://doi.org/10.3390/clinpract15110203 - 31 Oct 2025
Viewed by 982
Abstract
Background: Vascular access is a very important element for patients on chronic hemodialysis treatment, but it is also a major source of complications, often compromising patients’ quality of life. Arteriovenous fistulas (AVFs) are preferred for their durability, but complications such as edema, bruising, [...] Read more.
Background: Vascular access is a very important element for patients on chronic hemodialysis treatment, but it is also a major source of complications, often compromising patients’ quality of life. Arteriovenous fistulas (AVFs) are preferred for their durability, but complications such as edema, bruising, cannulation pain, and hygiene concerns can affect patient satisfaction. Aim: We aimed to evaluate patient satisfaction with vascular access and to identify the clinical and sociodemographic factors influencing this satisfaction. Methods: We conducted a multicenter cross-sectional study on 235 hemodialysis patients in Italy. Satisfaction was assessed using the Short Form Vascular Access Questionnaire (SF-VAQ). Clinical and sociodemographic data were collected and analyzed with descriptive statistics, correlations, and multivariate regression models. Results: Satisfaction was significantly influenced by local complications, perceived hygiene, and access duration. Lower satisfaction was reported by patients with swelling, bruising, or negative hygiene perceptions. Longer use of the access was also associated with declining satisfaction. Conclusions: Patient satisfaction involves both clinical outcomes and patient perceptions. The integration of patient-reported outcomes (PROs) into vascular access management can help clinicians identify early dissatisfaction and implement interventions that can improve treatment adherence and quality of life. Full article
Show Figures

Figure 1

14 pages, 993 KB  
Article
Outcomes Following Surgery for Pancreatic Neuro-Endocrine Tumours: A Single-Centre Experience
by Mina Fouad, Sayed Ali Almahari, Abed Moeti Zaitoun, Prithvirao Sonoo, Sepand Malek, Karim Sourial and Dhanny Gomez
Clin. Pract. 2025, 15(11), 202; https://doi.org/10.3390/clinpract15110202 - 30 Oct 2025
Viewed by 806
Abstract
Aims: The purpose of this study was to evaluate survival outcomes and recurrence patterns following curative-intent resection of pancreatic neuroendocrine tumours (PNETs) at a UK tertiary centre. The secondary aims included identifying prognostic clinicopathological factors that influenced survival. Methods: Patients undergoing curative-intent surgical [...] Read more.
Aims: The purpose of this study was to evaluate survival outcomes and recurrence patterns following curative-intent resection of pancreatic neuroendocrine tumours (PNETs) at a UK tertiary centre. The secondary aims included identifying prognostic clinicopathological factors that influenced survival. Methods: Patients undergoing curative-intent surgical resection for PNETs between August 2010 and March 2024 were retrospectively reviewed. The data collated included demographics, histopathology, recurrence, and survival outcomes. Results: Eighty-six patients were included, with a median age of 61.5 years (IQR: 50–71) and an equal sex distribution. Most tumours were solitary (88.4%) and located in the pancreatic tail (57%), with distal pancreatectomy performed in 75% of cases. The median tumour size was 25 mm (IQR: 13–40). Lymph node metastases were observed in 23.3% of patients, and R0 resection was achieved in 67%. Most of the PNETs resected were WHO grade 1 tumours (65.1%), followed by grade 2 tumours (26.7%). Postoperative morbidity occurred in 37.2% of cases, while the 30-day postoperative mortality rate was 1.5%. Recurrence was observed in 13.95% of patients, with a median time to recurrence of 36.3 months. The 5-year overall survival (OS) was 83.0%, with a median OS and disease-free survival (DFS) of 143.3 months and 147.0 months, respectively. Multivariable analysis revealed that poorer DFS was associated with larger tumours (p = 0.009), higher tumour grade (p = 0.006), male sex (p = 0.039), vascular invasion (p = 0.003), perineural invasion (p = 0.042) and lymph node metastases (p = 0.015). OS was significantly influenced by the Charlson Comorbidity Index (p < 0.001) and tumour grade (p = 0.025). Conclusions: PNETs are associated with excellent long-term survival following curative-intent resection. However, adverse pathological features are linked to an increased risk of recurrence and a poorer prognosis. Full article
Show Figures

