Larval Competition between Aedes and Culex Mosquitoes Carries over to Higher Arboviral Infection during Their Adult Stage
Abstract
1. Introduction
2. Materials and Methods
2.1. Larval Competition Study
2.1.1. Mosquito Material
2.1.2. Larval Competition Experiments
2.1.3. Video Tracking of Behavioral Variables
2.1.4. Photometric Assays for Pupal Lipid, Glycogen, and Protein Content
2.1.5. Data Analysis
2.2. Infection Study
2.2.1. Feeding of Infectious Blood to Mosquitoes That Experienced Larval Competition
2.2.2. Quantification of Infection Rate
2.2.3. Statistical Analysis
3. Results
3.1. The Effect of Interspecific Treatments on 14 Variables
3.1.1. Mortality
3.1.2. Development Time
3.1.3. Larval Behavior
3.1.4. Pupal Size
3.1.5. Energy and Protein Storage
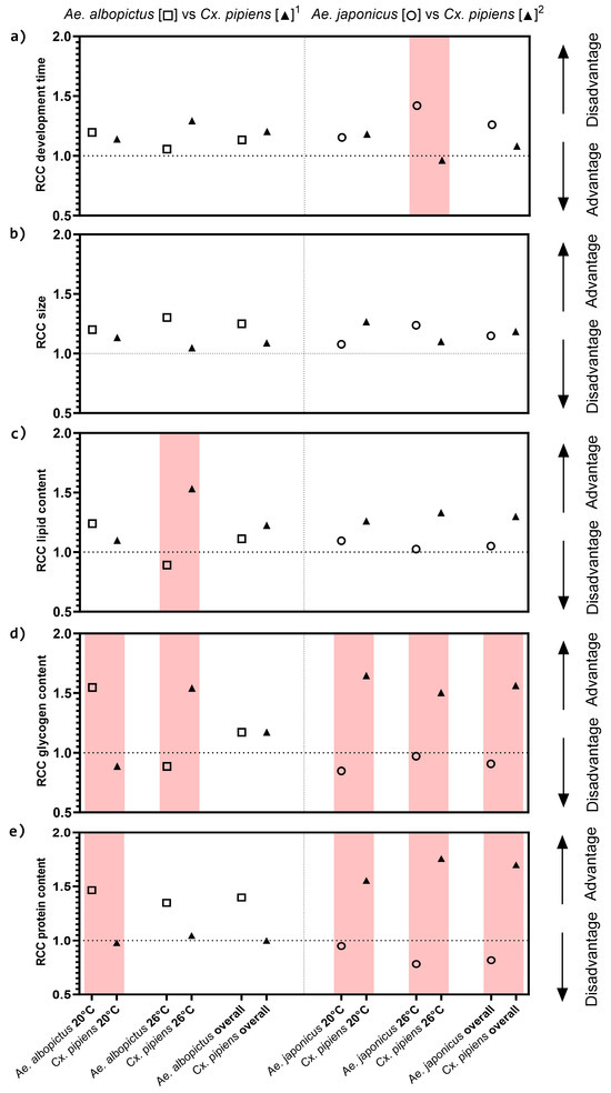
3.1.6. Relative Crowding Coefficient
3.1.7. Synopsis of Synecological Patterns
3.2. Infection Study
4. Discussion
4.1. Aedes albopictus vs. Culex pipiens s.s./Cx. torrentium
4.2. Aedes japonicus vs. Culex pipiens Bioform molestus
4.3. Effect of Interspecific Competition on Viral Infection
4.4. Large-Scale Implications
4.5. Limitations of the Study
5. Conclusions
Supplementary Materials
Author Contributions
Funding
Institutional Review Board Statement
Informed Consent Statement
Data Availability Statement
Acknowledgments
Conflicts of Interest
Abbreviations
References
- Perrin, A.; Glaizot, O.; Christe, P. Worldwide impacts of landscape anthropization on mosquito abundance and diversity: A meta-analysis. Glob. Chang. Biol. 2022, 28, 6857–6871. [Google Scholar] [CrossRef] [PubMed]
- Bartholomeeusen, K.; Daniel, M.; LaBeaud, D.A.; Gasque, P.; Peeling, R.W.; Stephenson, K.E.; Ng, L.F.P.; Arien, K.K. Chikungunya fever. Nat. Rev. Dis. Primers 2023, 9, 17. [Google Scholar] [CrossRef] [PubMed]
- ECDC. Autochthonous Vectorial Transmission of Dengue Virus in Mainland EU/EEA, 2010-Present. 2024. Available online: https://www.ecdc.europa.eu/en/all-topics-z/dengue/surveillance-and-disease-data/autochthonous-transmission-dengue-virus-eueea (accessed on 17 June 2024).
