Penetration Enhancers in Ocular Drug Delivery
Abstract
1. Introduction
- Modifying membrane components such as lipid bilayers of associated epithelial cells [19];
 
2. Ocular Anatomy and Physiology
2.1. The Outermost Layer (Tunica Fibrosa Oculi)
2.2. Eye Chambers, Iris, Ciliary Body, and Lens
2.3. Choroidea and Retina
3. Ocular Conditions
4. Permeability of Ocular Membranes
5. Penetration Enhancers
5.1. Cyclodextrins
5.2. Chelating Agents
5.3. Crown Ethers
5.4. Surfactants
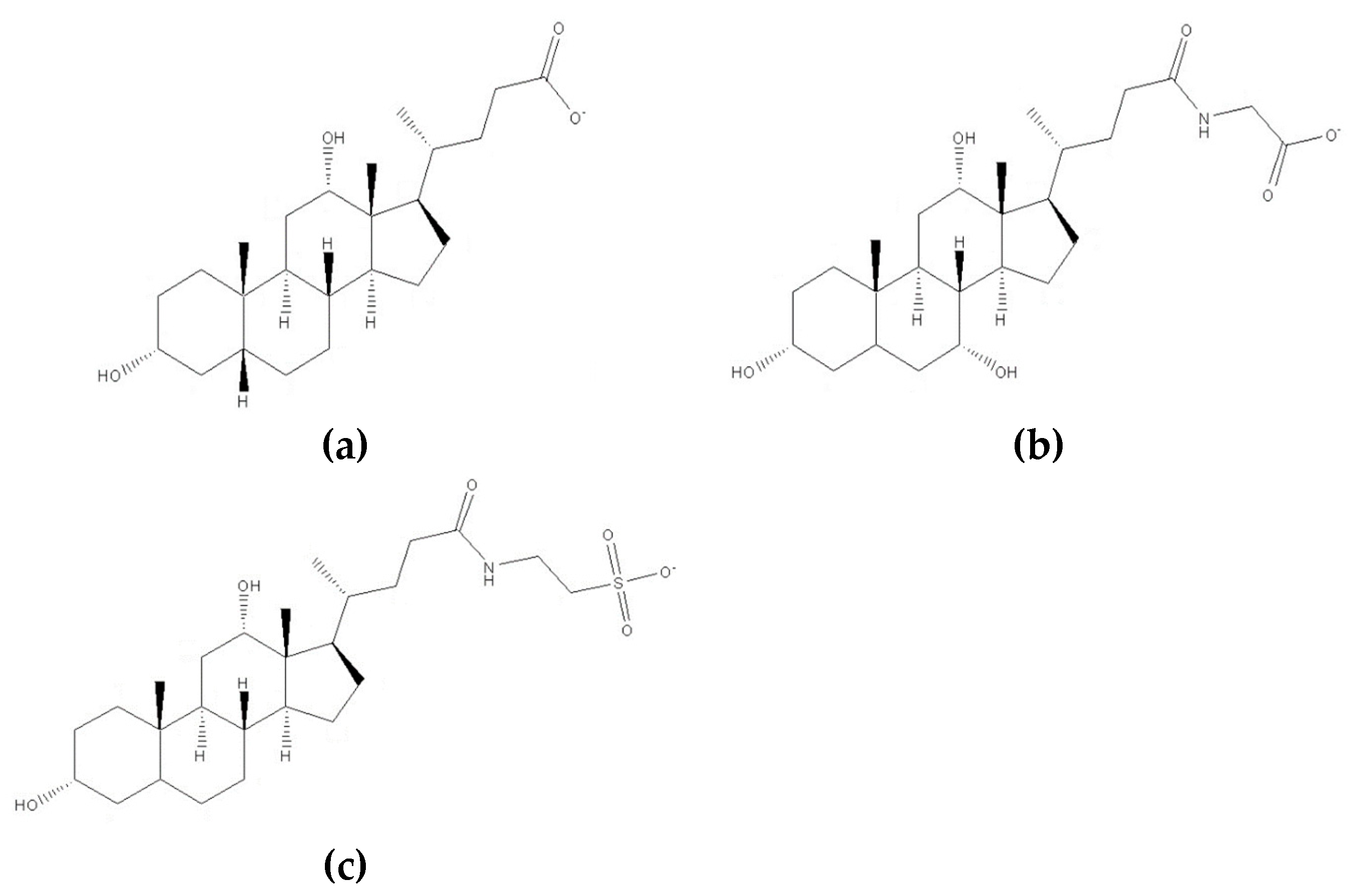
5.5. Bile Acids and Bile Salts
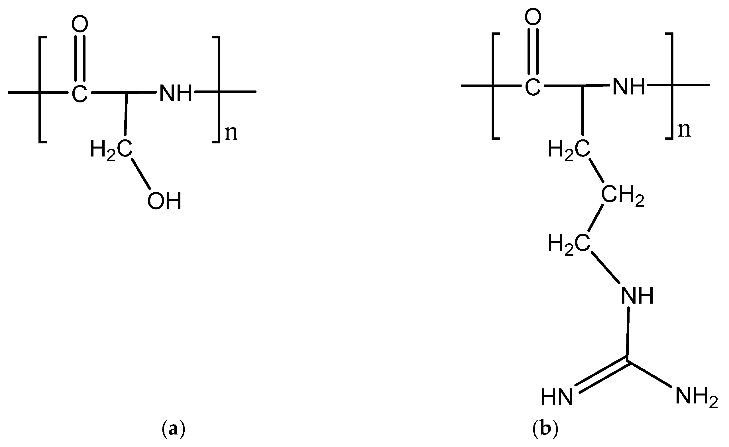
5.6. Cell-Penetrating Peptides
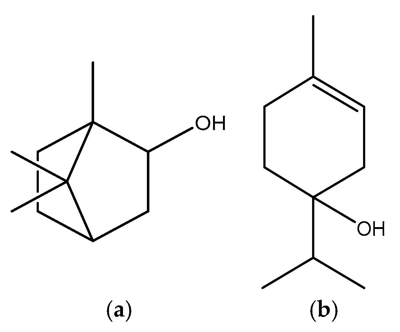
5.7. Other Amphiphilic Compounds
6. Comparison of Different Penetration Enhancers
7. Conclusions
Funding
Acknowledgments
Conflicts of Interest
References
- World Health Organization. Available online: https://www.who.int/news-room/fact-sheets/detail/blindness-and-visual-impairment (accessed on 12 December 2018).