Graphical abstract

15 pages, 770 KB  
Systematic Review
Sleep Disturbances and Behavioral Problems in Children and Adolescents with Autism Spectrum Disorder—A Systematic Review
by Cristina Tecar, Lacramioara Eliza Chiperi, Bianca Elena Iftimie, Livia Livint Popa, Valentina Sas, Emanuel Stefanescu, Vitalie Vacaras and Dafin Fior Muresanu
Clin. Pract. 2025, 15(11), 201; https://doi.org/10.3390/clinpract15110201 - 30 Oct 2025
Cited by 1 | Viewed by 8987
Abstract
Background/Objectives: Sleep disturbances are among the most prevalent and persistent comorbidities in children and adolescents with autism spectrum disorder (ASD), affecting up to 83% of this population. These disturbances not only impact the quality of life but are increasingly recognized as significant contributors [...] Read more.
Background/Objectives: Sleep disturbances are among the most prevalent and persistent comorbidities in children and adolescents with autism spectrum disorder (ASD), affecting up to 83% of this population. These disturbances not only impact the quality of life but are increasingly recognized as significant contributors to behavioral dysregulation. Methods: This systematic review synthesizes evidence from 26 studies published between 2010 and 2024, examining the association between sleep problems and behavioral outcomes in individuals with ASD aged 2 to 18 years. Results: The findings reveal consistent associations between sleep-onset insomnia, night walking, bedtime resistance, and various behavioral difficulties, including aggression, hyperactivity, and emotional dysregulation. Internalizing symptoms and exacerbation of core ASD features were also linked to chronic sleep problems. Studies employing objective sleep measures, such as actigraphy and polysomnography, further supported these associations by identifying disruptions in sleep architecture correlated with behavioral severity. While most included studies were of moderate to high methodological quality, the limited number of randomized controlled trials and heterogeneity of sleep and behavior assessment tools highlight the need for standardization. Conclusions: Overall, the review emphasizes the importance of routine sleep evaluation in ASD clinical care and supports targeted sleep interventions as a potential strategy to reduce behavioral problems and improve developmental outcomes. Full article
Show Figures

Figure 1

17 pages, 1610 KB  
Article
Advancing Toward P6 Medicine: Recommendations for Integrating Artificial Intelligence in Internal Medicine
by Ismael Said-Criado, Filomena Pietrantonio, Marco Montagna, Francesco Rosiello, Oleg Missikoff, Carlo Drago, Tiffany I. Leung, Antonio Vinci, Alessandro Signorini and Ricardo Gómez-Huelgas
Clin. Pract. 2025, 15(11), 200; https://doi.org/10.3390/clinpract15110200 - 29 Oct 2025
Cited by 1 | Viewed by 1347
Abstract
Background: Internists formulate diagnostic hypotheses and personalized treatment plans by integrating data from a comprehensive clinical interview, reviewing a patient’s medical history, physical examination and findings from complementary tests. The patient treatment life cycle generates a significant volume of data points that can [...] Read more.
Background: Internists formulate diagnostic hypotheses and personalized treatment plans by integrating data from a comprehensive clinical interview, reviewing a patient’s medical history, physical examination and findings from complementary tests. The patient treatment life cycle generates a significant volume of data points that can offer valuable insights to improve patient care by guiding clinical decision-making. Artificial Intelligence (AI) and, in particular, Generative AI (GAI), are promising tools in this regard, particularly after the introduction of Large Language Models. The European Federation of Internal Medicine (EFIM) recognizes the transformative impact of AI in leveraging clinical data and advancing the field of internal medicine. This position paper from the EFIM explores how AI can be applied to achieve the goals of P6 Medicine principles in internal medicine. P6 Medicine is an advanced healthcare model that extends the concept of Personalized Medicine toward a holistic, predictive, patient-centered approach that also integrates psycho-cognitive and socially responsible dimensions. An additional concept introduced is that of Digital Therapies (DTx), software applications designed to prevent and manage diseases and disorders through AI, which are used in the clinical setting if validated by rigorous research studies. Methods: The literature examining the relationship between AI and Internal Medicine was investigated through a bibliometric analysis. The themes identified in the literature review were further examined through the Delphi method. Thirty international AI and Internal Medicine experts constituted the Delphi panel. Results: Delphi results were summarized in a SWOT Analysis. The evidence is that through extensive data analysis, diagnostic capacity, drug development and patient tracking are increased. Conclusions: The panel unanimously considered AI in Internal Medicine as an opportunity, achieving a complete consensus on the matter. AI-driven solutions, including clinical applications of GAI and DTx, hold the potential to strongly change internal medicine by streamlining workflows, enhancing patient care and generating valuable data. Full article
Show Figures

