Overcoming the Drawbacks of Sulpiride by Means of New Crystal Forms
Abstract
1. Introduction
2. Materials and Methods
3. Results and Discussion
3.1. Crystal Structures
3.2. Solid-State NMR
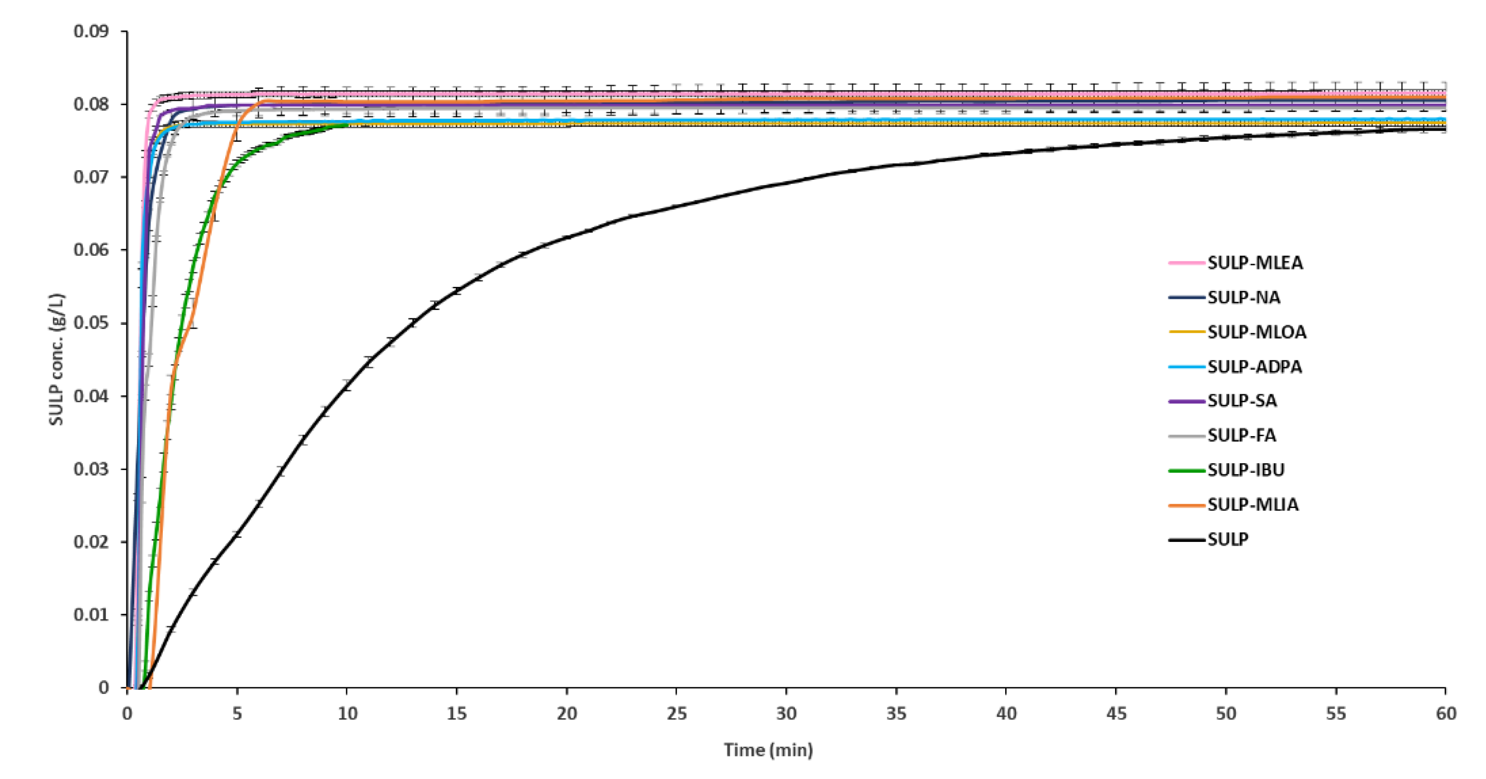
3.3. In Vitro Dissolution Tests
4. Conclusions
5. Patent
Supplementary Materials
Author Contributions
Funding
Institutional Review Board Statement
Informed Consent Statement
Data Availability Statement
Acknowledgments
Conflicts of Interest
References
- Eisenegger, C.; Naef, M.; Linssen, A.; Clark, L.; Gandamaneni, P.K.; Müller, U.; Robbins, T.W. Role of Dopamine D2 Receptors in Human Reinforcement Learning. Neuropsychopharmacology 2014, 39, 2366–2375. [Google Scholar] [CrossRef] [PubMed]
- Lai, E.C.-C.; Chang, C.-H.; Kao Yang, Y.-H.; Lin, S.-J.; Lin, C.-Y. Effectiveness of Sulpiride in Adult Patients With Schizophrenia. Schizophr. Bull. 2013, 39, 673–683. [Google Scholar] [CrossRef] [PubMed]
- Tsume, Y.; Mudie, D.M.; Langguth, P.; Amidon, G.E.; Amidon, G.L. The Biopharmaceutics Classification System: Subclasses for in Vivo Predictive Dissolution (IPD) Methodology and IVIVC. Eur. J. Pharm. Sci. Off. J. Eur. Fed. Pharm. Sci. 2014, 57, 152–163. [Google Scholar] [CrossRef]
- Watanabe, K.; Sawano, T.; Terada, K.; Endo, T.; Sakata, M.; Sato, J. Studies on Intestinal Absorption of Sulpiride. (1): Carrier-Mediated Uptake of Sulpiride in the Human Intestinal Cell Line Caco-2. Biol. Pharm. Bull. 2002, 25, 885–890. [Google Scholar] [CrossRef] [PubMed][Green Version]
- Ayoub, A.M.; Ibrahim, M.M.; Abdallah, M.H.; Mahdy, M.A. Sulpiride Microemulsions as Antipsychotic Nasal Drug Delivery Systems: In-Vitro and Pharmacodynamic Study. J. Drug Deliv. Sci. Technol. 2016, 36, 10–22. [Google Scholar] [CrossRef]
- M’bitsi-Ibouily, G.C.; Marimuthu, T.; du Toit, L.C.; Kumar, P.; Choonara, Y.E. In Vitro, Ex Vivo and in Vivo Evaluation of a Novel Metal-Liganded Nanocomposite for the Controlled Release and Improved Oral Bioavailability of Sulpiride. J. Drug Deliv. Sci. Technol. 2021, 66, 102909. [Google Scholar] [CrossRef]
- Mohyeldin, S.M.; Samy, W.M.; Ragab, D.; Abdelmonsif, D.A.; Aly, R.G.; Elgindy, N.A. Precisely Fabricated Sulpiride-Loaded Nanolipospheres with Ameliorated Oral Bioavailability and Antidepressant Activity. Int. J. Nanomed. 2021, 16, 2013–2044. [Google Scholar] [CrossRef]
- Tawfeek, H.M.; Hassan, Y.A.; Aldawsari, M.F.; Fayed, M.H. Enhancing the Low Oral Bioavailability of Sulpiride via Fast Orally Disintegrating Tablets: Formulation, Optimization and In Vivo Characterization. Pharmaceuticals 2020, 13, 446. [Google Scholar] [CrossRef] [PubMed]
