A Three-Level Model System of Biomass and Carbon Storage for All Forest Types in China
Abstract
1. Introduction
2. Materials and Methods
2.1. Data Description
2.2. Modeling Methods
2.2.1. Forest Classification
2.2.2. Model Development
2.2.3. Model Evaluation
3. Results
4. Discussion
4.1. Comparison with Related Models
4.2. Correction of Negative Intercept Parameters
5. Conclusions
Author Contributions
Funding
Data Availability Statement
Conflicts of Interest
References
- IUFRO (International Union of Forest Research Organizations). International Guidelines for Forest Monitoring; IUFRO Secretariat: Vienna, Austria, 1994. [Google Scholar]
- IPCC (Intergovernmental Panel on Climate Change). IPCC Guidelines for National Greenhouse Gas Inventories; Institute for Global Environmental Strategies: Kanagawa, Japan, 2006. [Google Scholar]
- FAO (Food and Agriculture Organization of the United Nations). FRA 2025: Guidelines and Specifications; FAO: Rome, Italy, 2023. [Google Scholar]
- Molotoks, A.; Stehfest, E.; Doelman, J.; Albanito, F.; Fitton, N.; Dawson, T.P.; Smith, P. Global projections of future cropland expansion to 2050 and direct impacts on biodiversity and carbon storage. Glob. Chang. Biol. 2018, 24, 5895–5908. [Google Scholar] [CrossRef] [PubMed]
- Walker, W.S.; Gorelik, S.R.; Cook-Patton, S.C.; Baccini, A.; Farina, M.K.; Solvik, K.K.; Ellis, P.W.; Sanderman, J.; Houghton, R.A.; Leavitt, S.M.; et al. The global potential for increased storage of carbon on land. Proc. Natl. Acad. Sci. USA 2022, 119, e2111312119. [Google Scholar] [CrossRef] [PubMed]
- Somogyi, Z.; Cienciala, E.; Mäkipää, R.; Muukkonen, P.; Lehtonen, A.; Weiss, P. Indirect methods of large-scale forest biomass estimation. Eur. J. For. Res. 2007, 126, 197–207. [Google Scholar] [CrossRef]
- Jagodziński, A.M.; Dyderski, M.K.; Gęsikiewicz, K.; Horodecki, P. Tree and stand level estimations of Abies alba Mill aboveground biomass. Ann. Forest Sci. 2019, 76, 56. [Google Scholar] [CrossRef]
- Luo, Y.; Wang, X.; Ouyang, Z.; Lu, F.; Feng, L.; Tao, J. A review of biomass equations for China’s tree species. Earth Syst. Sci. Data 2020, 12, 21–40. [Google Scholar] [CrossRef]
- LY/T 2260-2014; Tree Biomass Models and Related Parameters to Carbon Accounting for Pinus tabulaeformis. China Standards Press: Beijing, China, 2015.
- LY/T 2261-2014; Tree Biomass Models and Related Parameters to Carbon Accounting for Pinus elliottii. China Standards Press: Beijing, China, 2015.
- LY/T 2262-2014; Tree Biomass Models and Related Parameters to Carbon Accounting for Pinus yunnanensis. China Standards Press: Beijing, China, 2015.
- LY/T 2263-2014; Tree Biomass Models and Related Parameters to Carbon Accounting for Pinus massoniana. China Standards Press: Beijing, China, 2015.
- LY/T 2264-2014; Tree Biomass Models and Related Parameters to Carbon Accounting for Cunninghamia Lanceolata. China Standards Press: Beijing, China, 2015.
- LY/T 2654-2016; Tree Biomass Models and Related Parameters to Carbon Accounting for Larix. China Standards Press: Beijing, China, 2017.
- LY/T 2656-2016; Tree Biomass Models and Related Parameters to Carbon Accounting for Abies. China Standards Press: Beijing, China, 2017.
- LY/T 2655-2016; Tree Biomass Models and Related Parameters to Carbon Accounting for Picea. China Standards Press: Beijing, China, 2017.
- LY/T 2657-2016; Tree Biomass Models and Related Parameters to Carbon Accounting for Cryptomeria. China Standards Press: Beijing, China, 2017.
- LY/T 2658-2016; Tree Biomass Models and Related Parameters to Carbon Accounting for Quercus. China Standards Press: Beijing, China, 2017.
- LY/T 2659-2016; Tree Biomass Models and Related Parameters to Carbon Accounting for Betula. China Standards Press: Beijing, China, 2017.
- LY/T 2660-2016; Tree Biomass Models and Related Parameters to Carbon Accounting for Liquidambar formosana. China Standards Press: Beijing, China, 2017.
- LY/T 2661-2016; Tree Biomass Models and Related Parameters to Carbon Accounting for Robinia pseudoacacia. China Standards Press: Beijing, China, 2017.
- Shiver, B.D.; Brister, G.H. Tree and stand volume functions for Eucalyptus saligna. For. Ecol. Manag. 1992, 47, 211–223. [Google Scholar] [CrossRef]
- Chamshama, S.A.O.; Mugasha, A.G.; Zahabu, E. Stand biomass and volume estimation for Miombo woodlands at Kitulangalo, Morogoro, Tanzania. S. Afr. For. J. 2004, 200, 59–69. [Google Scholar] [CrossRef]
- Castedo-Dorado, F.; Gómez-García, E.; Diéguez-Aranda, U.; Barrio-Anta, M.; Crecente-Campo, F. Aboveground stand-level biomass estimation: A comparison of two methods for major forest species in northwest Spain. Ann. Forest Sci. 2012, 69, 735–746. [Google Scholar] [CrossRef]
- Usoltsev, V.A.; Shobairi, S.O.R.; Chasovskikh, V.P. Triple harmonization of transcontinental allometric of Picea spp. and Abies spp. forest stand biomass. Ecol. Environ. Conserv. 2018, 24, 1966–1972. [Google Scholar]
- Jagodziński, A.M.; Dyderski, M.K.; Gęsikiewicz, K.; Horodecki, P.; Cysewska, A.; Wierczyńska, S.; Maciejczyk, K. How do tree stand parameters affect young Scots pine biomass?—Allometric equations and biomass conversion and expansion factors. For. Ecol. Manag. 2018, 409, 74–83. [Google Scholar] [CrossRef]
