Imiquimod-Loaded Nanosystem for Treatment Human Papillomavirus-Induced Lesions
Abstract
1. Introduction
2. Materials and Methods
2.1. Materials
2.2. Production and Characterization of the Liposomes
2.2.1. Production of the Liposomes
2.2.2. Structural Characterization of the Liposomes
2.2.3. Liposomes’ Drug Loading and Release Characterization
2.3. Preparation of the Vaginal Formulations and the Vaginal Fluid Simulant
2.4. Physiological Characterization of the Formulations
2.4.1. pH and Buffering Capacity
2.4.2. Viscosity
2.4.3. Osmolality
2.4.4. Bioadhesion
2.5. Evaluation of Formulations in the Culture Medium
2.6. In Vitro and Ex Vivo Cell Assays
2.6.1. Cell Culture
2.6.2. Cell Viability Assay
2.6.3. Confocal Fluorescence Microscopy
2.6.4. Permeation of the Formulations in Vaginal Tissue (Ex Vivo)
2.7. HPLC Analysis
2.8. Microbiology Assay: Minimal Inhibitory Concentration
2.8.1. Staphylococcus aureus
2.8.2. Candida albicans
2.8.3. Aspergillus brasiliensis
2.9. Statistical Analysis
3. Results and Discussion
3.1. Production and Characterization of Liposomes
3.1.1. Functionalization of Liposomes with AT11
3.1.2. Liposome IQ Loading and Release
3.2. Physiological Characterization of the Formulations
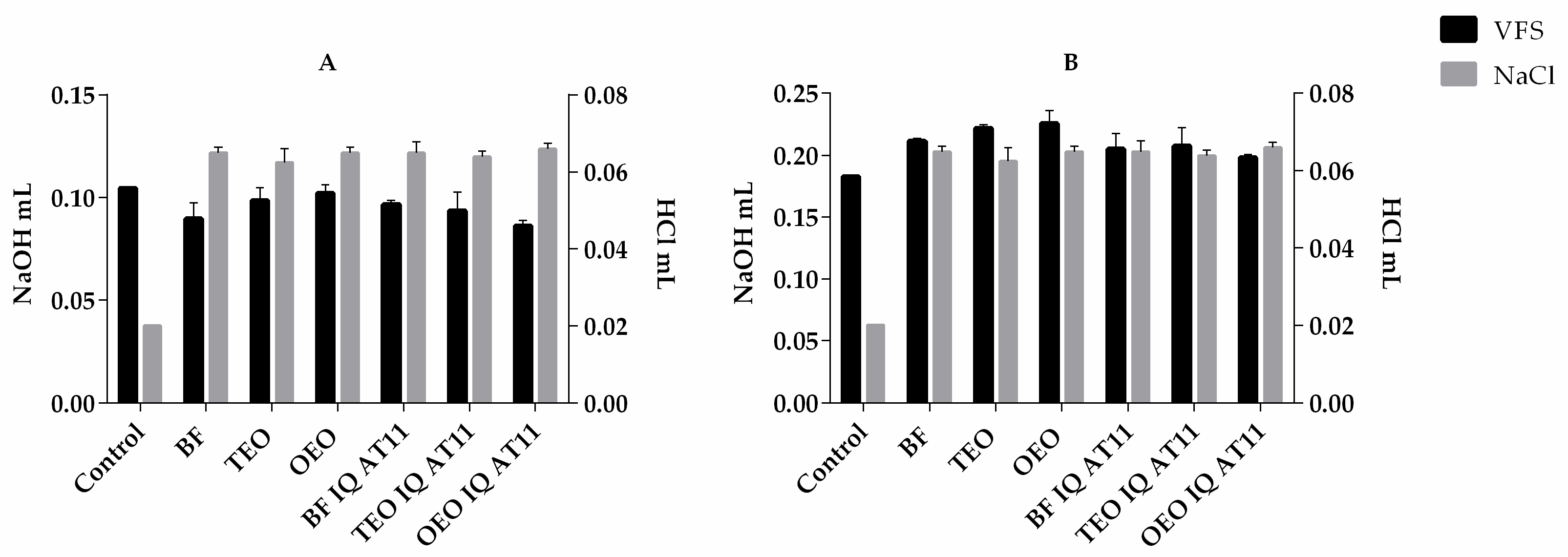
3.2.1. pH and Buffering Capacity
3.2.2. Viscosity
3.2.3. Osmolality
3.2.4. Bioadhesion
3.3. In Vitro and Ex Vivo Cell Assays
Cell Viability Assay
3.4. Confocal Fluorescence Microscopy
3.5. Permeation of the Formulations in Vaginal Tissue (Ex Vivo Studies) and Validation of the HPLC–FLD Method
3.6. Microbiology Assay
Minimal Inhibitory Concentration
4. Conclusions
Supplementary Materials
Author Contributions
Funding
Institutional Review Board Statement
Informed Consent Statement
Data Availability Statement
Conflicts of Interest
Abbreviations
| CIN | Cervical intraepithelial neoplasia |
| DLS | Dynamic Light Scattering |
| FDA | Food and Drug Administration |
| HPMC | Hydroxypropyl methylcellulose |
| HPV | Human papillomavirus |
| IQ | Imiquimod |
| MHB | Mueller Hinton Broth |
| MIC | Minimal inhibitory concentration |
| NCL | Nucleolin |
| PDA | Potato dextrose agar |
| PDI | Polydispersity index |
| SDA | Sabouraud dextrose agar |
| TSA | Tryptone Soy Agar |
| VFS | Vaginal fluid simulant |
| VIN | Vulvar intraepithelial neoplasia |
| WHO | World Health Organization |
References
- Wang, X.; Huang, X.; Zhang, Y. Involvement of human papillomaviruses in cervical cancer. Front. Microb. 2018, 9, 2896. [Google Scholar] [CrossRef]