Figure 1

15 pages, 903 KB  
Systematic Review
Melatonin and Cortisol Suppression and Circadian Rhythm Disruption in Burnout Among Healthcare Professionals: A Systematic Review
by Alexandru Ungurianu and Virginia Marina
Clin. Pract. 2025, 15(11), 199; https://doi.org/10.3390/clinpract15110199 - 29 Oct 2025
Cited by 2 | Viewed by 3750
Abstract
Background: Burnout among healthcare professionals is increasingly recognized as a syndrome with biological correlations. Beyond psychosocial factors, circadian misalignment, sleep disturbances, and hormonal dysregulation—particularly involving melatonin and cortisol—are emerging as relevant mechanisms. Methods: We systematically reviewed studies published between 2015 and [...] Read more.
Background: Burnout among healthcare professionals is increasingly recognized as a syndrome with biological correlations. Beyond psychosocial factors, circadian misalignment, sleep disturbances, and hormonal dysregulation—particularly involving melatonin and cortisol—are emerging as relevant mechanisms. Methods: We systematically reviewed studies published between 2015 and 2025 examining associations between burnout, melatonin, circadian disruption, sleep quality, and related biomarkers in healthcare workers. Results: Across 14 included studies, burnout was associated with suppressed melatonin secretion, cortisol dysregulation, and circadian misalignment, including social jet lag and poor sleep quality. Night-shift nurses consistently displayed greater circadian disruption and higher burnout scores than day-shift colleagues. Evidence also suggests that environmental and interventional approaches—such as optimizing daylight exposure and melatonin supplementation to improve sleep quality and cognitive performance—may mitigate circadian disruption and occupational fatigue. Conclusions: Burnout should be recognized as a biopsychosocial syndrome with measurable chronobiological correlates. Future research should integrate circadian biomarkers into occupational health assessments and evaluate preventive strategies aimed at preserving circadian health in healthcare professionals. Full article
Show Figures