 - Haupt, C.; Huber, A.B. How axons see their way-axonal guidance in the visual system. Front. Biosci. 2008, 13, 3136–3149. [Google Scholar] [CrossRef] [PubMed]
 - Morrison, P.W.J.; Khutoryanskiy, V.V. Anatomy of the Eye and the Role of Ocular Mucosa in Drug Delivery. In Mucoadhesive Materials and Drug Delivery Systems, 1st ed.; Khutoryanskiy, V.V., Ed.; John Wiley & Sons, Ltd.: Chichester, UK, 2014; pp. 39–60. ISBN 9781119941439. [Google Scholar]
 - Kaur, I.P.; Smitha, R. Penetration enhancers and ocular bioadhesives: Two new avenues for ophthalmic drug delivery. Drug Dev. Ind. Pharm. 2002, 28, 353–369. [Google Scholar] [CrossRef] [PubMed]
 - Morrison, P.W.; Khutoryanskiy, V.V. Advances in ophthalmic drug delivery. Ther. Deliv. 2014, 5, 1297–1315. [Google Scholar] [CrossRef] [PubMed]
 - Lopath, P.; TecLens, C.L. Available online: https://player.vimeo.com/video/198253544 (accessed on 2 September 2018).
 - Del Amo, E.M.; Urtti, A. Current and future ophthalmic drug delivery systems. A shift to the posterior segment. Drug Discov. Today 2008, 13, 135–143. [Google Scholar] [CrossRef]
 - Zderic, V.; Clark, J.I.; Martin, R.W.; Vaezy, S. Ultrasound-enhanced transcorneal drug delivery. Cornea 2004, 23, 804–811. [Google Scholar] [CrossRef]
 - Vaka, S.R.; Sammeta, S.M.; Day, L.B.; Murthy, S.N. Transcorneal iontophoresis for delivery of ciprofloxacin hydrochloride. Curr. Eye Res. 2008, 33, 661–667. [Google Scholar] [CrossRef]
 - Jiang, J.; Gill, H.S.; Ghate, D.; McCarey, B.E.; Patel, S.R.; Edelhauser, H.F.; Prausnitz, M.R. Coated Microneedles for Drug Delivery to the Eye. Investig. Ophthalmol. Vis. Sci. 2007, 48, 4038–4043. [Google Scholar] [CrossRef]
 - Jiang, J.; Moore, J.S.; Edelhauser, H.F.; Prausnitz, M.R. Intrascleral drug delivery to the eye using hollow microneedles. Pharm. Res. 2009, 26, 395–403. [Google Scholar] [CrossRef]
 - Chen, H.; Jin, Y.; Sun, L.; Li, X.; Nan, K.; Liu, H.; Zheng, Q.; Wang, B. Recent Developments in Ophthalmic Drug Delivery Systems for Therapy of Both Anterior and Posterior Segment Diseases. Colloid Interface Sci. Commun. 2018, 24, 54–61. [Google Scholar] [CrossRef]
 - Williams, A.C.; Barry, B.W. Penetration enhancers. Adv. Drug Deliv. Rev. 2012, 64, 128–137. [Google Scholar] [CrossRef]
 - Lane, M.E. Skin penetration enhancers. Int. J. Pharm. 2013, 447, 12–21. [Google Scholar] [CrossRef] [PubMed]
 - Junginger, H.E.; Verhoef, J.C. Macromolecules as safe penetration enhancers for hydrophilic drugs-a fiction? Pharm. Sci. Technol. Today 1998, 1, 370–376. [Google Scholar] [CrossRef]
 - Sultana, Y.; Jain, R.; Aqil, M.; Ali, A. Review of ocular drug delivery. Curr. Drug Deliv. 2006, 3, 207–217. [Google Scholar] [CrossRef] [PubMed]
 - Morrison, P.W.J.; Khutoryanskiy, V.V. Enhancement in corneal permeability of riboflavin using calcium sequestering compounds. Int. J. Pharm. 2014, 472, 56–64. [Google Scholar] [CrossRef] [PubMed]
 - Chung, S.H.; Lee, S.K.; Cristol, S.M.; Lee, E.S.; Lee, D.W.; Seo, K.Y.; Kim, E.K. Impact of short-term exposure of commercial eyedrops preserved with benzalkonium chloride on precorneal mucin. Mol. Vis. 2006, 12, 415–421. [Google Scholar] [PubMed]
 - Burgalassi, S.; Chetoni, P.; Monti, D.; Saettone, M.F. Cytotoxicity of potential ocular permeation enhancers evaluated on rabbit and human corneal epithelial cell lines. Toxicol. Lett. 2001, 122, 1–8. [Google Scholar] [CrossRef]
 - Liu, R.; Liu, Z.; Zhang, C.; Zhang, B. Gelucire44/14 as a novel absorption enhancer for drugs with different hydrophilicities: In vitro and in vivo improvement on transcorneal permeation. J. Pharm. Sci. 2011, 100, 3186–3195. [Google Scholar] [CrossRef]
 - Loch, C.; Zakelj, S.; Kristl, A.; Nagel, S.; Guthoff, R.; Weitschies, W.; Seidlitz, A. Determination of permeability coefficients of ophthalmic drugs through different layers of porcine, rabbit and bovine eyes. Eur. J. Pharm. Sci. 2012, 47, 131–138. [Google Scholar] [CrossRef]
 - Bowling, B. Kanski’s Clinical Ophthalmology: A Systematic Approach, 8th ed.; Saunders Ltd.: Philadelphia, PA, USA, 2015; p. 928. ISBN 978-0-7020-5572-0. [Google Scholar]
 - Järvinen, T.; Järvinen, K. Prodrugs for improved ocular drug delivery. Adv. Drug Deliv. Rev. 1996, 19, 203–224. [Google Scholar] [CrossRef]
 - Geerling, G.; Brewitt, H. Surgery for the Dry Eye: Scientific Evidence and Guidelines for the Clinical Management of Dry Eye Associated Ocular Surface Disease, 1st ed.; Karger: Basel, Switzerland, 2008; p. 325. ISBN 978-3-8055-8376-3. [Google Scholar]
 - Hodges, R.R.; Dartt, D.A. Conjunctival goblet cells. In Encyclopedia of the Eye, 1st ed.; Dartt, D.A., Besharse, J.C., Dana, R., Eds.; Academic Press: Oxford, UK, 2010; pp. 369–376. ISBN 978-0-12-374203-2. [Google Scholar]
 - Wang, L.; Li, T.; Lu, L. UV-induced corneal epithelial cell death by activation of potassium channels. Investig. Ophthalmol. Vis. Sci. 2003, 44, 5095–5101. [Google Scholar] [CrossRef][Green Version]
