Improved Estimates of Biomass Expansion Factors for Russian Forests
Abstract
1. Introduction
2. Materials and Methods
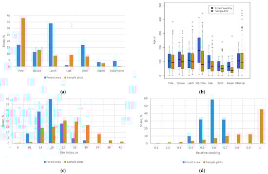
2.1. Experimental Data
2.2. Forest Biomass Models
2.3. Spatial Distribution of the Biomass Structure Parameters
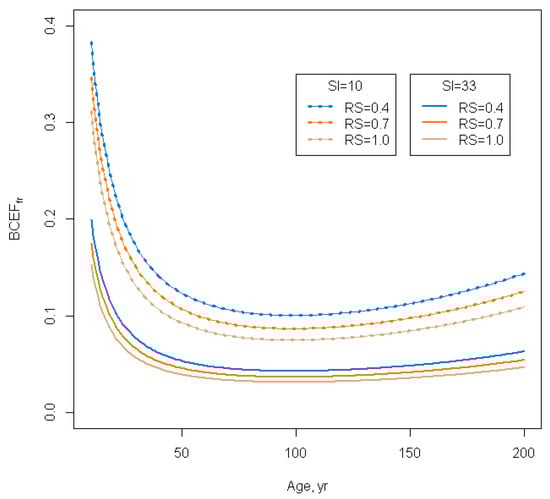
3. Results
4. Discussion
5. Conclusions
Author Contributions
Acknowledgments
Conflicts of Interest
Appendix A
| Site Index by M.M. Orlov | Birch (50 Years Old Seeding Origin) | Aspen, Poplar, Willow (50 Years, Vegetative Origin) | Siberian Pine (160 Years Old) | Other Species (100 Years Old) |
|---|---|---|---|---|
| If | 34.7–37.5 | 39.5–42.5 | 56.3–60.4 | 49.3–52.9 |
| Ie | 31.8–34.6 | 36.4–39.4 | 52.0–56.2 | 45.6–49.2 |
| Id | 29.0–31.7 | 33.3–36.3 | 47.8–51.9 | 41.9–45.5 |
| Ic | 26.1–28.9 | 30.2–33.2 | 43.6–47.7 | 38.2–41.8 |
| Ib | 23.2–26.0 | 27.1–30.1 | 39.3–43.5 | 34.4–38.1 |
| Ia | 20.3–23.1 | 24.0–27.0 | 35.1–39.2 | 30.7–34.3 |
| I | 17.5–20.2 | 20.9–23.9 | 30.9–35.0 | 27.0–30.6 |
| II | 14.6–17.4 | 17.7–20.8 | 26.6–30.8 | 23.3–26.9 |
| III | 11.7–14.5 | 14.6–17.6 | 22.4–26.5 | 19.6–23.2 |
| IV | 8.9–11.6 | 11.5–14.5 | 18.1–22.3 | 15.9–19.5 |
| V | 6.0–8.8 | 8.4–11.4 | 13.9–18.0 | 12.2–15.8 |
| Va | 3.1–5.9 | 5.3–8.3 | 9.6–13.8 | 8.5–12.1 |
| Vb | 0.2–3.0 | 2.1–5.2 | 5.4–9.5 | 4.0–8.4 |
| Live Biomass Fraction | Equation (3) Parameter Estimation | r2 | RMSE | N | |||||
|---|---|---|---|---|---|---|---|---|---|
| â0 | â1 | â2 | â3 | â4 | â5 | ||||
| Pine (European middle taiga) | |||||||||
| Stem | 1.3517 | −0.1618 | −0.1443 | 0.1995 | 0.0017 | −0.5163 | 0.14 | 0.072 | 360 |
| Branches | 2.9767 | −1.3238 | −0.349 | −0.4058 | 0.0117 | −0.2093 | 0.58 | 0.039 | 365 |
| Foliage | 5.9603 | −1.4686 | −1.1163 | 0.0122 | 0.006 | −0.5594 | 0.80 | 0.026 | 381 |
| Roots | 2.988 | −0.589 | −0.7742 | −0.0521 | 0.0031 | −0.5536 | 0.50 | 0.071 | 182 |
| Pine (European southern taiga) | |||||||||
| Stem | 0.7717 | −0.0821 | −0.2307 | −0.0568 | 0.0017 | −0.1335 | 0.09 | 0.079 | 1000 |
| Branches | 4.2451 | −1.2431 | −0.7691 | −0.0037 | 0.0127 | −0.5257 | 0.48 | 0.051 | 983 |
| Foliage | 6.6666 | −1.8633 | −1.0966 | 0.0253 | 0.0147 | −0.3913 | 0.77 | 0.045 | 1038 |
| Roots | 1.5704 | −0.5215 | −0.5421 | −0.1002 | 0.0064 | −0.2413 | 0.25 | 0.079 | 308 |
| Pine (European forest steppe) | |||||||||
| Stem | 0.0915 | 0.095 | −0.2237 | −0.0149 | −0.0002 | −0.0021 | 0.07 | 0.069 | 356 |
| Branches | 4.535 | −0.8482 | −1.2881 | 0.074 | 0.0047 | −0.216 | 0.52 | 0.052 | 393 |
| Foliage | 7.0673 | −1.6427 | −1.496 | −0.1959 | 0.0112 | −0.0959 | 0.79 | 0.057 | 423 |
| Roots | −0.2385 | −0.0587 | −0.7152 | −0.6812 | −0.0009 | 0.5308 | 0.21 | 0.032 | 211 |
| Pine (Siberian middle taiga) | |||||||||
| Stem | −0.1346 | 0.1184 | −0.1981 | −0.0839 | −0.0011 | −0.0372 | 0.12 | 0.054 | 158 |
| Branches | 1.0394 | −0.3814 | −0.5978 | 0.2721 | 0.0029 | −1.1483 | 0.31 | 0.025 | 196 |
| Foliage | 7.8944 | −1.4410 | −1.5506 | 0.5492 | 0.0080 | −1.5910 | 0.56 | 0.018 | 196 |
| Roots | −3.2057 | 0.2113 | −0.0074 | −0.2885 | −0.0032 | 0.0286 | 0.04 | 0.031 | 79 |
| Pine (Siberian southern taiga) | |||||||||
| Stem | 0.2432 | 0.1303 | −0.2675 | 0.0493 | −0.0013 | −0.1730 | 0.13 | 0.066 | 586 |
| Branches | 1.1030 | −0.8747 | −0.3201 | −0.6397 | 0.0066 | 0.0227 | 0.50 | 0.036 | 587 |
| Foliage | 5.5623 | −1.7604 | −0.9107 | −0.7045 | 0.0102 | 0.0940 | 0.85 | 0.037 | 582 |
| Roots | 1.7253 | −0.8490 | −0.2326 | 0.2156 | 0.0095 | −0.2221 | 0.19 | 0.092 | 301 |
| Pine (Siberian forest steppe) | |||||||||
| Stem | 1.1294 | −0.0360 | −0.4161 | −0.2785 | 0.0005 | 0.0159 | 0.25 | 0.069 | 163 |
| Branches | 5.1013 | −0.5413 | −1.6572 | −0.8483 | −0.0018 | 0.0194 | 0.64 | 0.065 | 164 |
| Foliage | 8.1398 | −1.5275 | −2.1305 | −1.5911 | 0.0056 | 0.8606 | 0.78 | 0.062 | 164 |
| Roots | 1.7282 | −0.7772 | −0.2703 | 0.2559 | 0.0082 | −0.3057 | 0.19 | 0.091 | 318 |
| Spruce | |||||||||
| Stem | −0.1933 | 0.1173 | −0.1793 | −0.0386 | −0.0012 | 0.0010 | 0.08 | 0.065 | 740 |
| Branches | 3.3337 | −0.7691 | −0.7772 | 0.2153 | 0.0029 | −0.4646 | 0.47 | 0.066 | 767 |
| Foliage | 5.9899 | −1.5668 | −0.8115 | 0.1443 | 0.0084 | −0.6000 | 0.68 | 0.069 | 784 |
| Roots | 1.0646 | −0.4098 | −0.4485 | −0.2869 | 0.0042 | −0.0946 | 0.41 | 0.080 | 401 |
| Fir | |||||||||
| Stem | 0.0959 | −0.0772 | −0.0784 | 0.1718 | 0.0012 | −0.1412 | 0.03 | 0.048 | 262 |
| Branches | 2.3574 | −0.7996 | −0.6041 | 0.0848 | 0.0058 | −0.3075 | 0.35 | 0.031 | 267 |
| Foliage | 4.2704 | −1.3153 | −0.6861 | −0.0233 | 0.0063 | −0.3278 | 0.52 | 0.033 | 279 |
| Roots | 0.6745 | −0.5497 | −0.3379 | 0.3682 | 0.0057 | 0.0503 | 0.38 | 0.032 | 68 |
| Larch (middle taiga) | |||||||||
| Stem | −1.3347 | 0.3120 | 0.0919 | −0.1190 | −0.0023 | 0.0842 | 0.07 | 0.078 | 228 |
| Branches | 0.2162 | −0.7587 | 0.0247 | −0.4946 | 0.0028 | 0.0948 | 0.38 | 0.088 | 227 |
| Foliage | 3.1846 | −1.5464 | −0.4319 | −0.4693 | 0.0062 | 0.1521 | 0.58 | 0.046 | 236 |
| Roots | −2.5068 | 0.1744 | −0.3284 | −1.7051 | −0.0023 | 1.4148 | 0.47 | 0.147 | 60 |
| Larch (southern taiga) | |||||||||
| Stem | 1.1871 | −0.2261 | −0.1119 | 0.0403 | 0.0027 | −0.1945 | 0.08 | 0.079 | 303 |
| Branches | 4.2072 | −1.4826 | −0.6799 | −0.5480 | 0.0118 | 0.2856 | 0.59 | 0.064 | 306 |
| Foliage | 3.6928 | −1.5604 | −0.8472 | −0.5441 | 0.0101 | 0.4642 | 0.61 | 0.033 | 313 |
