Comparative Assessment of Expected Safety Performance of Freeway Automated Vehicle Managed Lanes
Abstract
1. Introduction
2. Literature Review
2.1. Road Safety and Traffic Conflicts
2.2. Safety of Mixed-Vehicle Environments
3. Research Methodology
3.1. ML Design Strategies
- Exit distance (): Distance upstream the exit ramp gore area measured from the point at which vehicles would attempt to seek an opportunity to change lanes to exit the freeway. This parameter is relevant in all strategies, including S0, and depends on the vehicle type and ML position if an ML is deployed.
- Lane change distance (): The distance required for the eligible on-ramp vehicles to merge onto the ML, measured from the end of the acceleration SCL to the end of the restricted-access opening section. This parameter is relevant for S3(LR).
- Ingress opening length (): The length of the actual ingress opening. This parameter is relevant for S3(LR) for all ML vehicles to merge onto ML and for S4(RR) to allow GPL vehicles from the on-ramp to merge onto the GPLs.
- Buffer opening length (): Distance downstream the end of the acceleration SCL to allow GPL vehicles from the on-ramp to merge onto GPLs. This parameter is relevant only for S4(RR).
3.2. Optimization of ML Strategies and Assessment of Operational Performance
3.3. Assessment of Safety Performance
3.3.1. TTC Measure and Conflict Types
3.3.2. Extracting Conflict Events
3.3.3. Calculating Conflict Rates
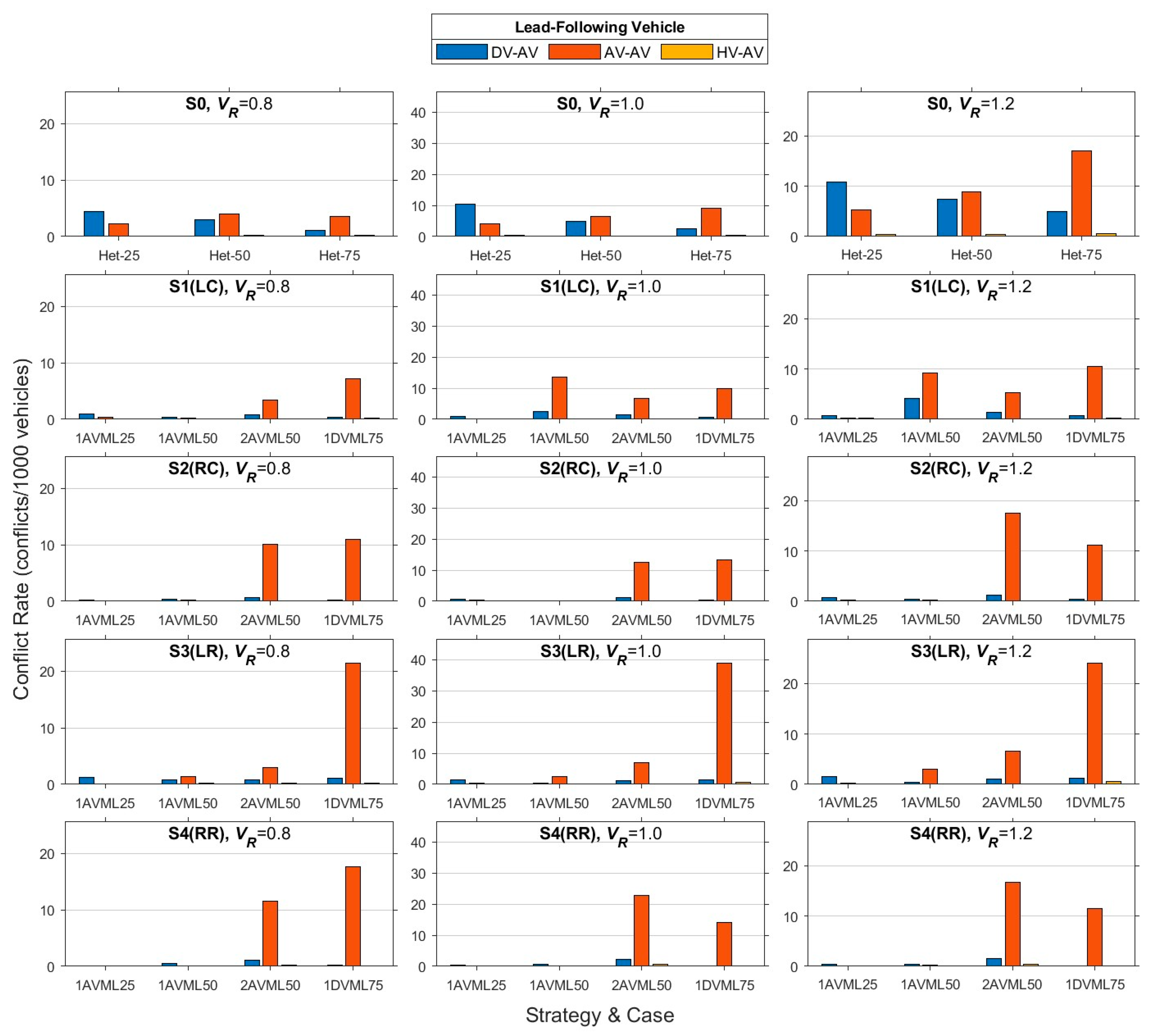
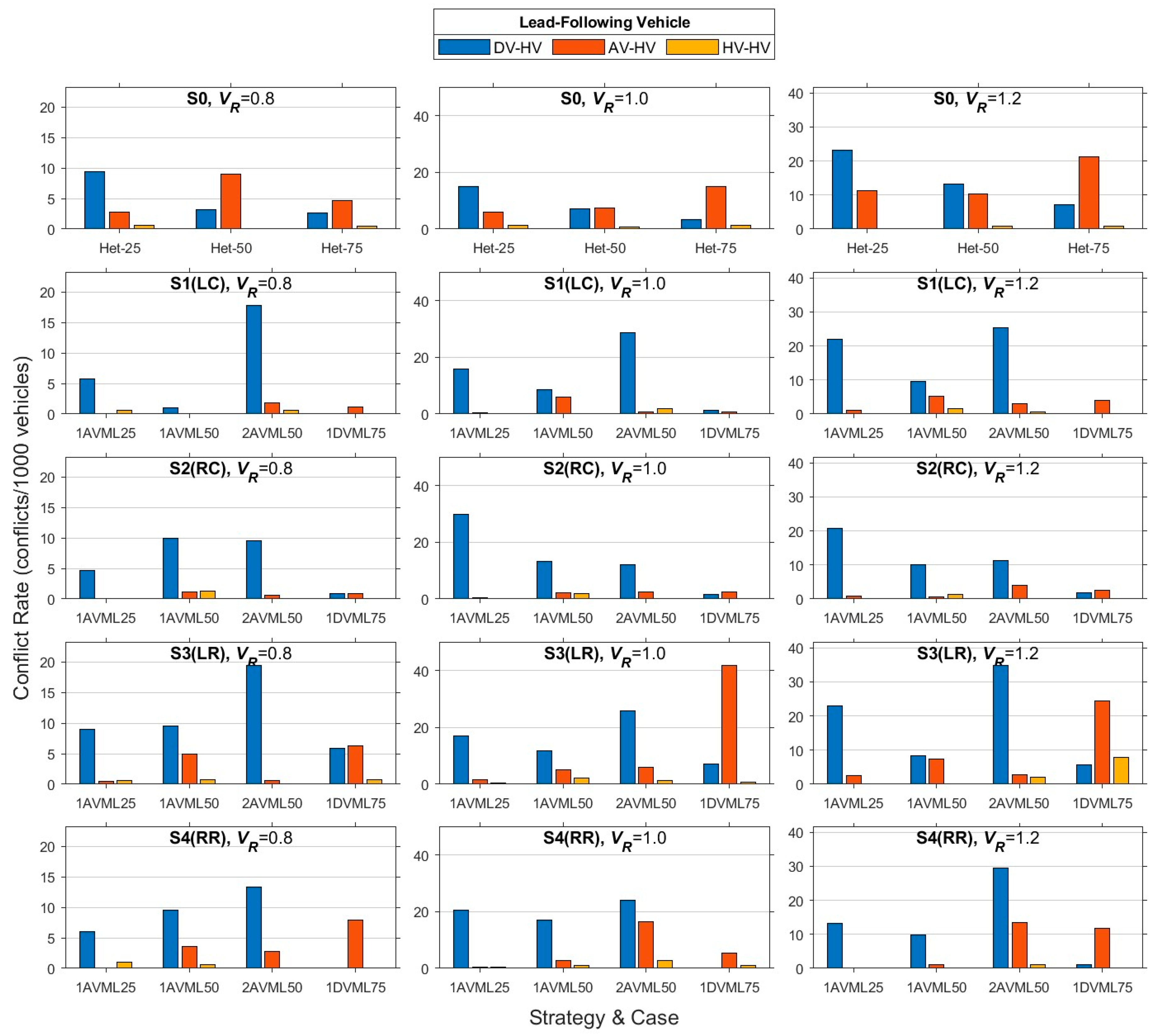
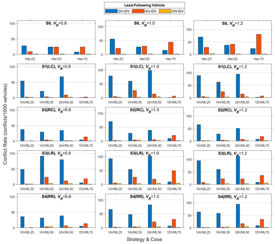
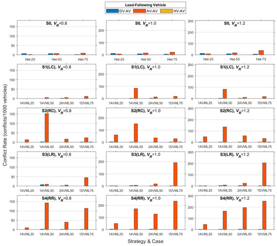
4. Results and Discussion
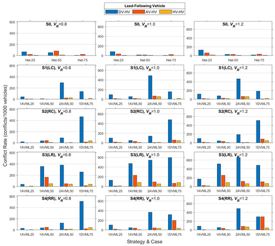
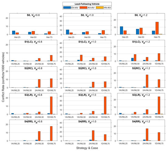
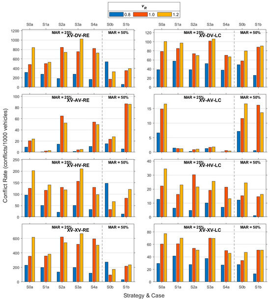
4.1. Comparing Rear-End Conflicts of All Design Options
4.2. Comparing Lane Change Conflicts of All Design Options
4.3. Comparing Select Design Options
5. Conclusions
Author Contributions
Funding
Data Availability Statement