- Laverdeur, J.; Desmecht, D.; Hayette, M.P.; Darcis, G. Dengue and chikungunya: Future threats for Northern Europe? Front. Epidemiol. 2024, 4, 1342723. [Google Scholar] [CrossRef] [PubMed]
- ECDC. Autochthonous Transmission of Chikungunya Virus in Mainland EU/EEA, 2007–Present. 2024. Available online: https://www.ecdc.europa.eu/en/infectious-disease-topics/z-disease-list/chikungunya-virus-disease/surveillance-threats-and (accessed on 17 June 2024).
- ECDC. Historical Data by Year—West Nile Virus Seasonal Surveillance. 2024. Available online: https://www.ecdc.europa.eu/en/west-nile-fever/surveillance-and-disease-data/historical (accessed on 18 June 2024).
- Ryan, S.J.; Carlson, C.J.; Mordecai, E.A.; Johnson, L.R. Global expansion and redistribution of Aedes-borne virus transmission risk with climate change. PLoS Negl. Trop. Dis. 2019, 13, e0007213. [Google Scholar] [CrossRef] [PubMed]
- Deblauwe, I.; De Wolf, K.; De Witte, J.; Schneider, A.; Verle, I.; Vanslembrouck, A.; Smitz, N.; Demeulemeester, J.; Van Loo, T.; Dekoninck, W.; et al. From a long-distance threat to the invasion front: A review of the invasive Aedes mosquito species in Belgium between 2007 and 2020. Parasites Vectors 2022, 15, 206. [Google Scholar] [CrossRef] [PubMed]
- Eritja, R.; Ruiz-Arrondo, I.; Delacour-Estrella, S.; Schaffner, F.; Álvarez-Chachero, J.; Bengoa, M.; Puig, M.-Á.; Melero-Alcíbar, R.; Oltra, A.; Bartumeus, F. First detection of Aedes japonicus in Spain: An unexpected finding triggered by citizen science. Parasites Vectors 2019, 12, 53. [Google Scholar] [CrossRef] [PubMed]
- Sherpa, S.; Blum, M.G.B.; Capblancq, T.; Cumer, T.; Rioux, D.; Despres, L. Unravelling the invasion history of the Asian tiger mosquito in Europe. Mol. Ecol. 2019, 28, 2360–2377. [Google Scholar] [CrossRef] [PubMed]
- Kraemer, M.U.G.; Reiner, R.C.; Brady, O.J.; Messina, J.P.; Gilbert, M.; Pigott, D.M.; Yi, D.; Johnson, K.; Earl, L.; Marczak, L.B.; et al. Past and future spread of the arbovirus vectors Aedes aegypti and Aedes albopictus. Nat. Microbiol. 2019, 4, 854–863. [Google Scholar] [CrossRef] [PubMed]
- ECDC. Worsening Spread of Mosquito-Borne Disease Outbreaks in EU/EEA, According to Latest ECDC Figures; European Center for Disease Prevention and Control: Solna, Sweden, 2024. [Google Scholar]
- Soto, A.; De Coninck, L.; Devlies, A.S.; Van De Wiele, C.; Rosales Rosas, A.L.; Wang, L.; Matthijnssens, J.; Delang, L. Belgian Culex pipiens pipiens are competent vectors for West Nile virus while Culex modestus are competent vectors for Usutu virus. PLoS Negl. Trop. Dis. 2023, 17, e0011649. [Google Scholar] [CrossRef] [PubMed]
- Haba, Y.; McBride, L. Origin and status of Culex pipiens mosquito ecotypes. Curr. Biol. 2022, 32, R237–R246. [Google Scholar] [CrossRef]
- Versteirt, V.; Schaffner, F.; Garros, C.; Dekoninck, W.; Coosemans, M.; Van Bortel, W. Introduction and establishment of the exotic mosquito species Aedes japonicus japonicus (Diptera: Culicidae) in Belgium. J. Med. Entomol. 2009, 46, 1464–1467. [Google Scholar] [CrossRef] [PubMed]
