Discrimination of Larch Needle Pest Severity Based on Sentinel-2 Super-Resolution and Spectral Derivatives—A Case Study of Erannis jacobsoni Djak
Abstract
1. Introduction
- The effect of super-resolution enhancement for Sentinel-2 data on monitoring the severity of EJD infestation is assessed.
- The most sensitive features (vegetation indices and first-order derivative spectral features) for determining the severity of EJD invasion are identified.
- A high-precision EJD invasion severity model is established on the basis of machine learning models and Sentinel-2 data.
- The distribution characteristics of EJD topographic suitability are revealed.
2. Materials and Methods
2.1. Study Area
2.2. Workflow
2.3. Materials
2.3.1. Infestation Severity Data Collection
2.3.2. UAV Image Collection
2.3.3. Satellite Imagery
2.4. Methods
2.4.1. Data Preprocessing
2.4.2. Super-Resolving Sentinel-2 Data
2.4.3. Calculation of Distinguishing Indicators
- (1)
- Calculation of Vegetation Indices
- (2)
- Calculation of Spectral First-Order Derivatives
2.4.4. Extraction of Sensitive Discrimination Indicators
2.4.5. Model Development and Accuracy Evaluation
3. Results
3.1. Results of Super-Resolution
3.2. Sensitivity of Discrimination Indicators
3.2.1. Sensitivity of Vegetation Indices
3.2.2. Sensitivity of First-Order Spectral Derivatives
3.2.3. Sensitivity of the Combination of Vegetation Indices and First-Order Spectral Derivatives
3.3. Determination of Coniferous Pest Severity Based on Sample Plots
3.4. Region-Based Discrimination of Coniferous Pest Severity
4. Discussion
4.1. Evaluation of the Sentinel-2 Super-Resolution Effect
4.2. Sensitivity of Vegetation Indices and First-Order Spectral Derivatives
4.3. Performance Evaluation of the EJD Pest Severity Monitoring Model
4.4. Distribution Characteristics of Topographic Suitability for EJD
5. Conclusions
- The super-resolution processing of Sentinel-2 data can effectively refine the monitoring of pest severity.
- The first-order derivative feature most sensitive to EJD pest damage is D8a, and the vegetation index is NDVIswir, which can serve as an important indicator for determining the severity of EJD infestation. The NDVIreg provides a certain enhancement in distinguishing between light and moderate damage and is also recommended for use.
- The combination of vegetation indices and first-order spectral derivatives can improve the model accuracy. Among the three EJD pest severity discrimination models constructed, the overall accuracy of the SVM model improved from 77.88% to 81.73%, the RF model increased from 83.65% to 86.54%, and the XGBoost model maintained its original accuracy of 79.81%.
- EJD exhibits adaptive preferences for specific environmental conditions, and environmental factors can directly or indirectly affect its diffusion and distribution.
Supplementary Materials
Author Contributions
Funding
Data Availability Statement
Conflicts of Interest
References
- Gao, T.; Shi, J. The Potential Global Distribution of Sirex juvencus (Hymenoptera: Siricidae) under Near Current and Future Climatic Conditions as Predicted by the Maximum Entropy Model. Insects 2021, 12, 222. [Google Scholar] [CrossRef]
- Jactel, H.; Koricheva, J.; Castagneyrol, B. Responses of forest insect pests to climate change: Not so simple. Curr. Opin. Insect Sci. 2019, 35, 103–108. [Google Scholar] [CrossRef]