- Grothe, E.; Meekes, H.; Vlieg, E.; ter Horst, J.H.; de Gelder, R. Solvates, Salts, and Cocrystals: A Proposal for a Feasible Classification System. Cryst. Growth Des. 2016, 16, 3237–3243. [Google Scholar] [CrossRef]
- Aitipamula, S.; Banerjee, R.; Bansal, A.K.; Biradha, K.; Cheney, M.L.; Choudhury, A.R.; Desiraju, G.R.; Dikundwar, A.G.; Dubey, R.; Duggirala, N.; et al. Polymorphs, Salts, and Cocrystals: What’s in a Name? Cryst. Growth Des. 2012, 12, 2147–2152. [Google Scholar] [CrossRef]
- Reddy, D.S.; Craig, D.C.; Desiraju, G.R. Supramolecular Synthons in Crystal Engineering. 4. Structure Simplification and Synthon Interchangeability in Some Organic Diamondoid Solids. J. Am. Chem. Soc. 1996, 118, 4090–4093. [Google Scholar] [CrossRef]
- Cruz-Cabeza, A.J. Acid–Base Crystalline Complexes and the PKa Rule. CrystEngComm 2012, 14, 6362. [Google Scholar] [CrossRef]
- Aramini, A.; Bianchini, G.; Lillini, S.; Bordignon, S.; Tomassetti, M.; Novelli, R.; Mattioli, S.; Lvova, L.; Paolesse, R.; Chierotti, M.R.; et al. Unexpected Salt/Cocrystal Polymorphism of the Ketoprofen–Lysine System: Discovery of a New Ketoprofen–l-Lysine Salt Polymorph with Different Physicochemical and Pharmacokinetic Properties. Pharmaceuticals 2021, 14, 555. [Google Scholar] [CrossRef] [PubMed]
- Bernasconi, D.; Bordignon, S.; Rossi, F.; Priola, E.; Nervi, C.; Gobetto, R.; Voinovich, D.; Hasa, D.; Duong, N.T.; Nishiyama, Y.; et al. Selective Synthesis of a Salt and a Cocrystal of the Ethionamide–Salicylic Acid System. Cryst. Growth Des. 2020, 20, 906–915. [Google Scholar] [CrossRef]
- Dai, X.-L.; Chen, J.-M.; Lu, T.-B. Pharmaceutical Cocrystallization: An Effective Approach to Modulate the Physicochemical Properties of Solid-State Drugs. CrystEngComm 2018, 20, 5292–5316. [Google Scholar] [CrossRef]
- Almarsson, Ö.; Peterson, M.L.; Zaworotko, M. The A to Z of Pharmaceutical Cocrystals: A Decade of Fast-Moving New Science and Patents. Pharm. Pat. Anal. 2012, 1, 313–327. [Google Scholar] [CrossRef]
- Kavanagh, O.N.; Croker, D.M.; Walker, G.M.; Zaworotko, M.J. Pharmaceutical Cocrystals: From Serendipity to Design to Application. Drug Discov. Today 2019, 24, 796–804. [Google Scholar] [CrossRef]
- Raheem Thayyil, A.; Juturu, T.; Nayak, S.; Kamath, S. Pharmaceutical Co-Crystallization: Regulatory Aspects, Design, Characterization, and Applications. Adv. Pharm. Bull. 2020, 10, 203–212. [Google Scholar] [CrossRef]
- Deka, P.; Gogoi, D.; Althubeiti, K.; Rao, D.R.; Thakuria, R. Mechanosynthesis, Characterization, and Physicochemical Property Investigation of a Favipiravir Cocrystal with Theophylline and GRAS Coformers. Cryst. Growth Des. 2021, 21, 4417–4425. [Google Scholar] [CrossRef]