- Chizenga, E.P.; Abrahamse, H. Biological Therapy with Complementary and Alternative Medicine in Innocuous Integrative Oncology: A Case of Cervical Cancer. Pharmaceutics 2021, 13, 626. [Google Scholar] [CrossRef]
- Schiffman, M.; Doorbar, J.; Wentzensen, N.; de Sanjosé, S.; Fakhry, C.; Monk, B.J.; Stanley, M.A.; Franceschi, S. Carcinogenic human papillomavirus infection. Nat. Rev. Dis. Primers 2016, 2, 16086. [Google Scholar] [CrossRef]
- World Health Organization. World Health Assembly Adopts Global Strategy to Accelerate Cervical Cancer Elimination; WHO: Geneva, Switzerland, 2020. [Google Scholar]
- Wirtz, C.; Mohamed, Y.; Engel, D.; Sidibe, A.; Holloway, M.; Bloem, P.; Kumar, S.; Brotherton, J.; Reis, V.; Morgan, C. Integrating HPV vaccination programs with enhanced cervical cancer screening and treatment, a systematic review. Vaccine 2022, 40, A116–A123. [Google Scholar] [CrossRef]
- Islam, M.T.; Khalipha, A.B.R.; Bagchi, R.; Mondal, M.; Smrity, S.Z.; Uddin, S.J.; Shilpi, J.A.; Rouf, R. Anticancer activity of thymol: A literature-based review and docking study with Emphasis on its anticancer mechanisms. IUBMB Life 2019, 71, 9–19. [Google Scholar] [CrossRef]
- Arrais, A.; Bona, E.; Todeschini, V.; Caramaschi, A.; Massa, N.; Roncoli, M.; Minervi, A.; Perin, E.; Gianotti, V. Thymus vulgaris Essential Oil in Beta-Cyclodextrin for Solid-State Pharmaceutical Applications. Pharmaceutics 2023, 15, 914. [Google Scholar] [CrossRef]
- Sakkas, H.; Papadopoulou, C. Antimicrobial Activity of Basil, Oregano, and Thyme Essential Oils. J. Microbiol. Biotechnol. 2017, 27, 429–438. [Google Scholar] [CrossRef]
- Leyva-López, N.; Gutiérrez-Grijalva, E.P.; Vazquez-Olivo, G.; Heredia, J.B. Essential oils of oregano: Biological activity beyond their antimicrobial properties. Molecules 2017, 22, 989. [Google Scholar] [CrossRef]
- Sorgi, D.; Sartori, A.; Germani, S.; Gentile, R.N.; Bianchera, A.; Bettini, R. Imiquimod Solubility in Different Solvents: An Interpretative Approach. Pharmaceutics 2024, 16, 282. [Google Scholar] [CrossRef] [PubMed]
- Grimm, C.; Polterauer, S.; Natter, C.; Rahhal, J.; Hefler, L.; Tempfer, C.B.; Heinze, G.; Stary, G.; Reinthaller, A.; Speiser, P. Treatment of Cervical Intraepithelial Neoplasia With Topical Imiquimod. Obstet. Gynecol. 2012, 120, 152–159. [Google Scholar] [CrossRef] [PubMed]
- van de Sande, A.J.M.; Koeneman, M.M.; Gerestein, C.G.; Kruse, A.J.; van Kemenade, F.J.; van Beekhuizen, H.J. TOPical Imiquimod treatment of residual or recurrent cervical intraepithelial neoplasia (TOPIC-2 trial): A study protocol for a randomized controlled trial. BMC Cancer 2018, 18, 655. [Google Scholar] [CrossRef] [PubMed]