Conflicts of Interest
Abbreviations
| AV | Automated vehicle |
| AVML | AV managed lane |
| CAV | Connected, automated vehicle |
| CV | Connected vehicle |
| DV | Driver-operated vehicle |
| DVML | DV managed lane |
| GPL | General purpose lane |
| HV | Heavy vehicle |
| Buffer opening length | |
| Ingress opening length | |
| Lane change distance | |
| Exit distance | |
| MAR | AV market adoption rate |
| ML | Managed lane |
| PC | Passenger car |
| PET | Post-encroachment time |
| Queue discharge flow rate | |
| SSAM | Surrogate Safety Assessment Model |
| TTC threshold for serious conflicts | |
| Average vehicle travel time | |
| TTC | Time to collision |
| Network’s output traffic volume | |
| XV | Vehicle of any type |
Appendix A. Additional Materials
| Model Parameters | AVs | DVs | HVs |
|---|---|---|---|
| (a) Car-Following Behavior Parameters and Values | |||
| Standstill distance (m) (CC0) | 1.0 | 1.0 | 3.91 † & 3.32 ‡ |
| Headway Time distribution (s) (CC1) | 0.5 | 0.75 | 2.75 † & 2.71 ‡ |
| Following distance oscillation (m) (CC2) | 0.0 | 3.0 | 4.0 |
| Threshold for entering following (CC3) | −8.0 | −8.0 | −8.0 |
| Negative speed difference (CC4) | −0.1 | −0.3 | −0.35 |
| Positive speed difference (CC5) | 0.1 | 0.3 | 0.35 |
| Distance dependency of oscillation (CC6) | 0.0 | 11.4 | 11.44 |
| Oscillation acceleration (m/s2) (CC7) | 0.1 | 0.25 | 0.25 |
| Acceleration at standstill (m/s2) (CC8) | 3.5 | 3.5 | 3.50 |
| Acceleration at 80 km/h (m/s2) (CC9) | 1.5 | 1.5 | 1.50 |
| (b) Lane Change Behavior Parameters and Values | |||
| Mandatory lane change maximum deceleration of own vehicle (m/s2) | −4.0 | −4.0 | −4.0 |
| Mandatory lane change maximum deceleration trailing vehicle (m/s2) | −3.0 | −3.0 | −3.0 |
| Mandatory lane change accepted deceleration for own vehicle (m/s2) | −1.0 | −1.0 | −1.0 |
| Mandatory lane change accepted deceleration for trailing vehicle (m/s2) | −1.0 | −0.5 | −0.50 |
| Safety distance reduction factor | 0.60 | 0.60 | 0.60 |