- Jagodziński, A.M.; Dyderski, M.K.; Gęsikiewicz, K.; Horodecki, P. Tree- and stand-level biomass estimation in a Larix decidua Mill. chronosequence. Forests 2018, 9, 587. [Google Scholar] [CrossRef]
- Jagodziński, A.M.; Dyderski, M.K.; Gęsikiewicz, K.; Horodecki, P. Effects of stand features of aboveground biomass and biomass conversion and expansion factors based on a Pinus sylvestris L. chronosequence in western Poland. Eur. J. For. Res. 2019, 138, 673–683. [Google Scholar] [CrossRef]
- Fang, J.Y.; Liu, G.H.; Xu, S.L. Biomass and net production of forest vegetation in China. Acta Ecol. Sin. 1996, 16, 497–508. [Google Scholar]
- Fang, J.; Chen, A.; Peng, C.; Zhao, S.; Ci, L. Changes in forest biomass carbon storage in China between 1949 and 1998. Science 2001, 292, 2320–2322. [Google Scholar] [CrossRef] [PubMed]
- Zeng, W.S.; Sun, X.N.; Wang, L.R.; Wang, W.; Pu, Y. Developing stand volume, biomass and carbon stock models for ten major forest types in forest region of northeastern China. J. Beijing For. Uni. 2021, 43, 1–8. [Google Scholar]
- Wang, B.; Liu, M.C.; Zhang, B. Dynamics of net production of Chinese forest vegetation based on forest inventory data. For. Resour. Manag. 2009, 1, 35–42. [Google Scholar]
- Hou, Y.-N.; Wu, H.-L.; Zeng, W.-X.; Xiang, W.-H. Conversion parameters for stand biomass estimation of four subtropical forests in southern China. In DEStech Transactions on Environment Energy and Earth Science; DEStech: Lancaster, PA, USA, 2017. [Google Scholar] [CrossRef]
- Mei, G.Y.; Sun, Y.J.; Saeed, S. Models for predicting the biomass of Cunninghamia lanceolata trees and stands in southeastern China. PLoS ONE 2017, 12, e0169747. [Google Scholar]
- Zhao, M.; Yang, J.; Zhao, N.; Liu, Y.; Wang, Y.; Wilson, J.P.; Yue, T. Estimation of China’s forest stand biomass carbon sequestration based on the continuous biomass expansion factor model and seven forest inventories from 1977 to 2013. For. Ecol. Manag. 2019, 448, 528–534. [Google Scholar] [CrossRef]
- Dong, L.H.; Zhang, L.J.; Li, F.R. Evaluation of stand biomass estimation methods for major forest types in the eastern Da Xing’an Mountain, northeast China. Forests 2019, 10, 715. [Google Scholar] [CrossRef]
- Zhou, X.; Lei, X.; Peng, C.; Wang, W.; Zhou, C.; Liu, C.; Liu, Z. Correcting the overestimate of forest biomass carbon on the national scale. Method Ecol. Evol. 2016, 7, 447–455. [Google Scholar] [CrossRef]
- Zhou, X.; Lei, X.; Liu, C.; Huang, H.; Zhou, C.; Peng, C. Re-estimating the changes and ranges of forest biomass carbon in China during the past 40 years. For. Ecosyst. 2019, 6, 51. [Google Scholar] [CrossRef]
- Tang, X.; Zhao, X.; Bai, Y.; Tang, Z.; Wang, W.; Zhao, Y.; Wan, H.; Xie, Z.; Shi, X.; Wu, B.; et al. Carbon pools in China’s terrestrial ecosystems: New estimates based on an intensive field survey. Proc. Natl. Acad. Sci. USA 2018, 115, 4021–4026. [Google Scholar] [CrossRef] [PubMed]
- Zhang, Y.X.; Wang, X.J.; Pu, Y.; Zhang, J. Changes in forest resource carbon storage in China between 1949 and 2018. J. Beijing For. Univ. 2021, 43, 1–14. [Google Scholar]
- Zhang, Y.X.; Wang, X.J. Study on forest volume-to-biomass modeling and carbon storage dynamics in China. Sci. Sin. Vitae 2021, 51, 199–214. [Google Scholar]
- Zeng, W.S. Developing tree biomass models for eight major tree species in China. In Biomass Volume Estimation and Valorization for Energy; InTech: Zegreb, Croatia, 2017. [Google Scholar] [CrossRef]
- GB/T 43648-2024; Tree Biomass Models and Related Parameters to Carbon Accounting for Major Tree Species. China Standards Press: Beijing, China, 2024.
- Lambert, M.C.; Ung, C.H.; Raulier, F. Canadian national tree aboveground biomass models. Can. J. For. Res. 2005, 35, 1996–2018. [Google Scholar] [CrossRef]
- Zianis, D.; Muukkonen, P.; Mäkipää, R.; Mencuccini, M. Biomass and stem volume equations for tree species in Europe. Silva Fenn. 2005, 4, 1–63. [Google Scholar] [CrossRef]
- Ter-Mikaelian, M.T.; Korzukhin, M.D. Biomass equations for sixty-five north American tree species. For. Ecol. Manag. 1997, 97, 1–24. [Google Scholar] [CrossRef]
- Zeng, W.S.; Tang, S.Z. Bias correction in logarithmic regression and comparison with weighted regression for non-linear models. For. Res. 2011, 24, 137–143. [Google Scholar]
- Zeng, W.S. Comparison of different weight functions in weighted regression. For. Resour. Manag. 2013, 5, 55–61. [Google Scholar]
- Wang, M.; Borders, B.E.; Zhao, D. An empirical comparison of two subject-specific approaches to dominant heights modeling the dummy variable method and the mixed model method. For. Ecol. Manag. 2008, 255, 2659–2669. [Google Scholar] [CrossRef]
- Fu, L.; Lei, Y.; Wang, G.; Bi, H.; Tang, S.; Song, X. Comparison of seemingly unrelated regressions with error-in-variable models for developing a system of nonlinear additive biomass equations. Trees 2016, 30, 839–857. [Google Scholar] [CrossRef]
- GB/T 38590; Technical Regulations for Continuous Forest Inventory. China Standards Press: Beijing, China, 2020.