 - Dua, H.S.; Faraj, L.A.; Said, D.G.; Gray, T.; Lowe, J. Human corneal anatomy redefined: A novel pre-Descemet’s layer (Dua’s layer). Ophthalmology 2013, 120, 1778–1785. [Google Scholar] [CrossRef] [PubMed]
 - Smith, G.T.; Dart, J.K.G. Cornea. In Moorfields Manual of Ophthalmology, 1st ed.; Jackson, T.L., Ed.; Mosby: Edinburgh, UK, 2008; pp. 144–221. ISBN 9781416025726. [Google Scholar]
 - Schlote, T.; Rohrbach, J.; Grueb, M.; Mielke, J. Pocket Atlas of Ophthalmology, 1st ed.; Thieme: Wemding, Germany, 2006; pp. 2–8. ISBN 3-13-139821-3. [Google Scholar]
 - Washington, N.; Washington, C.; Wilson, C.G. Physiological Pharmaceutics: Barriers to Drug Absorption, 2nd ed.; Taylor and Francis: New York, NY, USA, 2001; pp. 249–270. ISBN 9780748406104. [Google Scholar]
 - Shaikh, R.; Raj Singh, T.R.; Garland, M.J.; Woolfson, A.D.; Donnelly, R.F. Mucoadhesive drug delivery systems. J. Pharm. Bioallied Sci. 2011, 3, 89–100. [Google Scholar] [CrossRef] [PubMed]
 - Tsai, J.C.; Denniston, A.K.O.; Murray, P.I.; Huang, J.J.; Aldad, T.S. Oxford American Handbook of Ophthalmology, 1st ed.; Oxford University Press Inc.: New York, NY, USA, 2011; p. 768. ISBN 978-0-19-539344-6. [Google Scholar]
 - Goel, M.; Picciani, R.G.; Lee, R.K.; Bhattacharya, S.K. Aqueous humor dynamics: A review. Open Ophthalmol. J. 2010, 4, 52–59. [Google Scholar] [CrossRef] [PubMed]
 - Lang, G.K. Ophthalmology: A Short Textbook, 1st ed.; Thieme: Wemding, Germany, 2000; p. 586. ISBN 0-86577-936-8. [Google Scholar]
 - Caretti, L.; Buratto, L. Glaucoma Surgery: Treatment and Techniques, 1st ed.; Springer International Publishing: Cham, Switzerland, 2017; p. 133. ISBN 978-3-319-64854-5. [Google Scholar]
 - Sundaram, V.; Barsam, A.; Barker, L.; Khaw, P.T. Training in Ophthalmology, 2nd ed.; Oxford University Press: Gosport, UK, 2016; p. 568. ISBN 978-0-19-967251-6. [Google Scholar]
 - American Academy of Ophthalmology. Available online: https://www.aao.org/disease-review/anatomy-of-angle (accessed on 10 January 2019).
 - Albert, D.M.; Miller, J.W.; Azar, D.T.; Blodi, B.A. Principles and Practice of Ophthalmology, 3rd ed.; Saunders: Philadelphia, PA, USA, 2008; Volume 3, p. 5502. ISBN 978-1-4160-0016-7. [Google Scholar]
 - Andley, U.P. Crystallins in the eye: Function and pathology. Prog. Retin. Eye Res. 2007, 26, 78–98. [Google Scholar] [CrossRef] [PubMed]
 - Petrash, J.M. Aging and age-related diseases of the ocular lens and vitreous body. Investig. Ophthalmol. Vis. Sci. 2013, 54, ORSF54–ORSF59. [Google Scholar] [CrossRef]
 - Murphy, W.; Black, J.; Hastings, G. Handbook of Biomaterial Properties, 2nd ed.; Springer: New York, NY, USA, 2016; p. 676. ISBN 978-1-4939-3303-7. [Google Scholar]
 - Sebag, J. Vitreous: In Health and Disease, 1st ed.; Springer: New York, NY, USA, 2014; p. 925. ISBN 978-1-4939-1085-4. [Google Scholar]
 - Straatsma, B.R.; Landers, M.B.; Kreiger, A.E. The ora serrata in the adult human eye. Arch. Ophthalmol. 1968, 80, 3–20. [Google Scholar] [CrossRef] [PubMed]
 - Nag, T.C.; Kumari, C. Electron microscopy of the human choroid. In Choroidal Disorders, 1st ed.; Chhablani, J., Ruiz-Medrano, J., Eds.; Academic Press: Cambridge, MA, USA, 2017; pp. 7–20. ISBN 978-0-12-805313-3. [Google Scholar]
 - Schachat, A.P.; Wilkinson, C.P.; Hinton, D.R.; Sadda, S.V.R.; Wiedemann, P. Ryan’s Retina, 6th ed.; Elsevier Health Sciences: Amsterdam, The Netherlands, 2017; Volume 1, p. 2976. ISBN 978-0-323-40197-5. [Google Scholar]
 - Agarwal, A. Gass’ Atlas of Macular Diseases, 5th ed.; Saunders: Philadelphia, PA, USA, 2012; Volume 1, p. 1378. ISBN 978-1-4377-1580-4. [Google Scholar]
 - Kefalov, V.J. Phototransduction: Phototransduction in cones. In Encyclopedia of the Eye, 1st ed.; Dartt, D.A., Besharse, J.C., Dana, R., Eds.; Academic Press: Oxford, UK, 2010; pp. 389–396. ISBN 978-0-12-374203-2. [Google Scholar]
 - Denniston, A.K.O.; Murray, P.I. Oxford Handbook of Ophthalmology, 4th ed.; Oxford University Press: Oxford, Oxfordshire, UK, 2018; p. 1204. ISBN 978–0–19–881675–1. [Google Scholar]
 - Yanoff, M.; Duker, J.S. Ophthalmology, 5th ed.; Elsevier: Amsterdam, The Netherlands, 2018; p. 1440. ISBN 9780323528191. [Google Scholar]
 - Petroutsos, G.; Guimaraes, R.; Giraud, J.P.; Pouliquen, Y. Corticosteroids and corneal epithelial wound healing. Br. J. Ophthalmol. 1982, 66, 705–708. [Google Scholar] [CrossRef] [PubMed]
 - Dworkin, R.H.; Johnson, R.W.; Breuer, J.; Gnann, J.W.; Levin, M.J.; Backonja, M.; Betts, R.F.; Gershon, A.A.; Haanpaa, M.L.; McKendrick, M.W.; et al. Recommendations for the management of herpes zoster. Clin. Infect. Dis. Off. Publ. Infect. Dis. Soc. Am. 2007, 44 (Suppl. 1), S1–S26. [Google Scholar] [CrossRef] [PubMed]
 - World Health Organization. Available online: http://origin.who.int/blindness/causes/priority/en/index1.html (accessed on 18 December 2018).