| MAR (%) | (veh/h/lane) |
|---|---|
| 0 | 2012 |
| 25 | 2232 |
| 50 | 2312 |
| 75 | 2441 |
| ML Case | (m) | (m) | (m) | (m) | ||||
|---|---|---|---|---|---|---|---|---|
| S0 | S1 and S3 (Left Side) | S2 and S4 (Right Side) | ||||||
| AV/DV | AV | DV | AV | DV | S3 | S3 | S4 | |
| 1AVML25 | 600 | 950 | 1000 | NA ‡ | 900 | 800 | 400 | 600 |
| 1AVML50 | 750 † | 750 | 800 | NA ‡ | 900 | |||
| 2AVML50 | 900 | 500 | 300 § | 700 | ||||
| 1DVML75 | 800 | 400 | 500 | 300 | NA ‡ | 550 | ||






References
- Tillema, T.; Gelauff, G.; Waard, J.; Berveling, J.; Moorman, S. Paths to a Self-Driving Future: Five Transition Steps Identified; Netherlands Institute for Transport Policy Analysis: Hague, The Netherlands, 2017. [Google Scholar]
- Somers, A. Future Vehicles Forecasts Update 2031; Austroads: Sydney, Australia, 2021. [Google Scholar]
- Sarran, J.M. Design and Performance of Managed Lanes in a Mixed Driver-Operated and Autonomous Vehicle Environment; Carleton University: Ottawa, ON, Canada, 2023. [Google Scholar]
- Calvert, S.C.; Schakel, W.J.; van Lint, J.W.C. Will Automated Vehicles Negatively Impact Traffic Flow? J. Adv. Transp. 2017, 2017, 3082781. [Google Scholar] [CrossRef]
- Abdel-Aty, M.; Wu, Y.; Saad, M.; Rahman, M.S. Safety and Operational Impact of Connected Vehicles’ Lane Configuration on Freeway Facilities with Managed Lanes. Accid. Anal. Prev. 2020, 144, 105616. [Google Scholar] [CrossRef] [PubMed]
- Fitzpatrick, K.; Brewer, M.; Chrysler, S.; Wood, N.; Kuhn, B.; Goodin, G.; Fuhs, C.; Ungemah, D.; Perez, B.; Dewey, V.; et al. Guidelines for Implementing Managed Lanes; National Cooperative Highway Research Program (NCHRP): Washington, DC, USA, 2016; Volume 835.
- FHWA. Managed Lanes: A Primer; Federal Highway Administration: Washington, DC, USA, 2005.
- JACOBS. Managed Lanes and Ramp Metering Manual-Part 3: Design Manual; JACOBS: Christchurch, New Zealand, 2013. [Google Scholar]
- Neudoroff, L.G.; Randall, J.E.; Reiss, R.; Gordon, R. Freeway Management and Operations Handbook; Federal Highway Administration: Washington, DC, USA, 2006. [Google Scholar]