- Sinthupoom, N.; Prachayasittikul, V.; Prachayasittikul, S.; Ruchirawat, S.; Prachayasittikul, V. Nicotinic Acid and Derivatives as Multifunctional Pharmacophores for Medical Applications. Eur. Food Res. Technol. 2015, 240, 1–17. [Google Scholar] [CrossRef]
- Jung, U.J.; Lee, M.-K.; Park, Y.B.; Jeon, S.-M.; Choi, M.-S. Antihyperglycemic and Antioxidant Properties of Caffeic Acid in Db/Db Mice. J. Pharmacol. Exp. Ther. 2006, 318, 476–483. [Google Scholar] [CrossRef] [PubMed]
- Rodrigues, M.; Lopes, J.; Sarraguça, M. Vibrational Spectroscopy for Cocrystals Screening. A Comparative Study. Molecules 2018, 23, 3263. [Google Scholar] [CrossRef] [PubMed]
- Haskins, M.M.; Zaworotko, M.J. Screening and Preparation of Cocrystals: A Comparative Study of Mechanochemistry vs Slurry Methods. Cryst. Growth Des. 2021, 21, 4141–4150. [Google Scholar] [CrossRef] [PubMed]
- Sheldrick, G.M. SHELXT-Integrated Space-Group and Crystal-Structure Determination. Acta Cryst A 2015, 71, 3–8. [Google Scholar] [CrossRef] [PubMed]
- Sheldrick, G.M. Crystal Structure Refinement with SHELXL. Acta Cryst Sec C 2015, 71, 3–8. [Google Scholar] [CrossRef]
- Dolomanov, O.V.; Bourhis, L.J.; Gildea, R.J.; Howard, J.A.K.; Puschmann, H. OLEX2: A Complete Structure Solution, Refinement and Analysis Program. J. Appl. Crystallogr. 2009, 42, 339–341. [Google Scholar] [CrossRef]
- Kohri, N.; Naasani, I.; Iseki, K.; Miyazaki, K. Improving the Oral Bioavailability of Sulpiride by a Gastric-Retained Form in Rabbits. J. Pharm. Pharmacol. 2011, 48, 371–374. [Google Scholar] [CrossRef]
- Giannozzi, P.; Baroni, S.; Bonini, N.; Calandra, M.; Car, R.; Cavazzoni, C.; Ceresoli, D.; Chiarotti, G.L.; Cococcioni, M.; Dabo, I.; et al. QUANTUM ESPRESSO: A Modular and Open-Source Software Project for Quantum Simulations of Materials. J. Phys. Condens. Matter 2009, 21, 395502. [Google Scholar] [CrossRef]
- Lee, K.; Murray, É.D.; Kong, L.; Lundqvist, B.I.; Langreth, D.C. Higher-Accuracy van der Waals Density Functional. Phys. Rev. B 2010, 82, 081101. [Google Scholar] [CrossRef]
- Perdew, J.P.; Yue, W. Accurate and Simple Density Functional for the Electronic Exchange Energy: Generalized Gradient Approximation. Phys. Rev. B 1986, 33, 8800–8802. [Google Scholar] [CrossRef]
- Perdew, J.P.; Burke, K.; Ernzerhof, M. Generalized Gradient Approximation Made Simple. Phys. Rev. Lett. 1996, 77, 3865–3868. [Google Scholar] [CrossRef] [PubMed]
- Franco, F.; Baricco, M.; Chierotti, M.R.; Gobetto, R.; Nervi, C. Coupling Solid-State NMR with GIPAW Ab Initio Calculations in Metal Hydrides and Borohydrides. J. Phys. Chem. C 2013, 117, 9991–9998. [Google Scholar] [CrossRef]