| Roots | 5.9509 | −0.9601 | −1.2220 | 0.3015 | 0.0098 | −0.7839 | 0.51 | 0.062 | 93 |
| Cedar—Pinus sibirica | |||||||||
| Stem | −0.3297 | −0.0292 | 0.1728 | 0.2949 | 0.0011 | −0.5328 | 0.23 | 0.073 | 161 |
| Branches | 5.3537 | −1.0619 | −0.5370 | 0.7861 | 0.0042 | −2.2664 | 0.61 | 0.040 | 166 |
| Foliage | 8.8813 | −2.1237 | −0.9001 | 0.3048 | 0.0120 | −1.6325 | 0.86 | 0.057 | 166 |
| Roots | 2.2189 | −0.3527 | −0.1341 | 1.1925 | −0.0001 | −2.2136 | 0.28 | 0.031 | 50 |
| Oak | |||||||||
| Stem | 1.3658 | −0.1909 | −0.0649 | 0.0890 | 0.0026 | −0.1504 | 0.02 | 0.096 | 462 |
| Branches | 1.1424 | −0.4008 | −0.7627 | −0.8207 | 0.0031 | 0.6612 | 0.13 | 0.094 | 456 |
| Foliage | 4.1182 | −1.2389 | −1.1572 | −0.4091 | 0.0061 | 0.1719 | 0.67 | 0.030 | 497 |
| Roots | 4.8666 | −0.8227 | −1.2988 | −0.8004 | 0.0056 | 0.6241 | 0.24 | 0.111 | 181 |
| Beech | |||||||||
| Stem | −0.8321 | 0.1425 | 0.2174 | −0.2121 | −0.0018 | 0.1649 | 0.04 | 0.078 | 177 |
| Branches | 0.7318 | 0.0372 | −0.7745 | −0.3449 | −0.0031 | −0.0321 | 0.11 | 0.075 | 146 |
| Foliage | 6.0548 | −1.4001 | −1.3849 | −0.0755 | 0.0063 | −0.6606 | 0.80 | 0.010 | 214 |
| Roots | 1.3070 | −0.3328 | −0.6341 | −0.8082 | −0.0003 | 0.4298 | 0.17 | 0.073 | 112 |
| Hornbeam | |||||||||
| Stem | 2.3347 | 0.3085 | −0.2185 | 2.2934 | −0.0042 | −1.9967 | 0.40 | 0.057 | 38 |
| Branches | 6.3469 | −1.3749 | −1.7074 | 0.1018 | 0.0345 | 0.7156 | 0.27 | 0.086 | 35 |
| Foliage | −1.6432 | −1.0229 | −0.7750 | −3.5763 | 0.0118 | 3.4368 | 0.58 | 0.016 | 38 |
| Roots | 4.6852 | −0.7828 | −1.2655 | −0.7611 | 0.0050 | 0.6045 | 0.24 | 0.110 | 88 |
| Ash | |||||||||
| Stem | −1.4115 | 0.0959 | 0.6140 | 0.5147 | −0.0024 | −0.6225 | 0.20 | 0.058 | 60 |
| Branches | −3.1144 | −0.4433 | 1.0840 | 0.5990 | 0.0033 | −1.2218 | 0.14 | 0.090 | 60 |
| Foliage | 5.7807 | −1.8553 | −0.9758 | −0.1005 | 0.0178 | −0.5541 | 0.63 | 0.100 | 66 |
| Roots | 4.9038 | −0.8047 | −1.3065 | −0.7893 | 0.0052 | 0.5818 | 0.24 | 0.110 | 85 |
| Birch (European Russia) | |||||||||
| Stem | −0.4434 | 0.1641 | 0.0579 | −0.0112 | −0.0037 | −0.0682 | 0.07 | 0.059 | 376 |
| Branches | −0.2754 | −0.4984 | −0.3686 | −0.5492 | 0.0063 | 0.2679 | 0.22 | 0.053 | 407 |
| Foliage | 3.9489 | −1.4559 | −0.9133 | 0.7975 | 0.0174 | −0.6793 | 0.52 | 0.026 | 421 |
| Roots | 1.0270 | −0.3507 | −0.6383 | −0.3961 | −0.0015 | 0.3307 | 0.46 | 0.056 | 169 |
| Birch (Siberia) | |||||||||
| Stem | 0.2318 | 0.0500 | −0.0543 | 0.0179 | −0.0016 | −0.0862 | 0.02 | 0.074 | 215 |
| Branches | −0.7115 | −0.4997 | −0.2326 | −0.6179 | 0.0081 | 0.4321 | 0.21 | 0.041 | 218 |
| Foliage | 0.0304 | −1.0830 | −0.4000 | −0.7894 | 0.0104 | 0.6795 | 0.41 | 0.022 | 225 |
| Roots | 2.2132 | −0.4646 | −0.7980 | −0.0893 | 0.0017 | −0.0285 | 0.41 | 0.070 | 202 |
| Aspen (European Russia) | |||||||||
| Stem | 0.0203 | 0.0012 | −0.0132 | 0.3453 | −0.0006 | −0.2399 | 0.02 | 0.062 | 110 |
| Branches | 0.2000 | −0.2940 | −0.0385 | 1.9673 | 0.0026 | −1.7351 | 0.12 | 0.047 | 123 |
| Foliage | 3.6705 | −1.3091 | −0.9382 | 0.5383 | 0.0137 | −0.7780 | 0.66 | 0.024 | 140 |
| Roots | 2.8964 | −0.3984 | −0.7258 | 0.5918 | −0.0038 | −0.9065 | 0.39 | 0.063 | 43 |
| Aspen (Siberia) | |||||||||
| Stem | −1.2308 | 0.1325 | 0.2480 | 0.3622 | 0.0012 | −0.1355 | 0.14 | 0.075 | 80 |
| Branches | 1.6460 | −0.2113 | −0.6766 | 0.9850 | 0.0021 | −1.4918 | 0.22 | 0.029 | 70 |
| Foliage | 0.3332 | −1.0598 | −0.7049 | −1.5391 | 0.0034 | 1.2358 | 0.80 | 0.010 | 80 |
| Roots | 1.9044 | −0.7256 | −0.7235 | −1.3907 | 0.0036 | 0.8730 | 0.52 | 0.083 | 44 |
| Grey alder | |||||||||
| Stem | −0.0936 | −0.0586 | −0.0101 | −0.0269 | 0.0054 | −0.1466 | 0.18 | 0.057 | 56 |
| Branches | 1.6014 | −0.4444 | −0.9354 | 0.5626 | 0.0070 | −0.5702 | 0.33 | 0.068 | 63 |
| Foliage | −2.0525 | −1.5511 | 0.1970 | −1.7943 | 0.0325 | 1.2196 | 0.72 | 0.016 | 62 |
| Roots | −0.5188 | −0.2344 | −0.3283 | −0.0381 | 0.0084 | −0.3303 | 0.44 | 0.028 | 35 |
| Black alder | |||||||||
| Stem | −0.4665 | 0.2482 | −0.0978 | 0.1064 | −0.0053 | −0.1582 | 0.15 | 0.041 | 87 |
| Branches | −0.7392 | −0.3401 | −0.4609 | −0.1002 | −0.0013 | 0.0418 | 0.14 | 0.018 | 90 |
| Foliage | −0.3775 | −1.1572 | −0.3642 | −1.2107 | 0.0067 | 0.8255 | 0.54 | 0.009 | 90 |
| Roots | −0.5175 | −0.2334 | −0.3350 | −0.0572 | 0.0083 | −0.3157 | 0.44 | 0.028 | 35 |
| Linden | |||||||||
| Stem | −0.5985 | 0.1141 | 0.0629 | 0.1274 | −0.0003 | −0.2424 | 0.29 | 0.038 | 248 |
| Branches | −0.1664 | −0.6651 | −0.1371 | −0.8517 | 0.0035 | 0.0990 | 0.46 | 0.027 | 254 |
| Foliage | 2.7459 | −1.3151 | −1.0017 | −0.8749 | 0.0058 | 0.2103 | 0.77 | 0.011 | 258 |
| Roots | 2.6412 | −0.3251 | −1.0976 | −0.5208 | −0.0018 | 0.2377 | 0.38 | 0.051 | 30 |
| Poplar | |||||||||
| Stem | −1.3420 | 0.3547 | −0.2054 | −0.6031 | −0.0095 | 0.8033 | 0.49 | 0.063 | 89 |
| Branches | −0.3045 | −0.0037 | −0.9988 | −1.5338 | −0.0163 | 1.4965 | 0.43 | 0.114 | 98 |
| Foliage | −0.3746 | −0.8670 | −0.7316 | −1.1603 | −0.0010 | 1.7401 | 0.52 | 0.061 | 86 |
| Roots | −0.6240 | −0.6186 | −0.1614 | −0.8428 | 0.0058 | 1.1717 | 0.87 | 0.013 | 28 |
| Species | Zone | Age Group | BCEF ± SD Our Estimation | BCEF ± SD by Zamolodchikov et al. 2003 | ||||||||
|---|---|---|---|---|---|---|---|---|---|---|---|---|
| Stand | Stem | Branches | Roots | Foliage | Stand | Stem | Branches | Roots | Foliage | |||
