Abstract
Dry forests are important sources of biodiversity where lianas are highly abundant given their ability to grow during times of drought and as a result of secondary growth processes. Lianas provide food and shelter for fauna such as birds, but there are no studies assessing the influence of liana abundance on birds in dry forests. Here we evaluate the influence of liana abundance on the avian acoustic community in the dry forests of Costa Rica at Santa Rosa National Park. We selected forest sites with different levels of liana abundance and set up automated sound recorders for data collection, analysis and estimation of the avian acoustic community. When the number of lianas increases, the avian acoustic community becomes more complex. Lianas could provide important direct and indirect resources for birds such as structure for shelter, protection, nesting and roosting, and food. The positive relationship that lianas have with birds is particularly important in dry forests where lianas are becoming highly abundant due to the level of forest disturbance and climate change, especially for some bird species that are restricted to this ecosystem. By validating the number of bird species detected in the recordings with the acoustic complexity index, we found that a higher acoustic complexity means higher species richness.
1. Introduction
Tropical dry forests (TDFs) are considered important sources of biodiversity and species richness given the wide variety of plant and animal species that have adapted to the unique habitats found exclusively in TDFs [1]. Lianas are a structural group of plants that have received growing attention for their role in community structure and ecosystem functioning and are considered a key component in TDFs [2]. Lianas are defined as climbing plants that produce woody tissue and germinate on the ground. Eventually, these vines lose their ability to support their weight and subsequently rely on external supports, such as trees, to aid their ascent to the forest canopy [3]. As such, they are considered non-structural elements of a given forest. Unlike other plants that slow their growth during the dry season to preserve water, lianas have the competitive advantage of growing during times of drought due to an efficient vascular structure and resource allocation; as a result, liana abundance is often higher in TDFs than other tropical forests [4]. In disturbed forests, an increase in liana abundance and biomass can help to restore the light environment, microclimatic conditions and vegetation structure, creating similar habitat characteristics to the forest interior and, therefore, reducing the effects of forest fragmentation on birds [5].
Lianas provide important resources for fauna, particularly for birds, such as direct resources (e.g., fruit or nectar) or indirect (e.g., sheltering, nesting sites, and arthropods for feeding) [6]. Fruits and floral nectar are the main direct food resources birds obtain from lianas; however, only 25% of liana species in the Neotropics have fleshy fruits, thus, birds are not very dependent on lianas [6]. Floral nectar is particularly important for some bird species like hummingbirds, parrots, honeyeaters, and warblers [7]. As for indirect food sources, arthropods are the most frequent food birds obtain from lianas [5]. Consequently, liana abundance has an influence on avian abundance and species richness. For example, it has been observed in rainforests recovering from logging that the liana abundance was positively correlated with the general bird species richness and negatively correlated with the presence and abundance of specific bird species [8]. Others have found that natural tree-fall gaps with dense lianas had greater total bird species richness than anthropogenic gaps with vine-cutting [9]. Although lianas are key components of TDFs due to their abundance and biomass, there are no studies evaluating the influence of lianas on fauna for TDFs [10].
Fauna species presence and activity can be evaluated using acoustics for those species that communicate using sounds [11,12]. Acoustic tools include both sound recording in the field and sound recording analysis techniques [12,13,14]. Regarding sound analysis, there are several different acoustic indices that are currently used for different purposes [13]. Amongst them are studies using indices for monitoring fauna presence, behavior and activity, as well as indices to evaluate acoustic richness, diversity and complexity [11,15,16,17,18,19,20]. The Acoustic Complexity Index (ACI) is a tool that has been used as a general estimator of sound complexity and birds’ acoustic complexity [15,16], as an indicator of ecosystems health based on sounds [21], and as an indicator of changes in avian communities [15]. The ACI calculates the average of differences in sound pressure level between frequency bins and temporal steps in a spectrogram and uses sound intensities rather than spectral features in a spectrogram [16]. Analysis of spectral features can give an underestimation of differences between frequency bins when two or more fauna sounds overlap in the same bin. This issue is addressed properly with the ACI by measuring intensities instead of spectral features, which lowers the likelihood of finding two different organisms with the same sound intensity in the same frequency bin during the recording analysis. ACI has demonstrated to be a reliable index to estimate avian communities [15,16]; however, this is a recently developed index, that has not been widely used in the tropics.