- SAE. SAE J3016-Taxonomy and Definitions for Terms Related to Driving Automation Systems for On-Road Motor Vehicles; Society for Automotive Engineers: Warrendale, PA, USA, 2021. [Google Scholar]
- Hauer, E. Observational before/after Studies in Road Safety, 2nd ed.; Pergamon: Oxford, UK, 2002. [Google Scholar]
- Hydén, C. The Development of a Method for Traffic Safety Evaluation: The Swedish Traffic Conflicts Technique; Lund Institute of Technology, Department of Traffic Planning and Engineering: Lund, Sweden, 1987. [Google Scholar]
- Essa, M.; Sayed, T. Comparison between Surrogate Safety Assessment Model and Real-Time Safety Models in Predicting Field-Measured Conflicts at Signalized Intersections. Transp. Res. Rec. J. Transp. Res. Board 2020, 2674, 100–112. [Google Scholar] [CrossRef]
- Chen, K.; Xu, C.; Liu, P.; Li, Z.; Wang, Y. Evaluating the Performance of Traffic Conflict Measures in Real-Time Crash Risk Prediction Using Pre-Crash Vehicle Trajectories. Accid. Anal. Prev. 2024, 203, 107640. [Google Scholar] [CrossRef] [PubMed]
- Amundsen, F.H.; Hydén, C. Proceedings: First Workshop on Traffic Conflicts; ICTCT: Oslo, Norway, 1977. [Google Scholar]
- Dijkstra, A.; Marchesini, P.; Bijleveld, F.; Kars, V.; Drolenga, H.; van Maarseveen, M. Do Calculated Conflicts in Microsimulation Model Predict Number of Crashes? Transp. Res. Rec. J. Transp. Res. Board 2010, 2147, 105–112. [Google Scholar] [CrossRef]
- Hou, J.; List, G.F.; Guo, X. New Algorithms for Computing the Time-to-Collision in Freeway Traffic Simulation Models. Comput. Intell. Neurosci. 2014, 2014, 761047. [Google Scholar] [CrossRef] [PubMed]
- Hayward, J. Near miss determination through use of a scale of danger. Highw. Resreach Rec. 1972, 384, 24–35. [Google Scholar]
- Gettman, D.; Head, L. Surrogate Safety Measures from Traffic Simulation Models Final Report; Federal Highway Administration: Springfield, VA, USA, 2003.