| Pine | Northern taiga | Young | 0.919 ± 0.034 | 0.490 ± 0.011 | 0.117 ± 0.008 | 0.178 ± 0.017 | 0.135 ± 0.012 | 0.937 ± 0.118 | 0.469 ± 0.021 | 0.128 ± 0.022 | 0.174 ± 0.031 | 0.167 * ± 0.044 |
| Middle-aged | 0.715 ± 0.012 | 0.474 ± 0.006 | 0.064 ± 0.002 | 0.125 ± 0.006 | 0.051 ± 0.003 | 0.693 ± 0.023 | 0.468 ± 0.010 | 0.052 ** ± 0.002 | 0.143 * ± 0.009 | 0.030 ** ± 0.002 | ||
| Immature | 0.667 ± 0.013 | 0.470 ± 0.006 | 0.058 ± 0.003 | 0.105 ± 0.006 | 0.034 ± 0.002 | 0.737 * ± 0.047 | 0.482 ± 0.016 | 0.067 * ± 0.010 | 0.155 * ± 0.016 | 0.033 ± 0.005 | ||
| Mature | 0.694 ± 0.013 | 0.484 ± 0.006 | 0.065 ± 0.003 | 0.115 ± 0.006 | 0.031 ± 0.002 | 0.661 ± 0.024 | 0.462 ± 0.008 | 0.057 ** ± 0.006 | 0.121 ± 0.008 | 0.021 ** ± 0.002 | ||
| Middle taiga | Young | 0.759 ± 0.030 | 0.452 ± 0.008 | 0.086 ± 0.008 | 0.123 ± 0.013 | 0.098 ± 0.012 | 0.793 ± 0.078 | 0.470 ± 0.027 | 0.131 * ± 0.026 | 0.108 ± 0.013 | 0.084 ± 0.014 | |
| Middle-aged | 0.644 ± 0.010 | 0.454 ± 0.005 | 0.054 ± 0.002 | 0.101 ± 0.005 | 0.035 ± 0.002 | 0.646 ± 0.018 | 0.455 ± 0.006 | 0.062 * ± 0.006 | 0.101 ± 0.004 | 0.028 ** ± 0.002 | ||
| Immature | 0.623 ± 0.011 | 0.454 ± 0.005 | 0.050 ± 0.002 | 0.093 ± 0.005 | 0.026 ± 0.001 | 0.715 * ± 0.052 | 0.475 ± 0.010 | 0.054 ± 0.006 | 0.162 * ± 0.033 | 0.024 ± 0.004 | ||
| Mature | 0.611 ± 0.010 | 0.449 ± 0.005 | 0.052 ± 0.002 | 0.086 ± 0.004 | 0.024 ± 0.001 | 0.646 ± 0.028 | 0.478 * ± 0.014 | 0.054 ± 0.005 | 0.088 ± 0.004 | 0.027 * ± 0.004 | ||
| Southern taiga | Young | 0.725 ± 0.010 | 0.426 ± 0.003 | 0.092 ± 0.002 | 0.134 ± 0.006 | 0.074 ± 0.002 | 0.869 * ± 0.046 | 0.444 ± 0.008 | 0.112 * ± 0.007 | 0.190 * ± 0.019 | 0.123 * ± 0.012 | |
| Middle-aged | 0.627 ± 0.005 | 0.434 ± 0.003 | 0.058 ± 0.001 | 0.109 ± 0.002 | 0.026 ± 0.001 | 0.703 * ± 0.027 | 0.447 ± 0.008 | 0.066 * ± 0.003 | 0.159 * ± 0.014 | 0.032 * ± 0.002 | ||
| Immature | 0.618 ± 0.006 | 0.440 ± 0.003 | 0.051 ± 0.001 | 0.109 ± 0.003 | 0.019 ± 0.0001 | 0.658 * ± 0.021 | 0.453 ± 0.010 | 0.052 ± 0.002 | 0.128 ± 0.007 | 0.026 * ± 0.002 | ||
| Mature | 0.633 ± 0.014 | 0.445 ± 0.006 | 0.053 ± 0.002 | 0.117 ± 0.007 | 0.018 ± 0.001 | 0.712 * ± 0.023 | 0.491 * ± 0.011 | 0.059 ± 0.004 | 0.137 ± 0.007 | 0.025 * ± 0.002 | ||
| Spruce | Northern taiga | Young | 0.971 ± 0.023 | 0.421 ± 0.006 | 0.163 ± 0.008 | 0.211 ± 0.010 | 0.175 ± 0.009 | 0.937 ± 0.068 | 0.413 ± 0.006 | 0.176 ± 0.020 | 0.159 ** ± 0.015 | 0.190 ± 0.027 |
| Middle-aged | 0.815 ± 0.018 | 0.444 ± 0.006 | 0.107 ± 0.004 | 0.193 ± 0.010 | 0.071 ± 0.004 | 0.773 ± 0.039 | 0.457 ± 0.007 | 0.086 ** ± 0.010 | 0.138 ** ± 0.009 | 0.092 * ± 0.013 | ||
| Immature | 0.816 ± 0.019 | 0.450 ± 0.007 | 0.104 ± 0.004 | 0.199 ± 0.011 | 0.063 ± 0.003 | 0.762 ± 0.039 | 0.457 ± 0.010 | 0.086 ** ± 0.009 | 0.150 ** ± 0.012 | 0.069 ± 0.008 | ||
| Mature | 0.779 ± 0.016 | 0.447 ± 0.006 | 0.082 ± 0.003 | 0.205 ± 0.010 | 0.046 ± 0.002 | 0.750 ± 0.039 | 0.457 ± 0.013 | 0.085 * ± 0.008 | 0.163 ** ± 0.015 | 0.045 ± 0.003 | ||
| Middle taiga | Young | 0.930 ± 0.022 | 0.409 ± 0.006 | 0.152 ± 0.007 | 0.198 ± 0.009 | 0.172 ± 0.009 | 0.937 ± 0.068 | 0.413 ± 0.006 | 0.176 * ± 0.020 | 0.159 ** ± 0.015 | 0.190 ± 0.027 | |
| Middle-aged | 0.729 ± 0.011 | 0.426 ± 0.004 | 0.084 ± 0.002 | 0.163 ± 0.006 | 0.055 ± 0.002 | 0.739 ± 0.038 | 0.430 ± 0.009 | 0.099 * ± 0.009 | 0.138 ** ± 0.009 | 0.072 * ± 0.012 | ||
| Immature | 0.718 ± 0.011 | 0.431 ± 0.004 | 0.076 ± 0.002 | 0.166 ± 0.006 | 0.045 ± 0.002 | 0.686 ± 0.026 | 0.465 * ± 0.010 | 0.057 * ± 0.004 | 0.122 ** ± 0.006 | 0.041 ± 0.006 | ||
| Mature | 0.731 ± 0.013 | 0.436 ± 0.005 | 0.070 ± 0.002 | 0.186 ± 0.008 | 0.039 ± 0.001 | 0.681 ** ± 0.030 | 0.444 ± 0.010 | 0.060 * ± 0.003 | 0.139 ** ± 0.013 | 0.038 ± 0.004 | ||
| Southern taiga | Young | 0.837 ± 0.019 | 0.398 ± 0.005 | 0.126 ± 0.006 | 0.174 ± 0.009 | 0.140 ± 0.007 | 1.227 * ± 0.236 | 0.453 * ± 0.032 | 0.182 * ± 0.040 | 0.334 * ± 0.087 | 0.258 * ± 0.077 | |
| Middle-aged | 0.683 ± 0.009 | 0.417 ± 0.004 | 0.072 ± 0.002 | 0.149 ± 0.005 | 0.046 ± 0.001 | 0.737 * ± 0.075 | 0.469 * ± 0.039 | 0.071 ± 0.009 | 0.140 ± 0.019 | 0.056 * ± 0.008 | ||
| Immature | 0.675 ± 0.010 | 0.419 ± 0.004 | 0.067 ± 0.002 | 0.149 ± 0.005 | 0.040 ± 0.001 | 0.702 ± 0.038 | 0.437 ± 0.012 | 0.080 * ± 0.007 | 0.142 ± 0.013 | 0.043 ± 0.006 | ||
| Mature | 0.676 ± 0.010 | 0.424 ± 0.004 | 0.059 ± 0.001 | 0.161 ± 0.006 | 0.032 ± 0.001 | 0.728 * ± 0.027 | 0.452 * ± 0.011 | 0.071 * ± 0.002 | 0.162 ± 0.011 | 0.042 * ± 0.003 | ||
| Fir | all | Young | 0.733 ± 0.046 | 0.371 ± 0.010 | 0.115 ± 0.010 | 0.112 ± 0.021 | 0.132 ± 0.014 | 0.840 ± 0.113 | 0.386 ± 0.033 | 0.123 ± 0.018 | 0.193 * ± 0.033 | 0.138 ± 0.028 |
| Middle-aged | 0.554 ± 0.013 | 0.365 ± 0.005 | 0.067 ± 0.002 | 0.083 ± 0.010 | 0.046 ± 0.002 | 0.615 * ± 0.040 | 0.392 * ± 0.016 | 0.067 ± 0.010 | 0.109 * ± 0.009 | 0.047 ± 0.005 | ||
| Immature | 0.530 ± 0.012 | 0.365 ± 0.004 | 0.061 ± 0.002 | 0.079 ± 0.011 | 0.036 ± 0.001 | 0.565 ± 0.034 | 0.348 ± 0.017 | 0.048 ** ± 0.003 | 0.131 * ± 0.011 | 0.037 ± 0.003 | ||
| Mature | 0.530 ± 0.014 | 0.370 ± 0.005 | 0.060 ± 0.002 | 0.082 ± 0.012 | 0.031 ± 0.001 | 0.539 ± 0.037 | 0.346 ** ± 0.010 | 0.055 ± 0.002 | 0.103 ± 0.024 | 0.035 * ± 0.001 | ||
| Larch | Northern taiga | Young | 1.016 ± 0.088 | 0.492 ± 0.016 | 0.153 ± 0.021 | 0.275 ± 0.057 | 0.096 ± 0.016 | 1.046 ± 0.063 | 0.481 ± 0.016 | 0.068 ** ± 0.013 | 0.456 * ± 0.025 | 0.042 ** ± 0.009 |