In this study, we assessed the relationship of liana abundance on the avian acoustic community of a TDF in Costa Rica. We selected eight intermediate forest sites on different levels of liana abundance and evaluated the acoustic complexity as an estimator of the avian acoustic community. We modeled the relationship of liana abundance and forest biophysical properties such as tree basal area (BA), Plant Area Index (PAI), and canopy height (CH) on the avian acoustic community. Since lianas provide important resources for birds, we hypothesized that liana abundance will influence the avian acoustic community in TDFs. We predicted that an increase in liana abundance will correspond with a more complex avian acoustic community for the TDF analyzed in this study.
2. Materials and Methods
2.1. Study Site and Experimental Design
This study was conducted at the Santa Rosa National Park (SRNP), Guanacaste, Costa Rica (10°48′53″ N, 85°36′54″ W) (Figure 1) [22]. This area is characterized by a dry season of six months and an annual range of precipitation from 900 to 2500 mm/year [23]. The SRNP land cover is a mixture of forest successional stages that recovered from cattle ranching and pasture areas in the past [24,25,26]. These successional stages are very heterogeneous and contain a high diversity of habitats and biotic communities [27,28].
Figure 1.
Location of the eight intermediate dry forest stages where radial plots were established at Santa Rosa National Park, Guanacaste, Costa Rica (modified from [29]).
TDF successional stages were established based on their vegetation structure and tree species composition for individuals above 5 cm of diameter at breast height (DBH) according to Kalácska et al. [26]. We set up eight radial plots of 40 m diameter across the intermediate TDF successional stage (radial plot total area = 1257 m2). This stage has suitable forest biophysical properties like vertical forest structure to support liana coverage [30] and lianas can be observed throughout this successional stage at SRNP (Figure 2). We counted the number of lianas above 5 cm of DBH in each radial plot and we standardized this by dividing the total number of lianas by the total number of trees with diameters at breast height (DBH) of 10 cm and above (Figure 2). The minimum distance between radial plots was 150 m and the maximum 3000 m (Figure 1).
Figure 2.
Intermediate forest sites with few lianas (a) and forest sites with plenty of lianas (b).
2.2. Forest Biophysical Properties
In each radial plot, we measured the DBH for trees with a diameter greater than 10 cm and use this information to calculate the tree basal area (BA). Tree BA was obtained by adding the DBH of all the trees located in each radial plot and dividing this by the radial plot area (total area = 1257 m2). Plant Area Index (PAI) was measured using a series of hemispherical photos taken in each radial plot. We drew a cross inside each radial plot and took a hemispherical photo at the cross center and 10 m away in the four cardinal directions to have a total of five photos per plot. Photos were captured at a height of 1.5 m using a fish-eye lens on a Nikon CoolPix 995 camera. The HPA Software program [31] was used to calculate the PAI by determining the amount of vegetation, wood presence and leaf angle position in each hemispherical photograph. Since PAI is affected by sunlight angle, hemispherical photos were taken early in the morning and late in the afternoon to avoid the direct sunlight effect at the solar zenith [32]. Lastly, canopy height (CH) was measured by taking the average of the three tallest trees’ heights inside each radial plot using a hand-held Blueskysea 600 M waterproof laser rangefinder.
2.3. The Avian Acoustic Community
A SM3 Songmeter automated sound recorder was deployed in the center of each radial plot between late July and early August 2014 [33]. In order to avoid sound overlap between plots, we established 150 m as the minimum distance between recorders. Sound was recorded using a “wav” file format at 16 bits per file, a minimum noise gain of −88 decibels (dB) and a sampling rate of 19.2 kHz. Three 15 min length recording sections from dawn (06:00–07:30) and three 15 min sections from dusk (16:00–17:30) were selected for each of the five days for the recording period (i.e., 450 min per forest site) because these are the hours with higher acoustic activity for birds in SRNP.