- Xiao, S.; Ge, X.; Han, Q.-L.; Zhang, Y. Secure and Collision-Free Multi-Platoon Control of Automated Vehicles Under Data Falsification Attacks. Automatica 2022, 145, 110531. [Google Scholar] [CrossRef]
- Fyfe, M.R.W. Safety Evaluation of Connected Vehicle Applications Using; The University of British Columbia: Vancouver, BC, Canada, 2016. [Google Scholar]
- Morando, M.M.; Tian, Q.; Truong, L.T.; Vu, H.L. Studying the Safety Impact of Autonomous Vehicles Using Simulation-Based Surrogate Safety Measures. J. Adv. Transp. 2018, 2018, 6135183. [Google Scholar] [CrossRef]
- Papadoulis, A.; Quddus, M.; Imprialou, M. Evaluating the Safety Impact of Connected and Autonomous Vehicles on Motorways. Accid. Anal. Prev. 2019, 124, 12–22. [Google Scholar] [CrossRef] [PubMed]
- El-Hansali, Y.; Farrag, S.; Yasar, A.; Shakshuki, E.; Al-Abri, K. Using Surrogate Measures to Evaluate the Safety of Autonomous Vehicles. Procedia Comput. Sci. 2021, 191, 151–159. [Google Scholar] [CrossRef]
- Miqdady, T.; de Oña, R.; Casas, J.; de Oña, J. Studying Traffic Safety During the Transition Period Between Manual Driving and Autonomous Driving: A Simulation-Based Approach. IEEE Trans. Intell. Transp. Syst. 2023, 24, 6690–6710. [Google Scholar] [CrossRef]
- Pakzadnia, A.; Hassan, Y. Expected Safety Performance of Different Freeway Merging Strategies in an Environment of Mixed Vehicle Technologies. J. Transp. Eng. Part A Syst. 2023, 149, 04022143. [Google Scholar] [CrossRef]
- Zhang, J.; Wu, K.; Cheng, M.; Yang, M.; Cheng, Y.; Li, S. Safety Evaluation for Connected and Autonomous Vehicles’ Exclusive Lanes considering Penetrate Ratios and Impact of Trucks Using Surrogate Safety Measures. J. Adv. Transp. 2020, 2020, 5847814. [Google Scholar] [CrossRef]
- AECOM. WisDOT Vissim Vehicle Fleet Study, Middleton, Wisconsin; AECOM: Dallas, TX, USA, 2020. [Google Scholar]
- Gauthier, N.L.; Le Digabel Saunier, S.; Cao, G. Calibration of Driving Behavior Models using Derivative-Free Optimization and Video Data for Montreal Highways. In Transportation Research Board, 95th Annual Meeting; National Academies: Washington, DC, USA, 2016. [Google Scholar]
- Houchin, A.; Dong, J.; Hawkins, N.; Knickerbocker, S. Measurement and Analysis of Heterogeneous Vehicle Following Behavior on Urban Freeways: Time Headways and Standstill Distances. In Proceedings of the IEEE Conference on Intelligent Transportation Systems, Proceedings, Gran Canaria, Spain, 15–18 September 2015; pp. 888–893. [Google Scholar]