- van Seters, M.; van Beurden, M.; ten Kate, F.J.; Beckmann, I.; Ewing, P.C.; Eijkemans, M.J.; Helmerhorst, T.J. Treatment of Vulvar Intraepithelial Neoplasia with Topical Imiquimod. NEJM 2008, 358, 1465–1473. [Google Scholar] [CrossRef] [PubMed]
- Koeneman, M.M.; Kruse, A.J.; Kooreman, L.F.S.; Hausen, A.Z.; Hopman, A.H.N.; Sep, S.J.S.; Van Gorp, T.; Slangen, B.F.M.; van Beekhuizen, H.J.; van de Sande, M.; et al. TOPical Imiquimod treatment of high-grade Cervical intraepithelial neoplasia (TOPIC trial): Study protocol for a randomized controlled trial. BMC Cancer 2016, 16, 132. [Google Scholar] [CrossRef] [PubMed]
- Almomen, A.; Badran, M.; Alhowyan, A.A.; Alkholief, M.; Alshamsan, A. Imiquimod-Loaded Chitosan-Decorated Di-Block and Tri-Block Polymeric Nanoparticles Loaded In Situ Gel for the Management of Cervical Cancer. Gels 2023, 9, 713. [Google Scholar] [CrossRef] [PubMed]
- Aminu, N.; Bello, I.; Umar, N.M.; Tanko, N.; Aminu, A.; Audu, M.M. The influence of nanoparticulate drug delivery systems in drug therapy. J. Drug. Deliv. Sci. Technol. 2020, 60, 101961. [Google Scholar] [CrossRef]
- Paston, S.J.; Brentville, V.A.; Symonds, P.; Durrant, L.G. Cancer Vaccines, Adjuvants, and Delivery Systems. Front. Immunol. 2021, 12, 627932. [Google Scholar] [CrossRef] [PubMed]
- Shah, S.; Dhawan, V.; Holm, R.; Nagarsenker, M.S.; Perrie, Y. Liposomes: Advancements and innovation in the manufacturing process. Adv. Drug Deliv. Rev. 2020, 154–155, 102–122. [Google Scholar] [CrossRef] [PubMed]
- Filipczak, N.; Yalamarty, S.S.K.; Li, X.; Khan, M.M.; Parveen, F.; Torchilin, V. Lipid-Based Drug Delivery Systems in Regenerative Medicine. Materials 2021, 14, 5371. [Google Scholar] [CrossRef] [PubMed]
- Akhtar, A.; Wang, S.; Ghali, L.; Bell, C.; Wen, X. Effective Delivery of Arsenic Trioxide to HPV-Positive Cervical Cancer Cells Using Optimised Liposomes: A Size and Charge Study. Int. J. Mol. Sci. 2018, 19, 1081. [Google Scholar] [CrossRef] [PubMed]
- Wei, Z.; Zhou, Y.; Wang, R.; Wang, J.; Chen, Z. Aptamers as Smart Ligands for Targeted Drug Delivery in Cancer Therapy. Pharmaceutics 2022, 14, 2561. [Google Scholar] [CrossRef]
- Figueiredo, J.; Lopes-Nunes, J.; Carvalho, J.; Antunes, F.; Ribeiro, M.; Campello, M.P.C.; Paulo, A.; Paiva, A.; Salgado, G.F.; Queiroz, J.A.; et al. AS1411 derivatives as carriers of G-quadruplex ligands for cervical cancer cells. Int. J. Pharm. 2019, 568, 118511. [Google Scholar] [CrossRef] [PubMed]