The avian acoustic communities for the forest sites were obtained performing Acoustic Complexity Indices (ACI) [16] on recordings using the Soundecology package in R (version 3.3.2, R-Core-Team, Vienna, Austria) [34,35]. ACI has been correlated with the number of vocalizations produced by bird communities [15,16,36]. ACI quantifies sound complexity from recordings based on the variability of the sound intensities present [16]. It calculates the relative difference between two adjacent values of intensity in a single frequency bin and then adds together all differences included in that frequency bin (Figure 3a). Finally, it adds the differences for all the frequency bins to obtain a total ACI value for a recording [16]. We performed ACI using frequency bands from 0 to 10,000 Hz in our recordings and we set an amplitude default threshold of −50 dB relative to full scale (dBFS). Since strong wind (39 km/h) and rainfall above −50 dB cover most of the frequency bands in spectrograms (Figure 3b), we selected recordings with less than 15% of wind in the whole recording file for the ACI analyses. Due to this, we performed ACI analyses on 2360 min recorded in total for the forest sites evaluated. Using Songscope software (Wildlife Acoustics Inc., Maynard, MA, USA) [33], we corroborated the ACI values by clipping off the first minute of ten 15 min long recordings per forest site, performing ACI analysis on them and finally listening to this minute to determine the total number of bird species present. Our goal is to determine if ACI can be used for more than an indicator of acoustic activity by additionally estimating bird species richness in TDFs.
Figure 3.
Spectrogram showing the frequency bins used by the acoustic complexity index (ACI) for the analysis (a), and spectrogram showing strong wind (39 km/h) covering all frequency bands (b).
2.4. Statistical Analysis
We evaluated the relationship between ACI values and forest biophysical properties (e.g., BA, PAI and CH) and the number of lianas by using Generalized Linear Models (GLM). The Akaike’s Information criterion was also used with a small sample size correction (AICc) and the AIC weights to select the best model [37,38,39]. A Linear Model was used to evaluate the relationship between the ACI values and the total number of bird species listened to in the first minute of ten recordings per forest site. Site was set as a factor for this analysis, and all the analyses were performed in R (version 3.3.2) [35].
3. Results
3.1. The Avian Acoustic Community Relationship with Liana Abundance and Forest Biophysical Properties
The number of lianas present in the tropical dry forests evaluated ranged from 9 to 40 lianas per forest (mean = 20 lianas/plot). The mean ACI observed for the forest sites evaluated was 1831.85, with a minimum ACI value of 1784.21 and a maximum of 1970.46. The best model explaining variation in ACI for dry forests included the number of lianas as a variable (Table 1 and Figure 4). The number of lianas explains 60% of the variation when performing a Linear Regression analysis (F(1, 6) = 11.44, p = 0.015) (Figure 4). Other models that explain variation in ACI include the number of lianas combined with CH, BA and PAI, respectively; however, each model has an AICc weight lower than 10%. (Table 1).
Table 1.
General Linear Models of ACI related to liana abundance and forest biophysical properties (BA = tree basal area, CH = canopy height, and PAI = plant area index). Models are ranked using Akaike’s Information Criterion for a small sample size correction (AICc). ΔAICc = delta AIC, AICcw = Akaike weights, NULL = ACI model without any parameter, K = number of parameters used in each model.
Figure 4.
The relationship between the standardized number of lianas and the ACI values for different forest plots generated from the best model based on AICc values. The number of lianas explains 60% of the variation in ACI (F(1, 6) = 11.44, p = 0.015).
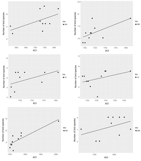
3.2. Acoustic Complexity Index as an Estimator of Bird Species Richness
We observed a positive relationship between the number of bird species detected in the first minute of the ten recordings per forest site and the ACI values (F8,71 = 6.383, p < 0.0001, R2adj = 0.353) (Figure 5); this means that when we obtained higher values of ACI, we listened to more species of birds. We observed a positive trend between the number of lianas and the bird species richness detected from recordings (Figure 6); however, this relationship was not significant (F(1, 6) = 4.294, p = 0.083, R2adj = 0.32). Some of the bird species recognized in the recordings included Thicket Tinamou, Crested Guan, Roadside Hawk, Common Ground Dove, Orange-fronted Parakeet, Yellow-naped Amazon, Elegant Trogon, Barred Antshrike, Northern Bentbill, Long-tailed Manakin, Yellow-green Vireo, White-throated Magpie-Jay, Rufous-and-white Wren, Banded Wren, Plain Wren, Long-billed Gnatwren, Blue-crowned Motmot, and Scrub Euphonia.