 - Chandra, P.; Hegde, K.R.; Varma, S.D. Possibility of topical antioxidant treatment of cataracts: Corneal penetration of pyruvate in humans. Ophthalmologica 2009, 223, 136–138. [Google Scholar] [CrossRef] [PubMed]
 - Zhao, L.; Chen, X.-J.; Zhu, J.; Xi, Y.-B.; Yang, X.; Hu, L.-D.; Ouyang, H.; Patel, S.H.; Jin, X.; Lin, D.; et al. Lanosterol reverses protein aggregation in cataracts. Nature 2015, 523, 607–611. [Google Scholar] [CrossRef] [PubMed]
 - Quigley, H.A. Use of animal models and techniques in glaucoma research: Introduction. In Glaucoma: Methods and Protocols, 1st ed.; Jakobs, T.C., Ed.; Humana Press: New York, NY, USA, 2018; pp. 1–10. ISBN 978-1-4939-7407-8. [Google Scholar]
 - Tham, Y.-C.; Li, X.; Wong, T.Y.; Quigley, H.A.; Aung, T.; Cheng, C.-Y. Global prevalence of glaucoma and projections of glaucoma burden through 2040: A systematic review and meta-analysis. Ophthalmology 2014, 121, 2081–2090. [Google Scholar] [CrossRef] [PubMed]
 - Jackson, T.L.; Egan, C.; Bird, A.C. Medical retina. In Moorfields Manual of Ophthalmology, 1st ed.; Jackson, T.L., Ed.; Mosby: Edinburgh, UK, 2008; pp. 412–518. ISBN 9781416025726. [Google Scholar]
 - Joseph, M.; Trinh, H.M.; Cholkar, K.; Pal, D.; Mitra, A.K. Recent perspectives on the delivery of biologics to back of the eye. Expert Opin. Drug Deliv. 2017, 14, 631–645. [Google Scholar] [CrossRef] [PubMed]
 - Burgalassi, S.; Monti, D.; Nicosia, N.; Tampucci, S.; Terreni, E.; Vento, A.; Chetoni, P. Freeze-dried matrices for ocular administration of bevacizumab: A comparison between subconjunctival and intravitreal administration in rabbits. Drug Deliv. Transl. Res. 2018, 8, 461–472. [Google Scholar] [CrossRef] [PubMed]
 - Davis, B.M.; Normando, E.M.; Guo, L.; Turner, L.A.; Nizari, S.; O’Shea, P.; Moss, S.E.; Somavarapu, S.; Cordeiro, M.F. Topical delivery of Avastin to the posterior segment of the eye in vivo using annexin A5-associated liposomes. Small 2014, 10, 1575–1584. [Google Scholar] [CrossRef]
 - Nayak, K.; Misra, M. A review on recent drug delivery systems for posterior segment of eye. Biomed. Pharmacother. 2018, 107, 1564–1582. [Google Scholar] [CrossRef] [PubMed]
 - Inokuchi, Y.; Hironaka, K.; Fujisawa, T.; Tozuka, Y.; Tsuruma, K.; Shimazawa, M.; Takeuchi, H.; Hara, H. Physicochemical Properties Affecting Retinal Drug/Coumarin-6 Delivery from Nanocarrier Systems via Eyedrop Administration. Investig. Ophthalmol. Vis. Sci. 2010, 51, 3162–3170. [Google Scholar] [CrossRef]
 - Duh, E.J.; Sun, J.K.; Stitt, A.W. Diabetic retinopathy: Current understanding, mechanisms, and treatment strategies. JCI Insight 2017, 2, 1–13. [Google Scholar] [CrossRef]
 - Prausnitz, M.R.; Noonan, J.S. Permeability of cornea, sclera, and conjunctiva: A literature analysis for drug delivery to the eye. J. Pharm. Sci. 1998, 87, 1479–1488. [Google Scholar] [CrossRef]
 - Edward, A.; Prausnitz, M.R. Predicted permeability of the cornea to topical drugs. Pharm. Res. 2001, 18, 1497–1508. [Google Scholar] [CrossRef]
 - Agarwal, P.; Rupenthal, I.D. In vitro and ex vivo corneal penetration and absorption models. Drug Deliv. Transl. Res. 2016, 6, 634–647. [Google Scholar] [CrossRef]
 - Kaluzhny, Y.; Kinuthia, M.W.; Truong, T.; Lapointe, A.M.; Hayden, P.; Klausner, M. New Human Organotypic Corneal Tissue Model for Ophthalmic Drug Delivery Studies. Investig. Ophthalmol. Vis. Sci. 2018, 59, 2880–2898. [Google Scholar] [CrossRef] [PubMed]
 - Morrison, P.W.; Connon, C.J.; Khutoryanskiy, V.V. Cyclodextrin-mediated enhancement of riboflavin solubility and corneal permeability. Mol. Pharm. 2013, 10, 756–762. [Google Scholar] [CrossRef] [PubMed]
 - Stefánsson, E.; Loftsson, T. Microspheres and nanotechnology for drug delivery. In Retinal Pharmacotherapeutics, 1st ed.; Nguyen, Q.D., Rodrigues, E.B., Farah, M.E., Mieler, W.F., Eds.; W.B. Saunders: Edinburgh, UK, 2010; pp. 86–90. ISBN 978-3318055641. [Google Scholar]
 - Cal, K.; Centkowska, K. Use of cyclodextrins in topical formulations: Practical aspects. Eur. J. Pharm. Biopharm. 2008, 68, 467–478. [Google Scholar] [CrossRef] [PubMed]
 - Loftsson, T.; Stefansson, E. Cyclodextrins in eye drop formulations: Enhanced topical delivery of corticosteroids to the eye. Acta Ophthalmol. Scand. 2002, 80, 144–150. [Google Scholar] [CrossRef]
 - Jarho, P.; Urtti, A.; Pate, D.W.; Suhonen, P.; Järvinen, T. Increase in aqueous solubility, stability and in vitro corneal permeability of anandamide by hydroxypropyl-β-cyclodextrin. Int. J. Pharm. 1996, 137, 209–216. [Google Scholar] [CrossRef]
 - Chordiya, M.A.; Senthilkumaran, K. Cyclodextrin in drug delivery: A review. Res. Rev. Pharm. Pharm. Sci. 2012, 1, 19–29. [Google Scholar]
 - Stella, V.J.; Rajewski, R.A. Cyclodextrins: Their future in drug formulation and delivery. Pharm. Res. 1997, 14, 556–567. [Google Scholar] [CrossRef]
 - Loftsson, T.; Brewster, M.E.; Másson, M. Role of cyclodextrins in improving oral drug delivery. Am. J. Drug Deliv. 2004, 2, 261–275. [Google Scholar] [CrossRef]
 - Loftssona, T.; Jarvinen, T. Cyclodextrins in ophthalmic drug delivery. Adv. Drug Deliv. Rev. 1999, 36, 59–79. [Google Scholar] [CrossRef]
 - Skowron, S. Cyclodextrin. Available online: https://commons.wikimedia.org/wiki/File:Cyclodextrin.svg (accessed on 9 May 2019).
