Climate Drives Episodic Conifer Establishment after Fire in Dry Ponderosa Pine Forests of the Colorado Front Range, USA
Abstract
:1. Introduction
2. Materials and Methods
2.1. Study Area
2.2. Data Collection and Sample Processing
2.3. Analytical Methods
3. Results
3.1. Annually-Resolved Establishment Dates
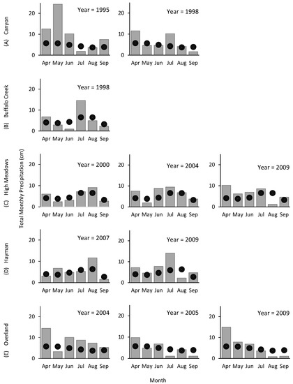
3.2. Climate-Establishment Analysis
4. Discussion
5. Conclusions
Supplementary Materials
Acknowledgments
Author Contributions
Conflicts of Interest
References
- Holling, C.S. Resilience and stability of ecological systems. Annu. Rev. Ecol. Syst. 1973, 4, 1–23. [Google Scholar] [CrossRef]
- Walker, B.; Holling, C.S.; Carpenter, S.; Kinzig, A. Resilience, adaptability and transformability in social–ecological systems. Ecol. Soc. 2004, 9, 5. [Google Scholar] [CrossRef]
- Baker, W.L. Fire Ecology in Rocky Mountain Landscapes; Island Press: Washington DC, USA, 2009. [Google Scholar]
- Chambers, M.E.; Fornwalt, P.J.; Malone, S.L.; Battaglia, M.A. Patterns of conifer regeneration following high severity wildfire in ponderosa pine–dominated forests of the Colorado Front Range. For. Ecol. Manag. 2016, 378, 57–67. [Google Scholar] [CrossRef]
- Dodson, E.K.; Root, H.T. Conifer regeneration following stand-replacing wildfire varies along an elevation gradient in a ponderosa pine forest, Oregon, USA. For. Ecol. Manag. 2013, 302, 163–170. [Google Scholar] [CrossRef]
- Harvey, B.J.; Donato, D.C.; Turner, M.G. High and dry: Post-fire tree seedling establishment in subalpine forests decreases with post-fire drought and large stand-replacing burn patches. Glob. Ecol. Biogeogr. 2016, 25, 655–669. [Google Scholar] [CrossRef]
- Keyser, T.L.; Lentile, L.B.; Smith, F.W.; Shepperd, W.D. Changes in forest structure after a large, mixed-severity wildfire in ponderosa pine forests of the Black Hills, South Dakota, USA. For. Sci. 2008, 54, 328–338. [Google Scholar]
- Roccaforte, J.P.; Fulé, P.Z.; Chancellor, W.W.; Laughlin, D.C. Woody debris and tree regeneration dynamics following severe wildfires in Arizona ponderosa pine forests. Can. J. For. Res. 2012, 42, 593–604. [Google Scholar] [CrossRef]
- Rother, M.T.; Veblen, T.T. Limited conifer regeneration following wildfires in dry ponderosa pine forests of the Colorado Front Range. Ecosphere 2016, 7, 1–17. [Google Scholar] [CrossRef]
- Savage, M.; Mast, J.N. How resilient are southwestern ponderosa pine forests after crown fires? Can. J. For. Res. 2005, 35, 967–977. [Google Scholar] [CrossRef]
- Feddema, J.J.; Mast, J.N.; Savage, M. Modeling high-severity fire, drought and climate change impacts on ponderosa pine regeneration. Ecol. Model. 2013, 253, 56–69. [Google Scholar] [CrossRef]
- Savage, M.; Mast, J.N.; Feddema, J.J. Double whammy: High-severity fire and drought in ponderosa pine forests of the Southwest. Can. J. For. Res. 2013, 43, 570–583. [Google Scholar] [CrossRef]
- Vose, J.M.; Miniat, C.F.; Luce, C.H.; Asbjornsen, H.; Caldwell, P.V.; Campbell, J.L.; Grant, G.E.; Isaak, D.J.; Loheide, S.P.; Sun, G. Ecohydrological implications of drought for forests in the United States. For. Ecol. Manag. 2016, 380, 335–345. [Google Scholar] [CrossRef]
- Bell, D.M.; Bradford, J.B.; Lauenroth, W.K. Early indicators of change: Divergent climate envelopes between tree life stages imply range shifts in the western United States. Glob. Ecol. Biogeogr. 2014, 23, 168–180. [Google Scholar] [CrossRef]
- Dobrowski, S.Z.; Swanson, A.K.; Abatzoglou, J.T.; Holden, Z.A.; Safford, H.D.; Schwartz, M.K.; Gavin, D.G. Forest structure and species traits mediate projected recruitment declines in western US tree species. Glob. Ecol. Biogeogr. 2015, 24, 917–927. [Google Scholar] [CrossRef]
- Turner, M.G. Disturbance and landscape dynamics in a changing world. Ecology 2010, 91, 2833–2849. [Google Scholar] [CrossRef] [PubMed]
- Pearson, G.A. Natural reproduction of western yellow pine in the Southwest, Forest Service Bulletin, Number 1105; U.S. Department of Agriculture: Washington, DC, USA, 1923.