- Carrieri, M.; Bacchi, M.; Bellini, R.; Maini, S. On the competition occuring between Aedes albopictus and Culex pipiens (Diptera: Culicidae) in Italy. Entomol. Soc. Am. 2003, 32, 8. [Google Scholar] [CrossRef]
- Müller, R.; Knautz, T.; Vollroth, S.; Berger, R.; Kress, A.; Reuss, F.; Groneberg, D.A.; Kuch, U. Larval superiority of Culex pipiens to Aedes albopictus in a replacement series experiment: Prospects for coexistence in Germany. Parasites Vectors 2018, 11, 80. [Google Scholar] [CrossRef] [PubMed]
- Seidel, B.; Montarsi, F.; Huemer, H.P.; Indra, A.; Capelli, G.; Allerberger, F.; Nowotny, N. First record of the Asian bush mosquito, Aedes japonicus japonicus, in Italy: Invasion from an established Austrian population. Parasites Vectors 2016, 9, 284. [Google Scholar] [CrossRef]
- Alto, B.W.; Lounibos, L.P.; Higgs, S.; Juliano, S.A. Larval Competition Differentially Affects Arbovirus Infection in Aedes Mosquitoes. Ecology 2005, 86, 3279–3288. [Google Scholar] [CrossRef] [PubMed]
- Alto, B.W.; Lounibos, L.P.; Mores, C.N.; Reiskind, M.H. Larval competition alters susceptibility of adult Aedes mosquitoes to dengue infection. Proc. Biol. Sci. 2008, 275, 463–471. [Google Scholar] [CrossRef] [PubMed]
- Bevins, S.N. Invasive mosquitoes, larval competition, and indirect effects on the vector competence of native mosquito species (Diptera: Culicidae). Biol. Invasions 2007, 10, 1109–1117. [Google Scholar] [CrossRef]
- Braks, M.A.H.; Honório, N.A.; Lounibos, L.P.; Lourenço-De-Oliveira, R.; Juliano, S.A. Interspecific Competition between Two Invasive Species of Container Mosquitoes, Aedes aegypti and Aedes albopictus (Diptera: Culicidae), in Brazil. Ann. Entomol. Soc. Am. 2004, 97, 130–139. [Google Scholar] [CrossRef]
- Costanzo, K.S.; Mormann, K.M.; Juliano, S.A. Asymmetrical Competition and Patterns of Abundance of Aedes albopictus and Culex pipiens (Diptera: Culicidae). J. Med. Entomol. 2005, 42, 20. [Google Scholar] [CrossRef] [PubMed]
- Armistead, J.S.; Arias, J.R.; Nishimura, N.; Lounibos, L.P. Interspecific larval competition between Aedes albopictus and Aedes japonicus (Diptera: Culicidae) in northern Virginia. J. Med. Entomol. 2008, 45, 629–637. [Google Scholar] [CrossRef]
- Costanzo, K.S.; Muturi, E.J.; Lampman, R.L.; Alto, B.W. The effects of resource type and ratio on competition with Aedes albopictus and Culex pipiens (Diptera: Culicidae). J. Med. Entomol. 2011, 48, 29–38. [Google Scholar] [CrossRef] [PubMed]
- Bonizzoni, M.; Gasperi, G.; Chen, X.; James, A.A. The invasive mosquito species Aedes albopictus: Current knowledge and future perspectives. Trends Parasitol. 2013, 29, 460–468. [Google Scholar] [CrossRef] [PubMed]
- Marini, G.; Guzzetta, G.; Baldacchino, F.; Arnoldi, D.; Montarsi, F.; Capelli, G.; Rizzoli, A.; Merler, S.; Rosa, R. The effect of interspecific competition on the temporal dynamics of Aedes albopictus and Culex pipiens. Parasites Vectors 2017, 10, 102. [Google Scholar] [CrossRef] [PubMed]
- Leisnham, P.T.; LaDeau, S.L.; Saunders, M.E.M.; Villena, O.C. Condition-Specific Competitive Effects of the Invasive Mosquito Aedes albopictus on the Resident Culex pipiens among Different Urban Container Habitats May Explain Their Coexistence in the Field. Insects 2021, 12, 993. [Google Scholar] [CrossRef] [PubMed]