| Middle-aged | 0.986 ± 0.054 | 0.547 ± 0.010 | 0.088 ± 0.007 | 0.323 ± 0.041 | 0.028 ± 0.003 | 0.845 ** ± 0.047 | 0.501 ** ± 0.017 | 0.057 ** ± 0.011 | 0.265 ± 0.015 | 0.023 ± 0.005 | ||
| Immature | 0.959 ± 0.047 | 0.559 ± 0.009 | 0.073 ± 0.004 | 0.309 ± 0.037 | 0.018 ± 0.001 | 0.900 ± 0.045 | 0.516 ** ± 0.013 | 0.054 ** ± 0.008 | 0.312 ± 0.021 | 0.019 ± 0.003 | ||
| Mature | 0.926 ± 0.039 | 0.560 ± 0.008 | 0.062 ± 0.003 | 0.291 ± 0.030 | 0.013 ± 0.001 | 0.956 ± 0.044 | 0.531 ± 0.009 | 0.051 ** ± 0.006 | 0.359 ± 0.027 | 0.015 * ± 0.002 | ||
| Middle taiga | Young | 0.983 ± 0.081 | 0.494 ± 0.015 | 0.152 ± 0.020 | 0.247 ± 0.052 | 0.091 ± 0.016 | 0.811 ± 0.166 | 0.621 * ± 0.119 | 0.050 ** ± 0.016 | 0.111 ** ± 0.025 | 0.028 ** ± 0.012 | |
| Middle-aged | 0.914 ± 0.042 | 0.550 ± 0.009 | 0.083 ± 0.005 | 0.259 ± 0.032 | 0.023 ± 0.002 | 0.836 ± 0.125 | 0.661 * ± 0.055 | 0.049 ± 0.007 | 0.109 ** ± 0.061 | 0.017 ± 0.001 | ||
| Immature | 0.909 ± 0.041 | 0.563 ± 0.009 | 0.069 ± 0.003 | 0.262 ± 0.031 | 0.015 ± 0.001 | 0.867 ± 0.162 | 0.648 * ± 0.085 | 0.061 ± 0.007 | 0.131 ** ± 0.061 | 0.027 * ± 0.008 | ||
| Mature | 0.888 ± 0.036 | 0.564 ± 0.008 | 0.060 ± 0.003 | 0.254 ± 0.027 | 0.011 ± 0.001 | 0.807 ± 0.095 | 0.632 * ± 0.029 | 0.055 ± 0.003 | 0.103 ** ± 0.061 | 0.017 * ± 0.002 | ||
| Southern taiga | Young | 0.985 ± 0.063 | 0.516 ± 0.012 | 0.157 ± 0.011 | 0.254 ± 0.046 | 0.057 ± 0.006 | 0.784 ** ± 0.087 | 0.494 ± 0.034 | 0.115 ** ± 0.019 | 0.136 ** ± 0.025 | 0.040 ** ± 0.008 | |
| Middle-aged | 0.735 ± 0.026 | 0.490 ± 0.007 | 0.062 ± 0.003 | 0.166 ± 0.018 | 0.017 ± 0.001 | 0.742 ± 0.112 | 0.524 * ± 0.047 | 0.055 ** ± 0.003 | 0.150 ± 0.061 | 0.013 ** ± 0.001 | ||
| Immature | 0.696 ± 0.025 | 0.486 ± 0.008 | 0.048 ± 0.002 | 0.150 ± 0.016 | 0.012 ± 0.001 | 0.795 * ± 0.112 | 0.575 * ± 0.047 | 0.051 ± 0.003 | 0.156 ± 0.061 | 0.013 ± 0.001 | ||
| Mature | 0.754 ± 0.044 | 0.504 ± 0.012 | 0.053 ± 0.003 | 0.185 ± 0.032 | 0.011 ± 0.001 | 0.795 ± 0.099 | 0.575 * ± 0.030 | 0.051 ± 0.006 | 0.156 ± 0.061 | 0.013 ± 0.003 | ||
| Siberian pine | all | Young | 0.834 ± 0.081 | 0.414 ± 0.011 | 0.136 ± 0.007 | 0.191 ± 0.068 | 0.093 ± 0.005 | 0.783 ± 0.075 | 0.428 ± 0.028 | 0.101 ** ± 0.008 | 0.186 ± 0.028 | 0.068 ** ± 0.011 |
| Middle-aged | 0.663 ± 0.024 | 0.426 ± 0.010 | 0.074 ± 0.005 | 0.135 ± 0.013 | 0.029 ± 0.002 | 0.682 ± 0.057 | 0.413 ± 0.022 | 0.056 ** ± 0.005 | 0.186 * ± 0.028 | 0.027 ± 0.003 | ||
| Immature | 0.653 ± 0.025 | 0.443 ± 0.013 | 0.065 ± 0.006 | 0.117 ± 0.010 | 0.028 ± 0.002 | 0.637 ± 0.054 | 0.393 ** ± 0.027 | 0.061 ± 0.007 | 0.156 * ± 0.016 | 0.027 ± 0.003 | ||
| Mature | 0.663 ± 0.039 | 0.460 ± 0.020 | 0.062 ± 0.010 | 0.108 ± 0.015 | 0.033 ± 0.005 | 0.899 * ± 0.080 | 0.449 ± 0.031 | 0.106 * ± 0.013 | 0.29 * ± 0.031 | 0.045 * ± 0.005 | ||
| Oak seeding | all | Young | 1.165 ± 0.062 | 0.624 ± 0.013 | 0.167 ± 0.018 | 0.311 ± 0.038 | 0.063 ± 0.004 | 1.232 ± 0.137 | 0.569 ** ± 0.016 | 0.116 ** ± 0.009 | 0.485 * ± 0.104 | 0.062 ± 0.008 |
| Middle-aged | 0.966 ± 0.026 | 0.601 ± 0.008 | 0.137 ± 0.007 | 0.206 ± 0.016 | 0.022 ± 0.001 | 0.981 ± 0.060 | 0.594 ± 0.026 | 0.139 ± 0.016 | 0.230 ± 0.017 | 0.018 ** ± 0.002 | ||
| Immature | 0.967 ± 0.030 | 0.603 ± 0.010 | 0.142 ± 0.008 | 0.204 ± 0.018 | 0.018 ± 0.001 | 0.836 ** ± 0.081 | 0.585 ± 0.030 | 0.095 ** ± 0.033 | 0.147 ** ± 0.016 | 0.010 ** ± 0.002 | ||
| Mature | 0.989 ± 0.035 | 0.612 ± 0.011 | 0.150 ± 0.011 | 0.212 ± 0.020 | 0.017 ± 0.001 | 0.956 ± 0.120 | 0.580 ± 0.043 | 0.192 * ± 0.047 | 0.171 ± 0.027 | 0.013 ** ± 0.003 | ||
| Oak coppice | all | Young | 1.453 ± 0.116 | 0.640 ± 0.021 | 0.229 ± 0.038 | 0.466 ± 0.070 | 0.118 ± 0.012 | 1.591 ± 0.104 | 0.671 ± 0.023 | 0.315 * ± 0.024 | 0.403 ± 0.040 | 0.201 * ± 0.017 |
| Middle-aged | 1.075 ± 0.042 | 0.611 ± 0.010 | 0.157 ± 0.011 | 0.269 ± 0.027 | 0.039 ± 0.002 | 1.082 ± 0.133 | 0.604 ± 0.031 | 0.126 ** ± 0.016 | 0.325 ± 0.083 | 0.026 ** ± 0.002 | ||
| Immature | 1.006 ± 0.034 | 0.603 ± 0.010 | 0.148 ± 0.008 | 0.230 ± 0.021 | 0.026 ± 0.001 | 1.125 * ± 0.179 | 0.615 ± 0.032 | 0.176 * ± 0.064 | 0.319 * ± 0.081 | 0.015 ** ± 0.001 | ||
| Mature | 0.979 ± 0.031 | 0.602 ± 0.010 | 0.143 ± 0.008 | 0.212 ± 0.018 | 0.021 ± 0.001 | 1.273 * ± 0.353 | 0.718 * ± 0.155 | 0.225 * ± 0.112 | 0.313 * ± 0.080 | 0.018 ** ± 0.005 | ||
| Other hard deciduous | all | Young | 1.172 ± 0.052 | 0.601 ± 0.011 | 0.176 ± 0.018 | 0.333 ± 0.030 | 0.062 ± 0.005 | 1.248 ± 0.200 | 0.615 ± 0.066 | 0.186 ± 0.038 | 0.392 ± 0.079 | 0.056 ± 0.016 |
| Middle-aged | 1.008 ± 0.033 | 0.597 ± 0.009 | 0.151 ± 0.014 | 0.235 ± 0.015 | 0.025 ± 0.002 | 0.953 ± 0.058 | 0.610 ± 0.026 | 0.143 ± 0.018 | 0.185 ** ± 0.012 | 0.015 ** ± 0.001 | ||
| Immature | 1.021 ± 0.037 | 0.596 ± 0.010 | 0.158 ± 0.014 | 0.245 ± 0.020 | 0.022 ± 0.002 | 0.776 ** ± 0.079 | 0.527 ** ± 0.033 | 0.107 ± 0.018 | 0.129 ** ± 0.026 | 0.013 ** ± 0.003 | ||
| Mature | 1.046 ± 0.045 | 0.608 ± 0.012 | 0.166 ± 0.015 | 0.252 ± 0.026 | 0.020 ± 0.002 | 0.872 ** ± 0.060 | 0.545 ** ± 0.022 | 0.153 ± 0.018 | 0.165 ** ± 0.019 | 0.009 ** ± 0.001 | ||
| Birch | Northern taiga | Young | 1.135 ± 0.066 | 0.534 ± 0.016 | 0.150 ± 0.014 | 0.366 ± 0.042 | 0.085 ± 0.012 | 0.922 ** ± 0.159 | 0.465 ** ± 0.030 | 0.121 ± 0.024 | 0.238 ** ± 0.088 | 0.099 ± 0.017 |