- Cooper, C.F. Changes in vegetation, structure, and growth of southwestern pine forests since white settlement. Ecol. Monogr. 1960, 30, 129–164. [Google Scholar] [CrossRef]
- Schubert, G.H. Silviculture of southwestern ponderosa pine: the status of our knowledge; United States Department of Agriculture, Forest Service, RM-123: Fort Collins, CO, USA, 1974.
- Telewski, F.W.; Lynch, A.M. Measuring growth and development of stems. In Techniques and Approaches in Forest Tree Ecophysiology; CRC Press: Boca Raton, FL, USA, 1991; pp. 505–555. [Google Scholar]
- Telewski, F.W. Determining the germination date of woody plants: A proposed method for locating the root/shoot interface. Tree-Ring Bull. 1993, 53, 13–16. [Google Scholar]
- Savage, M.; Brown, P.M.; Feddema, J. The role of climate in a pine forest regeneration pulse in the southwestern United States. Ecoscience 1996, 3, 310–318. [Google Scholar] [CrossRef]
- League, K.; Veblen, T. Climatic variability and episodic Pinus ponderosa establishment along the forest-grassland ecotones of Colorado. For. Ecol. Manag. 2006, 228, 98–107. [Google Scholar] [CrossRef]
- Dennison, P.E.; Brewer, S.C.; Arnold, J.D.; Moritz, M.A. Large wildfire trends in the western United States, 1984–2011. Geophys. Res. Lett. 2014, 41, 2014GL059576. [Google Scholar] [CrossRef]
- Westerling, A.L. Increasing western US forest wildfire activity: sensitivity to changes in the timing of spring. Philos. Trans. R. Soc. B 2016, 371, 20150178. [Google Scholar] [CrossRef] [PubMed]
- Picotte, J.J.; Peterson, B.; Meier, G.; Howard, S.M. 1984–2010 trends in fire burn severity and area for the conterminous US. Int. J. Wildland Fire 2016, 25, 413–420. [Google Scholar] [CrossRef]
- Sherriff, R.L.; Platt, R.V.; Veblen, T.T.; Schoennagel, T.L.; Gartner, M.H. Historical, observed, and modeled wildfire severity in montane forests of the Colorado Front Range. PLoS ONE 2014, 9, e106971. [Google Scholar] [CrossRef] [PubMed]
- Dugan, A.J.; Baker, W.L. Sequentially contingent fires, droughts and pluvials structured a historical dry forest landscape and suggest future contingencies. J. Veg. Sci. 2015, 26, 697–710. [Google Scholar] [CrossRef]
- Tepley, A.J.; Veblen, T.T. Spatiotemporal fire dynamics in mixed-conifer and aspen forests in the San Juan Mountains of southwestern Colorado, USA. Ecol. Monogr. 2015, 85, 583–603. [Google Scholar] [CrossRef]
- Baker, W.L.; Veblen, T.T.; Sherriff, R.L. Fire, fuels and restoration of ponderosa pine-Douglas fir forests in the Rocky Mountains, USA. J. Biogeogr. 2007, 34, 251–269. [Google Scholar] [CrossRef]
- Ehle, D.S.; Baker, W.L. Disturbance and stand dynamics in ponderosa pine forests in Rocky Mountain National Park, USA. Ecol. Monogr. 2003, 73, 543–566. [Google Scholar] [CrossRef]
- Sherriff, R.L.; Veblen, T.T. Ecological effects of changes in fire regimes in Pinus ponderosa ecosystems in the Colorado Front Range. J. Veg. Sci. 2006, 17, 705–718. [Google Scholar] [CrossRef]
