Abstract
Although in vivo studies have explored the relationship between oral environment and microbial communities, a precise analysis of the effects of environmental pH on oral microbiota remains challenging owing to their complexity and external influences. This study aimed to investigate the effect of environmental pH on the structure and diversity of oral microbiota in vitro. Tongue coating samples from ten participants were cultured anaerobically at six pH levels (5.5–8.0) using adjusted media. After DNA extraction, high-throughput sequencing of the 16s rRNA V3–V4 region was performed. Microbial diversity was analyzed using alpha and beta diversity indices, and differential taxa were identified using linear discriminant analysis effect size (LEfSe). Alpha diversity analysis revealed reduced diversity at pH 5.5 and 8.0. Beta diversity revealed that microbial communities at pH 5.5, 7.5, and 8.0 were separated from those at pH 7.0. LEfSe identified bacterial species that were significantly altered at pH 5.5 and 8.0. Environmental pH significantly influences the diversity and composition of microbial communities, with substantial changes occurring under acidic or alkaline conditions. These findings provide deeper insight into how oral biofilms respond to pH variations, underscoring the critical role of pH in oral microbiota dynamics.
1. Introduction
The oral microbiome is one of the most diverse microbial communities inhabiting the human body [1]. It forms biofilms on various hard and soft tissue surfaces, such as the supragingival and subgingival areas, tongue, and buccal mucosa. To date, more than 700 bacterial taxa have been identified [2], highlighting the diversity and complexity of the oral microbiota. This microbial community plays a crucial role in maintaining oral health and influencing systemic health [3]. Healthy individuals host an established oral microbiome, maintaining a stable community [4]. However, environmental changes can lead to dysbiosis, a microbial imbalance that transforms biofilms into etiological agents of oral diseases such as dental caries and periodontitis. Regarding the tongue coating, it has been reported that a specific balance of the microbial community is associated with the development of aspiration pneumonia [5,6].
Key factors that influence the composition and functional expression of the oral microbiome include nutrient availability, oxygen levels, and environmental pH [7]. Salivary bicarbonate and phosphate provide a strong buffering capacity, maintaining salivary pH fluctuations within the normal range [8]. In contrast, oral acidity (salivary pH) has been reported to be closely associated with circadian rhythm and sleep, similar to the salivary flow rate [9]. Recent studies using intraoral devices equipped with pH probes have revealed that oral pH exhibits distinct diurnal rhythms [10]. The average pH was reported to be 7.27, with a maximum of 7.73 and a minimum of 6.6, separated by a 12 h interval.
Furthermore, oral biofilms can experience pH levels outside the normal range, dropping below 6.6 or rising above 7.7. Examples of acidic conditions include gastroesophageal reflux disease and dental caries [11,12]. In dental carious lesions, the pH levels in the biofilm can drop below 5 because of the production of organic acids, such as acetic, lactic, and propionic acids, as fermentation by-products [12]. This leads to a dysbiotic state characterized by an increased proportion of acid-tolerant and acid-producing oral microorganisms. Conversely, on the alkaline side, the use of alkaline toothpaste [13] or alkaline electrolyzed or ionized water [14,15] can temporarily shift the oral environment toward alkalinity. In vivo studies have elucidated the relationship between the oral environment and the microbial community [16]. However, owing to the complexity of microbial communities and the environmental factors influencing them, the precise analysis of changes in the oral microbiome remains challenging.
In this study, we aimed to investigate how environmental pH influences the structure and diversity of oral microbiota by culturing it under different pH conditions in vitro. To evaluate the impact of pH on the tongue-coating microbiome, tongue-coating samples were collected from 10 volunteers with informed consent and cultured at pH levels of 5.5, 6.0, 6.5, 7.0, 7.5, and 8.0. The alpha and beta diversities were analyzed after culturing. Additionally, a linear discriminant analysis effect size was used to identify the characteristic bacterial taxa in the microbial communities at pH 5.5, 7.0, and 8.0. This study provides a deeper understanding of how the oral microbiota responds to changes in pH.
2. Materials and Methods
2.1. Sample Collection and Pre-Cultivation
The study involved the collection of tongue coating samples from 10 adult participants (5 males and 5 females) aged between 25 and 29 years (mean ± SD, 26.4 ± 1.3). The characteristics of each subject are presented in Table S1. The study protocol was reviewed and approved by the Ethics Committee of Osaka Dental University (approval number: 111131) in accordance with the Declaration of Helsinki. All experiments and data collection adhered to these guidelines. Written informed consent and participation agreements were obtained from all participants. Exclusion criteria included a self-reported history of periodontitis or dental caries, periodontal or orthodontic treatment within the past six months, localized or systemic antibiotic treatment within one month prior to participation, and the use of mouthwash or tongue cleaning within one week prior to participation. All the participants abstained from eating and drinking for one hour before sample collection. Tongue coating samples were collected by swabbing the tongue dorsum ten times back and forth using a HydraFlock Swab (Puritan Medical Products, Guilford, ME, USA; 25-3406-H). The swabs were immediately transferred to an anaerobic environment (80% nitrogen, 10% hydrogen, and 10% carbon dioxide) and immersed in 0.5 mL of sterile phosphate-buffered saline (PBS, pH 7.4) for 30 s to release the samples into the liquid. The suspension was centrifuged (13,200 rpm for 4 min), and the supernatant was discarded. The pellet was resuspended in 1 mL SHI medium [17,18,19,20] by repeated pipetting. This suspension was pre-cultured in an anaerobic chamber at 37 °C with shaking for 15 h to prepare the pre-culture sample for monitoring microbial community changes due to pH. Pre-cultivation began within one hour of sample collection.