- Lehmann, P.; Ammunét, T.; Barton, M.; Battisti, A.; Eigenbrode, S.; Jepsen, J.; Kalinkat, G.; Neuvonen, S.; Niemelä, P.; Terblanche, J.; et al. Complex responses of global insect pests to climate warming. Front. Ecol. Environ. 2020, 18, 141–150. [Google Scholar] [CrossRef]
- Blickensdörfer, L.; Oehmichen, K.; Pflugmacher, D.; Kleinschmit, B.; Hostert, P. National tree species mapping using Sentinel-1/2 time series and German National Forest Inventory data. Remote Sens. Environ. 2024, 304, 114069. [Google Scholar] [CrossRef]
- Shen, Y.; Zhang, X.; Yang, Z.; Ye, Y.; Wang, J.; Gao, S.; Liu, Y.; Wang, W.; Tran, K.; Ju, J. Developing an operational algorithm for near-real-time monitoring of crop progress at field scales by fusing harmonized Landsat and Sentinel-2 time series with geostationary satellite observations. Remote Sens. Environ. 2023, 296, 113729. [Google Scholar] [CrossRef]
- Heuss, M.; D’Amato, A.; Dodds, K. Northward expansion of southern pine beetle generates significant alterations to forest structure and composition of globally rare Pinus rigida forests. For. Ecol. Manag. 2019, 434, 119–130. [Google Scholar] [CrossRef]
- Zhu, Z.; Woodcock, C. Continuous change detection and classification of land cover using all available Landsat data. Remote Sens. Environ. 2014, 144, 152–171. [Google Scholar] [CrossRef]
- Pasquarella, V.; Holden, C.; Kaufman, L.; Woodcock, C. From imagery to ecology: Leveraging time series of all available Landsat observations to map and monitor ecosystem state and dynamics. Remote Sens. Ecol. Conserv. 2016, 2, 152–170. [Google Scholar] [CrossRef]
- Bright, B.; Hudak, A.; Meddens, A.; Egan, J.; Jorgensen, C. Mapping Multiple Insect Outbreaks across Large Regions Annually Using Landsat Time Series Data. Remote Sens. 2020, 12, 1655. [Google Scholar] [CrossRef]
- Immitzer, M.; Atzberger, C. Early Detection of Bark Beetle Infestation in Norway Spruce (Picea abies, L.) using WorldView-2 Data. Photogramm. Fernerkund. Geoinf. 2014, 5, 0351–0367. [Google Scholar] [CrossRef]
- Nguyen, T.; Jones, S.; Soto-Berelov, M.; Haywood, A.; Hislop, S. A spatial and temporal analysis of forest dynamics using Landsat time-series. Remote Sens. Environ. 2018, 217, 461–475. [Google Scholar] [CrossRef]
- Estay, S.; Chávez, R.; Lastra, J.; Rocco, R.; Gutiérrez, Á.; Decuyper, M. MODIS Time Series Reveal New Maximum Records of Defoliated Area by Ormiscodes amphimone in Deciduous Nothofagus Forests, Southern Chile. Remote Sens. 2023, 15, 3538. [Google Scholar] [CrossRef]
- Fu, H.; Zhao, H.; Song, R.; Yang, Y.; Li, Z.; Zhang, S. Cotton aphid infestation monitoring using Sentinel-2 MSI imagery coupled with derivative of ratio spectroscopy and random forest algorithm. Front. Plant Sci. 2022, 13, 1029529. [Google Scholar] [CrossRef] [PubMed]
- Bhattarai, R.; Rahimzadeh-Bajgiran, P.; Weiskittel, A.; Meneghini, A.; MacLean, D. Spruce budworm tree host species distribution and abundance mapping using multi-temporal Sentinel-1 and Sentinel-2 satellite imagery. ISPRS J. Photogramm. Remote Sens. 2021, 172, 28–40. [Google Scholar] [CrossRef]
- Gomez, D.; Ritger, H.; Pearce, C.; Eickwort, J.; Hulcr, J. Ability of Remote Sensing Systems to Detect Bark Beetle Spots in the Southeastern US. Forests 2020, 11, 1167. [Google Scholar] [CrossRef]