- Schoennagel, T.; Sherriff, R.; Veblen, T. Fire history and tree recruitment in the Colorado Front Range upper montane zone: implications for forest restoration. Ecol. Appl. 2011, 21, 2210–2222. [Google Scholar] [CrossRef] [PubMed]
- Kaufmann, M.R.; Veblen, T.T.; Romme, W.H. Historical Fire Regimes in Ponderosa Pine Forests of the Colorado Front Range, and Recommendations for Ecological Restoration and Fuels Management; Front Range Fuels Treatment Partnership Roundtable, findings of the Ecological Workgroup: Fort Collins, CO, USA, 2006. [Google Scholar]
- Peet, R.K. Forest vegetation of the Colorado Front Range. Plant Ecol. 1981, 45, 3–75. [Google Scholar] [CrossRef]
- Lukas, J.; Barsugli, J.; Doesken, N.; Rangwala, I.; Wolter, K. Climate change in Colorado: A synthesis to support water resources management and adaptation; University of Colorado: Boulder, CO, USA, 2014. [Google Scholar]
- McGuire, C.R.; Nufio, C.R.; Bowers, M.D.; Guralnick, R.P. Elevation-dependent temperature trends in the Rocky Mountain Front Range: Changes over a 56-and 20-year record. PloS ONE 2012, 7, e44370. [Google Scholar] [CrossRef] [PubMed]
- Kaufmann, M.R.; Regan, C.M.; Brown, P.M. Heterogeneity in ponderosa pine/Douglas-fir forests: Age and size structure in unlogged and logged landscapes of central Colorado. Can. J. For. Res. 2000, 30, 698–711. [Google Scholar] [CrossRef]
- Veblen, T.T.; Lorenz, D.C. Anthropogenic disturbance and recovery patterns in montane forests, Colorado Front Range. Phys. Geogr. 1986, 7, 1–24. [Google Scholar]
- Bonnet, V.H.; Schoettle, A.W.; Shepperd, W.D. Postfire environmental conditions influence the spatial pattern of regeneration for Pinus ponderosa. Can. J. For. Res. 2005, 35, 37–47. [Google Scholar] [CrossRef]
- Shatford, J.P.A.; Hibbs, D.E.; Puettmann, K.J. Conifer regeneration after forest fire in the Klamath-Siskiyous: How much, how soon? J. For. 2007, 105, 139–146. [Google Scholar]
- Haire, S.L.; McGarigal, K. Effects of landscape patterns of fire severity on regenerating ponderosa pine forests (Pinus ponderosa) in New Mexico and Arizona, USA. Landsc. Ecol. 2010, 25, 1055–1069. [Google Scholar] [CrossRef]
- Veblen, T.T.; Kitzberger, T.; Donnegan, J. Climatic and human influences on fire regimes in ponderosa pine forests in the Colorado Front Range. Ecol. Appl. 2000, 10, 1178–1195. [Google Scholar] [CrossRef]
- Keyes, C.R.; González, R.M. Climate-influenced ponderosa pine (Pinus ponderosa) seed masting trends in western Montana, USA. For. Syst. 2015, 24, 021. [Google Scholar] [CrossRef]
- Mooney, K.A.; Linhart, Y.B.; Snyder, M.A. Masting in ponderosa pine: comparisons of pollen and seed over space and time. Oecologia 2011, 165, 651–661. [Google Scholar] [CrossRef] [PubMed]
- Shepperd, W.D.; Edminster, C.B.; Mata, S.A. Long-term seedfall, establishment, survival, and growth of natural and planted ponderosa pine in the Colorado front range. West. J. Appl. For. 2006, 21, 19–26. [Google Scholar]
- Rother, M.T. Conifer Regeneration after Wildfire in Low-elevation Forests of the Colorado Front Range: Implications of a Warmer, Drier Climate; ProQuest Dissertations Publishing:: Boulder, CO, USA, 2015. [Google Scholar]