- Lei, Q. Semi-Automated Microscopic Traffic Flow Simulation Development Using Smart City Data; University of Waterloo: Waterloo, ON, Canada, 2021. [Google Scholar]
- Pakzadnia, A.; Roustom, S.; Hassan, Y. Accommodation of Freeway Merging in a Mixed Traffic Environment Including Connected Autonomous Vehicles. Can. J. Civ. Eng. 2022, 49, 357–367. [Google Scholar] [CrossRef]
- Sukennik, P.; Kautzsch, L. Deliverable 2.3: Default Behavioural Parameter Sets for Automated Vehicles (AVs); Wiley: Hoboken, NJ, USA, 2018. [Google Scholar]
- Sarran, J.M.; Hassan, Y. Geometric Design of Envelope of Managed Lanes for Autonomous Vehicles. In Proceedings of the 6th International Symposium on Highway Geometric Design, Amsterdam, The Netherlands, 26–29 June 2022. [Google Scholar]
- Sarran, J.M.; Hassan, Y. Assessment of Automated Vehicles’ Freeway Exit Distances in Mixed and Managed Lane Traffic Environments. Can. J. Civ. Eng. 2024, 4. [Google Scholar] [CrossRef]
- Pu, L.; Joshi, R. Surrogate Safety Assessment Model (SSAM)-Software User Manual (Report FHWA-HRT-08-050); Federal Highway Administration: McLean, VA, USA, 2008.
- Horst, R.V.D. A Time-Based Analysis of Road User Behaviour in Normal and Critical Encounters; Delft University of Technology: Delft, The Netherlands, 1991. [Google Scholar]
- Horst, R.v.d. Time-to-Collision as a Cue for Decision-Making in Braking. In Vision in vehicles–III; Elsevier: Amsterdam, The Netherlands, 1991. [Google Scholar]
- Virdi, N.; Grzybowska, H.; Waller, S.T.; Dixit, V. A Safety Assessment of Mixed Fleets with Connected and Autonomous Vehicles Using the Surrogate Safety Assessment Module. Accid. Anal. Prev. 2019, 131, 95–111. [Google Scholar] [CrossRef] [PubMed]









| Individual Vehicle Interaction | Aggregated | ||||||||||||
|---|---|---|---|---|---|---|---|---|---|---|---|---|---|
| DV- | AV- | HV- | DV- | AV- | HV- | DV- | AV- | HV- | XV- | ||||
| DV | AV | HV | DV | AV | HV | XV | |||||||
| Rear-end (RE) | |||||||||||||
| 0.8 | 62.5 | 81.3 | 62.5 | 87.5 | 62.5 | 6.3 | 68.8 | 62.5 | 37.5 | 56.3 | 68.8 | 75.0 | 56.3 |
| 1.0 | 100.0 | 81.3 | 81.3 | 87.5 | 75.0 | 25.0 | 75.0 | 81.3 | 50.0 | 87.5 | 75.0 | 75.0 | 87.5 |
| 1.2 | 81.3 | 87.5 | 68.8 | 100.0 | 87.5 | 18.8 | 75.0 | 81.3 | 75.0 | 68.8 | 87.5 | 87.5 | 75.0 |
| Lane Change (LC) | |||||||||||||
| 0.8 | 62.5 | 93.8 | 37.5 | 93.8 | 87.5 | 6.3 | 25.0 | 31.3 | 0.0 | 56.3 | 93.8 | 18.8 | 50.0 |
| 1.0 | 62.5 | 62.5 | 62.5 | 87.5 | 68.8 | 12.5 | 25.0 | 56.3 | 0.0 | 37.5 | 62.5 | 31.3 | 56.3 |
| 1.2 | 75.0 | 100.0 | 43.8 | 100.0 | 87.5 | 25.0 | 37.5 | 62.5 | 0.0 | 68.8 | 75.0 | 75.0 | 56.3 |