- Zeng, W.S.; Tang, S.Z.; Huang, G.S.; Zhang, M. Population classification and sample structure on modeling of single-tree biomass equations for national biomass estimation in China. For. Resour. Manag. 2010, 3, 16–23. [Google Scholar]
- Parresol, B.R. Assessing tree and stand biomass: A review with examples and, critical comparisons. For. Sci. 1999, 45, 573–593. [Google Scholar] [CrossRef]
- Zeng, W.S.; Tang, S.Z. Evaluation and precision analysis of tree biomass equations. Sci. Silvae Sin. 2011, 47, 106–113. [Google Scholar]
- Fu, L.Y.; Zeng, W.S.; Tang, S.Z. Individual tree biomass models to estimate forest biomass for large spatial regions developed using four pine species in China. For. Sci. 2017, 63, 241–249. [Google Scholar]
- Zeng, W.; Zhang, L.; Chen, X.; Cheng, Z.; Ma, K.; Li, Z. Construction of compatible and additive individual-tree biomass models for Pinus tabulaeformis in China. Can. J. For. Res. 2017, 47, 467–475. [Google Scholar] [CrossRef]


| Forest Type | Number of Plots | Modeling Samples | Validation Samples | |||||
|---|---|---|---|---|---|---|---|---|
| Number of Plots | Max Volume (m3/ha) | Max Biomass (t/ha) | Number of Plots | Max Volume (m3/ha) | Max Biomass (t/ha) | |||
| Coniferous | Abies spp. | 534 | 355 | 1439 | 764 | 179 | 1364 | 792 |
| Picea spp. | 1353 | 900 | 941 | 564 | 453 | 800 | 487 | |
| Larix spp. | 2495 | 1665 | 485 | 381 | 830 | 522 | 379 | |
| Cunninghamia lanceolata | 3152 | 2100 | 456 | 257 | 1052 | 454 | 262 | |
| Cupressus spp. | 1328 | 885 | 511 | 768 | 443 | 388 | 622 | |
| Pinus massoniana | 2607 | 1740 | 319 | 325 | 867 | 333 | 290 | |
| P. tabulaeformis | 1186 | 790 | 306 | 377 | 396 | 275 | 343 | |
| P. yunnanensis | 766 | 510 | 340 | 250 | 256 | 355 | 242 | |
| Other coniferous | 1681 | 1125 | 471 | 323 | 556 | 414 | 327 | |
| Mixed | Conifer mixed | 1898 | 1265 | 881 | 600 | 633 | 789 | 487 |
| Conifer–broadleaf mixed | 4364 | 2910 | 650 | 606 | 1454 | 502 | 436 | |
| Broadleaf mixed | 13,073 | 8715 | 732 | 870 | 4358 | 706 | 723 | |
| Broadleaves | Quercus spp. | 4474 | 2980 | 706 | 875 | 1494 | 402 | 538 |
| Betula spp. | 2201 | 1465 | 472 | 359 | 736 | 420 | 360 | |
| Populus spp. | 3924 | 2615 | 396 | 367 | 1309 | 380 | 298 | |
| Robinia pseudoacacia | 830 | 550 | 188 | 248 | 280 | 193 | 245 | |
| Eucalyptus spp. | 1036 | 690 | 261 | 296 | 346 | 195 | 248 | |
| Hevea brasiliensis | 701 | 465 | 298 | 241 | 236 | 370 | 296 | |
| Other hardwood | 3368 | 2245 | 488 | 549 | 1123 | 443 | 509 | |
| Other softwood | 1729 | 1150 | 381 | 366 | 579 | 422 | 321 | |
| Forest Category | Forest Type | Forest Sub-Type/Level III | |
|---|---|---|---|
| Level I | Level II | Number | Name |
| Coniferous | Abies spp. | 2 | Abies spp. I (N); Abies spp. II (SW) |
| Picea spp. | 2 | Picea spp. I (N); Picea spp. II (SW) | |
| Larix spp. | 3 | Larix spp. I (NE); Larix spp. II (NC); Larix spp. III (W) | |
| Cunninghamia lanceolata | 3 | C. lanceolata I (EC); C. lanceolata II (CS); C. lanceolata III (SW) | |
| Cupressus spp. | 3 | Cupressus spp. I (NE + NC); Cupressus spp. II (NW); Cupressus spp. III (S) | |
| Pinus massoniana | 3 | P. massoniana I (EC); P. massoniana II (CS); P. massoniana III (SW) | |
| P. tabulaeformis | 1 | P. tabulaeformis | |
| P. yunnanensis | 1 | P. yunnanensis | |
| Other coniferous | 8 | P. sylvestris; P. armandii; P. densata; P. K.T.D.; Foreign pine; Other pine; Cryptomeria spp.; Other coniferous | |
| Mixed | Conifer mixed | 4 | Conifer mixed I (N); Conifer mixed II (EC); Conifer mixed III (CS); Conifer mixed IV (SW) |