 - Lisch, W.; Seitz, B. Corneal Dystrophies, 1st ed.; Karger: Basel, Switzerland, 2011; Volume 48, p. 159. ISBN 978-3-8055-9720-3. [Google Scholar]
 - Pescina, S.; Carra, F.; Padula, C.; Santi, P.; Nicoli, S. Effect of pH and penetration enhancers on cysteamine stability and trans-corneal transport. Eur. J. Pharm. Biopharm. 2016, 107, 171–179. [Google Scholar] [CrossRef]
 - Aktas, Y.; Unlu, N.; Orhan, M.; Irkec, M.; Hincal, A.A. Influence of hydroxypropyl beta-cyclodextrin on the corneal permeation of pilocarpine. Drug Dev. Ind. Pharm. 2003, 29, 223–230. [Google Scholar] [CrossRef] [PubMed]
 - Loftsson, T.; Stefansson, E. Cyclodextrins and topical drug delivery to the anterior and posterior segments of the eye. Int. J. Pharm. 2017, 531, 413–423. [Google Scholar] [CrossRef] [PubMed]
 - Abdulrazik, M.; Beher-Cohen, F.; Benita, S. Drug Delivery Systems for Enhanced Ocular Absorption. In Enhancement in Drug Delivery, 1st ed.; Touitou, E., Barry, B.W., Eds.; CRC Press: Boca Raton, FL, USA, 2006; pp. 489–526. ISBN 978-0-8493-3203-6. [Google Scholar]
 - Grass, G.M.; Wood, R.W.; Robinson, J.R. Effects of calcium chelating agents on corneal permeability. Investig. Ophthalmol. Vis. Sci. 1985, 26, 110–113. [Google Scholar]
 - Deli, M.A. Potential use of tight junction modulators to reversibly open membranous barriers and improve drug delivery. Biochim. Biophys. Acta 2009, 1788, 892–910. [Google Scholar] [CrossRef] [PubMed]
 - Kikuchi, T.; Suzuki, M.; Kusai, A.; Iseki, K.; Sasaki, H. Synergistic effect of EDTA and boric acid on corneal penetration of CS-088. Int. J. Pharm. 2005, 290, 83–89. [Google Scholar] [CrossRef] [PubMed]
 - Rodriguez, I.; Vazquez, J.A.; Pastrana, L.; Khutoryanskiy, V.V. Enhancement and inhibition effects on the corneal permeability of timolol maleate: Polymers, cyclodextrins and chelating agents. Int. J. Pharm. 2017, 529, 168–177. [Google Scholar] [CrossRef] [PubMed]
 - Andrés-Guerrero, V.; Vicario-de-la-Torre, M.; Molina-Martínez, I.T.; Benítez-del-Castillo, J.M.; García-Feijoo, J.; Herrero-Vanrell, R. Comparison of the In Vitro Tolerance and In Vivo Efficacy of Traditional Timolol Maleate Eye Drops versus New Formulations with Bioadhesive Polymers. Investig. Ophthalmol. Vis. Sci. 2011, 52, 3548–3556. [Google Scholar] [CrossRef]
 - Pedersen, C.J. Cyclic polyethers and their complexes with metal salts. J. Am. Chem. Soc. 1967, 89, 7017–7036. [Google Scholar] [CrossRef]
 - Pedersen, C.J. Macrocyclic Polyethers: Dibenzo-18-crown-6 Polyether and Dicyclohexyl-18-crown-6 Polyether. In Organic Synthesis; John Wiley & Sons: Hoboken, NJ, USA, 2003; Volume 52, ISBN 9780471264224. [Google Scholar]
 - Ouchi, M.; Inoue, Y.; Kanzaki, T.; Hakushi, T. Molecular design of crown ethers. 1. Effects of methylene chain length: 15- to 17-crown-5 and 18- to 22-crown-6. J. Org. Chem. 1984, 49, 1408–1412. [Google Scholar] [CrossRef]
 - Steed, J. First- and second-sphere coordination chemistry of alkali metal crown ether complexes. Coord. Chem. Rev. 2001, 215, 171–221. [Google Scholar] [CrossRef]
 - Boojar, M.M.; Goodarzi, F. Cytotoxicity and the levels of oxidative stress parameters in WI38 cells following 2 macrocyclic crown ethers treatment. Clin. Chim. Acta 2006, 364, 321–327. [Google Scholar] [CrossRef] [PubMed]
 - Capel-Cuevas, S.; de Orbe-Payá, I.; Santoyo-González, F.; Capitan-Vallvey, L.F. Double-armed crown ethers for calcium optical sensors. Talanta 2009, 78, 1484–1488. [Google Scholar] [CrossRef] [PubMed]
 - Song, M.Z.; Zhu, L.Y.; Gao, X.K.; Dou, J.M.; Sun, D.Z. Microcalorimetric study on host-guest complexation of naphtho-15-crown-5 with four ions of alkaline earth metal. J. Zhejiang Univ. Sci. B 2005, 6, 69–73. [Google Scholar] [CrossRef] [PubMed]
 - Marjanovic, M.; Kralj, M.; Supek, F.; Frkanec, L.; Piantanida, I.; Smuc, T.; Tusek-Bozic, L. Antitumor potential of crown ethers: Structure-activity relationships, cell cycle disturbances, and cell death studies of a series of ionophores. J. Med. Chem. 2007, 50, 1007–1018. [Google Scholar] [CrossRef] [PubMed]
 - Kralj, M.; Tušek-Božić, L.; Frkanec, L. Biomedical potentials of crown ethers: Prospective antitumor agents. ChemMedChem 2008, 3, 1478–1492. [Google Scholar] [CrossRef] [PubMed]
 - Muzzalupo, R.; Nicoletta, F.P.; Trombino, S.; Cassano, R.; Iemma, F.; Picci, N. A new crown ether as vesicular carrier for 5-fluoruracil: Synthesis, characterization and drug delivery evaluation. Colloids Surf. B Biointerfaces 2007, 58, 197–202. [Google Scholar] [CrossRef] [PubMed]
 - Darwish, I.; Uchegbu, I. The evaluation of crown ether based niosomes as cation containing and cation sensitive drug delivery systems. Int. J. Pharm. 1997, 159, 207–213. [Google Scholar] [CrossRef]
 - Chehardoli, G.; Bahmani, A. The role of crown ethers in drug delivery. Supramol. Chem. 2019, 31, 221–238. [Google Scholar] [CrossRef]
 - Morrison, P.W.J.; Porfiryeva, N.N.; Chahal, S.; Salakhov, I.A.; Lacourt, C.; Semina, I.I.; Moustafine, R.I.; Khutoryanskiy, V.V. Crown Ethers: Novel Permeability Enhancers for Ocular Drug Delivery? Mol. Pharm. 2017, 14, 3528–3538. [Google Scholar] [CrossRef]
 - Hartman. Surface-Active Compounds. BODE Science Centre. Available online: https://www.bode-science-center.com/center/glossary/surface-active-compounds.html (accessed on 21 September 2018).