Figure 5.
The relationship between the ACI values and the number of bird species detected in the first minute of ten recordings per forest site.
Figure 6.
The relationship between the standardized number of lianas and bird species richness detected form recordings (F(1, 6) = 4.294, p = 0.083, R2adj = 0.32).
4. Discussion and Conclusions
4.1. The Avian Acoustic Community Relationship with Liana Abundance and Forest Biophysical Properties
TDFs at SRNP have recovered from severe anthropogenic disturbance in the past, and high disturbance is key for the colonization and establishment of lianas [5]. In our study, we observed a broad spectrum in the number of lianas found in the intermediate forest sites. This finding allowed us to evaluate the avian acoustic community along a gradient of liana abundance.
Lianas abundance was positively related to the acoustic activity of TDF birds in our study, where an increase in liana abundance resulted in a more complex acoustic community as contrasted by forest sites with fewer lianas and a less complex acoustic community. This finding suggests that lianas may provide important resources for birds. To refer back to the concept of direct resources as previously mentioned, we considered that lianas provide birds with structure for shelter in TDFs. The tangled stems that shape this shelter likely protect the birds from the sight and easy capture of predators during both the day and night. The same principle would work well for the use of lianas as a structure for nesting and roosting [5], and there are reports of wrens in Costa Rica using lianas as dormitory sites [40]. Lianas could provide direct food such as fruits and flower nectar; however, this is not a reasonable explanation since this study was carried out during the wet season for SRNP where the trees have no flowers or fruits.
When the indirect resources offered by lianas are considered, it is apparent that lianas provide an important source of food, such as arthropods that inhabit and/or use lianas. Research on seasonal forests in Panama has shown that the presence of lianas increases local arthropod diversity in canopies [41]. In these seasonal forests, about 150 species of beetles were associated with lianas and trees [42], the abundance and diversity of hemipterans increased with the number of vines [43], and ant species richness declined by 22% when lianas were removed from forests in an experiment [41]. Arthropods use lianas mostly as shelter, as a source of food, and as physical connectivity to move through and between vegetation [5,41]. We believe that arthropods can be a significant indirect food source for birds at SRNP since they are highly diverse and abundant (e.g., 13,000 species estimated) [44]. In addition, a literature review gathered information for 457 bird species in the tropics and found that 150 species are using arthropods from lianas as their main food source [6]. Variation in the avian acoustic community was also explained by the combination of each of the forests biophysical properties (i.e., tree BA, CH and PAI) with the number of lianas. By selecting TDFs from the intermediate stage, we wanted to control for the forest biophysical properties that were similar among forest sites. This allowed us to set a range in liana abundance that could be used to assess their relationship with the avian community. These models’ weights were very low in comparison with the model that includes only the number of lianas, suggesting that the forest biophysical properties had a low influence explaining the acoustic community.
Past research has shown the negative effect of liana abundance on tropical canopy trees reproduction. Not only do lianas affect the tree community composition, but they could also affect the fauna species composition [45]. However, in our study we observed a positive relationship where birds may not use lianas as a direct food source but as an indirect food and structural source. This finding supports our prediction that as liana abundance increases in tropical dry forests, the avian acoustic community becomes more complex. Moreover, birds have a key role in TDFs as flower-pollinators and seed dispersal agents [46], and they are particularly important in SRNP since they are the main living seed dispersal agent [28]. This close relationship between lianas and birds appears to be key in TDFs where lianas are becoming more abundant due to the level of forest disturbance [5] and where some bird species are endangered and restricted to this ecosystem [1].
