Drivers of Hymenoscyphus fraxineus Infections in the Inner-Alpine Valleys of Northwestern Italy
Abstract
1. Introduction
2. Materials and Methods
2.1. Study Sites and Ash Tree Selection
2.2. Assessment of Ash Dieback Symptoms and Plant Tissue Samplings
2.3. Laboratory Analyses
2.4. Climatic Characterization of the Study Sites
2.5. Statistical Analysis and Modelling
3. Results
3.1. Incidence, Distribution, and Impact of Hymenoscyphus fraxineus
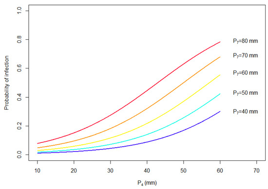
3.2. Ecological and Environmental Variables Associated with the Probability of Infection by Hymenoscyphus fraxineus
3.3. Spatial Gradients of the Impact of Hymenoschyphus fraxineus
3.4. Presence and Distribution of Hymenoschyphus albidus
4. Discussion
5. Conclusions
Supplementary Materials
Author Contributions
Funding
Data Availability Statement
Acknowledgments
Conflicts of Interest
References
- Bendel, M.; Kienast, F.; Bugmann, H.; Rigling, D. Incidence and distribution of Heterobasidion and Armillaria and their influence on canopy gap formation in unmanaged mountain pine forests in the Swiss Alps. Eur. J. Plant Pathol. 2006, 116, 85–93. [Google Scholar] [CrossRef]
- Ferracini, C.; Saitta, V.; Rondoni, G.; Rollet, I. Variables affecting the pine processionary moth flight: A survey in the north-western Italian Alps. Forests 2022, 14, 31. [Google Scholar] [CrossRef]
- Smidt, S. Assessment of air pollution stress on forest ecosystems by the example of the northern Tyrolean Limestone Alps. J. Plant Physiol. 1996, 148, 287–295. [Google Scholar] [CrossRef]
- Csilléry, K.; Kunstler, G.; Courbaud, B.; Allard, D.; Lassègues, P.; Haslinger, K.; Gardiner, B. Coupled effects of wind-storms and drought on tree mortality across 115 forest stands from the western Alps and the Jura mountains. Glob. Change Biol. 2017, 23, 5092–5107. [Google Scholar] [CrossRef]
- Albrich, K.; Rammer, W.; Seidl, R. Climate change causes critical transitions and irreversible alterations of mountain forests. Glob. Change Biol. 2020, 26, 4013–4027. [Google Scholar] [CrossRef] [PubMed]
- Camerano, P.; Terzuolo, P.G.; Varese, P. I Tipi Forestali della Valle d’Aosta; Compagnia delle Foreste: Arezzo, Italy, 2007. [Google Scholar]
- Ferretti, F.; Alberti, G.; Badalamenti, E.; Campagnaro, T.; Corona, P.; Garbarino, M.; La Mantia, T.; Malandra, F.; Maresi, G.; Morresi, D.; et al. Boschi di Neoformazione in Italia: Approfondimenti Conoscitivi e Orientamenti Gestionali; Consiglio per la Ricerca in Agricoltura e l’Analisi dell’Economia Agraria: Roma, Italy, 2019. [Google Scholar]
- Pautasso, M.; Aas, G.; Queloz, V.; Holdenrieder, O. European ash (Fraxinus excelsior) dieback–A conservation biology challenge. Biol. Conserv. 2013, 158, 37–49. [Google Scholar] [CrossRef]
- Kowalski, T. Chalara fraxinea sp. nov. associated with dieback of ash (Fraxinus excelsior) in Poland. Forest Pathol. 2006, 36, 264–270. [Google Scholar] [CrossRef]
- Queloz, V.; Grünig, C.R.; Berndt, R.; Kowalski, T.; Sieber, T.N.; Holdenrieder, O. Cryptic speciation in Hymenoscyphus albidus. Forest Pathol. 2011, 41, 133–142. [Google Scholar] [CrossRef]
- Kowalski, T.; ŁUkomska, A. Studies on Fraxinus excelsior L. dieback in Włoszczowa Forest Unit stands. Acta Agrobot. 2005, 59, 429–440. [Google Scholar]
- McKinney, L.V.; Nielsen, L.R.; Collinge, D.B.; Thomsen, I.M.; Hansen, J.K.; Kjær, E.D. The ash dieback crisis: Genetic variation in resistance can prove a long-term solution. Plant Pathol. 2014, 63, 485–499. [Google Scholar] [CrossRef]
- Hultberg, T.; Sandström, J.; Felton, A.; Öhman, K.; Rönnberg, J.; Witzell, J.; Cleary, M. Ash dieback risks an extinction cascade. Biol. Conserv. 2020, 244, 108516. [Google Scholar] [CrossRef]
- Hill, L.; Jones, G.; Atkinson, N.; Hector, A.; Hemery, G.; Brown, N. The £15 billion cost of ash dieback in Britain. Curr. Biol. 2019, 29, R315–R316. [Google Scholar] [CrossRef] [PubMed]