- Wulder, M.; Dymond, C.; White, J.; Leckie, D.; Carroll, A. Surveying mountain pine beetle damage of forests: A review of remote sensing opportunities. For. Ecol. Manag. 2006, 221, 27–41. [Google Scholar] [CrossRef]
- Rohith, G.; Kumar, L. Effectiveness of Super-Resolution Technique on Vegetation Indices. IEEE Access 2021, 9, 97197–97227. [Google Scholar] [CrossRef]
- Kong, J.; Ryu, Y.; Jeong, S.; Zhong, Z.; Choi, W.; Kim, J.; Lee, K.; Lim, J.; Jang, K.; Chun, J.; et al. Super resolution of historic Landsat imagery using a dual generative adversarial network (GAN) model with CubeSat constellation imagery for spatially enhanced long-term vegetation monitoring. ISPRS J. Photogramm. Remote Sens. 2023, 200, 1–23. [Google Scholar] [CrossRef]
- Brodu, N. Super-Resolving Multiresolution Images With Band-Independent Geometry of Multispectral Pixels. IEEE Trans. Geosci. Remote Sens. 2017, 55, 4610–4617. [Google Scholar] [CrossRef]
- Dian, R.; Li, S.; Sun, B.; Guo, A. Recent advances and new guidelines on hyperspectral and multispectral image fusion. Inf. Fusion 2021, 69, 40–51. [Google Scholar] [CrossRef]
- Tian, Y.; Gu, K.; Chu, X.; Yao, X.; Cao, W.; Zhu, Y. Comparison of different hyperspectral vegetation indices for canopy leaf nitrogen concentration estimation in rice. Plant Soil 2013, 376, 193–209. [Google Scholar] [CrossRef]
- Bárta, V.; Lukeš, P.; Homolová, L. Early detection of bark beetle infestation in Norway spruce forests of Central Europe using Sentinel-2. Int. J. Appl. Earth Obs. Geoinf. 2021, 100, 102335. [Google Scholar] [CrossRef]
- Abdullah, H.; Darvishzadeh, R.; Skidmore, A.; Groen, T.; Heurich, M. European spruce bark beetle (Ips typographus, L.) green attack affects foliar reflectance and biochemical properties. Int. J. Appl. Earth Obs. Geoinf. 2018, 64, 199–209. [Google Scholar] [CrossRef]
- Abdullah, H.; Skidmore, A.; Darvishzadeh, R.; Heurich, M. Timing of red-edge and shortwave infrared reflectance critical for early stress detection induced by bark beetle (Ips typographus, L.) attack. Int. J. Appl. Earth Obs. Geoinf. 2019, 82, 101900. [Google Scholar] [CrossRef]
- Abdullah, H.; Skidmore, A.; Darvishzadeh, R.; Heurich, M. Sentinel-2 accurately maps green-attack stage of European spruce bark beetle (Ips typographus, L.) compared with Landsat-8. Remote Sens. Ecol. Conserv. 2018, 5, 87–106. [Google Scholar] [CrossRef]
- Kokaly, R. Spectroscopic Determination of Leaf Biochemistry Using Band-Depth Analysis of Absorption Features and Stepwise Multiple Linear Regression. Remote Sens. Environ. 1999, 67, 267–287. [Google Scholar] [CrossRef]
- Demetriades-Shah, T.; Steven, M.; Clark, J. High resolution derivative spectra in remote sensing. Remote Sens. Environ. 1990, 33, 55–64. [Google Scholar] [CrossRef]
- Einzmann, K.; Atzberger, C.; Pinnel, N.; Glas, C.; Böck, S.; Seitz, R.; Immitzer, M. Early detection of spruce vitality loss with hyperspectral data: Results of an experimental study in Bavaria, Germany. Remote Sens. Environ. 2021, 266, 112676. [Google Scholar] [CrossRef]
- Zhang, J.; Huang, Y.; Pu, R.; Moreno, P.; Yuan, L.; Wu, K.; Huang, W. Monitoring plant diseases and pests through remote sensing technology: A review. Comput. Electron. Agric. 2019, 165, 104943. [Google Scholar] [CrossRef]
- Mori, N.; Kawatsu, K.; Noriyuki, S.; Kosilov, A.; Martemyanov, V.; Yamashita, M.; Inoue, M. Monitoring and prediction of the spongy moth (Lymantria dispar) outbreaks in Mountain’s landscape using a combination of Sentinel-2 images and nonlinear time series model. For. Ecol. Manag. 2024, 563, 121975. [Google Scholar] [CrossRef]