- Pickard, C.J.; Mauri, F. All-Electron Magnetic Response with Pseudopotentials: NMR Chemical Shifts. Phys. Rev. B 2001, 63, 245101. [Google Scholar] [CrossRef]
- Reddy, G.N.M.; Huqi, A.; Iuga, D.; Sakurai, S.; Marsh, A.; Davis, J.T.; Masiero, S.; Brown, S.P. Co-Existence of Distinct Supramolecular Assemblies in Solution and in the Solid State. Chem.-Eur. J. 2017, 23, 2315–2322. [Google Scholar] [CrossRef]
- Macrae, C.F.; Sovago, I.; Cottrell, S.J.; Galek, P.T.A.; McCabe, P.; Pidcock, E.; Platings, M.; Shields, G.P.; Stevens, J.S.; Towler, M.; et al. Mercury 4.0: From Visualization to Analysis, Design and Prediction. J. Appl. Crystallogr. 2020, 53, 226–235. [Google Scholar] [CrossRef]
- Rossi, F.; Cerreia Vioglio, P.; Bordignon, S.; Giorgio, V.; Nervi, C.; Priola, E.; Gobetto, R.; Yazawa, K.; Chierotti, M.R. Unraveling the Hydrogen Bond Network in a Theophylline–Pyridoxine Salt Cocrystal by a Combined X-Ray Diffraction, Solid-State NMR, and Computational Approach. Cryst. Growth Des. 2018, 18, 2225–2233. [Google Scholar] [CrossRef]
- Cerreia Vioglio, P.; Chierotti, M.R.; Gobetto, R. Pharmaceutical Aspects of Salt and Cocrystal Forms of APIs and Characterization Challenges. Adv. Drug Deliv. Rev. 2017, 117, 86–110. [Google Scholar] [CrossRef]
- Bordignon, S.; Cerreia Vioglio, P.; Amadio, E.; Rossi, F.; Priola, E.; Voinovich, D.; Gobetto, R.; Chierotti, M.R. Molecular Crystal Forms of Antitubercular Ethionamide with Dicarboxylic Acids: Solid-State Properties and a Combined Structural and Spectroscopic Study. Pharmaceutics 2020, 12, 818. [Google Scholar] [CrossRef]
- Bagno, A.; Comuzzi, C. Deprotonation of Amides and Polyfunctional Imides Probed by Heteronuclear NMR and Quantum Chemical Calculations. Eur. J. Org. Chem. 1999, 1999, 287–295. [Google Scholar] [CrossRef]
- Gobetto, R.; Nervi, C.; Valfrè, E.; Chierotti, M.R.; Braga, D.; Maini, L.; Grepioni, F.; Harris, R.K.; Ghi, P.Y. 1 H MAS, 15 N CPMAS, and DFT Investigation of Hydrogen-Bonded Supramolecular Adducts between the Diamine 1,4-Diazabicyclo-[2.2.2]Octane and Dicarboxylic Acids of Variable Chain Length. Chem. Mater. 2005, 17, 1457–1466. [Google Scholar] [CrossRef]
- Chen, S.; Xi, H.; Henry, R.F.; Marsden, I.; Zhang, G.G.Z. Chiral Co-Crystal Solid Solution: Structures, Melting Point Phase Diagram, and Chiral Enrichment of (Ibuprofen)2(4,4′-Dipyridyl). CrystEngComm 2010, 12, 1485. [Google Scholar] [CrossRef]
- Pharmaceutical Press-Handbook of Pharmaceutical Excipients Ninth Edition. Available online: https://www.pharmpress.com/product/9780857113757/excipients (accessed on 8 July 2022).