2.2. Cultivation of Microbial Communities in pH-Adjusted Media
The pH of the SHI medium was adjusted by adding appropriate ratios of KH2PO4 and K2HPO4 solutions. The final concentration of the added potassium phosphate buffer was kept below 0.1 mM in all conditions (Table S2). The pre-cultured tongue coating samples were centrifuged, and the pellet was resuspended in PBS. This sample was designated as the unincubated group, and its optical density at 600 nm (OD600) was measured. The sample was then added to the pH-adjusted SHI medium to achieve a final OD600 of 0.01 and cultured anaerobically with shaking for 20 h. After incubation, the pH of the culture medium was measured using samples derived from five participants and centrifuged to collect the pellets. The pellets were stored at −80 °C, and DNA extraction was performed within one week. The pH of the adjusted medium was measured before and after cultivation using a pH meter (LAQUA twin-pH-33B; Horiba, Kyoto, Japan) inside an anaerobic chamber.
2.3. DNA Extraction
Metagenomic DNA was extracted from the frozen pellets using a combination of chemical and mechanical lysis methods. Specifically, Pathogen Lysis Tube S and QIAamp UCP Pathogen Mini Kit (Qiagen, Hilden, Germany) were used, following a previously described method [18,19,20]. Purified genomic DNA was quantified using a Quantus fluorometer (Promega, Madison, WI, USA) and Qubit dsDNA BR Assay Kit (Thermo Fisher Scientific, Waltham, MA, USA). The quantified DNA was stored at −80°C until further use.
2.4. Library Construction and High-Throughput Sequencing
Library preparation and sequencing for next-generation sequencing (NGS) followed the 16S Metagenomic Sequencing Library Preparation protocol (Part # 15044223 Rev. B) provided by Illumina (San Diego, CA, USA). The V3-V4 region of the 16S ribosomal RNA (rRNA) gene was amplified using primers 341F (5′-TCGTCGGCAGCGTCAGATGTGTATAAGAGACAGCCTACGGGNGGCWGCAG-3′) and 806R (5′-GTCTCGTGGGCTCGGAGATGTGTATAAGAGACAGGGACTACHVGGGTWTCTAAT-3′), synthesized by Invitrogen. Premix Ex Taq polymerase (Takara Bio, Otsu, Japan) was used for the PCR analysis. Thermal cycling conditions were as follows: initial denaturation at 98 °C for 10 s, followed by 25 cycles of 98 °C for 10 s, 55 °C for 30 s, and 72 °C for 1 min. DNA integrity was verified using 1% agarose gel electrophoresis. After amplification, PCR products were purified using AMPure XP beads (Beckman Coulter, Miami, FL, USA). Adaptor primers with 8-base indices were ligated to both the 3′ and 5′ ends of the purified DNA amplicons, followed by eight additional PCR cycles under similar conditions. Purified PCR products were quantified using a Quantus fluorometer and a Qubit dsDNA HS Assay Kit. The amplicons were pooled at equimolar concentrations and combined with 5% phiX DNA (Illumina) as an internal control. Sequencing was performed on the Illumina MiSeq platform (Illumina) with 2 × 250 bp paired-end reads by Genome-Lead Inc. (Takamatsu, Japan).
2.5. Sequence Data Processing
Demultiplexed paired-end reads obtained by sequencing were processed using the QIIME 2 pipeline (v2021.2) [21]. Quality filtering, chimera removal, and trimming were performed using DADA2 [22], with the parameters trim-left-f = 17, trim-left-r = 21, and trunc-len-f/r set to 252 and 254, respectively. The resulting amplicon sequence variants (ASVs) were merged into a single feature table using the q2-feature-table plugin [21]. Taxonomic assignment was performed using a Naïve Bayes classifier trained on the V3–V4 region of the 16S rRNA sequences from the expanded Human Oral Microbiome Database (eHOMD; v15.2) [23]. Multiple sequence alignments of all ASVs were performed using MAFFT [24].
2.6. Statistical Analyses
Alpha diversity indices (Shannon’s index, observed ASVs, and Pielou’s evenness index) were calculated using the QIIME 2 q2-diversity plugin. Group comparisons were performed using the Kruskal–Wallis test. Beta diversity was assessed using weighted UniFrac phylogenetic distances and visualized as two-dimensional principal coordinate analysis plots generated using EMPeror. Significant differences in the bacterial composition between the samples were evaluated using a permutation-based analysis of variance. Linear discriminant analysis effect size (LEfSe) was used to identify significantly enriched taxa [25]. Statistical significance for OTU-level differences was assessed using Wilcoxon rank-sum tests, with p < 0.05 considered significant.