- Giatropoulos, A.; Papachristos, D.; Michaelakis, A.; Kapranas, A.; Emmanouel, N. Laboratory study on larval competition between two related mosquito species: Aedes (Stegomyia) albopictus and Aedes (Stegomyia) cretinus. Acta Trop. 2022, 230, 106389. [Google Scholar] [CrossRef] [PubMed]
- Rau, J.; Fischer, S.; Werner, D.; Kampen, H. Impact of larvae of the Asian tiger mosquito Aedes albopictus on larvae of the Culex pipiens complex from Germany in laboratory co-breeding studies. Med. Vet. Entomol. 2023, 37, 523–533. [Google Scholar] [CrossRef] [PubMed]
- Andreadis, T.G.; Wolfe, R.J. Evidence for reduction of native mosquitoes with increased expansion of invasive Ochlerotatus japonicus japonicus (Diptera: Culicidae) in the northeastern United States. J. Med. Entomol. 2010, 47, 43–52. [Google Scholar] [CrossRef] [PubMed]
- Hardstone, M.C.; Andreadis, T.G. Weak larval competition between the invasive mosquito Aedes japonicus japonicus (Diptera: Culicidae) and three resident container-inhabiting mosquitoes in the laboratory. J. Med. Entomol. 2012, 49, 277–285. [Google Scholar] [CrossRef] [PubMed]
- O’Donnell, D.L.; Armbruster, P. Comparison of larval foraging behavior of Aedes albopictus and Aedes japonicus (Diptera: Culicidae). J. Med. Entomol. 2007, 44, 984–989. [Google Scholar] [CrossRef] [PubMed]
- Reiskind, M.H.; Lounibos, L.P. Effects of intraspecific larval competition on adult longevity in the mosquitoes Aedes aegypti and Aedes albopictus. Med. Vet. Entomol. 2009, 23, 62–68. [Google Scholar] [CrossRef]
- Telang, A.; Qayum, A.A.; Parker, A.; Sacchetta, B.R.; Byrnes, G.R. Larval nutritional stress affects vector immune traits in adult yellow fever mosquito Aedes aegypti (Stegomyia aegypti). Med. Vet. Entomol. 2012, 26, 271–281. [Google Scholar] [CrossRef] [PubMed]
- Bara, J.; Rapti, Z.; Caceres, C.E.; Muturi, E.J. Effect of Larval Competition on Extrinsic Incubation Period and Vectorial Capacity of Aedes albopictus for Dengue Virus. PLoS ONE 2015, 10, e0126703. [Google Scholar] [CrossRef] [PubMed]
- Muturi, E.J.; Kim, C.H.; Alto, B.W.; Berenbaum, M.R.; Schuler, M.A. Larval environmental stress alters Aedes aegypti competence for Sindbis virus. Trop. Med. Int. Health 2011, 16, 955–964. [Google Scholar] [CrossRef]
- Takken, W.; Klowden, M.J.; Chambers, G.M. Effect of body size on host seeking and blood meal utilization in Anopheles gambiae sensu stricto (Diptera: Culicidae): The disadvantage of being small. J. Med. Entomol. 1998, 35, 639–645. [Google Scholar] [CrossRef]
- Ratnayake, O.C.; Chotiwan, N.; Saavedra-Rodriguez, K.; Perera, R. The buzz in the field: The interaction between viruses, mosquitoes, and metabolism. Front. Cell Infect. Microbiol. 2023, 13, 1128577. [Google Scholar] [CrossRef] [PubMed]
- Arrese, E.L.; Soulages, J.L. Insect fat body: Energy, metabolism, and regulation. Annu. Rev. Entomol. 2010, 55, 207–225. [Google Scholar] [CrossRef]
- Grimstad, P.R.; Walker, E.D. Aedes triseriatus (Diptera: Culicidae) and La Crosse virus. IV. Nutritional deprivation of larvae affects the adult barriers to infection and transmission. J. Med. Entomol. 1991, 28, 378–386. [Google Scholar] [CrossRef]