 - Sekhon, B. Surfactants: Pharmaceutical and Medicinal Aspects. J. Pharm. Technol. Res. Manag. 2013, 1, 11–36. [Google Scholar] [CrossRef]
 - Jiao, J. Polyoxyethylated nonionic surfactants and their application in topical ocular drug delivery. Adv. Drug Deliv. Rev. 2008, 60, 1663–1673. [Google Scholar] [CrossRef] [PubMed]
 - Kumar, G.P.; Rajeshwarrao, P. Nonionic surfactant vesicular systems for effective drug delivery—An overview. Acta Pharm. Sin. B 2011, 1, 208–219. [Google Scholar] [CrossRef]
 - Marsh, R.J.; Maurice, D.M. The influence of non-ionic detergents and other surfactants on human corneal permeability. Exp. Eye Res. 1971, 11, 43–48. [Google Scholar] [CrossRef]
 - Saettone, M.F.; Chetoni, P.; Cerbai, R.; Mazzanti, G.; Braghiroli, L. Evaluation of ocular permeation enhancers: In vitro effects on corneal transport of four β-blockers, and in vitro/in vivo toxic activity. Int. J. Pharm. 1996, 142, 103–113. [Google Scholar] [CrossRef]
 - Ostacolo, C.; Caruso, C.; Tronino, D.; Troisi, S.; Laneri, S.; Pacente, L.; Del Prete, A.; Sacchi, A. Enhancement of corneal permeation of riboflavin-5’-phosphate through vitamin E TPGS: A promising approach in corneal trans-epithelial cross linking treatment. Int. J. Pharm. 2013, 440, 148–153. [Google Scholar] [CrossRef]
 - Li, X.; Pan, W.; Ju, C.; Liu, Z.; Pan, H.; Zhang, H.; Nie, S. Evaluation of Pharmasolve corneal permeability enhancement and its irritation on rabbit eyes. Drug Deliv. 2009, 16, 224–229. [Google Scholar] [CrossRef]
 - Montenegro, L.; Bucolo, C.; Puglisi, G. Enhancer effects on in vitro corneal permeation of timolol and acyclovir. Pharmazie 2003, 58, 497–501. [Google Scholar]
 - Kaur, I.P. Ocular Penetration Enhancers. In Enhancement in Drug Delivery, 1st ed.; Touitou, E., Barry, B.W., Eds.; CRC Press: Boca Raton, FL, USA, 2006; pp. 527–548. ISBN 978-0-8493-3203-6. [Google Scholar]
 - Sahoo, S.K.; Dilnawaz, F.; Krishnakumar, S. Nanotechnology in ocular drug delivery. Drug Discov. Today 2008, 13, 144–151. [Google Scholar] [CrossRef]
 - Shih, R.L.; Lee, V.H. Rate Limiting Barrier to the Penetration of Ocular Hypotensive Beta Blockers Across the Corneal Epithelium in the Pigmented Rabbit. J. Ocul. Pharmacol. 1990, 6, 329–336. [Google Scholar] [CrossRef]
 - Wilson, W.S.; Duncan, A.J.; Jay, J.L. Effect of benzalconium chloride on the stability of the precorneal film in rabbit and man. Br. J. Ophthalmol. 1975, 59, 667–669. [Google Scholar] [CrossRef]
 - Johannsdottir, S.; Jansook, P.; Stefánsson, E.; Myrdal Kristinsdottir, I.; Marta Asgrimsdottir, G.; Loftsson, T. Topical drug delivery to the posterior segment of the eye: The effect of benzalkonium chloride on topical dexamethasone penetration into the eye in vivo. J. Drug Deliv. Sci. Technol. 2018, 48, 125–127. [Google Scholar] [CrossRef]
 - Sasaki, H.; Yamamura, K.; Mukai, T.; Nishida, K.; Nakamura, J.; Nakashima, M.; Ichikawa, M. Modification of ocular permeability of peptide drugs by absorption promoters. Biol. Pharm. Bull. 2000, 23, 1524–1527. [Google Scholar] [CrossRef] [PubMed][Green Version]
 - Van Der Bijl, P.; Engelbrecht, A.H.; Van Eyk, A.D.; Meyer, D. Comparative permeability of human and rabbit corneas to cyclosporin and tritiated water. J. Ocul. Pharmacol. Ther. 2002, 18, 419–427. [Google Scholar] [CrossRef] [PubMed]
 - Liu, Z.; Li, J.; Nie, S.; Guo, H.; Pan, W. Effects of Transcutol P on the corneal permeability of drugs and evaluation of its ocular irritation of rabbit eyes. J. Pharm. Pharmacol. 2006, 58, 45–50. [Google Scholar] [CrossRef] [PubMed]
 - Liu, Z.; Zhang, X.; Li, J.; Liu, R.; Shu, L.; Jin, J. Effects of Labrasol on the corneal drug delivery of baicalin. Drug Deliv. 2009, 16, 399–404. [Google Scholar] [CrossRef] [PubMed]
 - Russell, D.W. The enzymes, regulation, and genetics of bile acid synthesis. Annu. Rev. Biochem. 2003, 72, 137–174. [Google Scholar] [CrossRef]
 - Chiang, J. Bile Acids: Bile acids: Regulation of synthesis. J. Lipid Res. 2009, 50, 1955–1966. [Google Scholar] [CrossRef]
 - Stojančević, M.; Pavlović, N.; Goločorbin-Kon, S.; Mikov, M. Application of bile acids in drug formulation and delivery. Front. Life Sci. 2013, 7, 112–122. [Google Scholar] [CrossRef]
 - Rajput, T.; Chauhan, M. Bilosome: A bile salt based novel carrier system gaining interest in pharmaceutical research. J. Drug Deliv. Ther. 2017, 7, 4–16. [Google Scholar] [CrossRef]
 - Sasaki, H.; Igarashi, Y.; Nagano, T.; Nishida, K.; Nakamura, J. Different Effects of Absorption Promoters on Corneal and Conjunctival Penetration of Ophthalmic Beta-Blockers. Pharm. Res. 1995, 12, 1146–1150. [Google Scholar] [CrossRef]
 - Morimoto, K.; Nakai, T.; Morisaka, K. Evaluation of permeability enhancement of hydrophilic compounds and macromolecular compounds by bile salts through rabbit corneas in-vitro. J. Pharm. Pharmacol. 1987, 39, 124–126. [Google Scholar] [CrossRef] [PubMed]