3. Results
3.1. In Vitro Cultivation of Oral Microbiota and High-Throughput Sequencing
To evaluate the effects of environmental pH on tongue-coating microbiota, we cultured tongue-coating samples in vitro under different pH conditions and observed changes in the bacterial community. Tongue coating samples were collected from 10 consenting participants and pre-cultured under anaerobic conditions for 20 h in media adjusted to six different pH levels (5.5, 6.0, 6.5, 7.0, 7.5, and 8.0) at 0.5 pH intervals. The pH of the culture medium after cultivation was measured in the samples derived from five participants. The results showed that bacterial metabolism caused a slight pH shift: acidic media shifted toward alkalinity, and alkaline media shifted toward acidity, centering around pH 6.5 (Figure S1). The magnitude of change in pH was greater under alkaline conditions. Two samples (pH 5.5) did not exhibit sufficient microbial growth and were excluded from further analysis. For the remaining pH conditions, all ten participants provided viable culture samples.
DNA was extracted from seven sample groups, including the unincubated group, and high-throughput sequencing of the V3–V4 region of the 16S rRNA gene amplicons was performed. A total of 136 samples were processed using Quantitative Insights into Microbial Ecology 2 (QIIME 2). Paired-end assembly, quality filtering, and chimera removal resulted in 10,783,332 sequences that clustered into 2649 identified ASVs. Sequence counts per sample ranged from 10,434 to 949,550, with an average of 92,531 (±120,107 standard deviation) per sample. Rarefaction curves, which correspond to species richness, approached saturation at a sequencing depth of approximately 8000, indicating that all samples contained sufficient high-quality reads (Figure 1a). The structural diversity of the microbial communities was assessed using sequencing data.
Figure 1.
Rarefaction curves and alpha diversity comparisons between the unincubated group and groups cultured at different pH levels. (a) Sample-based rarefaction curves. Alpha diversity comparisons between the unincubated group and experimental groups were performed using the Shannon index (b), observed ASVs (c), and Pielou’s evenness index (d) (n = 8 for pH 5.5, n = 10 for other pH levels; * p < 0.05, ** p < 0.01, and *** p < 0.001, compared with the pH 7.0 group; Wilcoxon rank-sum test). Data are presented as medians with interquartile ranges (including outliers).
3.2. Effects of pH on Alpha and Beta Diversity in Oral Microbiota
Alpha diversity (within-sample diversity) was assessed using three metrics: Shannon index, observed ASVs, and Pielou’s evenness index. When comparing samples cultured at a neutral pH (7.0) with the unincubated group, no significant changes in diversity were observed across any of the indices after pH-adjusted incubation (Figure 1b–d). This indicates that the microbial community diversity remains stable under neutral conditions. Similarly, comparisons between samples cultured at pH 7.0 and those cultured at other pH levels showed no significant changes in alpha diversity at the three pH levels close to neutrality (6.0, 6.5, and 7.5). However, significant changes were observed across all three indices for samples cultured at pH 5.5 and 8.0.
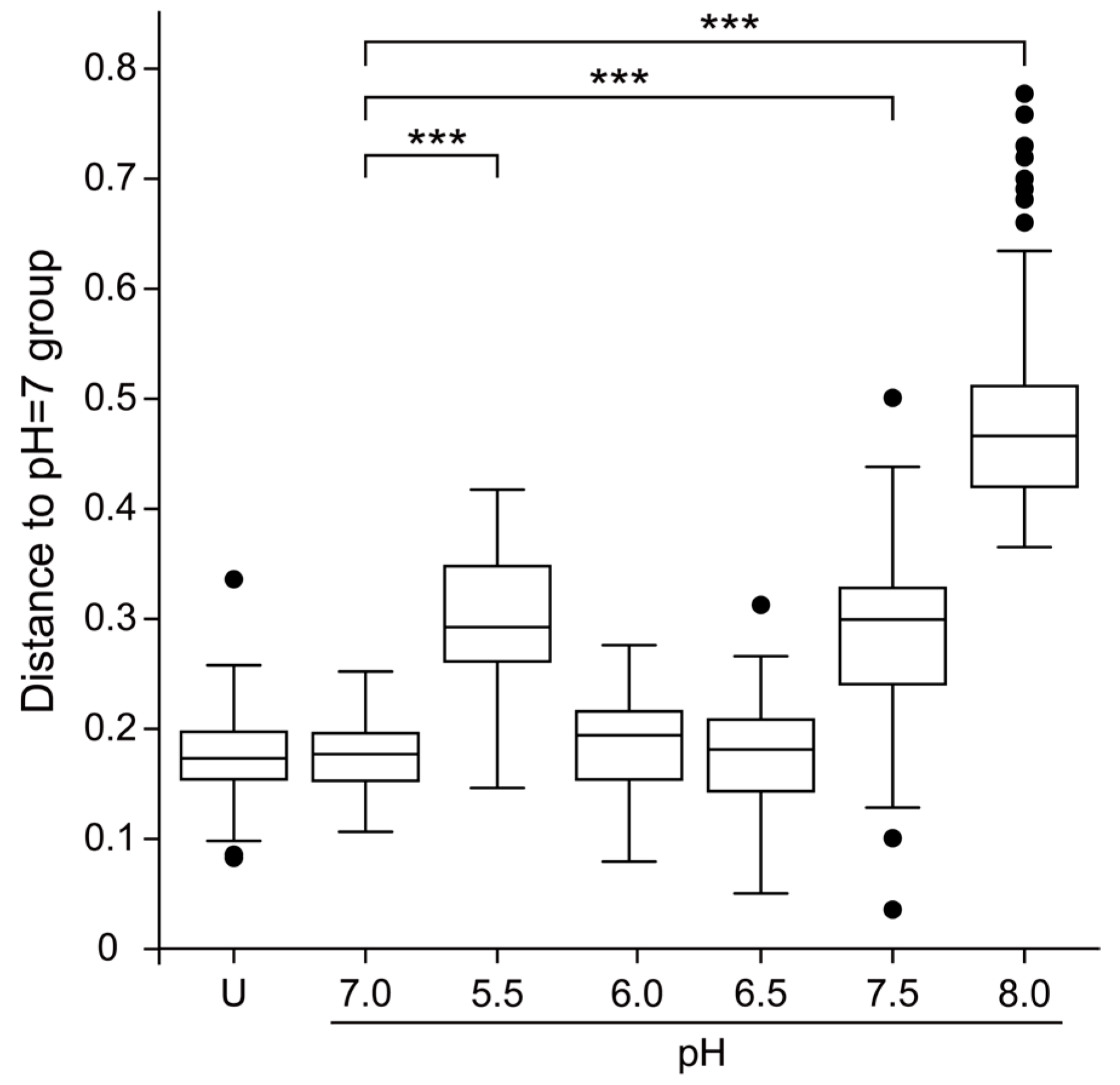