- Hauser, G.; Thievent, K.; Koella, J.C. Consequences of larval competition and exposure to permethrin for the development of the rodent malaria Plasmodium berghei in the mosquito Anopheles gambiae. Parasites Vectors 2020, 13, 107. [Google Scholar] [CrossRef]
- Rudolf, M.; Czajka, C.; Borstler, J.; Melaun, C.; Jost, H.; von Thien, H.; Badusche, M.; Becker, N.; Schmidt-Chanasit, J.; Kruger, A.; et al. First nationwide surveillance of Culex pipiens complex and Culex torrentium mosquitoes demonstrated the presence of Culex pipiens biotype pipiens/molestus hybrids in Germany. PLoS ONE 2013, 8, e71832. [Google Scholar] [CrossRef] [PubMed]
- Vereecken, S.; Vanslembrouck, A.; Kramer, I.M.; Muller, R. Phenotypic insecticide resistance status of the Culex pipiens complex: A European perspective. Parasites Vectors 2022, 15, 423. [Google Scholar] [CrossRef]
- Müller, R.; Knautz, T.; Volker, J.; Kress, A.; Kuch, U.; Oehlmann, J. Appropriate larval food quality and quantity for Aedes albopictus (Diptera: Culicidae). J. Med. Entomol. 2013, 50, 668–673. [Google Scholar] [CrossRef] [PubMed]
- Van Handel, E. Rapid determination of glycogen and sugars in mosquitoes. J. Am. Mosq. Control Assoc. 1985, 1, 299–301. [Google Scholar] [PubMed]
- Van Handel, E. Rapid determination of total lipids in mosquitoes. J. Am. Mosq. Control Assoc. 1985, 1, 302–304. [Google Scholar] [PubMed]
- Bradford, M.M. A rapid and sensitive method for the quantitation of microgram quantities of protein utilizing the principle of protein-dye binding. Anal. Biochem. 1976, 72, 248–254. [Google Scholar] [CrossRef] [PubMed]
- Bock, F.; Kuch, U.; Pfenninger, M.; Muller, R. Standardized Laboratory Feeding of Larval Aedes japonicus japonicus (Diptera: Culicidae). J. Insect Sci. 2015, 15, 144. [Google Scholar] [CrossRef] [PubMed][Green Version]
- Novak, M.G.; Higley, L.G.; Christianssen, C.A.; Rowley, W.A. Evaluating Larval Competition between Aedes-Albopictus and a-Triseriatus (Diptera, Culicidae) through Replacement Series Experiments. Environ. Entomol. 1993, 22, 311–318. [Google Scholar] [CrossRef]
- Oberg, A.L.; Young, L.J.; Higley, L.G. A study of the statistical properties of two measures of competition. In Proceedings of the Applied Statistics in Agriculture, Manhattan, KS, USA, 24–26 April 1994. [Google Scholar]
- Harper, J.L. Population Biology of Plants; Academic Press: New York, NY, USA, 1977. [Google Scholar]
- Heitmann, A.; Jansen, S.; Luhken, R.; Leggewie, M.; Schmidt-Chanasit, J.; Tannich, E. Forced Salivation As a Method to Analyze Vector Competence of Mosquitoes. J. Vis. Exp. 2018, 138, 57980. [Google Scholar] [CrossRef]
- Huber, K.; Jansen, S.; Leggewie, M.; Badusche, M.; Schmidt-Chanasit, J.; Becker, N.; Tannich, E.; Becker, S.C. Aedes japonicus japonicus (Diptera: Culicidae) from Germany have vector competence for Japan encephalitis virus but are refractory to infection with West Nile virus. Parasitol. Res. 2014, 113, 3195–3199. [Google Scholar] [CrossRef] [PubMed]