 - Dai, Y.; Zhou, R.; Liu, L.; Lu, Y.; Qi, J.; Wu, W. Liposomes containing bile salts as novel ocular delivery systems for tacrolimus (FK506): In vitro characterization and improved corneal permeation. Int. J. Nanomed. 2013, 8, 1921–1933. [Google Scholar] [CrossRef]
 - Mahaling, B.; Katti, D.S. Understanding the influence of surface properties of nanoparticles and penetration enhancers for improving bioavailability in eye tissues in vivo. Int. J. Pharm. 2016, 501, 1–9. [Google Scholar] [CrossRef] [PubMed]
 - González de Llano, D.; Polo Sánchez, C. Peptides. In Encyclopedia of Food Sciences and Nutrition, 2nd ed.; Caballero, B., Ed.; Academic Press: Oxford, UK, 2003; pp. 4468–4473. ISBN 978-0-12-227055-0. [Google Scholar]
 - Dupont, E.; Prochiantz, A.; Joliot, A. Penetratin story: An overview. Methods Mol. Biol. 2011, 683, 21–29. [Google Scholar] [CrossRef] [PubMed]
 - Liu, C.; Tai, L.; Zhang, W.; Wei, G.; Pan, W.; Lu, W. Penetratin, a potentially powerful absorption enhancer for noninvasive intraocular drug delivery. Mol. Pharm. 2014, 11, 1218–1227. [Google Scholar] [CrossRef]
 - Pescina, S.; Sala, M.; Padula, C.; Scala, M.C.; Spensiero, A.; Belletti, S.; Gatti, R.; Novellino, E.; Campiglia, P.; Santi, P.; et al. Design and Synthesis of New Cell Penetrating Peptides: Diffusion and Distribution Inside the Cornea. Mol. Pharm. 2016, 13, 3876–3883. [Google Scholar] [CrossRef]
 - De Cogan, F.; Hill, L.J.; Lynch, A.; Morgan-Warren, P.J.; Lechner, J.; Berwick, M.R.; Peacock, A.F.A.; Chen, M.; Scott, R.A.H.; Xu, H.; et al. Topical Delivery of Anti-VEGF Drugs to the Ocular Posterior Segment Using Cell-Penetrating Peptides. Investig. Ophthalmol. Vis. Sci. 2017, 58, 2578–2590. [Google Scholar] [CrossRef]
 - Nemoto, E.; Takahashi, H.; Kobayashi, D.; Ueda, H.; Morimoto, Y. Effects of poly-L-arginine on the permeation of hydrophilic compounds through surface ocular tissues. Biol. Pharm. Bull. 2006, 29, 155–160. [Google Scholar] [CrossRef]
 - Pescina, S.; Ostacolo, C.; Gomez-Monterrey, I.M.; Sala, M.; Bertamino, A.; Sonvico, F.; Padula, C.; Santi, P.; Bianchera, A.; Nicoli, S. Cell penetrating peptides in ocular drug delivery: State of the art. J. Control. Release 2018, 284, 84–102. [Google Scholar] [CrossRef]
 - Kato, A.; Iwata, S. In vitro study on corneal permeability to bunazosin. J. Pharm.-Dyn. 1988, 11, 115–120. [Google Scholar] [CrossRef]
 - Kato, A.; Iwata, S. Studies on improved corneal permeability to bunazosin. J. Pharm.-Dyn. 1988, 11, 330–334. [Google Scholar] [CrossRef]
 - Antunes, A.; De Geest, B.; Vervaet, C.; Remon, J. Gelucire 44/14 based immediate release formulations for poorly water-soluble drugs. Drug Dev. Ind. Pharm. 2012, 39, 791–798. [Google Scholar] [CrossRef] [PubMed]
 - Tang-Liu, D.D.; Richman, J.B.; Weinkam, R.J.; Takruri, H. Effects of four penetration enhancers on corneal permeability of drugs in vitro. J. Pharm. Sci. 1994, 83, 85–90. [Google Scholar] [CrossRef] [PubMed]
 - Afouna, M.; Hussein, A.; Ahmed, O. Influence of the Interplay between Azone™ as Permeation Enhancer a and Carbopol-974® as a Mucoadhesive upon the in vitro Transcorneal Release and the in vivo Antiglaucoma Effect of S-Timolol Maleate Ophthalmic Gel Formulations. Int. J. PharmTech Res. 2014, 6, 298–315. [Google Scholar]
 - Afouna, M.I. Maximization of the In Vitro transcorneal release and the In Vivo IOP-lowering effects of Latanoprost Ophthalmic gel formulations using Azone as a penetration enhancer and Carbopol-974 as a mucoadhesive. J. Excip. Food Chem. 2016, 7, 20–35. [Google Scholar]
 - Yang, H.; Xun, Y.; Li, Z.; Hang, T.; Zhang, X.; Cui, H. Influence of borneol on in vitro corneal permeability and on in vivo and in vitro corneal toxicity. J. Int. Med. Res. 2009, 37, 791–802. [Google Scholar] [CrossRef] [PubMed]
 - Afouna, M.I.; Khedr, A.; Abdel-Naim, A.B.; Al-Marzoqi, A. Influence of various concentrations of terpene-4-ol enhancer and carbopol-934 mucoadhesive upon the in vitro ocular transport and the in vivo intraocular pressure lowering effects of dorzolamide ophthalmic formulations using albino rabbits. J. Pharm. Sci. 2010, 99, 119–127. [Google Scholar] [CrossRef] [PubMed]
 - Agarwal, P.; Scherer, D.; Gunther, B.; Rupenthal, I.D. Semifluorinated alkane based systems for enhanced corneal penetration of poorly soluble drugs. Int. J. Pharm. 2018, 538, 119–129. [Google Scholar] [CrossRef] [PubMed]
 - Epstein, S.P.; Ahdoot, M.; Marcus, E.; Asbell, P.A. Comparative toxicity of preservatives on immortalized corneal and conjunctival epithelial cells. J. Ocul. Pharmacol. Ther. 2009, 25, 113–119. [Google Scholar] [CrossRef] [PubMed]
 - European Medicines Agency. Available online: https://www.ema.europa.eu/en/documents/report/benzalkonium-chloride-used-excipient-report-published-support-questions-answers-benzalkonium_en.pdf (accessed on 27 June 2019).