Beta diversity (between-sample diversity) analysis revealed significant differences between the samples cultured under different pH conditions (Figure 2). Principal coordinate analysis (PCoA) plots showed that the unincubated group and microbial communities cultured under pH conditions ranging from 6.0 to 7.0 formed overlapping clusters, indicating that near-neutral pH conditions maintain a stable community structure. In contrast, samples cultured at the two pH levels with significant differences in alpha diversity (5.5 and 8.0), as well as those cultured at pH 7.5, exhibited distributions that were clearly separated from other samples (Figure 2, Table S3). Analysis of beta diversity using Weighted UniFrac dissimilarity demonstrated significant differences in inter-group distances between samples cultured at pH 7.0 and those cultured at pH 5.5, 7.5, and 8.0 (Figure 3). The results of both alpha and beta diversity analyses indicate that while the diversity of the tongue coating microbiota remained relatively stable near neutral pH, it underwent drastic changes when shifted to acidic or alkaline conditions.
Figure 2.
Comparison of microbial community structures using weighted UniFrac distances (p = 0.001, pairwise permutational analysis of variance). The color of the circles represents the pH at which the samples were cultured. U represents the unincubated group. The numbers in the legend indicate the pH values.
Figure 3.
Weighted UniFrac dissimilarity between bacterial communities cultured at pH 7.0 and other pH levels. The y-axis represents the relative distances between compared samples. *** p < 0.001, compared with the pH 7.0 group; Wilcoxon rank-sum test.
3.3. Differential Taxa Identification Across Acidic and Alkaline Conditions
To identify the specific bacterial taxa affected by environmental pH differences, LEfSe was used to compare the microbial compositions at pH 7.0 with those under acidic (pH 5.5) and alkaline (pH 8.0) conditions. Figure 4 shows the linear discriminant analysis (LDA) bar plots (log10) used for this comparison. At pH 5.5, Streptococcus salivarius, Streptococcus anginosus, Veillonella dispar, and Campylobacter concisus were identified as the characteristic taxa (Figure 4a). The relative abundances of the top 20 genera across different pH levels are shown in Figure 5, and their variations at pH 5.5, 7.0, and 8.0 were further analyzed (Figure 6 and Figure S2). At the genus level, a slight increase in the proportions of Veillonella and Streptococcus was observed at pH 5.5, but these differences were not statistically significant (Figure 5 and Figure 6). Additionally, no other genera showed significant increases at pH 5.5. In contrast, at pH 8.0, Solobacterium moorei, Leptotrichia sp. HMT417, Eikenella corrodens, and Gemella morbillorum were identified as the characteristic taxa (Figure 4b). At the genus level, significant increases in Solobacterium and Gemella were confirmed, whereas the behavior of other taxa varied across individual samples (Figure 5, Figure 6 and Figure S2). Furthermore, under pH 7.5 conditions, a significant increase in Fusobacterium was observed (Figure 6d).
Figure 4.
Identification of the taxa with the most significant abundance differences between microbial communities cultured at different pH levels through linear discriminant analysis (LDA) effect size. Histograms of linear discriminant analysis scores (log10) were generated for features with differential abundances between samples cultured in pH 7.0 (green) and pH 5.5 (red) (a) or pH 7.0 (green) and pH 8.0 (blue) (b).
Figure 5.
Heatmap showing the top 20 most abundant bacterial genera in samples of unincubated group and after culturing at different pH levels. A–H or A–J represent different volunteers; U denotes the unincubated group; numbers from 5.5 to 8.0 indicate the pH of the medium used for culturing.

Figure 6.