Figure 1

11 pages, 1053 KB  
Article
Changing Tides in the Treatment of Spondylodiscitis? A Retrospective, Monocentric Comparison of Mortality and Quality of Life After Surgical and Conservative Treatment
by Victoria Buschmann, Erik Wegner, Daniel Wagner, Alexander N. Wartensleben, Philipp Drees, Stefan Mattyasovszky and Tobias Nowak
Clin. Pract. 2025, 15(11), 198; https://doi.org/10.3390/clinpract15110198 - 29 Oct 2025
Viewed by 596
Abstract
Background: The increasing incidence of spondylodiscitis and its potentially severe consequences when not promptly diagnosed highlight the need for further research to improve treatment guidelines, reduce mortality and morbidity and improve the quality of life in patients who suffer from persistent physical limitations. [...] Read more.
Background: The increasing incidence of spondylodiscitis and its potentially severe consequences when not promptly diagnosed highlight the need for further research to improve treatment guidelines, reduce mortality and morbidity and improve the quality of life in patients who suffer from persistent physical limitations. Methods: We collected data from 103 patients, with 8 patients lost to follow-up, who were diagnosed with vertebral osteomyelitis, disk infection or discitis between 2009 and 2018. The primary outcome was the 1-year mortality rate in patients treated with either conservative or surgical intervention, with both groups receiving antibiotic treatment. A standardized questionnaire was used to assess health-related quality of life after treatment by evaluating the European Quality of Life 5 Dimension 5 Level version (EQ-5D-5L) and the European Quality of Life Visual Analog Scale (EQ-VAS). In addition, we used the Oswestry Disability Index (ODI) and the Parker Mobility Score to identify backpain-related limitations after treatment. Results: The group receiving surgical treatment had a significantly lower 1-year mortality rate (22%) than did those who were treated conservatively, who had a 4-fold greater risk for death after a year following first diagnosis of SD and treatment. With respect to quality of life, 39 patients answered the standardized questionnaires during follow-up, and the questionnaire results revealed no significant difference in limitations in daily life or in health-related quality of life, with a median Parker Mobility Score of 9 for the conservatively treated patients compared with 7.5 for the surgically treated patients. This difference between the groups was not statistically significant, with a p value of 0.216 > α. A similar result was obtained in the evaluation of the ODI, with a medial index of 30% in the conservatively treated group compared with 24% in the surgical group, which was not statistically significant as indicated by a p value of 0.360 > α. Conclusions: The early surgical approach when treating spondylodiscitis is advantageous for identifying the underlying infection and initiating appropriate antibiotic therapy, therefore reducing mortality and resulting in a greater likelihood of full recovery than the conservative treatment does. Full article
Show Figures

Graphical abstract

16 pages, 805 KB  
Article
Reimagining Arterial Hypertension and Dyslipidemia Care: Telemedicine’s Promise and Pitfalls from the Slovak Patient Viewpoint
by Stefan Toth, Adriana Jarolimkova, Patrik Bucek, Martin Sevcik, Pavol Fulop and Tibor Poruban
Clin. Pract. 2025, 15(11), 197; https://doi.org/10.3390/clinpract15110197 - 27 Oct 2025
Viewed by 746
Abstract
Background and objectives: Numerous studies and meta-analyses have established the efficacy of telemonitoring for blood pressure and other components of metabolic syndrome in improving disease management. Nevertheless, the adoption of telemonitoring technologies is often hindered by personal, technological, and systemic barriers. In [...] Read more.
Background and objectives: Numerous studies and meta-analyses have established the efficacy of telemonitoring for blood pressure and other components of metabolic syndrome in improving disease management. Nevertheless, the adoption of telemonitoring technologies is often hindered by personal, technological, and systemic barriers. In Slovakia, where patient–physician contact rates are high, there is limited research on patients’ perspectives regarding telemedicine adoption for cardiovascular risk management. The objective of this study was to examine patients’ perspectives on and perceived obstacles to the use of telemonitoring for arterial hypertension and dyslipidemia in Slovakia. Methods: This cross-sectional, questionnaire-based survey targeted a cohort of 18,053 patients. The survey instrument was designed to gather data on several key areas: patient demographic characteristics, blood pressure measurement habits, the utilization of smart technologies, perceived benefits and barriers to telemonitoring, and patients’ knowledge of their lipid profiles and cardiovascular risk factors. Statistical analysis included chi-square tests, ANOVA, and effect size calculations with 95% confidence intervals (CI). Results: A total of 1787 patient responses (9.9%) were collected. Among the respondents, 67.4% (n = 1204) had arterial hypertension, while 7.9% (n = 95) were on non-pharmacological therapy. Only 21.2% (n = 255) of hypertensive patients measured their blood pressure daily, with a significantly higher proportion of men than women (28.6% vs. 12.7%, p = 0.011, Cohen’s d = 0.42). The most frequent users of blood pressure monitoring were in the 31–45 age group (p = 0.001, η2 = 0.08). A total of 19.4% (n = 347) of respondents used wearable devices, and 6.3% (n = 113) used blood pressure monitors connected to an application. Smart technology use was significantly more common in the 31–45 age group (p = 0.01, Cramer’s V = 0.15). Moderate interest in telemedicine was expressed by 69.8% (n = 1247) of respondents, though only 27.4% (n = 490) showed strong interest. The majority of patients (73.8%, n = 1319) did not know their LDL-C levels, and 45.7% (n = 817) of those who did had elevated levels. Conclusions: The findings suggest that while interest in telemedicine methods for the management of arterial hypertension and dyslipidemia exists among Slovak patients, it is more moderate than initially assumed. Importantly, expressed willingness to participate in a study should not be directly equated with readiness to adopt new technologies in daily practice. Successful integration of telemonitoring into the Slovak healthcare system will therefore require not only patient engagement but also active support from healthcare providers to overcome practical and motivational barriers. These findings highlight the need for targeted implementation strategies that address the specific barriers identified in the Central and Eastern European healthcare context. Full article
Show Figures