 - Green, K.; Tonjum, A.M. The effect of benzalkonium chloride on the electropotential of the rabbit cornea. Acta Ophthalmol. 1975, 53, 348–357. [Google Scholar] [CrossRef]
 - Chen, Y.; Quan, P.; Liu, X.; Wang, M.; Fang, L. Novel chemical permeation enhancers for transdermal drug delivery. Asian J. Pharm. Sci. 2014, 9, 51–64. [Google Scholar] [CrossRef]
 - Jampilek, J. Azone® and Its Analogues as Penetration Enhancers. In Percutaneous Penetration Enhancers Chemical Methods in Penetration Enhancement, 1st ed.; Dragicevic, N., Maibach, H.I., Eds.; Springer: Berlin/Heidelberg, Germany, 2015; pp. 69–105. ISBN 978-3-662-47038-1. [Google Scholar]
 




















| Solution | Steady-State Flux (µmol∙min−1) | Papp (cm∙s−1 × 10−3) | 
|---|---|---|
| PBS | 0.0478 | 1.945 | 
| 12C4 (1 mg∙mL−1) | 0.1208 | 6.138 | 
| 15C5 (1 mg∙mL−1) | 0.1074 | 5.457 | 
| 18C6 (1 mg∙mL−1) | 0.0753 | 3.826 | 
| 12C4 (30 mg∙mL−1) | 0.3410 | 17.326 | 
| 15C5 (30 mg∙mL−1) | 0.1961 | 9.964 | 
| 18C6 (30 mg∙mL−1) | 0.1811 | 9.202 | 
| Class of Enhancers | Examples of Compounds | Commercial Applications in Drug Delivery | Possible Mechanism of Penetration Enhancement | 
|---|---|---|---|
| Cyclodextrins | α-, β-, γ-cyclodextrins | Some cyclodextrins are already used in commercial ocular formulations, e.g., Vitaseptol eye drops (Novartis). They are often used as enhancers of drug solubility. | Extraction of cholesterol and lipids from ocular membranes [68]. | 
| Chelating agents | EDTA | Disodium-EDTA is commonly used in ocular formulations as a buffering agent [143]. | Extraction of Ca2+ from tight junctions [17]. | 
| Crown ethers | 12-crown-4, 15-crown-5, 18-crown-6  | None of these are currently used in commercial formulations for drug delivery. | Extraction of Ca2+ from tight junctions [100]. | 
| Surfactants | Benzalkonium chloride | Around 74% of ophthalmic preparations have benzalkonium chloride as a preservative [144]. | Morphological changes in the epithelium [145]. | 
| Bile acids and salts | Deoxycholate, glycocholate, taurodeoxycholate | None of these are currently used in commercial formulations for drug delivery. | Different mechanisms leading to modification of the integrity of the corneal epithelium [121]. | 
| Cell-penetrating peptides | TAT, penetratin, poly(arginine), and poly(serine) | None of these are currently used in commercial formulations for drug delivery. | Direct translocation and endocytosis [133]. | 
| Other amphiphilic compounds | Azone™ | Designed and widely researched mostly as a skin penetration enhancer. No FDA-approved products containing AzoneTM on the market yet. It is recorded in Chinese Pharmacopoeia and widely used in China [146,147]. | Changes in the structure and fluidity of biological membranes; facilitation of water influx leading to a more hydrated barrier [137]. | 
© 2019 by the authors. Licensee MDPI, Basel, Switzerland. This article is an open access article distributed under the terms and conditions of the Creative Commons Attribution (CC BY) license (http://creativecommons.org/licenses/by/4.0/).
Share and Cite
Moiseev, R.V.; Morrison, P.W.J.; Steele, F.; Khutoryanskiy, V.V. Penetration Enhancers in Ocular Drug Delivery. Pharmaceutics 2019, 11, 321. https://doi.org/10.3390/pharmaceutics11070321
Moiseev RV, Morrison PWJ, Steele F, Khutoryanskiy VV. Penetration Enhancers in Ocular Drug Delivery. Pharmaceutics. 2019; 11(7):321. https://doi.org/10.3390/pharmaceutics11070321
Chicago/Turabian StyleMoiseev, Roman V., Peter W. J. Morrison, Fraser Steele, and Vitaliy V. Khutoryanskiy. 2019. "Penetration Enhancers in Ocular Drug Delivery" Pharmaceutics 11, no. 7: 321. https://doi.org/10.3390/pharmaceutics11070321
APA StyleMoiseev, R. V., Morrison, P. W. J., Steele, F., & Khutoryanskiy, V. V. (2019). Penetration Enhancers in Ocular Drug Delivery. Pharmaceutics, 11(7), 321. https://doi.org/10.3390/pharmaceutics11070321
        