- Xiang, M.; Li, Y.; Liu, J.; Shi, J.; Ge, Y.; Peng, C.; Bin, Y.; Wang, Z.; Wang, L. G-Quadruplex Linked DNA Guides Selective Transfection into Nucleolin-Overexpressing Cancer Cells. Pharmaceutics 2022, 14, 2247. [Google Scholar] [CrossRef] [PubMed]
- Do, N.Q.; Chung, W.J.; Truong, T.H.A.; Heddi, B.; Phan, A.T. G-quadruplex structure of an anti-proliferative DNA sequence. Nucleic Acids Res. 2017, 45, 7487–7493. [Google Scholar] [CrossRef] [PubMed]
- Batzri, S.; Korn, E.D. Single bilayer liposomes prepared without sonication. Biochim. Biophys. Acta BBA Biomembr. 1973, 298, 1015–1019. [Google Scholar] [CrossRef] [PubMed]
- Nsairat, H.; Mahmoud, I.S.; Odeh, F.; Abuarqoub, D.; Al-Azzawi, H.; Zaza, R.; Qadri, M.I.; Ismail, S.; Al Bawab, A.; Awidi, A.; et al. Grafting of anti-nucleolin aptamer into preformed and remotely loaded liposomes through aptamer-cholesterol post-insertion. RSC Adv. 2020, 10, 36219–36229. [Google Scholar] [CrossRef] [PubMed]
- Singh, A.V.; Bhardwaj, P.; Upadhyay, A.K.; Pagani, A.; Upadhyay, J.; Bhadra, J.; Tisato, V.; Thakur, M.; Gemmati, D.; Mishra, R.; et al. Navigating regulatory challenges in molecularly tailored nanomedicine. Explor. BioMat-X 2024, 1, 124–134. [Google Scholar] [CrossRef]
- Lin, W.; Yao, N.; Li, H.; Hanson, S.; Han, W.; Wang, C.; Zhang, L. Co-Delivery of Imiquimod and Plasmid DNA via an Amphiphilic pH-Responsive Star Polymer that Forms Unimolecular Micelles in Water. Polymers 2016, 8, 397. [Google Scholar] [CrossRef] [PubMed]
- Tien, D.; Schnaare, R.L.; Kang, F.; Cohl, G.; McCormick, T.J.; Moench, T.R.; Doncel, G.; Watson, K.; Buckheit, R.W., Jr.; Lewis, M.G.; et al. In Vitro and In Vivo Characterization of a Potential Universal Placebo Designed for Use in Vaginal Microbicide Clinical Trials. AIDS Res. Hum. Retroviruses 2005, 21, 845–853. [Google Scholar] [CrossRef] [PubMed]
- Singh, A.V.; Hosseinidoust, Z.; Park, B.W.; Yasa, O.; Sitti, M. Microemulsion-Based Soft Bacteria-Driven Microswimmers for Active Cargo Delivery. ACS Nano 2017, 11, 9759–9769. [Google Scholar] [CrossRef]
- Owen, D.H.; Katz, D.F. A vaginal fluid simulant. Contraception. Contraception 1999, 59, 91–95. [Google Scholar] [CrossRef]
- Machado, R.M.; Palmeira-de-Oliveira, A.; Martinez-de-Oliveira, J.; Palmeira-de-Oliveira, R. Vaginal semisolid products: Technological performance considering physiologic parameters. Eur. J. Pharm. Sci. 2017, 109, 556–568. [Google Scholar] [CrossRef] [PubMed]