Figure 1

2 pages, 146 KB  
Reply
Reply to Haq et al. Comment on “Leivaditis et al. Artificial Intelligence in Cardiac Surgery: Transforming Outcomes and Shaping the Future. Clin. Pract. 2025, 15, 17”
by Vasileios Leivaditis, Eleftherios Beltsios, Athanasios Papatriantafyllou, Konstantinos Grapatsas, Francesk Mulita, Nikolaos Kontodimopoulos, Nikolaos G. Baikoussis, Levan Tchabashvili, Konstantinos Tasios, Ioannis Maroulis, Manfred Dahm and Efstratios Koletsis
Clin. Pract. 2025, 15(11), 196; https://doi.org/10.3390/clinpract15110196 - 27 Oct 2025
Viewed by 499
Abstract
We thank Haq and Khan for their thoughtful commentary [...] Full article
2 pages, 141 KB  
Comment
Comment on Leivaditis et al. Artificial Intelligence in Cardiac Surgery: Transforming Outcomes and Shaping the Future. Clin. Pract. 2025, 15, 17
by Hassam Ul Haq and Muhammad Abdul Haseeb Khan
Clin. Pract. 2025, 15(11), 195; https://doi.org/10.3390/clinpract15110195 - 27 Oct 2025
Cited by 1 | Viewed by 382
Abstract
We would like to thank Leivaditis et al [...] Full article
13 pages, 3122 KB  
Article
Medical Professionals’ Opinions of and Attitudes Toward Uterus Transplantation in Hungary
by Kata Szilvia Papp, Peter Szakaly, Szilard Kolumban, Kálmán András Kovács, Jozsef Bodis, Nelli Farkas, Gabor Fazekas and Balint Farkas
Clin. Pract. 2025, 15(11), 194; https://doi.org/10.3390/clinpract15110194 - 25 Oct 2025
Viewed by 769
Abstract
Background: Uterus transplantation (UTx) is a proven treatment for individuals affected by absolute uterine factor infertility (AUFI) who desire biological motherhood. Despite the fact that over 130 procedures have been performed worldwide in the past decade, UTx remains relatively unfamiliar, even among [...] Read more.
Background: Uterus transplantation (UTx) is a proven treatment for individuals affected by absolute uterine factor infertility (AUFI) who desire biological motherhood. Despite the fact that over 130 procedures have been performed worldwide in the past decade, UTx remains relatively unfamiliar, even among healthcare professionals. This study aimed to identify knowledge gaps regarding and evaluate attitudes toward UTx among Hungarian obstetricians/gynecologists and transplantation providers, in anticipation of the first procedure to be performed in the country. Methods: A Microsoft Forms® questionnaire was distributed electronically among Hungarian medical professionals via e-mail, including members of the Hungarian Society of Obstetrics and Gynaecology and the Hungarian Transplantation Society. Additionally, participants of the “Update 2024” OB/GYN conference (held 28–29 November 2024, in Visegrád, Hungary) were invited to complete the survey through a QR code displayed during the event. Results: A total of 290 medical professionals completed the survey (response rate: 27.6%, 290/1050). Most of the respondents specialized in obstetrics and gynecology (81.7%, n = 237), with the remainder representing transplantation fields (18.3%, n = 53). Over half (56.6%, n = 161) reported they would recommend UTx to patients with AUFI, and 64.1% (n = 186) agreed that UTx should be available as a treatment option. The medical risks associated with the procedure were deemed acceptable for both living donors (58.0%, n = 168) and recipients (54.8%, n = 159). Conclusions: This is the first study to explore perceptions of UTx among Hungarian medical professionals. The findings suggest there is a generally favorable professional attitude toward its future clinical implementation. Full article
Show Figures