- Bordignon, S.; Cerreia Vioglio, P.; Priola, E.; Voinovich, D.; Gobetto, R.; Nishiyama, Y.; Chierotti, M.R. Engineering Codrug Solid Forms: Mechanochemical Synthesis of an Indomethacin–Caffeine System. Cryst. Growth Des. 2017, 17, 5744–5752. [Google Scholar] [CrossRef]











| Identification code | SULP-FA | SULP-ADPA | SULP-MLEA | SULP-MLOA | SULP-IND | SULP-AZA |
|---|---|---|---|---|---|---|
| Empirical formula | C34H50N6O12S2 | C36H56N6O12S2 | C19H27N3O8S | C18H27N3O8S | C34H41ClN4O9S | C19H29N7O7S3 |
| Formula weight | 798.92 | 831.00 | 457.49 | 445.48 | 717.22 | 563.67 |
| Temperature/K | 200.00 | 150.00 | 200.00 | 200.00 | 200.00 | 200.00 |
| Crystal system | triclinic | triclinic | monoclinic | monoclinic | triclinic | monoclinic |
| Space group | Pn | P21/c | P21/c | |||
| a/Å | 7.3227(9) | 7.2641(4) | 7.9084(5) | 7.4255(2) | 7.2881(13) | 9.6257(4) |
| b/Å | 8.0884(10) | 8.2222(4) | 10.8794(7) | 35.7096(11) | 8.0909(17) | 11.5202(5) |
| c/Å | 16.641(2) | 17.7641(9) | 12.4918(8) | 8.1883(3) | 29.704(6) | 22.5198(10) |
| α/° | 81.355(4) | 84.511(3) | 90 | 90 | 93.651(6) | 90 |
| β/° | 86.017(4) | 82.479(3) | 92.660(2) | 102.8120(10) | 92.351(5) | 98.676(3) |
| γ/° | 76.489(4) | 78.245(3) | 90 | 90 | 101.309(5) | 90 |
| Volume/Å3 | 946.9(2) | 1027.20(9) | 1073.62(12) | 2117.17(12) | 1711.5(6) | 2468.65(19) |
| Z | 1 | 1 | 2 | 4 | 2 | 4 |
| ρcalcg/cm3 | 1.401 | 1.343 | 1.415 | 1.398 | 1.392 | 1.517 |
| μ/mm−1 | 1.871 | 1.743 | 0.202 | 1.806 | 0.233 | 3.237 |
| F(000) | 424.0 | 444.0 | 484.0 | 944.0 | 756.0 | 1184.0 |
| Crystal size/mm3 | 0.04 × 0.03 × 0.03 | 0.04 × 0.03 × 0.01 | 0.07 × 0.02 × 0.02 | 0.05 × 0.05 × 0.04 | 0.07 × 0.06 × 0.04 | 0.05 × 0.04 × 0.02 |
| Radiation | CuKα (λ = 1.54178) | CuKα (λ = 1.54178) | MoKα (λ = 0.71073) | CuKα (λ = 1.54178) | MoKα (λ = 0.71073) | CuKα (λ = 1.54178) |
| 2Θ range for data collection/° | 5.374 to 89.052 | 5.03 to 149.294 | 4.968 to 52.826 | 4.95 to 150.01 | 4.128 to 52.998 | 7.942 to 150.688 |
| Index ranges | −6 ≤ h ≤ 6 −7 ≤ k ≤ 7 −15 ≤ l ≤ 15 | −8 ≤ h ≤ 9 −10 ≤ k ≤ 10 −22 ≤ l ≤ 22 | −9 ≤ h ≤ 9 −13 ≤ k ≤ 13−15 ≤ l ≤ 15 | −9 ≤ h ≤ 8 −44 ≤ k ≤ 44 −10 ≤ l ≤ 10 | −9 ≤ h ≤ 8 −10 ≤ k ≤ 10 −37 ≤ l ≤ 37 | −11 ≤ h ≤ 11 0 ≤ k ≤ 14 0 ≤ l ≤ 28 |
| Reflections collected | 3913 | 18659 | 19091 | 44139 | 49909 | 5017 |