4.2. Acoustic Complexity Index as an Estimator of Bird Species Richness
The positive relationship between the number of bird species detected in recordings and the ACI validated that dry forests with higher ACI values have higher bird species richness. Few studies have successfully validated ACI, including one that was carried out in the boreal forests of Alaska where the ecosystem is less complex than those found in tropical forests [21]. This study found a significant relationship between the presence of three bird species on the recordings and ACI, highlighting the use of this index as an indicator of healthy forests. Other studies that were carried out in coral reefs showed a positive relationship between ACI and fish species [47], highlighting that both ACI and fish species are more complex in coral reefs inside marine protected areas [47]. Our study was carried out in TDFs that foster a higher biodiversity than boreal and coral reefs [48], and thus, this validation represents a more challenging process due to a more complex acoustic community [49]. To our knowledge, there are no studies validating ACI or using this index to estimate species richness in tropical forests. Our findings show that ACI could be used as a reliable metric to estimate bird species richness in TDFs, which have a complex forest structure, and a high flora and fauna species composition and diversity [48]. We observed that as the number of lianas increase in the forest evaluated so does the ACI, and that ACI is positively related with the bird species richness. Based on this, we tested whether the number of lianas influences the bird species richness, and we observed a positive trend between them. Although this trend was not significant, it was close to the significant level of rejection (p = 0.083), so we cannot conclude confidently that the number of lianas is not influencing the bird species richness at SRNP. A significant positive relationship between lianas increase and bird species richness was observed in tropical rain forests in Borneo, but this study was carried out in selectively logged forests which have been under different disturbances than the forests evaluated in our study [8]. Finally, we observed that bird species richness is supporting the avian acoustic community at SRNP, and since the acoustic community is obtained through ACI, we suggest a pre-processing effort on selecting recordings that have a low effect from wind and rain and to also validate ACI and bird species richness when the study goal is using the avian acoustic community as a representation of the real bird species richness.
Acknowledgments
We thank Natalie V. Sánchez for her comments on the manuscript and guidance with the statistical analysis. We thank Carlos Campos-Vargas for his comments on an earlier version of the manuscript. We thank Chrystyn Skinner, Sofía Calvo-Rodríguez, and Nikhil D’Souza from the Earth and Atmospheric Sciences Department at the University of Alberta for their assistance in the field. We thank the personnel from Santa Rosa National Park, Tecnológico de Costa Rica (TEC), and the University of Alberta for logistical support. We thank two anonymous reviewers and the Editor for their valuable feedback to improve the manuscript. Funding was provided by the National Science and Engineering Research Council of Canada (NSERC). This work was part of the research project TROPI-DRY (Human, Ecological and Biophysical Dimension on Tropical Dry Forest), which is a collaborative research network funded by the Inter-American Institute for Global Change Research (IAI) Collaborative Research Network Program (CRN3-025), and supported by the US National Science Foundation (grant GEO 0452325). BH thanks Ministerio de Ciencia, Tecnología y Telecomunicaciones (MICITT) Costa Rica, and Consejo Nacional para Investigaciones Científicas y Tecnológicas (CONICIT) Costa Rica for their support.