Figure 1

14 pages, 687 KB  
Article
Suboptimal LDL-C Goal Attainment After Ischemic Stroke and TIA: Prevalence, Determinants, and Clinical Implications
by Pawonrath Rabob and Arom Jedsadayanmata
Clin. Pract. 2025, 15(11), 193; https://doi.org/10.3390/clinpract15110193 - 23 Oct 2025
Viewed by 1490
Abstract
Background: Achieving low-density lipoprotein cholesterol (LDL-C) goals is essential for secondary prevention after atherosclerotic ischemic stroke or transient ischemic attack (TIA). This study assessed the prevalence of LDL-C goal attainment and identified associated determinants post-ischemic stroke/TIA. Methods: A cohort of Thai patients discharged [...] Read more.
Background: Achieving low-density lipoprotein cholesterol (LDL-C) goals is essential for secondary prevention after atherosclerotic ischemic stroke or transient ischemic attack (TIA). This study assessed the prevalence of LDL-C goal attainment and identified associated determinants post-ischemic stroke/TIA. Methods: A cohort of Thai patients discharged on statin therapy after admission with acute ischemic stroke or TIA was evaluated for LDL-C goal attainment within 12 months post-discharge. Logistic regression determines factors associated with LDL-C goal attainment, and the generalized linear model confirmed the association between covariates and LDL-C reduction. Results: Among 487 patients (85.8% with ischemic stroke), the prevalence of LDL-C goal attainment differed across LDL-C target levels: 9.9% for <55 mg/dL, 29.0% for <70 mg/dL, 70.4% for <100 mg/dL, and 17.5% for ≥50% reduction from baseline. Logistic regression identified high-intensity statins as a significant predictor of goal attainment at <70 mg/dL (OR 1.91, 95% CI 1.09–3.34), <100 mg/dL (OR 1.64, 95% CI 1.01–2.67), and ≥50% reduction (OR 2.32, 95% CI 1.14–4.73), but not <55 mg/dL (OR 1.65, 95% CI 0.72–3.79). In the generalized linear model, high-intensity statin and baseline LDL-C were significant determinants of LDL-C reduction. Conclusions: LDL-C target attainment after ischemic stroke/TIA is modest overall, and remains low for the more stringent targets (<55 mg/dL). High-intensity statins improve goal attainment and produce greater LDL-C reductions, supporting wider use of more aggressive lipid-lowering strategies in this high-risk population. Full article
Show Figures