- Astola, H.; Häme, T.; Sirro, L.; Molinier, M.; Kilpi, J. Comparison of Sentinel-2 and Landsat 8 imagery for forest variable prediction in boreal region. Remote Sens. Environ. 2019, 223, 257–273. [Google Scholar] [CrossRef]
- Shi, C.; Wang, L. Incorporating spatial information in spectral unmixing: A review. Remote Sens. Environ. 2014, 149, 70–87. [Google Scholar] [CrossRef]
- Xi, G.; Huang, X.; Bao, Y.; Bao, G.; Tong, S.; Dashzebegd, G.; Nanzadd, T.; Dorjsurene, A.; Davaadorj, E.; Ariunaad, M. Hyperspectral discrimination of different canopy colors in Erannis jacobsoni Djak-infested larch. Spectrosc. Spectr. Anal. 2020, 40, 2925–2931. [Google Scholar]
- Xu, Z.; Zhang, Q.; Xiang, S.; Li, Y.; Huang, X.; Zhang, Y.; Zhou, X.; Li, Z.; Yao, X.; Li, Q.; et al. Monitoring the Severity of Pantana phyllostachysae Chao Infestation in Moso Bamboo Forests Based on UAV Multi-Spectral Remote Sensing Feature Selection. Forests 2022, 13, 418. [Google Scholar] [CrossRef]
- Merzlyak, M.; Gitelson, A.; Chivkunova, O.; Rakitin, V. Non-destructive optical detection of pigment changes during leaf senescence and fruit ripening. Physiol. Plant. 1999, 106, 135–141. [Google Scholar] [CrossRef]
- Rouse, J.; Haas, R.; Schell, J.; Deering, D. Monitoring vegetation systems in the great plains with ERTS. In Proceedings of the Third ERTS Symposium, Washington, DC, USA, 10–14 December 1973; Volume 1, pp. 309–317. [Google Scholar]
- Gitelson, A.; Merzlyak, M. Quantitative estimation of chlorophyll-a using reflectance spectra: Experiments with autumn chestnut and maple leaves. J. Photochem. Photobiol. B Biol. 1994, 22, 247–252. [Google Scholar] [CrossRef]
- Gitelson, A.; Kaufman, Y.; Merzlyak, M. Use of a green channel in remote sensing of global vegetation from EOS-MODIS. Remote Sens. Environ. 1996, 58, 289–298. [Google Scholar] [CrossRef]
- Tucker, C. Red and photographic infrared linear combinations for monitoring vegetation. Remote Sens. Environ. 1979, 8, 127–150. [Google Scholar] [CrossRef]
- Wilson, E.; Sader, S. Detection of forest harvest type using multiple dates of Landsat TM imagery. Remote Sens. Environ. 2002, 80, 385–396. [Google Scholar] [CrossRef]
- Herrmann, I.; Karnieli, A.; Bonfil, D.; Cohen, Y.; Alchanatis, V. SWIR-based spectral indices for assessing nitrogen content in potato fields. Int. J. Remote Sens. 2010, 31, 5127–5143. [Google Scholar] [CrossRef]
- Keeley, J. Fire intensity, fire severity and burn severity: A brief review and suggested usage. Int. J. Wildland Fire 2009, 18, 116. [Google Scholar] [CrossRef]
- Herrmann, I.; Pimstein, A.; Karnieli, A.; Cohen, Y.; Alchanatis, V.; Bonfil, D. LAI assessment of wheat and potato crops by VENμS and Sentinel-2 bands. Remote Sens. Environ. 2011, 115, 2141–2151. [Google Scholar] [CrossRef]
- Hardisky, M.; Klemas, R.; Smart, R. The Influence of soil salinity, growth form, and leaf moisture on the spectral radiance of Spartina alterniflora canopies. Photogramm. Eng. Remote Sens. 1983, 48, 77–84. [Google Scholar]
- Huete, A.; Didan, K.; Miura, T.; Rodriguez, E.; Gao, X.; Ferreira, L. Overview of the radiometric and biophysical performance of the MODIS vegetation indices. Remote Sens. Environ. 2002, 83, 195–213. [Google Scholar] [CrossRef]