Author Contributions
B.H., S.S. and A.S.A. designed the experiments; S.S. performed the field experiments with help from B.H. and A.S.A.; B.H. and S.S. analyzed the data; B.H. wrote the manuscript with significant input and editing from S.S. and A.S.A.
Conflicts of Interest
The authors declare no conflict of interest.
References
- Gillespie, T.W.; Grijalva, A.; Farris, C.N. Diversity, composition, and structure of tropical dry forests in Central America. Plant Ecol. 2000, 147, 37–47. [Google Scholar] [CrossRef]
- Sánchez-Azofeifa, G.A.; Castro-Esau, K. Canopy observations on the hyperspectral properties of a community of tropical dry forest lianas and their host trees. Int. J. Remote Sens. 2006, 27, 2101–2109. [Google Scholar] [CrossRef]
- Gerwing, J.J. The influence of reproductive traits on liana abundance 10 years after conventional and reduced-impacts logging in the eastern Brazilian Amazon. For. Ecol. Manag. 2006, 221, 83–90. [Google Scholar] [CrossRef]
- Schnitzer, S.A. A mechanistic explanation for global patterns of liana abundance and distribution. Am. Nat. 2005, 166, 262–276. [Google Scholar] [CrossRef] [PubMed]
- Michel, N.L.; Robinson, W.D.; Sherry, T.W. Liana-bird relationships: A review. In Ecology of Lianas; Schnitzer, S., Bongers, F., Burnham, R.J., Putz, F.E., Eds.; John Wiley & Sons: Chichester, UK, 2014; pp. 362–397. [Google Scholar]
- Muller-Landau, H.C.; Hardesty, B.D. Seed dispersal of woody plants in tropical forests: Concepts, examples and future directions. In Biotic Interactions in the Tropics: Their Role in the Maintenance of Species Diversity; Burslem, D., Pinard, M., Hartley, S., Eds.; Cambridge University Press: Cambridge, UK, 2005; pp. 267–309. [Google Scholar]
- Fleming, T.H.; Muchhala, N.; Ornelas, J.F. New World nectar-feeding vertebrates: Community patterns and processes. In Contribuciones Mastozoológicas en Homenaje a Bernardo Villa; Sánchez-Cordero, V., Medellín, R.A., Eds.; Institutos de Biología y Ecología, UNAM, and CONABIO: Mexico City, Mexico, 2005; pp. 163–186. [Google Scholar]
- Ansell, F.A.; Edwards, D.P.; Hamer, K.C. Rehabilitation of Logged Rain Forests: Avifaunal Composition, Habitat Structure, and Implications for Biodiversity-Friendly REDD+. Biotropica 2011, 43, 504–511. [Google Scholar] [CrossRef]
- Felton, A.; Wood, J.T.; Felton, A.M.; Lindenmayer, D.B.; Hennessey, B.A. A comparison of bird communities in the anthropogenic and natural-tree fall gaps of a reduced-impact logged subtropical forest in Bolivia. Bird Conserv. Int. 2008, 18, 129–143. [Google Scholar] [CrossRef]
- Robinson, W.D.; Robinson, W.D. Changes in abundance of birds in a Neotropical forest fragment over 25 years: A review. Anim. Biodivers. Conserv. 2001, 24, 51–65. [Google Scholar]
- Sueur, J.; Pavoine, S.; Hamerlynck, O.; Duvail, S. Rapid acoustic survey for biodiversity appraisal. PLoS ONE 2008, 3, e4065. [Google Scholar] [CrossRef] [PubMed]
- Aide, T.M.; Corrada-Bravo, C.; Campos-Cerqueira, M.; Milan, C.; Vega, G.; Alvarez, R. Real-time bioacoustics monitoring and automated species identification. PeerJ 2013, e103. [Google Scholar] [CrossRef] [PubMed]
- Sueur, J.; Farina, A.; Gasc, A.; Pieretti, N.; Pavoine, S. Acoustic indices for biodiversity assessment and landscape investigation. Acta Acust. Acust. 2014, 100, 772–781. [Google Scholar] [CrossRef]
- Towsey, M.; Wimmer, J.; Williamson, I.; Roe, P. The use of acoustic indices to determine avian species richness in audio-recordings of the environment. Ecol. Inform. 2014, 21, 110–119. [Google Scholar] [CrossRef]
- Farina, A.; Pieretti, N.; Piccioli, L. The soundscape methodology for long-term bird monitoring: A Mediterranean Europe case-study. Ecol. Inform. 2011, 6, 354–363. [Google Scholar] [CrossRef]
- Pieretti, N.; Farina, A.; Morri, D. A new methodology to infer the singing activity of an avian community: The Acoustic Complexity Index (ACI). Ecol. Indic. 2011, 11, 868–873. [Google Scholar] [CrossRef]