- Lambert, A.J.; Lanciotti, R.S. Consensus amplification and novel multiplex sequencing method for S segment species identification of 47 viruses of the Orthobunyavirus, Phlebovirus, and Nairovirus genera of the family Bunyaviridae. J. Clin. Microbiol. 2009, 47, 2398–2404. [Google Scholar] [CrossRef] [PubMed]
- Chao, D.Y.; Davis, B.S.; Chang, G.J. Development of multiplex real-time reverse transcriptase PCR assays for detecting eight medically important flaviviruses in mosquitoes. J. Clin. Microbiol. 2007, 45, 584–589. [Google Scholar] [CrossRef]
- Eshoo, M.W.; Whitehouse, C.A.; Zoll, S.T.; Massire, C.; Pennella, T.T.; Blyn, L.B.; Sampath, R.; Hall, T.A.; Ecker, J.A.; Desai, A.; et al. Direct broad-range detection of alphaviruses in mosquito extracts. Virology 2007, 368, 286–295. [Google Scholar] [CrossRef] [PubMed]
- Yee, D.A.; Kesavaraju, B.; Juliano, S.A. Larval feeding behavior of three co-occurring species of container mosquitoes. J. Vector Ecol. 2004, 29, 315–322. [Google Scholar] [PubMed]
- Vanslembrouck, A.; Scheers, K.; Vermeersch, X.; Hendrickx, R.; Schneider, A.; De Witte, J.; Deblauwe, I.; Van Bortel, W.; Reuss, F.; Müller, R. Exploring the efficacy of predaceous diving beetles as potential nature-based solution for combating the invasive mosquito Aedes albopictus. Neobiota, 2024; under review. [Google Scholar]
- Giunti, G.; Becker, N.; Benelli, G. Invasive mosquito vectors in Europe: From bioecology to surveillance and management. Acta Trop. 2023, 239, 106832. [Google Scholar] [CrossRef] [PubMed]
- Paige, A.S.; Bellamy, S.K.; Alto, B.W.; Dean, C.L.; Yee, D.A. Linking nutrient stoichiometry to Zika virus transmission in a mosquito. Oecologia 2019, 191, 1–10. [Google Scholar] [CrossRef]
- Perera, R.; Riley, C.; Isaac, G.; Hopf-Jannasch, A.S.; Moore, R.J.; Weitz, K.W.; Pasa-Tolic, L.; Metz, T.O.; Adamec, J.; Kuhn, R.J. Dengue virus infection perturbs lipid homeostasis in infected mosquito cells. PLoS Pathog. 2012, 8, e1002584. [Google Scholar] [CrossRef] [PubMed]
- Chotiwan, N.; Andre, B.G.; Sanchez-Vargas, I.; Islam, M.N.; Grabowski, J.M.; Hopf-Jannasch, A.; Gough, E.; Nakayasu, E.; Blair, C.D.; Belisle, J.T.; et al. Dynamic remodeling of lipids coincides with dengue virus replication in the midgut of Aedes aegypti mosquitoes. PLoS Pathog. 2018, 14, e1006853. [Google Scholar] [CrossRef] [PubMed]
- Koh, C.; Islam, M.N.; Ye, Y.H.; Chotiwan, N.; Graham, B.; Belisle, J.T.; Kouremenos, K.A.; Dayalan, S.; Tull, D.L.; Klatt, S.; et al. Dengue virus dominates lipid metabolism modulations in Wolbachia-coinfected Aedes aegypti. Commun. Biol. 2020, 3, 518. [Google Scholar] [CrossRef] [PubMed]





| Virus | Mosquito Species | Species Ratio | Dpi | n | IR [%] | Viral RNA Copy Number/Body [log10] | Significance |
|---|---|---|---|---|---|---|---|
| CHIKV | Ae. albopictus | 30 Aedes intra | 7 | 20 | 100 | 8.99 ± 1.58 | 0.04 |
| 20 Aedes inter | 23 | 100 | 9.36 ± 1.81 | ||||
| 10 Aedes inter | 14 | 100 | 9.41 ± 0.94 | ns | |||
| WNV | Cx. pipiens s.s./Cx. torrentium | 30 Culex intra | 14 | 42 | 54.76 | 5.39 ± 1.7 | ns |
| 20 Culex inter | 34 | 50 | 5.07 ± 1.59 | ||||
| 10 Culex inter | 9 | 66.67 | 5.69 ± 1.78 | ||||
| Cx. p. molestus | 30 Culex intra | 14 | 91 | 43.96 | 6.61 ± 2.1 | ns | |