| Independent reflections | 1443 Rint = 0.0701, Rsigma = 0.1034 | 4182 Rint = 0.0601, Rsigma = 0.0426 | 4278 Rint = 0.0830, Rsigma = 0.0684 | 4351 Rint = 0.0422, Rsigma = 0.0219 | 7033 Rint = 0.1496, Rsigma = 0.0970 | 5017 Rint = n/a, Rsigma = 0.0700 |
| Data/restraints/parameters | 1443/0/217 | 4182/0/257 | 4278/2/298 | 4351/0/282 | 7033/0/449 | 5017/0/333 |
| Goodness-of-fit on F2 | 1.017 | 1.021 | 1.071 | 1.167 | 1.057 | 1.075 |
| Final R indexes [I>=2σ (I)] | R1 = 0.0762, wR2 = 0.1885 | R1 = 0.0460, wR2 = 0.1174 | R1 = 0.0510, wR2 = 0.0985 | R1 = 0.0808, wR2 = 0.1926 | R1 = 0.1235, wR2 = 0.3402 | R1 = 0.1036, wR2 = 0.2760 |
| Final R indexes [all data] | R1 = 0.1462, wR2 = 0.2413 | R1 = 0.0618, wR2 = 0.1282 | R1 = 0.0731, wR2 = 0.1067 | R1 = 0.0822, wR2 = 0.1933 | R1 = 0.1846, wR2 = 0.3812 | R1 = 0.1356, wR2 = 0.3064 |
| Largest diff. peak/hole / e Å−3 | 0.86/−0.34 | 0.41/−0.69 | 0.21/−0.23 | 0.84/−0.59 | 1.19/−0.55 | 0.94/−0.62 |
Publisher’s Note: MDPI stays neutral with regard to jurisdictional claims in published maps and institutional affiliations. |
© 2022 by the authors. Licensee MDPI, Basel, Switzerland. This article is an open access article distributed under the terms and conditions of the Creative Commons Attribution (CC BY) license (https://creativecommons.org/licenses/by/4.0/).
Share and Cite
Birolo, R.; Bravetti, F.; Bordignon, S.; D’Abbrunzo, I.; Mazzeo, P.P.; Perissutti, B.; Bacchi, A.; Chierotti, M.R.; Gobetto, R. Overcoming the Drawbacks of Sulpiride by Means of New Crystal Forms. Pharmaceutics 2022, 14, 1754. https://doi.org/10.3390/pharmaceutics14091754
Birolo R, Bravetti F, Bordignon S, D’Abbrunzo I, Mazzeo PP, Perissutti B, Bacchi A, Chierotti MR, Gobetto R. Overcoming the Drawbacks of Sulpiride by Means of New Crystal Forms. Pharmaceutics. 2022; 14(9):1754. https://doi.org/10.3390/pharmaceutics14091754
Chicago/Turabian StyleBirolo, Rebecca, Federica Bravetti, Simone Bordignon, Ilenia D’Abbrunzo, Paolo P. Mazzeo, Beatrice Perissutti, Alessia Bacchi, Michele R. Chierotti, and Roberto Gobetto. 2022. "Overcoming the Drawbacks of Sulpiride by Means of New Crystal Forms" Pharmaceutics 14, no. 9: 1754. https://doi.org/10.3390/pharmaceutics14091754
APA StyleBirolo, R., Bravetti, F., Bordignon, S., D’Abbrunzo, I., Mazzeo, P. P., Perissutti, B., Bacchi, A., Chierotti, M. R., & Gobetto, R. (2022). Overcoming the Drawbacks of Sulpiride by Means of New Crystal Forms. Pharmaceutics, 14(9), 1754. https://doi.org/10.3390/pharmaceutics14091754