| Conifer–broadleaf mixed | 5 | Conifer–broadleaf I (NE); Conifer–broadleaf II (NC + NW); Conifer–broadleaf III (EC); Conifer–broadleaf IV (CS); Conifer–broadleaf V (SW) | |
| Broadleaf mixed | 6 | Broadleaf mixed I (NE); Broadleaf mixed II (NC); Broadleaf mixed III (NW); Broadleaf mixed IV (EC); Broadleaf mixed V (CS); Broadleaf mixed VI (SW) | |
| Broadleaves | Quercus spp. | 5 | Quercus spp. I (NE); Quercus spp. II (NC); Quercus spp. III (NW); Quercus spp. IV (SE); Quercus spp. V (SW) |
| Betula spp. | 3 | Betula spp. I (NE); Betula spp. II (NC); Betula spp. III (W) | |
| Populus spp. | 4 | Populus spp. I (NE); Populus spp. II (NC); Populus spp. III (W); Populus spp. IV (SE) | |
| Robinia pseudoacacia | 1 | R. pseudoacacia | |
| Eucalyptus spp. | 1 | Eucalyptus spp. | |
| Hevea brasiliensis | 1 | H. brasiliensis | |
| Other hardwood | 12 | F.J.P.; C.S.P.; Ulmus spp.; Schima superba; Juglans regia; Castanea mollissima; Quercus variabilis; Other non-wood; Other hardwood I (NE + NC); Other hardwood II (NW); Other hardwood III (EC); Other hardwood IV (CS + SW) | |
| Other softwood | 6 | Tilia tuan; Salix spp.; Other softwood I (NE + NC); Other softwood II (NW); Other softwood III (SE); Other softwood IV (SW) | |
| Level | Type | Parameter Estimate | Evaluation Indices of Biomass Model | |||||||||
|---|---|---|---|---|---|---|---|---|---|---|---|---|
| ai | bi | ci | RSR | di (CF) | R2 | SEE/t | TRE/% | ASE/% | MPE/% | MPSE/% | ||
| Population | Forest | 1.4864 | 0.9792 | 0.7973 | 0.2542 | 0.4891 | 0.781 | 34.62 | 0.00 | 5.30 | 0.42 | 22.38 |
| Level I | Coniferous | 1.6355 | 0.8129 | 0.8069 | 0.2393 | 0.4994 | 0.787 | 35.69 | −0.01 | 8.52 | 0.80 | 24.60 |
| Mixed | 1.7434 | 1.0463 | 0.7956 | 0.2569 | 0.4868 | 0.884 | 25.39 | −0.04 | 3.45 | 0.45 | 16.81 | |
| Broadleaved | 0.2986 | 1.1133 | 0.7959 | 0.2564 | 0.4838 | 0.887 | 23.06 | −0.01 | 3.93 | 0.55 | 21.68 | |
| Level II | Abies spp. | 5.5779 | 0.5937 | 0.8180 | 0.2225 | 0.4951 | 0.873 | 47.30 | −0.06 | 2.20 | 2.21 | 17.30 |
| Picea spp. | 1.6095 | 0.7157 | 0.7991 | 0.2514 | 0.4901 | 0.914 | 29.89 | −0.01 | 5.50 | 1.23 | 15.65 | |
| Larix spp. | 1.0427 | 0.8228 | 0.7794 | 0.2830 | 0.4888 | 0.936 | 14.99 | 0.00 | 2.70 | 0.82 | 13.28 | |
| Cunninghamia lanceolata | 0.5904 | 0.7118 | 0.8109 | 0.2332 | 0.4969 | 0.936 | 12.06 | 0.00 | 4.36 | 0.87 | 14.04 | |
| Cupressus spp. | 0.4836 | 1.5336 | 0.8007 | 0.2489 | 0.5013 | 0.947 | 22.57 | 0.00 | 2.88 | 1.65 | 16.47 | |
| Pinus massoniana | 1.7401 | 0.9726 | 0.8297 | 0.2053 | 0.5162 | 0.954 | 11.20 | 0.02 | 0.91 | 0.67 | 10.01 | |
| P. tabulaeformis | 0.0901 | 1.1255 | 0.8098 | 0.2349 | 0.5130 | 0.966 | 16.18 | 0.00 | 0.05 | 1.66 | 15.60 | |
| P. yunnanensis | 0.9361 | 0.6499 | 0.8453 | 0.1830 | 0.5047 | 0.973 | 11.89 | 0.00 | 3.94 | 1.71 | 13.79 | |
| Other coniferous | 0.9884 | 0.8313 | 0.8041 | 0.2436 | 0.5009 | 0.874 | 20.90 | −0.03 | 6.63 | 1.64 | 20.41 | |
| Conifer mixed | 0.5828 | 1.2964 | 0.8088 | 0.2364 | 0.5014 | 0.921 | 19.64 | 0.06 | 1.69 | 1.22 | 14.21 | |
| Conifer–broadleaf mixed | 0.5018 | 1.0149 | 0.7961 | 0.2561 | 0.4920 | 0.894 | 20.58 | −0.01 | 3.37 | 0.89 | 15.80 | |
| Broadleaf mixed | 0.0077 | 0.9022 | 0.7938 | 0.2598 | 0.4835 | 0.916 | 22.67 | −0.03 | 3.19 | 0.47 | 15.44 | |
| Quercus spp. | 0.6954 | 1.5388 | 0.7930 | 0.2610 | 0.4810 | 0.917 | 26.78 | −0.01 | 3.27 | 0.85 | 17.44 | |
| Betula spp. | 0.3333 | 1.1740 | 0.7821 | 0.2786 | 0.4867 | 0.898 | 17.39 | 0.00 | 1.77 | 1.03 | 14.36 | |