| Middle-aged | 0.976 ± 0.034 | 0.530 ± 0.009 | 0.116 ± 0.008 | 0.284 ± 0.021 | 0.046 ± 0.006 | 0.817 ** ± 0.119 | 0.561 ± 0.069 | 0.053 ** ± 0.021 | 0.180 ** ± 0.019 | 0.024 ** ± 0.011 | ||
| Immature | 0.909 ± 0.029 | 0.537 ± 0.009 | 0.103 ± 0.006 | 0.243 ± 0.019 | 0.026 ± 0.003 | 0.817 ** ± 0.105 | 0.542 ± 0.046 | 0.084 ** ± 0.025 | 0.152 ** ± 0.021 | 0.039 * ± 0.013 | ||
| Mature | 0.889 ± 0.028 | 0.528 ± 0.008 | 0.108 ± 0.006 | 0.227 ± 0.018 | 0.026 ± 0.003 | 0.845 ± 0.089 | 0.523 ± 0.024 | 0.115 ± 0.029 | 0.152 ** ± 0.021 | 0.055 * ± 0.015 | ||
| Middle taiga | Young | 1.012 ± 0.042 | 0.528 ± 0.011 | 0.131 ± 0.009 | 0.287 ± 0.027 | 0.066 ± 0.007 | 0.922 ± 0.159 | 0.465 ** ± 0.030 | 0.121 ± 0.024 | 0.238 ± 0.088 | 0.099 * ± 0.017 | |
| Middle-aged | 0.849 ± 0.017 | 0.534 ± 0.006 | 0.092 ± 0.004 | 0.198 ± 0.010 | 0.026 ± 0.002 | 0.875 ± 0.075 | 0.531 ± 0.013 | 0.103 ± 0.025 | 0.180 ** ± 0.019 | 0.060 * ± 0.018 | ||
| Immature | 0.801 ± 0.013 | 0.533 ± 0.006 | 0.084 ± 0.003 | 0.166 ± 0.007 | 0.018 ± 0.001 | 0.765 ± 0.053 | 0.532 ± 0.026 | 0.057 ** ± 0.003 | 0.152 ± 0.021 | 0.024 * ± 0.003 | ||
| Mature | 0.795 ± 0.018 | 0.528 ± 0.006 | 0.089 ± 0.004 | 0.161 ± 0.011 | 0.017 ± 0.001 | 0.738 ** ± 0.044 | 0.505 ± 0.015 | 0.057 ** ± 0.006 | 0.152 ± 0.021 | 0.024 * ± 0.002 | ||
| Southern taiga | Young | 0.943 ± 0.031 | 0.524 ± 0.008 | 0.118 ± 0.006 | 0.244 ± 0.020 | 0.057 ± 0.004 | 0.873 ** ± 0.047 | 0.496 ± 0.011 | 0.121 ± 0.011 | 0.184 ** ± 0.015 | 0.022 ** ± 0.009 | |
| Middle-aged | 0.806 ± 0.012 | 0.532 ± 0.005 | 0.083 ± 0.003 | 0.169 ± 0.006 | 0.022 ± 0.001 | 0.792 ± 0.024 | 0.539 ± 0.009 | 0.063 ** ± 0.003 | 0.169 ± 0.011 | 0.020 ± 0.001 | ||
| Immature | 0.767 ± 0.010 | 0.532 ± 0.005 | 0.076 ± 0.002 | 0.143 ± 0.005 | 0.016 ± 0.001 | 0.734 ± 0.033 | 0.536 ± 0.014 | 0.061 ** ± 0.004 | 0.123 ** ± 0.015 | 0.014 ± 0.001 | ||
| Mature | 0.761 ± 0.014 | 0.527 ± 0.006 | 0.083 ± 0.003 | 0.137 ± 0.008 | 0.015 ± 0.001 | 0.734 ± 0.045 | 0.531 ± 0.019 | 0.071 ** ± 0.014 | 0.115 ** ± 0.010 | 0.017 * ± 0.002 | ||
| Aspen | all | Young | 0.866 ± 0.073 | 0.403 ± 0.015 | 0.093 ± 0.011 | 0.305 ± 0.054 | 0.065 ± 0.006 | 0.712 ** ± 0.110 | 0.388 ± 0.013 | 0.085 ± 0.016 | 0.179 ** ± 0.062 | 0.059 ± 0.020 |
| Middle-aged | 0.733 ± 0.042 | 0.426 ± 0.012 | 0.080 ± 0.007 | 0.202 ± 0.027 | 0.025 ± 0.002 | 0.726 ± 0.089 | 0.463 * ± 0.019 | 0.063 ** ± 0.005 | 0.179 ± 0.062 | 0.020 ** ± 0.002 | ||
| Immature | 0.686 ± 0.031 | 0.431 ± 0.010 | 0.070 ± 0.006 | 0.167 ± 0.019 | 0.017 ± 0.001 | 0.669 ± 0.114 | 0.432 ± 0.049 | 0.057 ** ± 0.006 | 0.168 ± 0.058 | 0.012 ** ± 0.002 | ||
| Mature | 0.661 ± 0.040 | 0.444 ± 0.017 | 0.069 ± 0.009 | 0.135 ± 0.021 | 0.012 ± 0.001 | 0.730 ± 0.113 | 0.511 * ± 0.052 | 0.052 ** ± 0.005 | 0.157 ± 0.054 | 0.010 ± 0.001 | ||
| Other soft deciduous | all | Young | 0.815 ± 0.044 | 0.415 ± 0.009 | 0.106 ± 0.008 | 0.239 ± 0.032 | 0.055 ± 0.004 | 0.762 ± 0.077 | 0.552 * ± 0.060 | 0.063 ** ± 0.006 | 0.127 ** ± 0.008 | 0.020 ** ± 0.003 |
| Middle-aged | 0.732 ± 0.034 | 0.442 ± 0.005 | 0.077 ± 0.004 | 0.192 ± 0.027 | 0.020 ± 0.001 | 0.672 ± 0.046 | 0.486 * ± 0.030 | 0.047 ** ± 0.006 | 0.129 ** ± 0.008 | 0.011 ** ± 0.002 | ||
| Immature | 0.664 ± 0.022 | 0.450 ± 0.006 | 0.059 ± 0.004 | 0.142 ± 0.015 | 0.013 ± 0.001 | 0.667 ± 0.053 | 0.482 * ± 0.036 | 0.049 ** ± 0.003 | 0.121 ± 0.010 | 0.016 * ± 0.003 | ||
| Mature | 0.682 ± 0.025 | 0.457 ± 0.005 | 0.064 ± 0.004 | 0.150 ± 0.019 | 0.011 ± 0.001 | 0.674 ± 0.032 | 0.482 * ± 0.016 | 0.049 ** ± 0.004 | 0.133 ± 0.009 | 0.010 ± 0.003 | ||
Appendix B
- ---
- title: “Fraction Modeling”
- author: “Elena Moltchanova”
- date: “22 September 2017”
- ---
- ```{r echo=F}
- # preliminaries
- rm(list=ls())
- library(MASS)
- setwd(“C:/DM/Article/2018/BEF_RUS/”)
- dat <- read.csv(“DB_plot.csv”,header=T)
- # Example of “DB_plot.csv”, which extracted from Schepaschenko et al., 2017
- # ID,SPEC_MOD,AGE,SI,RS,STEM,BRANCHES,FOLIAGE,ROOTS
- #9436,102,50,32.53,1.47,0.365,0.03093,0.01963,0.02519
- # creating species list
- species.list <- levels(dat[,2])
- vars.list <- names(dat)[6:9]
- Nsim <- 10^3
- Bsim <- 10^3
- # preparing the file for results
- write.table(array(c(‘Species’,’Fraction’,’a0′,’a1′,’a2′,’a3′,’a4′,’a5′,
- ‘a0.sd’,’a1.sd’,’a2.sd’,’a3.sd’,’a4.sd’,’a5.sd’),dim=c(1,14)),file=‘logit_bs_coefs_out.txt’,quote=F,
- row.names=F,col.names=F)
- # preparing array for predicted values
- RS.val <- c(.4,.7,1.0)
- SI.val <- t(array(
- c(37.2, 24.4, 11.7,
- 21.7, 13.1, 4.5,
- 25.5, 16.1, 6.8,
- 32.5, 21.4, 10.2),dim=c(3,4)))
- species.SI.grp <-
- (substr(species.list,1,3)==“105”)*1+(substr(species.list,1,3)%in%c(“124”,”126”,”127”))*2+
- (substr(species.list,1,3)%in%c(“125”,”131”))*3
- species.SI.grp[species.SI.grp==0] <- 4
- #table(species.SI.grp,species.list)
- # FITTING LOGISTIC MODEL WITH BOOTSTRAP
- Nsp <- length(species.list)
- for(j in 1:Nsp){
- dat.curr <- dat[dat[,2]==species.list[j],]
- for(k in 1:4){
- dat.curr$Y <- dat.curr[,5+k]
- is.in.Y <- (!is.na(dat.curr$Y))&(!is.na(dat.curr$AGE))&(!is.na(dat.curr$SI))&(!is.na(dat.curr$RS))
- if(sum(is.in.Y)!=0){
- boot.dat.curr <- dat.curr[is.in.Y,]
- plot(boot.dat.curr$AGE,boot.dat.curr$Y,pch=1,lwd=2,ylim=c(0,1),
- xlim=c(0,210),xlab=‘Age’,ylab=‘Fraction’,
- main=paste(‘Species = ‘,species.list[j],’, Variable = ‘, vars.list[k],sep=‘‘))
- co1b <- array(dim=c(Bsim,6))