- Jiang, Z.; Huete, A.; Didan, K.; Miura, T. Development of a two-band enhanced vegetation index without a blue band. Remote Sens. Environ. 2008, 112, 3833–3845. [Google Scholar] [CrossRef]
- Huete, A. A soil-adjusted vegetation index (SAVI). Remote Sens. Environ. 1988, 25, 295–309. [Google Scholar] [CrossRef]
- le Maire, G.; François, C.; Dufrêne, E. Towards universal broad leaf chlorophyll indices using PROSPECT simulated database and hyperspectral reflectance measurements. Remote Sens. Environ. 2004, 89, 1–28. [Google Scholar] [CrossRef]
- Richardson, A.; Duigan, S.; Berlyn, G. An evaluation of noninvasive methods to estimate foliar chlorophyll content. New Phytol. 2002, 153, 185–194. [Google Scholar] [CrossRef]
- Gitelson, A.; Viña, A.; Arkebauer, T.; Rundquist, D.; Keydan, G.; Leavitt, B. Remote estimation of leaf area index and green leaf biomass in maize canopies. Geophys. Res. Lett. 2003, 30, 1248. [Google Scholar] [CrossRef]
- El-Shikha, D.; Barnes, E.; Clarke, T.; Hunsaker, D. Remote Sensing of Cotton Nitrogen Status Using the Canopy Chlorophyll Content Index (CCCI). Trans. ASABE 2008, 51, 73–82. [Google Scholar] [CrossRef]
- Kebede, T.; Hailu, B.; Suryabhagavan, K. Evaluation of spectral built-up indices for impervious surface extraction using Sentinel-2A MSI imageries: A case of Addis Ababa city, Ethiopia. Environ. Chall. 2022, 8, 100568. [Google Scholar] [CrossRef]
- McFeeters, S.K. The use of the Normalized Difference Water Index (NDWI) in the delineation of open water features. Int. J. Remote Sens. 1996, 17, 1425–1432. [Google Scholar] [CrossRef]
- Crist, E.; Cicone, R. A Physically-based transformation of thematic mapper data—The TM Tasseled Cap. IEEE Trans. Geosci. Remote Sens. 1984, GE-22, 256–263. [Google Scholar] [CrossRef]
- Cortes, C.; Vapnik, V. Support-vector networks. Mach. Learn. 1995, 20, 273–297. [Google Scholar] [CrossRef]
- Breiman, L. Random forests. Mach. Learn. 2001, 45, 5–32. [Google Scholar] [CrossRef]
- Chen, T.; Guestrin, C. XGBoost: A scalable tree boosting system. In Proceedings of the 22nd ACM SIGKDD International Conference on Knowledge Discovery and Data Mining, San Francisco, CA, USA, 13–17 August 2016; pp. 785–794. [Google Scholar]
- Lanaras, C.; Bioucas-Dias, J.; Baltsavias, E.; Schindler, K. Super-resolution of multispectral multiresolution images from a single sensor. IEEE Comput. Soc. 2017, 17, 2160–7516. [Google Scholar]
- Vivone, G.; Alparone, L.; Chanussot, J.; Mura, M.; Garzeli, A.; Licciardi, G. A critical comparison among pansharpening algorithms. IEEE Trans. Geosci. Remote Sens. 2014, 53, 2565–2586. [Google Scholar] [CrossRef]
- Ahern, F. The effects of bark beetle stress on the foliar spectral reflectance of lodgepole pine. Int. J. Remote Sens. 1988, 9, 1451–1468. [Google Scholar] [CrossRef]
- Hong, Y.; Que, X.; Wang, Z.; Ma, X.; Wang, H.; Salati, S.; Liu, J. Mangrove extraction from super-resolution images generated by deep learning models. Ecol. Indic. 2024, 159, 111714. [Google Scholar] [CrossRef]
- Meireles, J.; Cavender-Bares, J.; Townsend, P.; Ustin, S.; Gamon, J.; Schweiger, A.; Schaepman, M.; Asner, G.; Martin, R.; Singh, A.; et al. Leaf reflectance spectra capture the evolutionary history of seed plants. New Phytol. 2020, 228, 485–493. [Google Scholar] [CrossRef] [PubMed]
- Zhang, S.; Huang, X.; Ma, L.; Dashzevegd, G.; Ariunaa, M.; Bao, G.; Tong, S.; Bao, Y.; Dorjsuren, A.; Enkhnasan, D. Response of spectral vegetation indices to Erannis jacobsoni Djak. damage in larch forests. Ecol. Inform. 2024, 81, 102605. [Google Scholar] [CrossRef]