| Populus spp. | 0.8226 | 0.8607 | 0.8246 | 0.2127 | 0.4725 | 0.933 | 12.21 | 0.00 | 1.86 | 0.78 | 12.83 | |
| Robinia pseudoacacia | 0.3439 | 1.2130 | 0.7832 | 0.2768 | 0.4838 | 0.934 | 10.75 | −0.01 | 1.94 | 2.00 | 14.68 | |
| Eucalyptus spp. | 0.5703 | 0.9935 | 0.7793 | 0.2832 | 0.5238 | 0.962 | 8.98 | 0.00 | 1.32 | 1.18 | 8.88 | |
| Hevea brasiliensis | 4.0799 | 0.8272 | 0.7981 | 0.2530 | 0.4956 | 0.991 | 4.10 | −0.01 | 2.48 | 0.53 | 5.96 | |
| Other hardwood | 2.6170 | 0.9515 | 0.7880 | 0.2690 | 0.4856 | 0.933 | 14.37 | −0.01 | 2.95 | 1.17 | 17.67 | |
| Other softwood | 1.5064 | 1.1073 | 0.7954 | 0.2572 | 0.4873 | 0.896 | 18.66 | −0.02 | 5.29 | 1.79 | 19.75 | |
| Level III | Abies spp. I | 1.9730 | 0.7767 | 0.8017 | 0.2473 | 0.4955 | 0.989 | 13.10 | 0.00 | 0.56 | 1.02 | 5.09 |
| Abies spp. II | 3.6239 | 0.5359 | 0.8267 | 0.2096 | 0.4950 | 0.971 | 23.16 | 0.01 | 1.52 | 1.36 | 8.97 | |
| Picea spp. I | 1.4994 | 0.7351 | 0.7918 | 0.2629 | 0.4900 | 0.899 | 31.11 | 0.00 | 5.75 | 1.42 | 16.25 | |
| Picea spp. II | 3.4253 | 0.6405 | 0.8282 | 0.2074 | 0.4903 | 0.978 | 17.05 | −0.01 | 1.63 | 1.63 | 8.27 | |
| Larix spp. I | 0.6576 | 0.9237 | 0.7452 | 0.3419 | 0.4885 | 0.967 | 9.24 | 0.00 | 1.35 | 0.87 | 9.95 | |
| Larix spp. II | 0.4562 | 0.7999 | 0.7836 | 0.2762 | 0.4888 | 0.939 | 12.49 | 0.00 | 0.81 | 1.12 | 10.26 | |
| Larix spp. III | 2.3320 | 0.7342 | 0.8285 | 0.2070 | 0.4895 | 0.973 | 14.02 | 0.01 | 2.47 | 1.37 | 11.69 | |
| Cunninghamia lanceolata I | 0.7850 | 0.6990 | 0.8100 | 0.2346 | 0.4965 | 0.920 | 14.32 | 0.00 | 4.60 | 1.40 | 16.21 | |
| Cunninghamia lanceolata II | 0.4758 | 0.7229 | 0.8120 | 0.2315 | 0.4974 | 0.954 | 8.85 | 0.00 | 4.52 | 1.29 | 11.56 | |
| Cunninghamia lanceolata III | 0.4392 | 0.7268 | 0.8115 | 0.2323 | 0.4973 | 0.953 | 10.36 | 0.00 | 2.99 | 1.56 | 12.57 | |
| Cupressus spp. I | 0.0735 | 1.7647 | 0.7997 | 0.2505 | 0.5020 | 0.947 | 9.14 | 0.00 | 0.89 | 2.92 | 11.70 | |
| Cupressus spp. II | 2.0093 | 1.6802 | 0.8006 | 0.2491 | 0.5030 | 0.956 | 28.59 | 0.00 | 2.14 | 2.54 | 12.57 | |
| Cupressus spp. III | 1.0093 | 1.3584 | 0.8012 | 0.2481 | 0.4995 | 0.968 | 13.95 | 0.00 | 2.07 | 1.55 | 10.56 | |
| Pinus massoniana I | 1.3985 | 0.9519 | 0.8303 | 0.2044 | 0.5157 | 0.947 | 11.84 | 0.02 | 1.10 | 1.29 | 11.00 | |
| Pinus massoniana II | 1.8000 | 1.0408 | 0.8278 | 0.2080 | 0.5166 | 0.953 | 10.28 | 0.02 | 0.23 | 1.12 | 10.08 | |
| Pinus massoniana III | 1.6417 | 0.9385 | 0.8309 | 0.2035 | 0.5163 | 0.979 | 8.03 | 0.01 | 0.38 | 0.75 | 7.13 | |
| P. tabulaeformis | 0.0940 | 1.1255 | 0.8098 | 0.2349 | 0.5130 | 0.916 | 16.18 | 0.00 | 0.03 | 1.66 | 15.60 | |
| P. yunnanensis | 0.9394 | 0.6499 | 0.8453 | 0.1830 | 0.5047 | 0.909 | 11.89 | 0.00 | 3.94 | 1.71 | 13.79 | |
| P. sylvestris var. mongolica | 0.5574 | 0.8918 | 0.7950 | 0.2579 | 0.5163 | 0.873 | 21.25 | 0.00 | 4.26 | 4.68 | 17.69 | |
| P. K.T.D. | 0.8327 | 0.8267 | 0.8028 | 0.2456 | 0.5065 | 0.864 | 23.09 | 0.05 | 9.86 | 5.22 | 24.67 | |
| P. armandii | 0.5115 | 0.9231 | 0.8021 | 0.2467 | 0.5175 | 0.981 | 7.78 | 0.00 | 1.02 | 1.84 | 8.62 | |
| Level III | P. densata | 3.1127 | 0.6639 | 0.8267 | 0.2096 | 0.4904 | 0.970 | 10.63 | 0.00 | 0.97 | 1.86 | 8.42 |
| Foreign pine | 0.7032 | 0.9988 | 0.7793 | 0.2832 | 0.4763 | 0.976 | 6.55 | 0.00 | 1.67 | 1.48 | 8.85 | |
| Other pine | 3.9524 | 0.8538 | 0.8331 | 0.2003 | 0.5070 | 0.869 | 21.56 | 0.05 | 1.61 | 3.99 | 22.33 | |
| Cryptomeria spp. | 0.9519 | 0.7296 | 0.7809 | 0.2806 | 0.5052 | 0.968 | 11.52 | −0.01 | 4.84 | 2.89 | 10.82 | |