Relative abundances of bacterial genera after cultivation. The results for the four most abundant genera (a–d) and two additional genera, Solobacterium (e) and Gemella (f), are shown. The remaining genera from the top 20 are presented in Figure S2. Comparisons were made between pH 5.5, 7.0, and 8.0 (* p < 0.05, ** p < 0.01, *** p < 0.001, compared with the pH 7 group, ns, no significance; Wilcoxon rank-sum test). For Fusobacterium, comparisons with pH 7.5 were also included.
4. Discussion
This study evaluated the effects of environmental pH on the diversity and structure of the oral microbiota in vitro. The results revealed that microbial diversity was maintained at near-neutral pH levels (6.0–7.5), suggesting that these conditions closely mimic the natural oral environment, where microbial communities are stable and balanced. In contrast, alpha diversity indices (Shannon index, observed ASVs, and Pielou’s evenness index) decreased significantly under acidic (pH 5.5) and alkaline (pH 8.0) conditions, indicating that extreme pH disrupts the microbial equilibrium. Beta diversity analysis revealed distinct clustering of microbial communities cultured at pH 5.5, 7.5, and 8.0, separating them from those cultured at neutral pH (6.0–7.0) or in unincubated samples. This distinct clustering likely reflects the impact of environmental pH on microbial community composition. At pH 5.5 and 8.0, extreme acidic and alkaline conditions impose selective pressures that favor the proliferation of specific bacterial taxa adapted to these environments while reducing the diversity of other less adaptable taxa. Interestingly, the separation observed at pH 7.5 suggests that even moderate alkaline stress can influence community composition. Although pH 7.5 is close to neutrality, slight deviations from the optimal pH range may trigger shifts in bacterial dominance or metabolic activity, potentially contributing to the observed divergence. These findings highlight the sensitivity of oral microbial communities to environmental pH changes and emphasize that even small deviations from neutral conditions can disrupt the balance of oral microbiota, potentially leading to dysbiosis. Our findings highlight that environmental pH is a critical determinant of the structure and diversity of the oral microbiota. Understanding how fluctuations in oral pH affect microbiota balance provides valuable insights. Dysbiosis under extreme pH conditions may weaken the colonization resistance of healthy oral microbiota, potentially facilitating the proliferation and establishment of pathogenic bacteria [26,27]. These results emphasize the importance of managing the oral pH to maintain microbiota stability and reduce disease risk. Furthermore, the findings of this study offer potential applications in developing new approaches to improve oral environments and prevent diseases, such as pH-adjusted mouthwashes and toothpastes.
At pH 5.5, bacteria that adapted to acidic environments, such as V. dispar and S. salivarius, became dominant. These bacteria are thought to enhance their competitiveness under low-pH conditions through tolerance to organic acids and promoting acid production via fermentation metabolism [28,29,30]. However, the overall increase in the proportions of genera Streptococcus and Veillonella was not statistically significant. This could be attributed to the lack of a substantial increase in other species within these genera. Additionally, differences in acid tolerance among Streptococcus and Veillonella species may have influenced the observed variations. Consistent with these results, previous studies have reported that the microbiota in severe carious lesions contains significant proportions of C. concisus, Streptococcus species, and Veillonella species. The proliferation of such bacteria can further acidify the environment, contributing to acid-associated diseases, such as dental caries. Conversely, at pH 8.0, the bacteria adapted to alkaline environments, including S. moorei and Leptotrichia spp., were significantly enriched. These bacteria likely exhibit enhanced metabolic activity under alkaline conditions, allowing them to dominate such environments. Notably, S. moorei has been suggested to be involved in high-pH-related oral conditions, such as halitosis, and high pH levels have also been implicated in potentially inducing calculus formation [31,32]. These findings suggest that extremely acidic or alkaline conditions disrupt the balance of oral microbiota, leading to dysbiosis characterized by the proliferation of specific bacterial groups. These shifts provide important clues to understanding the mechanisms underlying oral diseases. Meanwhile, the specific patterns of bacterial genera that proliferated under pH 5.5 and pH 8.0 conditions showed slight variations among samples (Figure 5). The exact causes of these differences were not elucidated in this study; however, one possible explanation is the variation in the bacterial composition of the samples used for cultivation. Additionally, in this study, two samples cultured at pH 5.5 failed to exhibit sufficient microbial growth despite following the same procedures. Further research is needed to investigate the underlying reasons for this phenomenon in greater detail.
During the experiments, shifts in pH toward neutrality were observed under both acidic and alkaline conditions after cultivation. This pH adjustment is likely driven by microbial metabolic activity. Under acidic conditions (pH 5.5), the pH shift toward alkalinity can be attributed to certain oral bacteria that convert arginine or urea to ammonia via the arginine deiminase system or urease enzymes. Ammonia production by these bacteria neutralizes acidic environments and increases the pH to neutral. This activity of alkaligenic bacteria may help suppress demineralization and promote the remineralization of teeth. Additionally, it can inhibit the proliferation of acidogenic bacteria associated with caries development, contributing to the maintenance of a healthy oral microbiota. Conversely, under alkaline conditions (pH 8.0), the pH shift toward acidity may result from the production of organic acids (e.g., lactic acid, acetic acid, and propionic acid) as metabolic by-products by certain bacteria. These acid-producing bacteria likely maintain their activity in alkaline environments by adjusting the pH to close to neutral. These findings suggest that extreme pH conditions activate the metabolic functions of tongue-coating microbiota, ultimately driving the pH toward neutrality. This phenomenon may reflect a natural buffering mechanism within the oral environment that enables the microbiota to adapt to environmental changes while maintaining balance.