- Depraetere, M.; Pavoine, S.; Jiguet, F.; Gasc, A.; Duvail, S.; Sueur, J. Author’s personal copy Monitoring animal diversity using acoustic indices: Implementation in a temperate woodland. Ecol. Indic. 2012, 13, 46–54. [Google Scholar] [CrossRef]
- Pieretti, N.; Farina, A. Application of a recently introduced index for acoustic complexity to an avian soundscape with traffic noise. J. Acoust. Soc. Am. 2013, 134, 891–900. [Google Scholar] [CrossRef] [PubMed]
- Gasc, A.; Sueur, J.; Jiguet, F.; Devictor, V.; Grandcolas, P.; Burrow, C.; Depraetere, M.; Pavoine, S. Assessing biodiversity with sound: Do acoustic diversity indices reflect phylogenetic and functional diversities of bird communities? Ecol. Indic. 2013, 25, 279–287. [Google Scholar] [CrossRef]
- Rodríguez, A.; Gasc, A.; Pavoine, S.; Grandcolas, P.; Gaucher, P.; Sueur, J. Temporal and spatial variability of animal sound within a neotropical forest. Ecol. Inform. 2014, 21, 133–143. [Google Scholar] [CrossRef]
- Buxton, R.T.; Brown, E.; Sharman, L.; Gabriele, C.M.; McKenna, M.F. Using bioacoustics to examine shifts in songbird phenology. Ecol. Evol. 2016, 6, 4697–4710. [Google Scholar] [CrossRef] [PubMed]
- Cao, S.; Yu, Q.; Sanchez-Azofeifa, A.; Feng, J.; Rivard, B.; Gu, Z. Mapping tropical dry forest succession using multiple criteria spectral mixture analysis. ISPRS J. Photogramm. Remote Sens. 2015, 109, 17–29. [Google Scholar] [CrossRef]
- Sánchez-Azofeifa, G.A.; Quesada, M.; Rodríguez, J.P.; Nassar, J.M.; Stoner, K.E.; Castillo, A.; Garvin, T.; Zent, E.L.; Calvo-Alvarado, J.C.; Kalacska, M.E.R.; et al. Research priorities for neotropical dry forests. Biotropica 2005, 37, 474. [Google Scholar] [CrossRef]
- Quesada, M.; Stoner, K.E. Threats to the conservation of the tropical dry forest in Costa Rica. In Biodiversity Conservation in Costa Rica: Learning the Lessons in a Seasonal Dry Forest; Frankie, G.W., Mata, A., Vinson, S.B., Eds.; University of California Press: Berkeley, CA, USA, 2004; pp. 266–280. [Google Scholar]
- Arroyo-Mora, J.P.; Sánchez-Azofeifa, G.A.; Rivard, B.; Calvo, J.C.; Janzen, D.H. Dynamics in landscape structure and composition for the Chorotega region, Costa Rica from 1960 to 2000. Agric. Ecosyst. Environ. 2005, 106, 27–39. [Google Scholar] [CrossRef]
- Kalácska, M.; Sánchez-Azofeifa, G.; Calvo-Alvarado, J.; Quesada, M.; Rivard, B.; Janzen, D. Species composition, similarity and diversity in three successional stages of a seasonally dry tropical forest. For. Ecol. Manag. 2004, 200, 227–247. [Google Scholar] [CrossRef]
- Janzen, D.H. Plants. Species accounts. In Costa Rican Natural History; Janzen, D.H., Ed.; University of Chicago Press: Chicago, IL, USA, 1983; pp. 148–350. [Google Scholar]
- Hilje, B.; Calvo-Alvarado, J.; Jiménez-Rodríguez, C.; Sánchez-Azofeifa, A. Tree species composition, breeding systems, and pollination and dispersal syndromes in three forest successional stages in a tropical dry forest in Mesoamerica. Trop. Conserv. Sci. 2015, 8, 76–94. [Google Scholar] [CrossRef]
- Sánchez-Azofeifa, G.A.; Guzmán-Quesada, J.A.; Vega-Araya, M.; Campos-Vargas, C.; Durán, S.M.; D’Souza, N.; Gianoli, T.; Portillo-Quintero, C.; Sharp, I. Can terrestrial laser scanners (TLSs) and hemispherical photographs predict tropical dry forest succession with liana abundance? Biogeosciences 2017, 14, 977–988. [Google Scholar] [CrossRef]
- Kalácska, M.E.R.; Sánchez-Azofeifa, G.A.; Calvo-Alvarado, J.C.; Rivard, B.; Quesada, M. Effects of season and successional stage on leaf area index and spectral vegetation indices in three mesoamerican tropical dry forests. Biotropica 2005, 37, 486–496. [Google Scholar] [CrossRef]
- Delta-T Devices, Ltd. Hemispherical Photograph Analyser User Guide; The University of Kansas Centre for Research, Inc.: Kansas City, KS, USA, 1999. [Google Scholar]