- Guimarães, D.; Cavaco-Paulo, A.; Nogueira, E. Design of liposomes as drug delivery system for therapeutic applications. Int. J. Pharm. 2021, 601, 120571. [Google Scholar] [CrossRef] [PubMed]
- Frank, L.A.; Chaves, P.S.; D’Amore, C.M.; Contri, R.V.; Frank, A.G.; Beck, R.C.; Pohlmann, A.R.; Buffon, A.; Guterres, S.S. The use of chitosan as cationic coating or gel vehicle for polymeric nanocapsules: Increasing penetration and adhesion of imiquimod in vaginal tissue. Eur. J. Pharm. Biopharm. 2017, 114, 202–212. [Google Scholar] [CrossRef] [PubMed]
- Frank, L.; Gazzi, R.; de Andrade Mello, P.; Buffon, A.; Pohlmann, A.; Guterres, S. Imiquimod-loaded nanocapsules improve cytotoxicity in cervical cancer cell line. Eur. J. Pharm. Biopharm. 2019, 136, 9–17. [Google Scholar] [CrossRef] [PubMed]
- Paiva-Santos, A.C.; Silva, A.L.; Guerra, C.; Peixoto, D.; Pereira-Silva, M.; Zeinali, M.; Mascarenhas-Melo, F.; Castro, R.; Veiga, F. Ethosomes as Nanocarriers for the Development of Skin Delivery Formulations. Pharm. Res. 2021, 38, 947–970. [Google Scholar] [CrossRef] [PubMed]
- Cunha, A.R.; Machado, R.M.; Palmeira-De-Oliveira, A.; Martinez-De-Oliveira, J.; Das Neves, J.; Palmeira-De-Oliveira, R. Characterization of Commercially Available Vaginal Lubricants: A Safety Perspective. Pharmaceutics 2014, 6, 530–542. [Google Scholar] [CrossRef] [PubMed]
- Maocha, I.G.; Carvalho, J.; Lopes-Nunes, J.; Rosado, T.; Gallardo, E.; Tomás, M.; Palmeira-De-Oliveira, A.; Palmeira-De-Oliveira, R.; Martinez-De-Oliveira, J.; Campello, M.P.C.; et al. Drug Formulations for Localized Treatment of Human Papillomavirus-Induced Lesions. J. Pharm. Sci. 2022, 111, 2230–2238. [Google Scholar] [CrossRef]
- Aka-Any-Grah, A.; Bouchemal, K.; Koffi, A.; Agnely, F.; Zhang, M.; Djabourov, M.; Ponchel, G. Formulation of mucoadhesive vaginal hydrogels insensitive to dilution with vaginal fluids. Eur. J. Pharm. Biopharm. 2010, 76, 296–303. [Google Scholar] [CrossRef] [PubMed]
- Lages, C.A.S.; Silva, J.N.; Silva Filho, E.C.; Nunes, L.C.C.; Silva, B.B. Polymers Mucoadhesives for Vaginal use: A Technological Forecasting. Rev. Geintec. 2014, 4, 622–631. [Google Scholar] [CrossRef]
- Annex 11—World Health Organization/United Nations Population Fund Specifications for Plain Lubricants. Background. WHO Expert Committee on Specifications for Pharmaceutical Preparations Fifty-Fourth Report. 2012. Available online: https://www.who.int/docs/default-source/medicines/norms-and-standards/guidelines/trs1025/trs1025-annex11.pdf?sfvrsn=3dd1e3bb_2 (accessed on 20 February 2024).