This study employed a unique experimental design to evaluate the effects of environmental pH on the oral microbiota in vitro. The use of an in vitro model eliminated external factors such as salivary flow and dietary intake that may influence in vivo conditions, allowing precise analysis of pH as a single variable. Additionally, the use of finely adjusted pH conditions in 0.5-unit increments enabled detailed examination of microbial responses across a broad pH range (5.5–8.0). Standardized protocols for DNA extraction and 16S rRNA gene sequencing further enhanced the reliability and comparability of the data. However, this study had some limitations. In vitro models do not fully replicate the complexity of the oral environment, including factors such as salivary flow, immune responses, and food debris. Therefore, caution should be exercised when extrapolating these findings to in vivo conditions. The sample size was limited to ten participants, thus constraining the statistical power of the study. Additionally, the 20 h incubation period provided insights into short-term microbial responses to pH changes but did not capture long-term dynamics. Further studies are required to address these limitations. Long-term in vivo studies incorporating complex oral environmental factors such as salivary secretion and immune interactions are essential to validate these findings. Moreover, the combined effects of pH and other environmental variables, such as nutrient availability and oxygen levels, should be explored to gain a more comprehensive understanding of oral microbiota dynamics. Investigating the role of pH fluctuations in specific disease models, such as caries and periodontitis, could provide insights into the role of pH management in disease prevention and treatment. The findings of this study may influence the development of new oral care products, such as pH-adjusted mouthwashes and toothpaste, aimed at maintaining microbial balance and promoting oral health.
Furthermore, these results underscore the importance of monitoring and managing the oral pH to prevent diseases and maintain microbiota stability. This study provides a foundation for further research on the relationship between oral environments and the microbiota, offering new directions for promoting oral health and preventing diseases.
5. Conclusions
This study demonstrated that environmental pH significantly influences the structure and diversity of tongue-coating microbiota. Although the diversity remained stable near neutral pH (6.0–7.5), significant changes occurred under acidic (pH 5.5) and alkaline (pH 8.0) conditions. LEfSe analysis identified key taxa influenced by pH. These findings highlight pH as a critical factor in microbial dynamics and its potential role in oral health and disease. This study lays the groundwork for pH-based interventions to maintain oral microbiota balance and prevent related diseases.
Supplementary Materials
The following supporting information can be downloaded from: https://www.mdpi.com/article/10.3390/microbiolres15040183/s1, Table S1: Characteristics of the subjects; Table S2: Method for adjusting the pH of the medium; Table S3: Permanova results comparing beta diversity across pH groups; Figure S1: Measured pH values of the culture medium after cultivation in pH-adjusted media; Figure S2: Relative abundances of bacterial genera cultured under three pH conditions.
Author Contributions
Conceptualization, Y.H., T.N., T.O. and K.T.; validation, Y.H., H.T. and A.K.; formal analysis, Y.H., H.T. and A.K.; investigation, Y.H., H.T. and A.K.; writing—original draft preparation, Y.H.; writing—review and editing, T.N. and T.O.; supervision, T.O. and K.T.; funding acquisition, T.N., T.O. and K.T. All authors have read and agreed to the published version of the manuscript.
Funding
This work was supported by the Japan Society for the Promotion of Science (JSPS) KAKENHI (grant numbers 23K09472 to T.N., 22K09954 to T.O. and 22K10354 to K.T.).
Institutional Review Board Statement
The study was conducted in accordance with the Declaration of Helsinki and approved by the Institutional Review Board (or Ethics Committee) of Osaka Dental University (protocol code 111131, 23 September 2020).
Informed Consent Statement
Informed consent was obtained from all participants involved in the study.
Data Availability Statement
The data have been deposited with links to BioProject accession number PRJDB19633 in the DNA Data Bank of Japan (DDBJ) BioProject database.
Acknowledgments
We deeply appreciate the members of the Department of Geriatric Dentistry at Osaka Dental University and Chiho Mashimo and Hugo Maruyama from the Department of Microbiology for their valuable advice on this study. We also extend our sincere gratitude to Makoto Taniguchi (Genome-Lead Inc.) for his support with MiSeq sequence analysis.
Conflicts of Interest
The authors declare no conflicts of interest.
References
- Human Microbiome Project Consortium. Structure, Function and Diversity of the Healthy Human Microbiome. Nature 2012, 486, 207–214. [Google Scholar] [CrossRef] [PubMed]
- Expanded Human Oral Microbiome Database. Available online: https://www.homd.org/ (accessed on 26 November 2024).