- for(biter in 1:Bsim){
- bootdat <- boot.dat.curr[sample(1:dim(boot.dat.curr)[1],replace=T),]
- m1b <- lm(log(Y/(1-Y)) ~ log(AGE)+log(SI)+log(RS)+AGE+RS, data=bootdat)
- co1b[biter,] <- m1b$coef
- }
- # estimating the mean from the coefs.
- mn1b <- apply(co1b,2,mean,na.rm=T)
- sd1b <- apply(co1b,2,sd,na.rm=T)
- AGE.val <- seq(10,210,10); n.age <- length(AGE.val)
- Y.mn1b <- Y.lo1b <- Y.hi1b <- array(dim=c(3,3,n.age))
- for(rs.i in 1:3){
- for(si.i in 1:3){
- for(m in 1:n.age){
- Y.sim <- 1/(1+exp(-(co1b[,1]+co1b[,2]*log(AGE.val[m])+
- co1b[,3]*log(SI.val[species.SI.grp[j],si.i])+co1b[,4]*log(RS.val[rs.i])+
- co1b[,5]*AGE.val[m]+co1b[,6]*RS.val[rs.i])))
- Y.mn1b[rs.i,si.i,m] <- mean(Y.sim,na.rm=T)
- Y.lo1b[rs.i,si.i,m] <- quantile(Y.sim,.025,na.rm=T)
- Y.hi1b[rs.i,si.i,m] <- quantile(Y.sim,.975,na.rm=T)
- }}}
- ### adding non-parametric estimates for CI
- # comparing CIs
- par(mfrow=c(1,1))
- plot(AGE.val,Y.mn1b[1,1,],pch=16,ty=‘o’,xlab=‘age’,ylab=expression(F[st]),ylim=c(0,1),
- main=paste(“SI=“,SI.val[species.SI.grp[j],1]))
- polygon(c(AGE.val,AGE.val[n.age:1]),c(Y.lo1b[1,1,],Y.hi1b[1,1,n.age:1]),density=7,
- angle=25,col=‘magenta’,border=‘magenta’)
- lines(AGE.val,Y.mn1b[1,1,],pch=1,ty=‘o’,col=‘magenta’)
- write.table(array(c(species.list[j],vars.list[k],round(mn1b,4),round(sd1b,4)),dim=c(1,14)),
- file=‘logit_bs_coefs_out.txt’,quote=F,
- row.names=F,col.names=F,append=T)
- }}}
- ```
- \newpage
- ## Estimated Coefficients for the Logit-linear model (Bootstrap)
- ```{r echo=F}
- t3 <- read.table(‘logit_bs_coefs_out.txt’,header=T)
- print(t3[,1:7])
- print(t3[,c(1:2,9:14)])
- ```
Acronyms
| A | average stand age, years |
| AGB | aboveground oven-dry live biomass, t ha−1 |
| BCEF | Biomass Conversion and Expansion Factor, t m−3 |
| BEF | biomass expansion factor, dimensionless |
| DBH | average diameter at breast height, cm |
| GSV | growing stock volume, m3 ha−1 |
| ILIS | Integrated Land Information System |
| IPCC | Intergovernmental Panel on Climate Change |
| FAO FRA | Food and Agriculture Organization’s Forest Resource Assessment |
| Mfr | live biomass of fraction fr, t ha−1 |
| Mst | live biomass of stem wood and bark, t ha−1 |
| Mbr | live biomass of tree branches, t ha−1 |
| Mfol | live biomass of tree foliage, t ha−1 |
| Mro | live biomass of stamp and roots, t ha−1 |
| RMSE | root mean squared error |
| R:S | root-to-shoot ratio |
| RS | relative stocking, typically scaled from 0 to 1—ratio of the basal area of a stand to the basal area of a ‘normal’ stand, i.e., a fully stocked ideal stand based on national standards [21,22] |
| SI | site index, which reflects the quality of a site and is expressed by the average height (m) of a mature forest (50 years old for birch and aspen, 160 years old for Siberian pine (Pinus sibirica) and 100 years old for other species); and a0–a5 are model parameters. |
| SFR | Russian State Forest Register |
| UNFCCC | United Nations Framework Convention on Climate Change |
References
- Müller, A.; Weigelt, J.; Götz, A.; Schmidt, O.; Alva, I.L.; Matuschke, I.; Ehling, U.; Beringer, T. The Role of Biomass in the Sustainable Development Goals: A Reality Check and Governance Implications; IAS Working Paper; IASS: Potsdam, Germany, 2015; p. 36. [Google Scholar]
- Santoro, M.; Beaudoin, A.; Beer, C.; Cartus, O.; Fransson, J.E.S.; Hall, R.J.; Pathe, C.; Schmullius, C.; Schepaschenko, D.; Shvidenko, A.; et al. Forest growing stock volume of the northern hemisphere: Spatially explicit estimates for 2010 derived from Envisat ASAR. Remote Sens. Environ. 2015, 168, 316–334. [Google Scholar] [CrossRef]
- Shvidenko, A.Z.; Nilsson, S.; Stolbovoi, V.S.; Gluck, M.; Shchepashchenko, D.G.; Rozhkov, V.A. Aggregated estimation of the basic parameters of biological production and the carbon budget of Russian terrestrial ecosystems: 1. Stocks of plant organic mass. Russ. J. Ecol. 2000, 31, 371–378. [Google Scholar] [CrossRef]
- Shepashenko, D.; Shvidenko, A.; Nilsson, S. Phytomass (live biomass) and carbon of Siberian forests. Biomass Bioenergy 1998, 14, 21–31. [Google Scholar] [CrossRef]
- Shvidenko, A.; Schepaschenko, D.; Nilsson, S.; Bouloui, Y. Semi-empirical models for assessing biological productivity of Northern Eurasian forests. Ecol. Model. 2007, 204, 163–179. [Google Scholar] [CrossRef]
- Song, X.; Hoffman, F.M.; Iversen, C.M.; Yin, Y.; Kumar, J.; Ma, C.; Xu, X. Significant inconsistency of vegetation carbon density in CMIP5 Earth system models against observational data. J. Geophys. Res. Biogeosciences 2017, 122, 2282–2297. [Google Scholar] [CrossRef]
- Chave, J.; Réjou-Méchain, M.; Búrquez, A.; Chidumayo, E.; Colgan, M.S.; Delitti, W.B.C.; Duque, A.; Eid, T.; Fearnside, P.M.; Goodman, R.C.; et al. Improved allometric models to estimate the aboveground biomass of tropical trees. Glob. Chang. Biol. 2014, 20, 3177–3190. [Google Scholar] [CrossRef] [PubMed]
- Usoltsev, V. Single-Tree Biomass Data for Remote Sensing and Ground Measuring of Eurasian Forests. CD-Version in English and Russian; Ural State Forest Engineering University: Yekaterinburg, Russia, 2016; ISBN 978-5-94984-600-1. [Google Scholar]