- Adriaens, E.; Remon, J.P. Mucosal irritation potential of personal lubricants relates to product osmolality as detected by the slug mucosal irritation assay. Sex. Transm. Dis. 2008, 35, 512–516. [Google Scholar] [CrossRef]
- Garg, S.; A Anderson, R.; Chany, C.J.; Waller, D.P.; Diao, X.H.; Vermani, K.; Zaneveld, L.J. Properties of a new acid-buffering bioadhesive vaginal formulation (ACIDFORM). Contraception 2001, 64, 67–75. [Google Scholar] [CrossRef]
- de Araújo Pereira, R.R.; Bruschi, M.L. Vaginal mucoadhesive drug delivery systems. Drug Dev. Ind. Pharm. 2012, 38, 643–652. [Google Scholar] [CrossRef]
- Lopes-Nunes, J.; Agonia, A.S.; Rosado, T.; Gallardo, E.; Palmeira-De-Oliveira, R.; Palmeira-De-Oliveira, A.; Martinez-De-Oliveira, J.; Fonseca-Moutinho, J.; Campello, M.P.C.; Paiva, A.; et al. Aptamer-Functionalized Gold Nanoparticles for Drug Delivery to Gynecological Carcinoma Cells. Cancers 2021, 13, 4038. [Google Scholar] [CrossRef]
- Preljević, K.; Pašić, I.; Vlaović, M.; Matić, I.Z.; Krivokapić, S.; Petrović, N.; Stanojković, T.; Živković, V.; Perović, S. Comparative analysis of chemical profiles, antioxidant, antibacterial, and anticancer effects of essential oils of two Thymus species from Montenegro. Fitoterapia 2024, 174, 105871. [Google Scholar] [CrossRef]
- Altuntas, O.; Demirtas, I. Real-Time Cell Analysis of the Cytotoxicity of Essential Oil on HT-29 and HeLa Cell Lines. Turk. J. Pharm. Sci. 2024, 14, 29–33. [Google Scholar] [CrossRef]
- Kubatka, P.; Uramova, S.; Kello, M.; Kajo, K.; Samec, M.; Jasek, K.; Vybohova, D.; Liskova, A.; Mojzis, J.; Adamkov, M.; et al. Anticancer activities of Thymus vulgaris L. In experimental breast carcinoma in vivo and in vitro. Int. J. Mol. Sci. 2019, 20, 1749. [Google Scholar] [CrossRef]
- Diaz-Arrastia, C.; Arany, I.; Robazetti, S.C.; Dinh, T.V.; Gatalica, Z.; Tyring, S.K.; Hannigan, E. Clinical and molecular responses in high-grade intraepithelial neoplasia treated with topical imiquimod 5%. Clin. Cancer Res. 2001, 7, 3031–3033. [Google Scholar]
- Carvalho, J.; Lopes-Nunes, J.; Lopes, A.C.; Campello, M.P.C.; Paulo, A.; Queiroz, J.A.; Cruz, C. Aptamer-guided acridine derivatives for cervical cancer. Org. Biomol. Chem. 2019, 17, 2992–3002. [Google Scholar] [CrossRef]
- Bates, P.J.; Reyes-Reyes, E.M.; Malik, M.T.; Murphy, E.M.; O’Toole, M.G.; Trent, J.O. G-quadruplex oligonucleotide AS1411 as a cancer-targeting agent: Uses and mechanisms. BBA-Gen. Subj. 2017, 1861, 1414–1428. [Google Scholar]
- Machado, R.M.; Palmeira-de-Oliveira, A.; Gaspar, C.; Martinez-de-Oliveira, J.; Palmeira-de-Oliveira, R. Studies and methodologies on vaginal drug permeation. Adv. Drug Deliv. Rev. 2015, 92, 14–26. [Google Scholar] [CrossRef]
- He, G.; Wu, L.; Zheng, Q.; Jiang, X. Antimicrobial susceptibility and minimum inhibitory concentration distribution of common clinically relevant non-tuberculous mycobacterial isolates from the respiratory tract. Ann. Med. 2022, 54, 2499–2509. [Google Scholar] [CrossRef]
- Borugă, O.; Jianu, C.; Mişcă, C.; Goleţ, I.; Gruia, A.; Horhat, F. Thymus vulgaris essential oil: Chemical composition and antimicrobial activity. J. Med. Life 2014, 3, 56–60. [Google Scholar]