- Baker, J.L.; Mark Welch, J.L.; Kauffman, K.M.; McLean, J.S.; He, X. The Oral Microbiome: Diversity, Biogeography and Human Health. Nat. Rev. Microbiol. 2024, 22, 89–104. [Google Scholar] [CrossRef]
- Rosier, B.T.; Marsh, P.D.; Mira, A. Resilience of the Oral Microbiota in Health: Mechanisms That Prevent Dysbiosis. J. Dent. Res. 2018, 97, 371–380. [Google Scholar] [CrossRef] [PubMed]
- Kageyama, S.; Takeshita, T.; Furuta, M.; Tomioka, M.; Asakawa, M.; Suma, S.; Takeuchi, K.; Shibata, Y.; Iwasa, Y.; Yamashita, Y. Relationships of Variations in the Tongue Microbiota and Pneumonia Mortality in Nursing Home Residents. J. Gerontol. A Biol. Sci. Med. Sci. 2018, 73, 1097–1102. [Google Scholar] [CrossRef]
- Asakawa, M.; Takeshita, T.; Furuta, M.; Kageyama, S.; Takeuchi, K.; Hata, J.; Ninomiya, T.; Yamashita, Y. Tongue Microbiota and Oral Health Status in Community-Dwelling Elderly Adults. mSphere 2018, 3, e00332-18. [Google Scholar] [CrossRef] [PubMed]
- Lynge Pedersen, A.M.; Belstrøm, D. The Role of Natural Salivary Defences in Maintaining a Healthy Oral Microbiota. J. Dent. 2019, 80 (Suppl. S1), S3–S12. [Google Scholar] [CrossRef] [PubMed]
- Cohen, M.; Khalaila, R. Saliva pH as a Biomarker of Exam Stress and a Predictor of Exam Performance. J. Psychosom. Res. 2014, 77, 420–425. [Google Scholar] [CrossRef]
- Papagerakis, S.; Zheng, L.; Schnell, S.; Sartor, M.A.; Somers, E.; Marder, W.; McAlpin, B.; Kim, D.; McHugh, J.; Papagerakis, P. The Circadian Clock in Oral Health and Diseases. J. Dent. Res. 2014, 93, 27–35. [Google Scholar] [CrossRef]
- Choi, J.E.; Lyons, K.M.; Kieser, J.A.; Waddell, N.J. Diurnal Variation of Intraoral pH and Temperature. BDJ Open 2017, 3, 17015. [Google Scholar] [CrossRef]
- Picoș, A.M.; Petean, I.; Picoș, A.; Dădârlat-Pop, A.; Răchișan, A.-L.; Tomșa, A.M.; Petrăchescu, N.M.; Petri, C.; Badea, M.E.; Măgurean, I.D. Atomic Force Microscopy Analysis of the Surface Alterations of Enamel, Dentin, Composite and Ceramic Materials Exposed to Low Oral pH in GERD. Exp. Ther. Med. 2021, 22, 673. [Google Scholar] [CrossRef]
- Kianoush, N.; Adler, C.J.; Nguyen, K.-A.T.; Browne, G.V.; Simonian, M.; Hunter, N. Bacterial Profile of Dentine Caries and the Impact of pH on Bacterial Population Diversity. PLoS ONE 2014, 9, e92940. [Google Scholar] [CrossRef]
- Novozhilova, N.; Andreeva, E.; Polyakova, M.; Makeeva, I.; Sokhova, I.; Doroshina, V.; Zaytsev, A.; Babina, K. Antigingivitis, Desensitizing, and Antiplaque Effects of Alkaline Toothpastes: A Randomized Clinical Trial. Dent. J. 2023, 11, 96. [Google Scholar] [CrossRef] [PubMed]
- Kurup, P.R.; Patel, R.R.; Suraja, R.; Mishra, M. Comparative Evaluation of Alkaline Ionized Water and Normal Water on Oral Microbial Flora: An in-Vitro Study. J. Oral Maxillofac. Pathol. 2024, 28, 62–69. [Google Scholar] [CrossRef]
- Kondo, K.; Kanenaga, R.; Tanaka, Y.; Hotta, K.; Arakawa, S. The Neutralizing Effect of Mouth Rinsing with Alkaline Electrolyzed Water on Different Regions of the Oral Cavity Acidified by Acidic Beverages. J. Oral Sci. 2022, 64, 17–21. [Google Scholar] [CrossRef] [PubMed]
- Giordano-Kelhoffer, B.; Lorca, C.; March Llanes, J.; Rábano, A.; Del Ser, T.; Serra, A.; Gallart-Palau, X. Oral Microbiota, Its Equilibrium and Implications in the Pathophysiology of Human Diseases: A Systematic Review. Biomedicines 2022, 10, 1803. [Google Scholar] [CrossRef]
- Tian, Y.; He, X.; Torralba, M.; Yooseph, S.; Nelson, K.E.; Lux, R.; McLean, J.S.; Yu, G.; Shi, W. Using DGGE Profiling to Develop a Novel Culture Medium Suitable for Oral Microbial Communities. Mol. Oral Microbiol. 2010, 25, 357–367. [Google Scholar] [CrossRef]
- Nambu, T.; Wang, D.; Mashimo, C.; Maruyama, H.; Kashiwagi, K.; Yoshikawa, K.; Yamamoto, K.; Okinaga, T. Nitric Oxide Donor Modulates a Multispecies Oral Bacterial Community-An In Vitro Study. Microorganisms 2019, 7, 353. [Google Scholar] [CrossRef]