- Rother, M.T.; Veblen, T.T.; Furman, L.G. A field experiment informs expected patterns of conifer regeneration after disturbance under changing climate conditions. Can. J. For. Res. 2015, 45, 1607–1616. [Google Scholar] [CrossRef]
- Ouzts, J.; Kolb, T.; Huffman, D.; Meador, A.S. Post-fire ponderosa pine regeneration with and without planting in Arizona and New Mexico. For. Ecol. Manag. 2015, 354, 281–290. [Google Scholar] [CrossRef]





| Burn Area | Site Name | Latitude (Decimal Degrees) | Longitude (Decimal Degrees) | Elevation (m) | Aspect (Degrees) | Slope (Degrees) | Area (m2) |
|---|---|---|---|---|---|---|---|
| Canyon | Can01 | 40.1195 | −105.3255 | 2000 | 330 | 15 | 150 (10 × 15) |
| Can02 | 40.1188 | −105.3256 | 2030 | 340 | 15 | 50 (5 × 10) | |
| Buffalo Creek | BFC01 | 39.3753 | −105.2608 | 2190 | 350 | 5 | 1750 (35 × 50) |
| BFC02 | 39.3733 | −105.2722 | 2190 | 360 | 5 | 1875 (25 × 75) | |
| High Meadows | HIM01 | 39.4097 | −105.3667 | 2170 | 5 | 15 | 5625 (75 × 75) |
| HIM02 | 39.4075 | −105.3511 | 2130 | 5 | 20 | 250 (10 × 25) | |
| Hayman | HAY01 | 39.1824 | −105.1695 | 2220 | 40 | 15 | 750 (10 × 75) |
| HAY02 | 39.1817 | −105.1683 | 2230 | 30 | 20 | 875 (25 × 25) | |
| Overland | OVL01 | 40.1428 | −105.3167 | 1950 | 315 | 15 | 200 (10 × 20) |
| OVL02 | 40.1353 | −105.3228 | 1970 | 10 | 20 | 875 (25 × 25) |
| Burn Area | Site | Ponderosa Pine (n) | Douglas-Fir (n) | Total per Site (n) | Total per Burn (n) |
|---|---|---|---|---|---|
| Canyon | Can01 | 38 | 2 | 40 | 83 |
| Can02 | 37 | 6 | 43 | ||
| Buffalo Creek | BFC01 | 40 | 5 | 45 | 86 |
| BFC02 | 41 | 0 | 41 | ||
| High Meadows | HIM01 | 30 | 3 | 33 | 74 |
| HIM02 | 32 | 9 | 41 | ||
| Hayman | HAY01 | 28 | 4 | 32 | 79 |
| HAY02 | 40 | 7 | 47 | ||
| Overland | OVL01 | 47 | 1 | 48 | 91 |
| OVL02 | 39 | 4 | 43 | ||
| Overall Total | 372 | 41 | 413 |
© 2017 by the authors. Licensee MDPI, Basel, Switzerland. This article is an open access article distributed under the terms and conditions of the Creative Commons Attribution (CC BY) license (http://creativecommons.org/licenses/by/4.0/).
Share and Cite
Rother, M.T.; Veblen, T.T. Climate Drives Episodic Conifer Establishment after Fire in Dry Ponderosa Pine Forests of the Colorado Front Range, USA. Forests 2017, 8, 159. https://doi.org/10.3390/f8050159
Rother MT, Veblen TT. Climate Drives Episodic Conifer Establishment after Fire in Dry Ponderosa Pine Forests of the Colorado Front Range, USA. Forests. 2017; 8(5):159. https://doi.org/10.3390/f8050159
Chicago/Turabian StyleRother, Monica T., and Thomas T. Veblen. 2017. "Climate Drives Episodic Conifer Establishment after Fire in Dry Ponderosa Pine Forests of the Colorado Front Range, USA" Forests 8, no. 5: 159. https://doi.org/10.3390/f8050159
APA StyleRother, M. T., & Veblen, T. T. (2017). Climate Drives Episodic Conifer Establishment after Fire in Dry Ponderosa Pine Forests of the Colorado Front Range, USA. Forests, 8(5), 159. https://doi.org/10.3390/f8050159