| Other coniferous | 0.8331 | 0.7273 | 0.8079 | 0.2378 | 0.4993 | 0.855 | 22.33 | 0.00 | 1.00 | 6.42 | 24.38 | |
| Conifer mixed I | 5.2106 | 0.7982 | 0.7963 | 0.2558 | 0.4944 | 0.929 | 23.92 | 0.06 | 4.28 | 2.41 | 17.35 | |
| Conifer mixed II | 2.4575 | 0.8529 | 0.8116 | 0.2321 | 0.5033 | 0.915 | 14.73 | −0.02 | 1.76 | 1.76 | 13.81 | |
| Conifer mixed III | 1.2449 | 0.9207 | 0.8132 | 0.2297 | 0.5047 | 0.959 | 9.48 | −0.01 | 0.82 | 1.73 | 10.35 | |
| Conifer mixed IV | 4.4595 | 0.8099 | 0.8159 | 0.2256 | 0.5044 | 0.906 | 24.82 | 0.05 | 1.71 | 2.97 | 13.66 | |
| Conifer–broadleaf mixed I | 1.8584 | 0.8430 | 0.7829 | 0.2773 | 0.4870 | 0.930 | 17.73 | 0.00 | 2.52 | 1.37 | 10.22 | |
| Conifer–broadleaf mixed II | 3.8893 | 1.1026 | 0.7938 | 0.2598 | 0.4934 | 0.877 | 21.66 | 0.01 | 0.89 | 2.35 | 16.44 | |
| Conifer–broadleaf mixed III | 1.7448 | 1.0257 | 0.7965 | 0.2555 | 0.4918 | 0.935 | 16.07 | −0.01 | 2.12 | 1.42 | 14.12 | |
| Conifer–broadleaf mixed IV | 1.1497 | 1.0444 | 0.7974 | 0.2541 | 0.4950 | 0.940 | 10.91 | −0.01 | 2.41 | 1.31 | 12.54 | |
| Conifer-broadleaf mixed V | 2.2794 | 0.8772 | 0.8121 | 0.2314 | 0.4945 | 0.923 | 19.06 | −0.04 | 2.89 | 1.88 | 14.32 | |
| Broadleaf mixed I | 0.4864 | 0.9751 | 0.7927 | 0.2615 | 0.4798 | 0.909 | 19.82 | 0.00 | 1.37 | 0.69 | 11.40 | |
| Broadleaf mixed II | −0.0928 | 1.3711 | 0.7894 | 0.2668 | 0.4838 | 0.927 | 16.58 | 0.00 | 0.75 | 1.85 | 14.87 | |
| Broadleaf mixed III | −0.0875 | 1.3001 | 0.7965 | 0.2555 | 0.4849 | 0.954 | 16.91 | 0.00 | 1.28 | 1.02 | 11.90 | |
| Broadleaf mixed IV | 1.3414 | 1.2308 | 0.7905 | 0.2650 | 0.4833 | 0.952 | 17.96 | −0.01 | 3.33 | 0.80 | 13.05 | |
| Broadleaf mixed V | 1.8432 | 1.1634 | 0.7911 | 0.2641 | 0.4865 | 0.960 | 15.28 | −0.02 | 1.40 | 0.79 | 11.35 | |
| Broadleaf mixed VI | 0.9649 | 1.0453 | 0.8035 | 0.2446 | 0.4863 | 0.956 | 19.22 | −0.03 | 3.09 | 1.06 | 12.15 | |
| Quercus spp. I | −1.0068 | 1.1471 | 0.7818 | 0.2791 | 0.4795 | 0.970 | 13.96 | 0.00 | 1.13 | 0.80 | 9.89 | |
| Quercus spp. II | −0.0049 | 1.5550 | 0.7821 | 0.2786 | 0.4808 | 0.946 | 15.61 | 0.00 | −0.06 | 1.14 | 11.37 | |
| Quercus spp. III | −0.2365 | 1.4851 | 0.7968 | 0.2550 | 0.4815 | 0.961 | 19.38 | 0.00 | 0.87 | 1.34 | 9.94 | |
| Quercus spp. IV | 1.0500 | 1.4135 | 0.7912 | 0.2639 | 0.4823 | 0.957 | 18.15 | −0.02 | 2.81 | 1.77 | 14.07 | |
| Quercus spp. V | −0.1926 | 1.1182 | 0.8217 | 0.2170 | 0.4820 | 0.969 | 23.36 | 0.01 | 4.84 | 1.54 | 11.61 | |
| Betula spp. I | 0.1938 | 0.9346 | 0.7613 | 0.3135 | 0.4862 | 0.984 | 6.21 | 0.00 | −0.73 | 0.88 | 6.91 | |
| Betula spp. II | 1.5641 | 1.0444 | 0.7850 | 0.2739 | 0.4868 | 0.858 | 18.71 | 0.00 | 2.50 | 1.40 | 15.79 | |
| Betula spp. III | 0.7607 | 1.0042 | 0.7970 | 0.2547 | 0.4870 | 0.885 | 22.14 | −0.01 | 3.63 | 2.82 | 12.73 | |
| Populus spp. I | 0.1542 | 0.7329 | 0.7968 | 0.2550 | 0.4731 | 0.982 | 7.14 | 0.00 | 1.33 | 1.17 | 11.25 | |
| Populus spp. II | −0.0628 | 0.9791 | 0.8170 | 0.2240 | 0.4724 | 0.973 | 7.49 | 0.00 | 1.56 | 0.72 | 9.17 | |
| Populus spp. III | −0.3020 | 0.8946 | 0.8195 | 0.2203 | 0.4729 | 0.956 | 11.94 | 0.01 | 0.81 | 1.97 | 13.26 | |
| Populus spp. IV | −0.3962 | 0.9141 | 0.8601 | 0.1627 | 0.4721 | 0.907 | 12.13 | 0.01 | 1.31 | 1.50 | 14.09 | |
| Robinia pseudoacacia | 0.7447 | 1.5370 | 0.7832 | 0.2768 | 0.4838 | 0.934 | 10.74 | 0.00 | 1.75 | 2.01 | 14.68 | |
| Eucalyptus spp. | 0.3307 | 1.1740 | 0.7793 | 0.2832 | 0.5238 | 0.962 | 8.98 | 0.00 | 1.33 | 1.18 | 8.88 | |
| Hevea brasiliensis | 0.8497 | 0.8604 | 0.7981 | 0.2530 | 0.4956 | 0.991 | 4.09 | −0.01 | 2.43 | 0.53 | 5.93 | |