| 20 Culex inter | 64 | 54.69 | 6.34 ± 2.05 | ||||
| 10 Culex inter | 27 | 59.26 | 5.78 ± 1.8 |
| PC1 | |||||||
|---|---|---|---|---|---|---|---|
| Ae. albopictus | Cx. pipiens s.s./Cx. torrentium | Ae. japonicus | Cx. p. molestus | ||||
| Development | 0.78 | Development | −0.51 | L | −0.58 | Distance | 0.81 |
| Ratio | 0.77 | Mortality | −0.58 | G | −0.76 | Velocity | 0.77 |
| AL | −0.71 | Body contact | −0.67 | P | −0.82 | CT | 0.63 |
| AW | −0.73 | P | −0.69 | AW | −0.86 | P | 0.60 |
| CT | −0.79 | Distance | −0.70 | AL | −0.88 | Development | −0.83 |
| P | −0.81 | Velocity | −0.74 | CT | −0.92 | Ratio | −0.84 |
| PC2 | |||||||
| Ae. albopictus | Cx. pipiens s.s./Cx. torrentium | Ae. japonicus | Cx. p. molestus | ||||
| BT | 0.58 | CT | 0.57 | Body contact | 0.61 | AW | 0.68 |
| Ratio | −0.59 | Ratio | 0.55 | L | −0.27 | CT | 0.63 |
| Velocity | −0.65 | BT | 0.50 | Mortality | −0.59 | Body contact | 0.62 |
| Distance | −0.65 | L | 0.50 | Distance | −0.68 | AL | 0.62 |
| L | −0.68 | Velocity | −0.63 | Ratio | −0.81 | BT | −0.38 |
| G | −0.80 | Distance | −0.66 | Velocity | −0.88 | Velocity | −0.56 |
Disclaimer/Publisher’s Note: The statements, opinions and data contained in all publications are solely those of the individual author(s) and contributor(s) and not of MDPI and/or the editor(s). MDPI and/or the editor(s) disclaim responsibility for any injury to people or property resulting from any ideas, methods, instructions or products referred to in the content. |
© 2024 by the authors. Licensee MDPI, Basel, Switzerland. This article is an open access article distributed under the terms and conditions of the Creative Commons Attribution (CC BY) license (https://creativecommons.org/licenses/by/4.0/).
Share and Cite
Vanslembrouck, A.; Jansen, S.; De Witte, J.; Janssens, C.; Vereecken, S.; Helms, M.; Lange, U.; Lühken, R.; Schmidt-Chanasit, J.; Heitmann, A.; et al. Larval Competition between Aedes and Culex Mosquitoes Carries over to Higher Arboviral Infection during Their Adult Stage. Viruses 2024, 16, 1202. https://doi.org/10.3390/v16081202
Vanslembrouck A, Jansen S, De Witte J, Janssens C, Vereecken S, Helms M, Lange U, Lühken R, Schmidt-Chanasit J, Heitmann A, et al. Larval Competition between Aedes and Culex Mosquitoes Carries over to Higher Arboviral Infection during Their Adult Stage. Viruses. 2024; 16(8):1202. https://doi.org/10.3390/v16081202
Chicago/Turabian StyleVanslembrouck, Adwine, Stephanie Jansen, Jacobus De Witte, Corneel Janssens, Stien Vereecken, Michelle Helms, Unchana Lange, Renke Lühken, Jonas Schmidt-Chanasit, Anna Heitmann, and et al. 2024. "Larval Competition between Aedes and Culex Mosquitoes Carries over to Higher Arboviral Infection during Their Adult Stage" Viruses 16, no. 8: 1202. https://doi.org/10.3390/v16081202
APA StyleVanslembrouck, A., Jansen, S., De Witte, J., Janssens, C., Vereecken, S., Helms, M., Lange, U., Lühken, R., Schmidt-Chanasit, J., Heitmann, A., & Müller, R. (2024). Larval Competition between Aedes and Culex Mosquitoes Carries over to Higher Arboviral Infection during Their Adult Stage. Viruses, 16(8), 1202. https://doi.org/10.3390/v16081202