- Forrester, D.I.; Tachauer, I.H.H.; Annighoefer, P.; Barbeito, I.; Pretzsch, H.; Ruiz-Peinado, R.; Stark, H.; Vacchiano, G.; Zlatanov, T.; Chakraborty, T.; et al. Generalized biomass and leaf area allometric equations for European tree species incorporating stand structure, tree age and climate—ScienceDirect. For. Ecol. Manag. 2017, 396, 160–175. [Google Scholar] [CrossRef]
- Usoltsev, V.A.; Chasovskikh, V.P.; Noritsina, Y.V.; Noritsin, D.V. Allometric Models of Tree Biomass for Airborne Laser Scanning and Ground Inventory of Carbon Pool in the Forests of Eurasia: Comparative Analysis. Sib. J. For. Sci. 2016, 3, 68–76. [Google Scholar] [CrossRef]
- Gordov, E.P.; Bryant, K.; Bulygina, O.N.; Csiszar, I.; Eberle, J.; Fritz, S.; Gerasimov, I.; Gerlach, R.; Hese, S.; Kraxner, F.; et al. Development of Information-Computational Infrastructure for Environmental Research in Siberia as a Baseline Component of the Northern Eurasia Earth Science Partnership Initiative (NEESPI) Studies. In Regional Environmental Changes in Siberia and Their Global Consequences; Springer Environmental Science and Engineering; Springer: New York, NY, USA, 2013; pp. 19–56. ISBN 978-94-007-4569-8. [Google Scholar]
- Intergovernmental Panel on Climate Change (IPCC). Good Practice Guidance for Land Use, Land-Use Change and Forestry; Institute for Global Environmental Strategies: Kanagawa Prefecture, Japan, 2003. [Google Scholar]
- Intergovernmental Panel on Climate Change (IPCC). 2006 IPCC Guidelines for National Greenhouse Gas Inventories; IGES: Hayama, Japan, 2006; ISBN 4-88788-032-4. [Google Scholar]
- Food and Agriculture Organization (FAO). Russian Federation—Global Forest Resources Assessment 2015—Country Report; Global Forest Resources Assessment Country Reports; FAO: Rome, Italy, 2014. [Google Scholar]
- Alexeyev, V.A.; Birdsey, R.A. Carbon Storage in Forests and Peatlands of Russia; General Technical Report NE-244; USDA, Forest Service, Northeast Research Station: Radnor, PA, USA, 1998. [Google Scholar]
- Zamolodchikov, D.G.; Utkin, A.I.; Chestnych, O.V. Biomass conversion and expansion factors for major forest forming species in Russia. For. Mensurat. For. Invent. 2003, 1, 119–127. Available online: http://old.cepl.rssi.ru/publications/pub_lab1/zamolodchikov%2003%20koefficienty%20konversii%20zapasov%20v%20fitomassu.pdf (accessed on 25 May 2018).
- Usoltsev, V.A. Growth and Structure of Forest Live Biomass; Nauka: Novosibirsk, Russia, 1988; ISBN 5-02-028865-9. [Google Scholar]
- Usoltsev, V.A. Forming Databanks about Live Biomass of Forests; Russian Academy of Sciences: Ekaterinburg, Russia, 1998; ISBN 5-7691-0832-0. [Google Scholar]
- Usoltsev, V.A. Forest Biomass of Northern Eurasia: Mensuration Standards and Geography; Ural Branch of RAS: Yekaterinburg, Russia, 2002; ISBN 5-7691-1278-6. [Google Scholar]
- Usoltsev, V.A. Biological Productivity of North Eurasian Forests: Methods, Database and Its Applications; Ural Branch of Russian Academy of Science: Ekaterinburg, Russia, 2007; ISBN 5-7691-1757-5. [Google Scholar]
- Schepaschenko, D.; Shvidenko, A.; Usoltsev, V.; Lakyda, P.; Luo, Y.; Vasylyshyn, R.; Lakyda, I.; Myklush, Y.; See, L.; McCallum, I.; et al. A dataset of forest biomass structure for Eurasia. Sci. Data 2017, 4, 170070. [Google Scholar] [CrossRef] [PubMed]
- Shvidenko, A.Z.; Schepaschenko, D.G.; Nilsson, S.; Buluy, Y.I. Tables and Models of Growth and Productivity of Forests of Major Forest Forming Species of Northern Eurasia. Standard and Reference Materials, 2nd ed.; Federal Agency of Forest Management: Moscow, Russia, 2008.
- R Core Team. R: A Language and Environment for Statistical Computing; R Foundation for Statistical Computing: Vienna, Austria, 2013. [Google Scholar]
- Schepaschenko, D.; McCallum, I.; Shvidenko, A.; Fritz, S.; Kraxner, F.; Obersteiner, M. A new hybrid land cover dataset for Russia: A methodology for integrating statistics, remote sensing and in situ information. J. Land Use Sci. 2011, 6, 245–259. [Google Scholar] [CrossRef]
- Schepaschenko, D.; Shvidenko, A.Z.; Lesiv, M.Y.; Ontikov, P.V.; Shchepashchenko, M.V.; Kraxner, F. Estimation of forest area and its dynamics in Russia based on synthesis of remote sensing products. Contemp. Probl. Ecol. 2015, 8, 811–817. [Google Scholar] [CrossRef]
- See, L.; Fritz, S.; Perger, C.; Schill, C.; McCallum, I.; Schepaschenko, D.; Duerauer, M.; Sturn, T.; Karner, M.; Kraxner, F.; et al. Harnessing the power of volunteers, the internet and Google Earth to collect and validate global spatial information using Geo-Wiki. Technol. Forecast. Soc. Chang. 2015, 98, 324–335. [Google Scholar] [CrossRef]
- Shvidenko, A.; Schepaschenko, D.; McCallum, I.; Nilsson, S. Russian Forests and Forestry. Available online: http://www.iiasa.ac.at/Research/FOR/forest_cdrom (accessed on 25 May 2018).
- Nakhutin, A.I.; Gitarskii, M.L.; Romanovskaya, A.A.; Ginzburg, V.A.; Govor, I.L.; Grabar, V.A.; Imshennik, E.V.; Karaban’, R.T.; Korotkov, V.N.; Uvarova, N.E.; et al. National Report on the Cadastre of Anthropogenic Emissions from Sources and Absorptions by Sinks of Greenhouse Gases of Russian Federation Not Regulated by Montreal Protocol for 1990–2015; Institute of Global Climate and Ecology of the Federal Service for Hydrometeorology and Environmental Monitoring and the Russian Academy of Sciences: Moscow, Russia, 2017; p. 471.
- Guideline for Quantification of Greenhouse Gas Absorption; Ministry of Natural Resources and Environment of the Russian Federation: Moscow, Russia, 2017.