| Strategy & Case | Individual Vehicle Interaction | Aggregated | ||||||||||||
|---|---|---|---|---|---|---|---|---|---|---|---|---|---|---|
| DV- | AV- | HV- | DV- | AV- | HV- | DV- | AV- | HV- | XV- | |||||
| DV | AV | HV | DV | AV | HV | XV | ||||||||
| Rear-end (RE) | ||||||||||||||
| S1a(LC-1AVML25) | 0.8 | 0.50 | 0.00 | 0.25 | 0.00 | 0.02 | 0.34 | 0.10 | 0.01 | 0.77 | 0.62 | 0.00 | 0.03 | 0.58 |
| 1.0 | 0.01 | 0.00 | 0.36 | 0.00 | 0.00 | 0.57 | 0.36 | 0.01 | 0.58 | 0.68 | 0.00 | 0.64 | 0.87 | |
| 1.2 | 0.44 | 0.00 | 0.15 | 0.00 | 0.00 | 0.42 | 0.67 | 0.00 | 0.14 | 0.05 | 0.00 | 0.05 | 0.05 | |
| S2a(RC-1AVML25) | 0.8 | 0.52 | 0.00 | 0.01 | 0.00 | 0.00 | 0.23 | 0.00 | 0.00 | 0.03 | 0.08 | 0.17 | 0.00 | 0.08 |
| 1.0 | 0.00 | 0.01 | 0.07 | 0.00 | 0.00 | 0.19 | 0.50 | 0.06 | 0.18 | 0.01 | 0.01 | 0.90 | 0.01 | |
| 1.2 | 0.57 | 0.00 | 0.13 | 0.00 | 0.00 | 0.13 | 0.25 | 0.00 | 0.02 | 0.49 | 0.00 | 0.02 | 0.50 | |
| S3a(LR-1AVML25) | 0.8 | 0.46 | 0.00 | 0.07 | 0.00 | 0.04 | 0.23 | 0.02 | 0.01 | 0.55 | 0.59 | 0.00 | 0.01 | 0.53 |
| 1.0 | 0.04 | 0.00 | 0.27 | 0.00 | 0.00 | 0.22 | 0.17 | 0.01 | 0.28 | 0.15 | 0.00 | 0.47 | 0.19 | |
| 1.2 | 0.02 | 0.00 | 0.30 | 0.00 | 0.01 | 0.64 | 0.14 | 0.00 | 0.91 | 0.30 | 0.00 | 0.81 | 0.67 | |
| S4a(RR-1AVML25) | 0.8 | 0.24 | 0.00 | 0.02 | 0.00 | 0.02 | 0.23 | 0.02 | 0.00 | 0.51 | 0.04 | 0.73 | 0.01 | 0.03 |
| 1.0 | 0.00 | 0.01 | 0.01 | 0.00 | 0.00 | 0.12 | 0.34 | 0.03 | 0.88 | 0.00 | 0.00 | 0.88 | 0.00 | |
| 1.2 | 0.69 | 0.00 | 0.15 | 0.00 | 0.01 | 0.09 | 0.15 | 0.00 | 0.01 | 0.54 | 0.03 | 0.01 | 0.43 | |
| S1b(LC-1AVML50) | 0.8 | 0.01 | 0.00 | 0.00 | 0.00 | 0.44 | 0.01 | 0.03 | 0.00 | 0.08 | 0.00 | 0.02 | 0.01 | 0.00 |
| 1.0 | 0.00 | 0.00 | 0.01 | 0.00 | 0.00 | 0.14 | 0.00 | 0.57 | 0.12 | 0.01 | 0.00 | 0.00 | 0.00 | |
| 1.2 | 0.02 | 0.00 | 0.01 | 0.00 | 0.00 | 0.49 | 0.01 | 0.46 | 0.04 | 0.38 | 0.00 | 0.03 | 0.12 | |
| Lane Change (LC) | ||||||||||||||
| S1a(LC-1AVML25) | 0.8 | 0.04 | 0.00 | 0.71 | 0.00 | 0.01 | 0.35 | 0.22 | 0.10 | 0.94 | 0.12 | 0.00 | 0.08 | 0.17 |
| 1.0 | 0.01 | 0.00 | 0.02 | 0.00 | 0.00 | 0.21 | 0.74 | 0.01 | 0.18 | 0.43 | 0.00 | 0.14 | 0.95 | |
| 1.2 | 0.02 | 0.00 | 0.32 | 0.00 | 0.00 | 0.44 | 0.80 | 0.00 | 1.00 | 0.69 | 0.00 | 0.04 | 0.26 | |
| S2a(RC-1AVML25) | 0.8 | 0.17 | 0.00 | 0.01 | 0.00 | 0.00 | 1.00 | 0.23 | 0.10 | 0.35 | 0.97 | 0.00 | 0.07 | 0.71 |
| 1.0 | 0.10 | 0.00 | 0.44 | 0.00 | 0.00 | 0.07 | 0.00 | 0.01 | 0.18 | 0.60 | 0.00 | 0.09 | 0.32 | |
| 1.2 | 0.52 | 0.00 | 0.72 | 0.00 | 0.00 | 0.06 | 0.48 | 0.00 | 1.00 | 0.00 | 0.00 | 0.01 | 0.00 | |