- Chen, J.M.; Black, T.A.; Adams, R.S. Evaluation of hemispherical photography for determining plant area index and geometry of a forest stand. Agric. For. Meteorol. 1991, 56, 129–143. [Google Scholar] [CrossRef]
- Wildlife Acoustics Inc. Songscope: Bioacoustics Software, Version 4.0; Wildlife Acoustics Inc.: Maynard, MA, USA, 2011. [Google Scholar]
- Villanueva-Rivera, L.J.; Pijanowski, B.C.; Villanueva-Rivera, M.L.J. Soundscape Ecology; Package “Soundecology” Version 1.3.2; R Foundation for Statistical Computing: Vienna, Austria, 2016. [Google Scholar]
- R-Core-Team. R: A Language and Environment for Statistical Computing; R Foundation for Statistical Computing: Vienna, Austria, 2017. [Google Scholar]
- Farina, A.; Pieretti, N. Sonic environment and vegetation structure: A methodological approach for a soundscape analysis of a Mediterranean maqui. Ecol. Inform. 2014, 21, 120–132. [Google Scholar] [CrossRef]
- Burnham, K.P.; Anderson, D.R. Model Selection and Multimodel Inference: A Practical Information-Theoretic Approach; Springer: New York, NY, USA, 2003. [Google Scholar]
- Burnham, K.P.; Anderson, D.R. Multimodel inference: Understanding AIC and BIC in model selection. Soc. Methods Res. 2004, 33, 261–304. [Google Scholar] [CrossRef]
- Sánchez, N.V.; Vargas-Castro, L.E.; Avalos, G.; Paniagua, F. Effect of prey availability on the abundance of White-breasted Wood-Wrens, insectivorous birds of tropical lowland forests. J. Field Ornithol. 2014, 85, 347–354. [Google Scholar] [CrossRef]
- Skutch, A.F. Life histories of Central American birds. II: Families Vireonidae, Sylviidae, Turdidae, Troglodytidae, Paridae, Corvidae, Hirundinidae and Tyrannidae. Pac. Coast Avifauna 1960, 34, 116–210. [Google Scholar]
- Yanoviak, S.P. Effects of Lianas on Canopy Arthropod Community Structure. Ecology of Lianas; John Wiley & Sons Ltd.: Chichester, UK, 2015. [Google Scholar]
- Ødegaard, F. How many species of arthropods? Erwin’s estimate revised. Biol. J. Linnean Soc. 2000, 71, 583–597. [Google Scholar]
- Wolda, H. Abundance and diversity of Homoptera in the canopy of a tropical forest. Ecol. Entomol. 1979, 4, 181–190. [Google Scholar] [CrossRef]
- Janzen, D.H. Insect diversity of a Costa Rican dry forest: Why keep it, and how? Biol. J. Linnean Soc. 1987, 30, 343–356. [Google Scholar] [CrossRef]
- García León, M.M.; Martínez Izquierdo, L.; Mello, F.N.A.; Powers, J.S.; Schnitzer, S.A. Lianas reduce community-level canopy tree reproduction in a Panamanian forest. J. Ecol. 2017, 1–9. [Google Scholar] [CrossRef]
- Nassar, J.; Stoner, K.E.; Ávila-Cabadilla, L.; Do Espírito-Santo, M.M.; Aranguren, C.I.; González-Carcacía, J.A.; Lobato-García, J.M.; Olívio-Leite, L.; Álvarez-Añorve, M.; De Matos Brandão, H.N.; et al. Fruit-Eating Bats and Birds of Three Seasonal Tropical Dry Forests in the Americas. In Tropical Dry Forests in the Americas: Ecology, Conservation and Management; Sánchez-Azofeifa, A., Powers, J.S., Fernandes, G.W., Quesada, M., Eds.; CRC Press, Taylor and Francis Group: London, UK, 2013; pp. 173–220. [Google Scholar]
- Bertucci, F.; Parmentier, E.; Lecellier, G.; Hawkins, A.D.; Lecchini, D. Acoustic indices provide information on the status of coral reefs: An example from Moorea Island in the South Pacific. Sci. Rep. 2016, 6, 33326. [Google Scholar] [CrossRef] [PubMed]
- Janzen, D.H. Tropical dry forests. In Biodiversity; Wilson, E.O., Peter, F.M., Eds.; National Academy Press: Washington, DC, USA, 1988; pp. 130–137. [Google Scholar]
- Farina, A.; James, P. The acoustic communities: Definition, description and ecological role. Biosystems 2016, 147, 11–20. [Google Scholar] [CrossRef] [PubMed]
© 2017 by the authors. Licensee MDPI, Basel, Switzerland. This article is an open access article distributed under the terms and conditions of the Creative Commons Attribution (CC BY) license (http://creativecommons.org/licenses/by/4.0/).