- Vogelmann, J.; Rock, B. Assessing forest damage in high-elevation coniferous forests in vermont and new Hampshire using thematic mapper data. Remote Sens. Environ. 1988, 24, 227–246. [Google Scholar] [CrossRef]
- Vogelmann, J.; Rock, B. Use of thematic mapper data for the detection of forest damage caused by the pear thrips. Remote Sens. Environ. 1989, 30, 217–225. [Google Scholar] [CrossRef]
- Lastovicka, J.; Svec, P.; Paluba, D.; Kobliuk, N.; Svoboda, J.; Hladky, R.; Stych, P. Sentinel-2 data in an evaluation of the impact of the disturbances on forest vegetation. Remote Sens. 2020, 12, 1914. [Google Scholar] [CrossRef]
- Lichtenthaler, H.; Gitelson, A.; Lang, M. Non-destructive determination of Chlorophyll content of leaves of a green and an aurea mutant of tobacco by reflectance measurements. J. Plant Physiol. 1996, 148, 483–493. [Google Scholar] [CrossRef]
- Liu, M.; Zhang, Z.; Liu, X.; Yao, J.; Du, T.; Ma, Y.; Shi, L. Discriminant analysis of the damage degree caused by pine shoot beetle to Yunnan pine using UAV-based hyperspectral images. Forests 2020, 11, 1258. [Google Scholar] [CrossRef]
- Negrón-Juárez, R.; Holm, J.; Faybishenko, B.; Magnabosco-Marra, D.; Fisher, R.; Shuman, J.; Araujo, A.; Riley, W.; Chambers, J. Landsat near-infrared (NIR) band and ELM-FATES sensitivity to forest disturbances and regrowth in the Central Amazon. Biogeosciences 2020, 17, 6185–6205. [Google Scholar] [CrossRef]
- Fernández-Habas, J.; Carriere Cañada, M.; García Moreno, A.; Leal-Murillo, J.; González-Dugo, M.; Abellanas Oar, B.; Gómez-Giráldez, P.; Fernández-Rebollo, P. Estimating pasture quality of Mediterranean grasslands using hyperspectral narrow bands from field spectroscopy by Random Forest and PLS regressions. Comput. Electron. Agric. 2022, 192, 106614. [Google Scholar] [CrossRef]
- Decuyper, M.; Chávez, R.; Lohbeck, M.; Lastra, J.; Tsendbazar, N.; Hackländer, J.; Herold, M.; Vågen, T. Continuous monitoring of forest change dynamics with satellite time series. Remote Sens. Environ. 2022, 269, 112829. [Google Scholar] [CrossRef]
- Yin, X.; Kou, W.; Yun, T.; Gu, X.; Lai, H.; Chen, Y.; Wu, Z.; Chen, B. Tropical forest disturbance monitoring based on multi-source time series satellite images and the LandTrendr algorithm. Forests 2022, 13, 2038. [Google Scholar] [CrossRef]
- Olsson, P.; Lindström, J.; Eklundh, L. Near real-time monitoring of insect induced defoliation in subalpine birch forests with MODIS derived NDVI. Remote Sens. Environ. 2016, 181, 42–53. [Google Scholar] [CrossRef]
- Mandanici, E.; Bitelli, G. Preliminary comparison of Sentinel-2 and Landsat 8 imagery for a combined use. Remote Sens. 2016, 8, 1014. [Google Scholar] [CrossRef]
- Li, J.; Roy, D. A global analysis of Sentinel-2A, Sentinel-2B and Landsat-8 data revisit intervals and implications for terrestrial monitoring. Remote Sens. 2017, 9, 902. [Google Scholar] [CrossRef]
- Tang, X.; Bratley, K.; Cho, K.; Bullock, E.; Olofsson, P.; Woodcock, C. Near real-time monitoring of tropical forest disturbance by fusion of Landsat, Sentinel-2, and Sentinel-1 data. Remote Sens. Environ. 2023, 294, 113626. [Google Scholar] [CrossRef]
- Campbell, M.; Williams, J.; Berryman, E. Using remote sensing and climate data to map the extent and severity of balsam woolly adelgid infestation in Northern Utah, USA. Forests 2023, 14, 1357. [Google Scholar] [CrossRef]