| S3a(LR-1AVML25) | 0.8 | 0.01 | 0.00 | 0.95 | 0.02 | 0.00 | 1.00 | 0.92 | 0.20 | 0.99 | 0.07 | 0.00 | 0.47 | 0.12 |
| 1.0 | 0.00 | 0.00 | 0.01 | 0.00 | 0.00 | 0.07 | 0.48 | 0.05 | 0.44 | 0.07 | 0.00 | 0.51 | 0.23 | |
| 1.2 | 0.01 | 0.00 | 0.22 | 0.00 | 0.00 | 0.06 | 0.97 | 0.00 | 1.00 | 0.52 | 0.00 | 0.23 | 0.21 | |
| S4a(RR-1AVML25) | 0.8 | 0.24 | 0.00 | 0.11 | 0.00 | 0.00 | 1.00 | 0.26 | 0.10 | 0.56 | 0.91 | 0.00 | 0.12 | 0.62 |
| 1.0 | 0.06 | 0.00 | 0.25 | 0.00 | 0.00 | 0.07 | 0.09 | 0.01 | 0.41 | 0.19 | 0.00 | 0.82 | 0.04 | |
| 1.2 | 0.62 | 0.00 | 0.32 | 0.00 | 0.00 | 0.06 | 0.05 | 0.00 | 1.00 | 0.03 | 0.00 | 0.00 | 0.01 | |
| S1b(LC-1AVML50) | 0.8 | 0.45 | 0.00 | 0.14 | 0.00 | 0.00 | 0.01 | 0.16 | 0.01 | 1.00 | 0.00 | 0.00 | 0.01 | 0.00 |
| 1.0 | 0.00 | 0.26 | 0.00 | 0.00 | 0.00 | 0.46 | 0.63 | 0.62 | 0.14 | 0.00 | 0.02 | 0.90 | 0.00 | |
| 1.2 | 0.00 | 0.00 | 0.02 | 0.00 | 0.70 | 0.21 | 0.04 | 0.12 | 0.55 | 0.08 | 0.08 | 0.02 | 0.22 | |
Disclaimer/Publisher’s Note: The statements, opinions and data contained in all publications are solely those of the individual author(s) and contributor(s) and not of MDPI and/or the editor(s). MDPI and/or the editor(s) disclaim responsibility for any injury to people or property resulting from any ideas, methods, instructions or products referred to in the content. |
© 2024 by the authors. Published by MDPI on behalf of the World Electric Vehicle Association. Licensee MDPI, Basel, Switzerland. This article is an open access article distributed under the terms and conditions of the Creative Commons Attribution (CC BY) license (https://creativecommons.org/licenses/by/4.0/).
Share and Cite
Sarran, J.M.; Hassan, Y. Comparative Assessment of Expected Safety Performance of Freeway Automated Vehicle Managed Lanes. World Electr. Veh. J. 2024, 15, 447. https://doi.org/10.3390/wevj15100447
Sarran JM, Hassan Y. Comparative Assessment of Expected Safety Performance of Freeway Automated Vehicle Managed Lanes. World Electric Vehicle Journal. 2024; 15(10):447. https://doi.org/10.3390/wevj15100447
Chicago/Turabian StyleSarran, Jana McLean, and Yasser Hassan. 2024. "Comparative Assessment of Expected Safety Performance of Freeway Automated Vehicle Managed Lanes" World Electric Vehicle Journal 15, no. 10: 447. https://doi.org/10.3390/wevj15100447
APA StyleSarran, J. M., & Hassan, Y. (2024). Comparative Assessment of Expected Safety Performance of Freeway Automated Vehicle Managed Lanes. World Electric Vehicle Journal, 15(10), 447. https://doi.org/10.3390/wevj15100447