| F.J.P. | 0.4219 | 0.9889 | 0.7929 | 0.2612 | 0.4822 | 0.908 | 14.30 | 0.00 | 4.38 | 3.49 | 14.22 | |
| C.S.P. | 1.0519 | 1.1024 | 0.7934 | 0.2604 | 0.4894 | 0.975 | 8.00 | −0.01 | 1.08 | 1.96 | 7.44 | |
| Ulmus spp. | 0.7656 | 1.0968 | 0.7844 | 0.2749 | 0.4839 | 0.938 | 10.41 | 0.00 | 4.89 | 2.73 | 16.44 | |
| Schima superba | 0.4144 | 1.2017 | 0.7728 | 0.2940 | 0.4746 | 0.942 | 15.88 | 0.00 | 1.67 | 3.81 | 14.17 | |
| Juglans regia | 0.3120 | 1.0375 | 0.7907 | 0.2647 | 0.4952 | 0.968 | 2.65 | −0.02 | 1.59 | 2.76 | 11.32 | |
| Castanea mollissima | 0.2104 | 1.1672 | 0.7958 | 0.2566 | 0.4943 | 0.943 | 8.21 | −0.01 | 1.72 | 3.46 | 13.91 | |
| Quercus variabilis | −0.2029 | 1.5204 | 0.7823 | 0.2783 | 0.4945 | 0.963 | 10.46 | 0.00 | −0.95 | 3.77 | 12.58 | |
| Other non-wood | 0.4858 | 1.0736 | 0.7882 | 0.2687 | 0.4944 | 0.964 | 5.32 | −0.01 | 2.30 | 1.86 | 12.61 | |
| Other hardwood I | 0.4491 | 1.4058 | 0.7852 | 0.2736 | 0.4834 | 0.919 | 11.75 | −0.01 | 3.80 | 4.08 | 15.92 | |
| Other hardwood II | −0.1049 | 1.4276 | 0.7986 | 0.2522 | 0.4842 | 0.980 | 11.53 | 0.00 | 1.87 | 2.25 | 13.11 | |
| Other hardwood III | 1.0589 | 1.3343 | 0.7842 | 0.2752 | 0.4829 | 0.958 | 14.14 | −0.01 | 5.09 | 2.74 | 15.51 | |
| Other hardwood IV | 0.4022 | 1.2749 | 0.7886 | 0.2681 | 0.4827 | 0.950 | 18.16 | −0.01 | 4.25 | 3.67 | 15.88 | |
| Tilia tuan | 1.7288 | 0.8643 | 0.7949 | 0.2580 | 0.4617 | 0.879 | 19.92 | −0.04 | 3.26 | 4.21 | 15.76 | |
| Salix spp. | 0.3393 | 0.9938 | 0.7948 | 0.2582 | 0.4929 | 0.932 | 9.15 | −0.01 | 2.21 | 4.00 | 16.19 | |
| Other softwood I | 0.4991 | 0.9423 | 0.7900 | 0.2658 | 0.4888 | 0.933 | 14.43 | −0.01 | 6.15 | 3.11 | 21.26 | |
| Other softwood II | 0.8547 | 1.3636 | 0.8010 | 0.2484 | 0.4938 | 0.898 | 19.83 | −0.02 | 4.27 | 3.89 | 19.19 | |
| Other softwood III | 0.6294 | 0.9392 | 0.7895 | 0.2666 | 0.4937 | 0.963 | 9.45 | −0.01 | 4.70 | 2.82 | 16.84 | |
| Other softwood IV | 1.3184 | 0.9434 | 0.8002 | 0.2497 | 0.4891 | 0.953 | 13.90 | −0.04 | 3.00 | 2.53 | 10.55 | |
| Model | Level | R2 | SEE | TRE/% | ASE/% | MPE/% | MPSE/% |
|---|---|---|---|---|---|---|---|
| (1) Total biomass | Population | 0.781 | 34.62 | 0.00 | 5.30 | 0.42 | 22.38 |
| Level I | 0.857 | 28.04 | −0.02 | 5.07 | 0.34 | 20.73 | |
| Level II | 0.928 | 19.88 | −0.01 | 3.01 | 0.24 | 15.11 | |
| Level III | 0.955 | 15.80 | 0.00 | 2.15 | 0.19 | 12.42 | |
| (2) Above-ground biomass | Population | 0.796 | 27.07 | 0.22 | 4.74 | 0.41 | 21.69 |
| Level I | 0.864 | 22.07 | −0.01 | 4.35 | 0.34 | 20.10 | |
| Level II | 0.933 | 15.55 | 0.00 | 2.31 | 0.24 | 14.69 | |
| Level III | 0.957 | 12.51 | 0.00 | 1.52 | 0.19 | 12.11 | |
| (3) Carbon storage | Population | 0.786 | 16.72 | 0.05 | 5.48 | 0.42 | 22.36 |
| Level I | 0.851 | 13.94 | −0.07 | 5.32 | 0.35 | 21.11 | |
| Level II | 0.927 | 9.79 | −0.05 | 3.06 | 0.24 | 15.15 | |
| Level III | 0.954 | 7.76 | −0.04 | 2.14 | 0.19 | 12.43 |
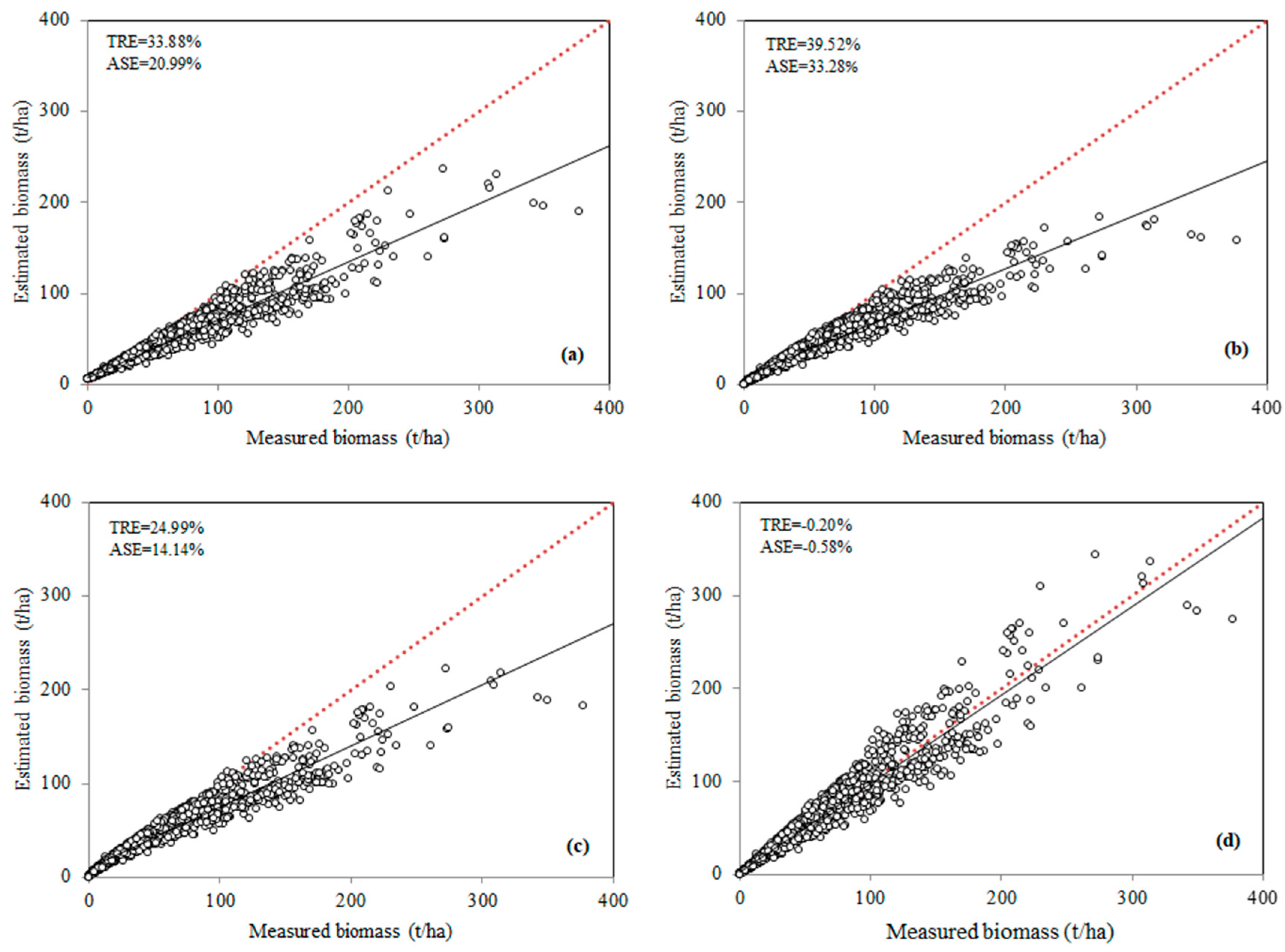
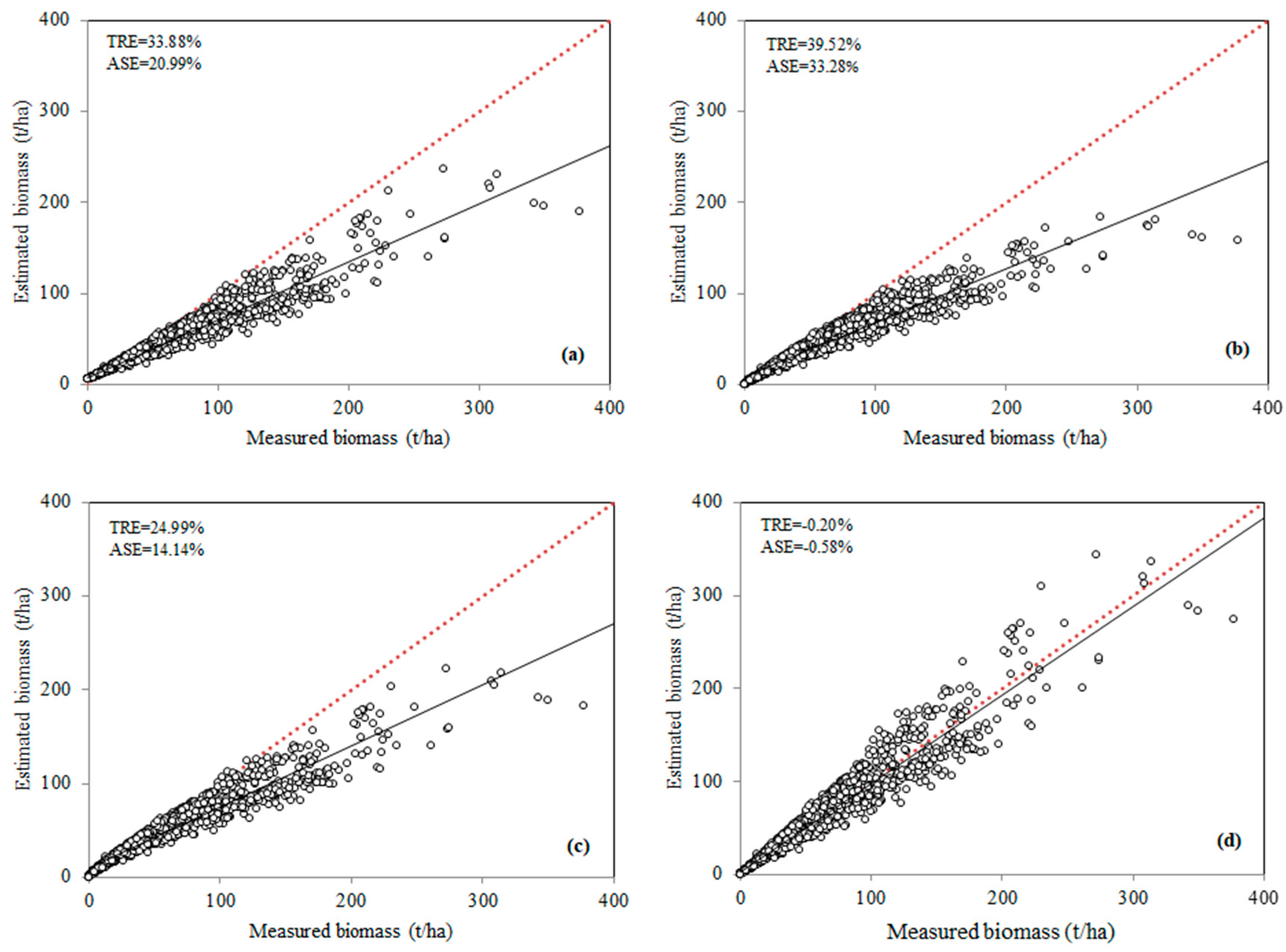
| Forest Type | Validation Samples | All Samples | Biomass Models | Source | Sample Size | ||
|---|---|---|---|---|---|---|---|
| TRE/% | ASE/% | TRE/% | ASE/% | ||||
| Larix spp. | −10.13 | −19.82 | −10.41 | −19.79 | B = 33.806 + 0.6096V | Fang et al. [30] | 34 |
| 13.40 | 12.01 | 13.11 | 12.00 | B = V/(1.1111 + 0.0016V) | Wang et al. [32] | 39 | |
| 8.97 | 6.33 | 8.88 | 6.44 | B = 1.4091V0.8752 | Zhang et al. [41] | 241 | |
| −0.29 | 3.13 | −0.10 | 3.32 | B = 0.6986 + 0.8262V | This study | 1665 | |
| Cunninghamia lanceolata | 6.10 | −9.55 | 6.68 | −8.75 | B = 22.5410 + 0.3999V | Fang et al. [30] | 56 |