- Wang, D.; Nambu, T.; Tanimoto, H.; Iwata, N.; Yoshikawa, K.; Okinaga, T.; Yamamoto, K. Interdental Plaque Microbial Community Changes under In Vitro Violet LED Irradiation. Antibiotics 2021, 10, 1348. [Google Scholar] [CrossRef]
- Wang, C.; Nambu, T.; Takigawa, H.; Maruyama, H.; Mashimo, C.; Okinaga, T. Effect of 5-Aminolevulinic Acid-Mediated Photodynamic Therapy against Fusobacterium Nucleatum in Periodontitis Prevention. J. Photochem. Photobiol. B 2024, 256, 112926. [Google Scholar] [CrossRef] [PubMed]
- Bolyen, E.; Rideout, J.R.; Dillon, M.R.; Bokulich, N.A.; Abnet, C.C.; Al-Ghalith, G.A.; Alexander, H.; Alm, E.J.; Arumugam, M.; Asnicar, F.; et al. Reproducible, Interactive, Scalable and Extensible Microbiome Data Science Using QIIME 2. Nat. Biotechnol. 2019, 37, 852–857. [Google Scholar] [CrossRef]
- Callahan, B.J.; McMurdie, P.J.; Rosen, M.J.; Han, A.W.; Johnson, A.J.A.; Holmes, S.P. DADA2: High-Resolution Sample Inference from Illumina Amplicon Data. Nat. Methods 2016, 13, 581–583. [Google Scholar] [CrossRef]
- Chen, T.; Yu, W.-H.; Izard, J.; Baranova, O.V.; Lakshmanan, A.; Dewhirst, F.E. The Human Oral Microbiome Database: A Web Accessible Resource for Investigating Oral Microbe Taxonomic and Genomic Information. Database 2010, 2010, baq013. [Google Scholar] [CrossRef]
- Katoh, K.; Standley, D.M. MAFFT Multiple Sequence Alignment Software Version 7: Improvements in Performance and Usability. Mol. Biol. Evol. 2013, 30, 772–780. [Google Scholar] [CrossRef]
- Segata, N.; Izard, J.; Waldron, L.; Gevers, D.; Miropolsky, L.; Garrett, W.S.; Huttenhower, C. Metagenomic Biomarker Discovery and Explanation. Genome Biol. 2011, 12, R60. [Google Scholar] [CrossRef] [PubMed]
- Marsh, P.D.; Head, D.A.; Devine, D.A. Dental Plaque as a Biofilm and a Microbial Community—Implications for Treatment. J. Oral Biosci. 2015, 57, 185–191. [Google Scholar] [CrossRef]
- Khor, B.; Snow, M.; Herrman, E.; Ray, N.; Mansukhani, K.; Patel, K.A.; Said-Al-Naief, N.; Maier, T.; Machida, C.A. Interconnections Between the Oral and Gut Microbiomes: Reversal of Microbial Dysbiosis and the Balance Between Systemic Health and Disease. Microorganisms 2021, 9, 496. [Google Scholar] [CrossRef]
- Sissons, C.H.; Hancock, E.M. Urease Activity in Streptococcus Salivarius at Low pH. Arch. Oral Biol. 1993, 38, 507–516. [Google Scholar] [CrossRef]
- Allen, L.L.; Heng, N.C.K.; Tompkins, G.R. Streptococcus Salivarius Isolates of Varying Acid Tolerance Exhibit F1F0-ATPase Conservation. Caries Res. 2021, 55, 288–291. [Google Scholar] [CrossRef]
- Hung, J.-H.; Zhang, S.-M.; Huang, S.-L. Nitrate Promotes the Growth and the Production of Short-Chain Fatty Acids and Tryptophan from Commensal Anaerobe Veillonella Dispar in the Lactate-Deficient Environment by Facilitating the Catabolism of Glutamate and Aspartate. Appl. Environ. Microbiol. 2024, 90, e0114824. [Google Scholar] [CrossRef]
- Barrak, I.; Stájer, A.; Gajdács, M.; Urbán, E. Small, but Smelly: The Importance of Solobacterium Moorei in Halitosis and Other Human Infections. Heliyon 2020, 6, e05371. [Google Scholar] [CrossRef] [PubMed]
- Wong, L.; Sissons, C.H.; Pearce, E.I.F.; Cutress, T.W. Calcium Phosphate Deposition in Human Dental Plaque Microcosm Biofilms Induced by a Ureolytic pH-Rise Procedure. Arch. Oral Biol. 2002, 47, 779–790. [Google Scholar] [CrossRef] [PubMed]
Disclaimer/Publisher’s Note: The statements, opinions and data contained in all publications are solely those of the individual author(s) and contributor(s) and not of MDPI and/or the editor(s). MDPI and/or the editor(s) disclaim responsibility for any injury to people or property resulting from any ideas, methods, instructions or products referred to in the content. |
© 2024 by the authors. Licensee MDPI, Basel, Switzerland. This article is an open access article distributed under the terms and conditions of the Creative Commons Attribution (CC BY) license (https://creativecommons.org/licenses/by/4.0/).