Figure 1

25 pages, 1676 KB  
Article
miRNA-146-a, miRNA-21, miRNA-143, miRNA-29-b and miRNA-223 as Potential Biomarkers for Atopic Dermatitis
by Sanja Jakovljevic, Iva Barjaktarovic, Dunja Jakovljevic, Olivera Levakov and Ljuba Vujanovic
Clin. Pract. 2025, 15(11), 192; https://doi.org/10.3390/clinpract15110192 - 23 Oct 2025
Cited by 1 | Viewed by 900
Abstract
Background/Objectives: Recently, epigenetic mechanisms have been recognized as crucial in atopic dermatitis development. The emphasis of this research was on expanding existing knowledge about the epigenetic aspects of atopic dermatitis, as well as identifying new molecules that could serve as disease biomarkers. [...] Read more.
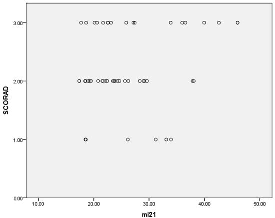
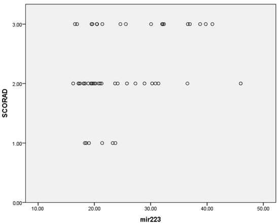
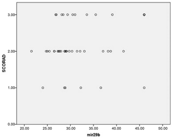
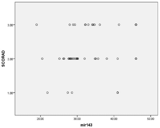
Background/Objectives: Recently, epigenetic mechanisms have been recognized as crucial in atopic dermatitis development. The emphasis of this research was on expanding existing knowledge about the epigenetic aspects of atopic dermatitis, as well as identifying new molecules that could serve as disease biomarkers. Methods: The research was conducted as a cross-sectional study examining two groups: the group with atopic dermatitis (50 patients) and the control group (50 healthy adults). The serum levels of total immunoglobulin E (IgE) and eosinophil count (Eos%) were performed in routine laboratory analyses, and the detection of microRNAs from peripheral blood was performed using RT-PCR. Results: Analysis of selected miRNA expressions in patients with atopic dermatitis and controls revealed that only the expression and the relative expression of miRNA-146a were statistically significantly higher in patients with atopic dermatitis than in the control group (p = 0.042 and p = 0.021, respectively). There was a weak positive correlation between miRNA-146a expression and the eosinophilia/IgE level (r = 0.22 and r = 0.25, respectively). MiRNA-21, miRNA-29b, miRNA-143 and miRNA-223 were significantly upregulated in patients with higher SCORAD (p < 0.001, p < 0.001, p < 0.001 and p = 0.015, respectively). ROC curve analysis revealed the specificity of miRNA-146a as 82% and the sensitivity as 62%. The area under the ROC curve (AUC) was 0.7, indicating its diagnostic potential. Conclusions: Our findings imply that miRNA-146a might serve as a biomarker of atopic dermatitis, suggesting its relevance in the development of the disease, while miRNA-21, miRNA-29b, miRNA-143 and miRNA-223 may have an impact on disease progression. Our findings provide a preliminary basis that should precede validation through larger, multicentric studies and use in diagnostics, targeted personalized treatments and monitoring of treatment efficacy in atopic dermatitis. Full article
Show Figures

Graphical abstract

13 pages, 3076 KB  
Article
Estimation of Kidney Volumes in Autosomal Dominant Polycystic Kidney Disease: A Comparison Between Manual Segmentation and Ellipsoid Formula
by Nicola Maggialetti, Claudia Dipalma, Eva Colucci, Ilaria Villanova, Giovanni Lorusso, Maria Grazia Arcidiacono, Giovanni Piscopo and Amato Antonio Stabile Ianora
Clin. Pract. 2025, 15(11), 191; https://doi.org/10.3390/clinpract15110191 - 23 Oct 2025
Viewed by 1158
Abstract
Objectives: Evaluate the agreement and interobserver variability between manual segmentation and the ellipsoid formula in estimating single kidney volume (SKV) in patients with autosomal dominant polycystic kidney disease (ADPKD). Methods: In this retrospective study, 130 unenhanced CT scans of ADPKD kidneys [...] Read more.
Objectives: Evaluate the agreement and interobserver variability between manual segmentation and the ellipsoid formula in estimating single kidney volume (SKV) in patients with autosomal dominant polycystic kidney disease (ADPKD). Methods: In this retrospective study, 130 unenhanced CT scans of ADPKD kidneys were analyzed. Three radiologists (one senior, two juniors) measured SKV using manual segmentation and the ellipsoid formula. Statistical analyses included intraclass correlation coefficient (ICC), Wilcoxon signed-rank test, Bland–Altman analysis, and paired t-tests to compare measurement values and computation times. Results: Both methods showed excellent interobserver agreement (ICC ≥ 0.977). No significant difference was observed in volume estimates between the two techniques (Wilcoxon p = 0.295). Bland–Altman analysis confirmed strong agreement between methods for the senior radiologist. The ellipsoid method was significantly faster for all readers (p < 0.05). Conclusions: The ellipsoid formula is a reliable, time-efficient alternative to manual segmentation for SKV estimation in ADPKD, offering comparable accuracy with reduced resource demands in clinical settings. Full article
Show Figures

Figure 1

Previous Issue
Next Issue
Back to TopTop