- Mokany, K.; Raison, R.J.; Prokushkin, A.S. Critical analysis of root: Shoot ratios in terrestrial biomes. Glob. Chang. Biol. 2006, 12, 84–96. [Google Scholar] [CrossRef]
- Santoro, M.; Beer, C.; Cartus, O.; Schmullius, C.; Shvidenko, A.; McCallum, I.; Wegmüller, U.; Wiesmann, A. Retrieval of growing stock volume in boreal forest using hyper-temporal series of Envisat ASAR ScanSAR backscatter measurements. Remote Sens. Environ. 2011, 115, 490–507. [Google Scholar] [CrossRef]






| Species | Region/Zone | BCEF Stem | BCEF Branches | BCEF Foliage | BCEF Roots | BCEF | BEF | R:S |
|---|---|---|---|---|---|---|---|---|
| Pine | European middle taiga | 2.4 | 7.7 | 6.3 | 7.9 | 1.4 | −0.9 | 7.7 |
| Pine | European southern taiga | 3.0 | 23.7 | 11.5 | 10.6 | −4.4 | −1.1 | 13.6 |
| Pine | European forest steppe | 2.0 | 17.3 | 14.8 | 4.9 | 4.2 | −1.5 | 0.1 |
| Pine | Siberian middle taiga | 1.3 | 10.5 | 12.0 | 8.4 | −5.5 | −0.9 | −19.0 |
| Pine | Siberian southern taiga | 2.1 | 8.9 | 6.5 | 12.7 | 1.7 | −0.6 | 12.7 |
| Pine | Siberian forest steppe | 2.3 | 10.7 | 10.7 | 12.3 | 1.2 | −0.3 | 9.9 |
| Spruce | 2.2 | 14.7 | 18.4 | 10.6 | 0.5 | −1.1 | 10.9 | |
| Fir | 1.3 | 6.5 | 13.7 | 7.6 | 5.2 | −1.2 | 5.0 | |
| Larch | middle taiga | 2.3 | 17.1 | 25.8 | 20.9 | −4.3 | −1.1 | 10.5 |
| Larch | southern taiga | 2.6 | 10.0 | 16.1 | 10.4 | 3.2 | −1.2 | 1.8 |
| Pinus sibirica | 2.4 | 17.5 | 12.5 | 3.2 | 2.2 | −0.9 | 1.4 | |
| Oak | 3.6 | 24.6 | 11.3 | 19.4 | 5.3 | −1.3 | 22.6 | |
| Beech | 2.2 | 15.0 | 5.2 | 8.7 | 2.5 | −1.8 | 4.4 | |
| Hornbeam | 1.1 | 30.7 | 16.2 | 19.2 | −8.8 | 0.4 | −18.2 | |
| Ash | 1.1 | 50.0 | 27.6 | 19.2 | −16.0 | −1.5 | −26.5 | |
| Birch | European Russia | 1.4 | 11.3 | 22.4 | 6.7 | −1.7 | −1.2 | 7.2 |
| Birch | Siberia | 2.1 | 9.1 | 15.8 | 8.1 | −0.5 | −1.0 | −12.9 |
| Aspen | European Russia | 1.8 | 14.5 | 13.4 | 8.7 | −0.8 | −0.3 | 8.4 |
| Aspen | Siberia | 2.2 | 8.5 | 5.2 | 12.1 | 6.8 | −0.6 | 40.8 |
| Grey alder | 1.8 | 12.5 | 15.7 | 4.7 | 5.9 | −0.1 | −1.3 | |
| Black alder | 0.7 | 14.2 | 12.0 | 4.8 | −8.1 | −0.7 | 16.8 | |
| Linden | 0.8 | 10.7 | 6.6 | 20.3 | 6.2 | −0.5 | 107.2 | |
| Poplar | 2.2 | 25.0 | 34.8 | 0.5 | 6.7 | 2.0 | −4.4 | |
| Total | SFR Russia | 2.1 | 14.1 | 17.1 | 13.4 | −0.6 | −1.0 | 11.6 |
| Zone | Forest Type | IPCC Default: Average BEF (Min–Max) | Estimates of This Study: Average BEF ±SD (Min–Max) |
|---|---|---|---|
| Boreal | conifers | 1.35 * (1.15–3.80) | 1.21 ± 0.003 (1.08–2.59) |
| broadleaf | 1.3 * (1.15–4.20) | 1.21 ± 0.006 (1.07–2.87) | |
| Temperate | conifers | 1.3 * (1.15–4.20) | 1.23 ± 0.005 (1.08–2.51) |
| broadleaf | 1.4 * (1.15–3.20) | 1.23 ± 0.007 (1.07–1.70) |
| Forest Type | Growing Stock Level (m3 ha−1) | |||||||||
|---|---|---|---|---|---|---|---|---|---|---|
| <20 | 21–50 | 51–100 | >100 | >200 | ||||||
| IPCC | This Study ± SD | IPCC | This Study ± SD | IPCC | This Study ± SD | IPCC | This Study ± SD | IPCC | This Study ± SD | |
| Boreal: | ||||||||||
| pine | 1.20 * | 0.78 ± 0.04 | 0.68 ** | 0.74 ± 0.02 | 0.57 ** | 0.62 ± 0.01 | 0.50 ** | 0.53 ± 0.01 | - | - |
| larch | 1.22 * | 0.81 ± 0.05 | 0.78 * | 0.68 ± 0.01 | 0.77 * | 0.65 ± 0.01 | 0.77 * | 0.64 ± 0.01 | - | - |
| fir and spruce | 1.16 * | 0.82 ± 0.02 | 0.66 ** | 0.77 ± 0.01 | 0.58 ** | 0.62 ± 0.01 | 0.53 | 0.53 ± 0.01 | - | - |
| hard wood | 0.90 * | 0.76 ± 0.02 | 0.70 | 0.69 ± 0.01 | 0.62 ** | 0.68 ± 0.01 | 0.55 ** | 0.61 ± 0.01 | - | - |
| Temperate: | ||||||||||
| hard wood | 3.00 * | 0.74 ± 0.01 | 1.70 * | 0.71 ± 0.01 | 1.40 * | 0.70 ± 0.01 | 1.05 * | 0.66 ± 0.01 | 0.80 * | 0.65 ± 0.01 |
| pine | 1.80 * | 0.86 ± 0.01 | 1.00 * | 0.80 ± 0.02 | 0.75 | 0.71 ± 0.01 | 0.70 * | 0.58 ± 0.01 | 0.70 * | 0.52 ± 0.01 |
| other conifers | 3.00 * | 0.79 ± 0.01 | 1.40 * | 0.77 ± 0.01 | 1.00 * | 0.70 ± 0.01 | 0.75 * | 0.54 ± 0.01 | 0.70 * | 0.49 ± 0.01 |
| Species | BEF | BCEF (t m−3) | R:S | |||
|---|---|---|---|---|---|---|
| FRA | This Study ± SD | FRA | This Study ± SD | FRA | This Study ± SD | |
| Pine | 1.37 * | 1.205 ± 0.004 | 0.58 * | 0.541 ± 0.004 | 0.30 * | 0.191 ± 0.005 |
| Spruce | 1.43 * | 1.298 ± 0.006 | 0.57 | 0.559 ± 0.005 | 0.25 ** | 0.321 ± 0.012 |
| Fir | 1.35 * | 1.274 ± 0.006 | 0.54 * | 0.469 ± 0.005 | 0.20 | 0.178 ± 0.022 |
| Larch | 1.48 * | 1.161 ± 0.007 | 0.77 * | 0.640 ± 0.008 | 0.25 ** | 0.396 ± 0.039 |
| Pine Siberian | 1.46 * | 1.236 ± 0.013 | 0.51 ** | 0.538 ± 0.012 | 0.25 | 0.235 ± 0.020 |
| Oak | 1.40 * | 1.289 ± 0.014 | 0.81 | 0.783 ± 0.012 | 0.30 | 0.292 ± 0.025 |
| Beech | 1.35 | 1.263 ± 0.036 | 0.78 | 0.785 ± 0.026 | 0.30 * | 0.213 ± 0.026 |
| Birch | 1.30 * | 1.201 ± 0.006 | 0.66 * | 0.636 ± 0.005 | 0.20 ** | 0.256 ± 0.011 |
| Aspen | 1.32 * | 1.208 ± 0.018 | 0.53 | 0.528 ± 0.016 | 0.20 ** | 0.300 ± 0.037 |
| Linden (Tilia spp.) | 1.35 * | 1.185 ± 0.005 | 0.47 ** | 0.536 ± 0.004 | 0.20 ** | 0.376 ± 0.080 |
| Total | 1.41 * | 1.214 ± 0.009 | 0.63 * | 0.590 ± 0.008 | 0.25 | 0.288 ± 0.025 |
| Vegetation Type | Shoot Biomass t/ha | R:S ± SD [30], IPCC 2006 [13] | IPCC, 2003 | This Study |
|---|---|---|---|---|
| Boreal forest | <75 | 0.392 * ± 0.059 | - | 0.344 ± 0.021 |
| >75 | 0.239 ± 0.015 | - | 0.268 ± 0.009 | |
| Temperate conifer forest | <50 | 0.403 * ± 0.037 | 0.46 * | 0.200 ± 0.011 |
| 50–150 | 0.292 * ± 0.017 | 0.32 * | 0.225 ± 0.007 | |
| >150 | 0.201 ± 0.030 | 0.23 * | 0.184 ± 0.006 | |
| Temperate oak forest | >70 | 0.295 ± 0.066 | 0.35 * | 0.285 ± 0.023 |
| Other temperate broadleaf forest | <50 | 0.456 * ± 0.062 | 0.43 | 0.390 ± 0.026 |
| 50–150 | 0.226 ** ± 0.020 | 0.26 | 0.301 ± 0.018 | |
| >150 | 0.241 ± 0.025 | 0.24 | 0.234 ± 0.017 |
© 2018 by the authors. Licensee MDPI, Basel, Switzerland. This article is an open access article distributed under the terms and conditions of the Creative Commons Attribution (CC BY) license (http://creativecommons.org/licenses/by/4.0/).
Share and Cite
Schepaschenko, D.; Moltchanova, E.; Shvidenko, A.; Blyshchyk, V.; Dmitriev, E.; Martynenko, O.; See, L.; Kraxner, F. Improved Estimates of Biomass Expansion Factors for Russian Forests. Forests 2018, 9, 312. https://doi.org/10.3390/f9060312
Schepaschenko D, Moltchanova E, Shvidenko A, Blyshchyk V, Dmitriev E, Martynenko O, See L, Kraxner F. Improved Estimates of Biomass Expansion Factors for Russian Forests. Forests. 2018; 9(6):312. https://doi.org/10.3390/f9060312
Chicago/Turabian StyleSchepaschenko, Dmitry, Elena Moltchanova, Anatoly Shvidenko, Volodymyr Blyshchyk, Egor Dmitriev, Olga Martynenko, Linda See, and Florian Kraxner. 2018. "Improved Estimates of Biomass Expansion Factors for Russian Forests" Forests 9, no. 6: 312. https://doi.org/10.3390/f9060312
APA StyleSchepaschenko, D., Moltchanova, E., Shvidenko, A., Blyshchyk, V., Dmitriev, E., Martynenko, O., See, L., & Kraxner, F. (2018). Improved Estimates of Biomass Expansion Factors for Russian Forests. Forests, 9(6), 312. https://doi.org/10.3390/f9060312