- Trubin, A.; Mezei, P.; Zabihi, K.; Surový, P.; Jakuš, R. Northernmost European spruce bark beetle Ips typographus outbreak: Modelling tree mortality using remote sensing and climate data. For. Ecol. Manag. 2022, 505, 119829. [Google Scholar] [CrossRef]
- Duan, G.; Lei, X.; Zhang, X.; Liu, X. Site index modeling of larch using a mixed-effects model across regional site types in Northern China. Forests 2022, 13, 815. [Google Scholar] [CrossRef]
- Terschanski, J.; Nunes, M.; Aalto, I.; Pellikka, P.; Wekesa, C.; Maeda, E. The role of vegetation structural diversity in regulating the microclimate of human-modified tropical ecosystems. J. Environ. Manag. 2024, 360, 121128. [Google Scholar] [CrossRef]
- Wu, Y.; Jia, G.; Yu, X.; Rao, H.; Peng, X.; Wang, Y.; Wang, Y.; Wang, X. Response of soil nutrients and erodibility to slope aspect in the northern agro-pastoral ecotone, China. Soil 2024, 10, 61–75. [Google Scholar] [CrossRef]
- MacLeod, A.; Evans, H.; Baker, R. An analysis of pest risk from an Asian longhorn beetle (Anoplophora glabripennis) to hardwood trees in the European community. Crop Prot. 2002, 21, 635–645. [Google Scholar] [CrossRef]














| Severity | Defoliation (%) | Canopy Characteristics | Example |
|---|---|---|---|
| Healthy | 0–5 | The canopy needles are lush, there is no exposed branch, and the canopy color is green. | ![]() |
| Light | 6–30 | The canopy needles are relatively lush. There are a small number of exposed branches. The canopy color begins to change from green to yellow. | ![]() |
| Moderate | 31–70 | The canopy needles are sparse with many areas of exposed branches. The moisture content of the needles is significantly reduced, and the canopy color is yellow. | ![]() |
| Severe | 71–100 | The canopy has a small number of needles or no needles at all, and all branches are exposed. The needles are withered, and the canopy color is red or gray. | ![]() |
| Band | Band Name | Center Wavelength (nm) | Band Width (nm) | Spatial Resolution (m) | Applied |
|---|---|---|---|---|---|
| 1 | Aerosol | 443 | 20 | 60 | × |
| 2 | Blue | 490 | 65 | 10 | √ |
| 3 | Green | 560 | 35 | 10 | √ |
| 4 | Red | 665 | 30 | 10 | √ |
| 5 | Red-Edge 1 | 705 | 15 | 20 | √ |
| 6 | Red-Edge 2 | 740 | 15 | 20 | √ |
| 7 | Red-Edge 3 | 783 | 20 | 20 | √ |
| 8 | NIR | 842 | 115 | 10 | √ |
| 8a | Narrow-NIR | 865 | 20 | 20 | √ |
| 9 | Water Vapor | 945 | 20 | 60 | × |
| 10 | SWIR-Cirrus | 1380 | 30 | 60 | × |
| 11 | SWIR 1 | 1610 | 90 | 20 | √ |
| 12 | SWIR 2 | 2190 | 180 | 20 | √ |
| Number | Vegetation Index | Formula | Reference |
|---|---|---|---|
| 1 | NDVI | (B8 − B4)/(B8 + B4) | Rouse et al., 1973 [36] |
| 2 | NDVI* | (B5 − B4)/(B5 + B4) | Gitelson A, 1994 [37] |
| 3 | NDVIgreen | (B4 − B3)/(B4 + B3) | Anatoly A. Gitelson, 1996 [38] |
| 4 | NDVInir | (B8a − B4)/(B8a + B4) | Tucker, 1979 [39] |
| 5 | NDVIreg | (B6 − B5)/(B6 + B5) | Anatoly Gitelson, 1994 [37] |
| 6 | NDVIswir | (B8a − B11)/(B8A + B11) | Wilson and Sader, 2002 [40] |
| 7 | NDRE | (B8 − B5)/(B8 + B5) | Herrmann, 2010 [41] |
| 8 | NBR | (B8 − B12)/(B8 + B12) | US Geol Survey, 2009 [42] |
| 9 | REIP | 700 + 40(((B4 + B7)/B2 − B5)/(B6 − B5)) | Herrmann, 2011 [43] |
| 10 | NDMI | (B8 − B11)/(B8 + B11) | Hardisky, 1983 [44] |