- Lombrea, A.; Antal, D.; Ardelean, F.; Avram, S.; Pavel, I.Z.; Vlaia, L.; Danciu, C. A Recent Insight Regarding the Phytochemistry and Bioactivity of Origanum vulgare L. Essential Oil. Int. J. Mol. Sci. 2020, 21, 9653. [Google Scholar] [CrossRef]
- Manohar, V.; Ingram, C.; Gray, J.; Talpur, N.A.; Echard, B.W.; Bagchi, D.; Preuss, H.G. Antifungal activities of origanum oil against Candida albicans. Mol. Cell. Biochem. 2001, 228, 111–117. [Google Scholar] [CrossRef]
- Arbeit, J.M.; Münger, K.; Howley, P.M.; Hanahan, D. Progressive squamous epithelial neoplasia in K14-human papillomavirus type 16 transgenic mice. J. Virol. 1994, 68, 4358–4368. [Google Scholar] [CrossRef]
- Coussens, L.M.; Hanahan, D.; Arbeit, J.M. Genetic predisposition and parameters of malignant progression in K14-HPV16 transgenic mice. Am. J. Pathol. 1996, 149, 1899–1917. [Google Scholar]







| Z-Ave (nm (±SD)) | PDI (±SD) | |||
|---|---|---|---|---|
| Day 0 | Day 30 | Day 0 | Day 30 | |
| BL | 129.6 ± 1.3 | 130.9 ± 0.4 | 0.135 ± 0.030 | 0.094 ± 0.020 |
| BL AT11 | 160.2 ± 2.5 | 113.27 ± 0.7 | 0.225 ± 0.010 | 0.135 ± 0.020 |
| Lipo IQ | 111.4 ± 1.0 | 116.9 ± 0.9 | 0.135 ± 0.030 | 0.153 ± 0.020 |
| Lipo IQ AT11 | 117.4 ± 0.7 | 113.3 ± 0.7 | 0.225 ± 0.030 | 0.125 ± 0.020 |
Disclaimer/Publisher’s Note: The statements, opinions and data contained in all publications are solely those of the individual author(s) and contributor(s) and not of MDPI and/or the editor(s). MDPI and/or the editor(s) disclaim responsibility for any injury to people or property resulting from any ideas, methods, instructions or products referred to in the content. |
© 2024 by the authors. Licensee MDPI, Basel, Switzerland. This article is an open access article distributed under the terms and conditions of the Creative Commons Attribution (CC BY) license (https://creativecommons.org/licenses/by/4.0/).
Share and Cite
Maocha, I.; Rosado, B.; Lopes-Nunes, J.; Lopes, M.; Rolo, J.; Pires, B.; Gallardo, E.; Palmeira-de-Oliveira, A.; Martinez-de-Oliveira, J.; Palmeira de Oliveira, R.; et al. Imiquimod-Loaded Nanosystem for Treatment Human Papillomavirus-Induced Lesions. Pharmaceutics 2024, 16, 864. https://doi.org/10.3390/pharmaceutics16070864
Maocha I, Rosado B, Lopes-Nunes J, Lopes M, Rolo J, Pires B, Gallardo E, Palmeira-de-Oliveira A, Martinez-de-Oliveira J, Palmeira de Oliveira R, et al. Imiquimod-Loaded Nanosystem for Treatment Human Papillomavirus-Induced Lesions. Pharmaceutics. 2024; 16(7):864. https://doi.org/10.3390/pharmaceutics16070864
Chicago/Turabian StyleMaocha, Izamara, Beatriz Rosado, Jéssica Lopes-Nunes, Melanie Lopes, Joana Rolo, Bruno Pires, Eugénia Gallardo, Ana Palmeira-de-Oliveira, José Martinez-de-Oliveira, Rita Palmeira de Oliveira, and et al. 2024. "Imiquimod-Loaded Nanosystem for Treatment Human Papillomavirus-Induced Lesions" Pharmaceutics 16, no. 7: 864. https://doi.org/10.3390/pharmaceutics16070864
APA StyleMaocha, I., Rosado, B., Lopes-Nunes, J., Lopes, M., Rolo, J., Pires, B., Gallardo, E., Palmeira-de-Oliveira, A., Martinez-de-Oliveira, J., Palmeira de Oliveira, R., Medeiros, R., & Cruz, C. (2024). Imiquimod-Loaded Nanosystem for Treatment Human Papillomavirus-Induced Lesions. Pharmaceutics, 16(7), 864. https://doi.org/10.3390/pharmaceutics16070864