| 14.01 | 13.12 | 14.37 | 13.45 | B = V/(1.2917 + 0.0022V) | Wang et al. [32] | 70 | |
| 17.08 | 10.84 | 17.40 | 11.39 | B = 1.2877V0.8427 | Zhang et al. [41] | 88 | |
| −0.28 | 3.75 | −0.09 | 4.21 | B = 0.5743 + 0.7120V | This study | 2100 | |
| Pinus tabulaeformis | 33.26 | 20.89 | 33.88 | 20.99 | B = 5.0928 + 0.7554V | Fang et al. [30] | 82 |
| 38.56 | 33.33 | 39.52 | 33.28 | B = V/(1.0529 + 0.0020V) | Wang et al. [32] | 147 | |
| 24.27 | 14.11 | 24.99 | 14.14 | B = 1.7969V0.8416 | Zhang et al. [41] | 699 | |
| −0.60 | −0.47 | −0.20 | −0.58 | B = 0.2112 + 1.1235V | This study | 790 | |
| Forest Sub-Type | Parameter Estimates | Evaluation Indices of Biomass Model | |||||||||
|---|---|---|---|---|---|---|---|---|---|---|---|
| ai | bi | ci | RSR | Di(CF) | R2 | SEE/t | TRE/% | ASE/% | MPE/% | MPSE/% | |
| Broadleaf mixed II | 0.3940 | 1.3619 | 0.7893 | 0.2669 | 0.4838 | 0.927 | 16.60 | −0.01 | −0.82 | 1.86 | 14.74 |
| Broadleaf mixed III | 0.6511 | 1.2911 | 0.7964 | 0.2557 | 0.4849 | 0.955 | 16.90 | 0.01 | −0.31 | 1.02 | 11.38 |
| Quercus spp. I | 0.2090 | 1.1363 | 0.7817 | 0.2793 | 0.4795 | 0.970 | 14.16 | 0.01 | −2.87 | 0.81 | 8.46 |
| Quercus spp. II | 0.3647 | 1.5479 | 0.7820 | 0.2788 | 0.4808 | 0.946 | 15.61 | 0.01 | −1.68 | 1.14 | 11.84 |
| Quercus spp. III | 0.3070 | 1.4795 | 0.7968 | 0.2550 | 0.4815 | 0.961 | 19.33 | 0.00 | −0.67 | 1.34 | 10.01 |
| Quercus spp. V | 0.7385 | 1.1107 | 0.8216 | 0.2171 | 0.4820 | 0.969 | 23.29 | 0.00 | 1.98 | 1.53 | 11.01 |
| Populus spp. II | 0.3080 | 0.9727 | 0.8170 | 0.2240 | 0.4724 | 0.973 | 7.48 | 0.01 | −0.92 | 0.72 | 10.08 |
| Populus spp. III | 0.0941 | 0.8891 | 0.8194 | 0.2204 | 0.4729 | 0.956 | 11.96 | 0.00 | −1.23 | 1.97 | 12.92 |
| Populus spp. IV | 0.4810 | 0.9021 | 0.8600 | 0.1628 | 0.4721 | 0.908 | 12.10 | 0.01 | −0.82 | 1.50 | 13.76 |
| Quercus variabilis | 0.0492 | 1.5131 | 0.7823 | 0.2783 | 0.4945 | 0.963 | 10.52 | 0.00 | −4.88 | 3.79 | 12.73 |
| Other hardwood II | 0.1409 | 1.4235 | 0.7985 | 0.2523 | 0.4842 | 0.980 | 11.49 | 0.00 | 0.04 | 2.24 | 13.33 |
Disclaimer/Publisher’s Note: The statements, opinions and data contained in all publications are solely those of the individual author(s) and contributor(s) and not of MDPI and/or the editor(s). MDPI and/or the editor(s) disclaim responsibility for any injury to people or property resulting from any ideas, methods, instructions or products referred to in the content. |
© 2024 by the authors. Licensee MDPI, Basel, Switzerland. This article is an open access article distributed under the terms and conditions of the Creative Commons Attribution (CC BY) license (https://creativecommons.org/licenses/by/4.0/).
Share and Cite
Zeng, W.; Zou, W.; Chen, X.; Yang, X. A Three-Level Model System of Biomass and Carbon Storage for All Forest Types in China. Forests 2024, 15, 1305. https://doi.org/10.3390/f15081305
Zeng W, Zou W, Chen X, Yang X. A Three-Level Model System of Biomass and Carbon Storage for All Forest Types in China. Forests. 2024; 15(8):1305. https://doi.org/10.3390/f15081305
Chicago/Turabian StyleZeng, Weisheng, Wentao Zou, Xinyun Chen, and Xueyun Yang. 2024. "A Three-Level Model System of Biomass and Carbon Storage for All Forest Types in China" Forests 15, no. 8: 1305. https://doi.org/10.3390/f15081305
APA StyleZeng, W., Zou, W., Chen, X., & Yang, X. (2024). A Three-Level Model System of Biomass and Carbon Storage for All Forest Types in China. Forests, 15(8), 1305. https://doi.org/10.3390/f15081305