| 11 | EVI | 2.5((B8 − B4)/(B8+6B4 − 7.5B2 + 1)) | A. Huete, 2002 [45] |
| 12 | EVI2 | 2.5((B8 − B4)/(B8 + 2.4B4 + 1)) | Zhangyan Jiang, 2008 [46] |
| 13 | SAVI | 1.5((B8 − B4)/(B8 + B4 + 0.5)) | Huete, 1988 [47] |
| 14 | GI | B3/B4 | G. le Maire, 2004 [48] |
| 15 | NDSI | (B11 − B12)/(B11 + B12) | Andrew D. Richardson, 2002 [49] |
| 16 | NDSI* | (B4 − B7)/(B4 + B7) | |
| 17 | CIgreen | (B8/B3) − 1 | Anatoly A. Gitelson, 2003 [50] |
| 18 | CIreg | (B8/B7) − 1 | |
| 19 | CCCI | (B8 − B6)/(B8 + B6)/(B8 − B4)/(B8 + B4) | El-Shikha, 2008 [51] |
| 20 | NDBI | (B11 − B8)/(B11 + B8) | Tsion Ayalew Kebede, 2022 [52] |
| 21 | NDWI1 | (B3 − B11)/(B3 + B11) | Mcfeeters 1996 [53] |
| 22 | NDWI2 | (B3 − B12)/(B3 + B12) | |
| 23 | TCG | 0.2848B2 − 0.2453B3 − 0.5436B4 + 0.7243B8a + 0.0840B11 − 0.1800B12 | Crist and Cicone, 1984 [54] |
| 24 | TCW | 0.1509B2 + 0.1973B3 + 0.3279B4 + 0.3406B8 − 0.7112B11 − 0.4572B12 |
| Band | Q | ERGAS | SAM |
|---|---|---|---|
| B5 (705 nm) | 0.90 | 7.03 | 4.52 |
| B6 (740 nm) | 0.78 | 7.45 | 4.21 |
| B7 (783 nm) | 0.78 | 8.03 | 4.30 |
| B8a (865 nm) | 0.78 | 8.36 | 4.22 |
| B11 (1610 nm) | 0.91 | 8.61 | 3.83 |
| B12 (2190 nm) | 0.94 | 8.07 | 4.17 |
| Global | 0.85 | 7.92 | 4.21 |
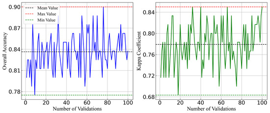
| RFDVIs Model | Overall Accuracy | Recallmacro | F1 Scoremacro | Kappa Coefficient |
|---|---|---|---|---|
| Mean | 0.84 | 0.83 | 0.83 | 0.78 |
| CIL | 0.79 | 0.78 | 0.78 | 0.71 |
| CIU | 0.89 | 0.89 | 0.88 | 0.85 |
Disclaimer/Publisher’s Note: The statements, opinions and data contained in all publications are solely those of the individual author(s) and contributor(s) and not of MDPI and/or the editor(s). MDPI and/or the editor(s) disclaim responsibility for any injury to people or property resulting from any ideas, methods, instructions or products referred to in the content. |
© 2025 by the authors. Licensee MDPI, Basel, Switzerland. This article is an open access article distributed under the terms and conditions of the Creative Commons Attribution (CC BY) license (https://creativecommons.org/licenses/by/4.0/).
Share and Cite
Sun, G.; Huang, X.; Dashzebeg, G.; Ariunaa, M.; Bao, Y.; Bao, G.; Tong, S.; Dorjsuren, A.; Davaadorj, E. Discrimination of Larch Needle Pest Severity Based on Sentinel-2 Super-Resolution and Spectral Derivatives—A Case Study of Erannis jacobsoni Djak. Forests 2025, 16, 88. https://doi.org/10.3390/f16010088
Sun G, Huang X, Dashzebeg G, Ariunaa M, Bao Y, Bao G, Tong S, Dorjsuren A, Davaadorj E. Discrimination of Larch Needle Pest Severity Based on Sentinel-2 Super-Resolution and Spectral Derivatives—A Case Study of Erannis jacobsoni Djak. Forests. 2025; 16(1):88. https://doi.org/10.3390/f16010088
Chicago/Turabian StyleSun, Guangyou, Xiaojun Huang, Ganbat Dashzebeg, Mungunkhuyag Ariunaa, Yuhai Bao, Gang Bao, Siqin Tong, Altanchimeg Dorjsuren, and Enkhnasan Davaadorj. 2025. "Discrimination of Larch Needle Pest Severity Based on Sentinel-2 Super-Resolution and Spectral Derivatives—A Case Study of Erannis jacobsoni Djak" Forests 16, no. 1: 88. https://doi.org/10.3390/f16010088
APA StyleSun, G., Huang, X., Dashzebeg, G., Ariunaa, M., Bao, Y., Bao, G., Tong, S., Dorjsuren, A., & Davaadorj, E. (2025). Discrimination of Larch Needle Pest Severity Based on Sentinel-2 Super-Resolution and Spectral Derivatives—A Case Study of Erannis jacobsoni Djak. Forests, 16(1), 88. https://doi.org/10.3390/f16010088