- Petucco, C.; Lobianco, A.; Caurla, S. Economic evaluation of an invasive forest pathogen at a large scale: The case of ash dieback in France. Environ. Model. Assess. 2020, 25, 1–21. [Google Scholar] [CrossRef]
- Timmermann, V.; Børja, I.; Hietala, A.M.; Kirisits, T.; Solheim, H. Ash dieback: Pathogen spread and diurnal patterns of ascospore dispersal, with special enphasis on Norway. EPPO Bull. 2011, 41, 14–20. [Google Scholar] [CrossRef]
- Coker, T.L.R.; Rozsypálek, J.; Edwards, A.; Harwood, T.P.; Butfoy, L.; Buggs, R.J.A. Estimating mortality rates of European ash (Fraxinus excelsior) under the ash dieback (Hymenoscyphus fraxineus) epidemic. Plants People Planet 2019, 1, 48–58. [Google Scholar] [CrossRef]
- Garbelotto, M.; Lione, G.; Martiniuc, A.V.; Gonthier, P. The alien invasive forest pathogen Heterobasidion irregulare is replacing the native Heterobasidion annosum. Biol. Invasions 2022, 24, 2335–2349. [Google Scholar] [CrossRef]
- Kozanitas, M.; Osmundson, T.W.; Linzer, R.; Garbelotto, M. Interspecific interactions between the Sudden Oak Death pathogen Phytophthora ramorum and two sympatric Phytophthora species in varying ecological conditions. Fungal Ecol. 2017, 28, 86–96. [Google Scholar] [CrossRef]
- Brasier, C.M.; Buck, K.W. Rapid evolutionary changes in a globally invading fungal pathogen (Dutch elm disease). Biol. Invasions 2001, 3, 223–233. [Google Scholar] [CrossRef]
- McKinney, L.V.; Thomsen, I.; Kjær, E.; Bengtsson, S.; Nielsen, L. Rapid invasion by an aggressive pathogenic fungus (Hymenoscyphus pseudoalbidus) replaces a native decomposer (Hymenoscyphus albidus): A case of local cryptic extinction? Fungal Ecol. 2012, 5, 663–669. [Google Scholar] [CrossRef]
- Hietala, A.M.; Agan, A.; Nagy, N.E.; Børja, I.; Timmermann, V.; Drenkhan, R.; Solheim, H. The native Hymenoscyphus albidus and the invasive Hymenoscyphus fraxineus are similar in their necrotrophic growth phase in ash leaves. Front. Microbiol. 2022, 13, 892051. [Google Scholar] [CrossRef]
- Gross, A.; Zaffarano, P.L.; Duo, A.; Grünig, C.R. Reproductive mode and life cycle of the ash dieback pathogen Hymenoscyphus pseudoalbidus. Fungal Genet. Biol. 2012, 49, 977–986. [Google Scholar] [CrossRef] [PubMed]
- Gross, A.; Holdenrieder, O.; Pautasso, M.; Queloz, V.; Sieber, T.N. Hymenoscyphus pseudoalbidus, the causal agent of European ash dieback. Mol. Plant Pathol. 2014, 15, 5–21. [Google Scholar] [CrossRef] [PubMed]
- Grosdidier, M.; Ioos, R.; Husson, C.; Cael, O.; Scordia, T.; Marçais, B. Tracking the invasion: Dispersal of Hymenoscyphus fraxineus airborne inoculum at different scales. FEMS Microbiol. Ecol. 2018, 94, fiy049. [Google Scholar] [CrossRef] [PubMed]
- Giongo, S.; Longa, C.M.O.; Dal Maso, E.; Montecchio, L.; Maresi, G. Evaluating the impact of Hymenoscyphus fraxineus in Trentino (Alps, Northern Italy): First investigations. iForest 2017, 10, 871–878. [Google Scholar] [CrossRef]
- Grosdidier, M.; Ioos, R.; Marçais, B. Do higher summer temperatures restrict the dissemination of Hymenoscyphus fraxineus in France? Forest Pathol. 2018, 48, e12426. [Google Scholar] [CrossRef]
- Migliorini, D.; Luchi, N.; Nigrone, E.; Pecori, F.; Pepori, A.L.; Santini, A. Expansion of ash dieback towards the scattered Fraxinus excelsior range of the Italian peninsula. Biol. Invasions 2022, 24, 1359–1373. [Google Scholar] [CrossRef]
- Ogris, N.; Hauptman, T.; Jurc, D.; Floreanci, V.; Marsich, F.; Montecchio, L. First report of Chalara fraxinea on common ash in Italy. Plant Dis. 2010, 94, 133. [Google Scholar] [CrossRef] [PubMed]
- Gonthier, P.; Giordano, L.; Sillo, F.; Martinis, R.; Pasi, V.; Rettori, A.A.; Tantardini, A. Sos cedri e frassini—Passaggio a Nord Ovest. Acer 2016, 6, 25–29. [Google Scholar]
- Santini, A.; Ghelardini, L.; De Pace, C.; Desprez-Loustau, M.L.; Capretti, P.; Chandelier, A.; Cech, T.; Chira, D.; Diamandis, S.; Gaitniekis, T.; et al. Biogeographical patterns and determinants of invasion by forest pathogens in Europe. New Phytol. 2013, 197, 238–250. [Google Scholar] [CrossRef]
- Lione, G.; Gonthier, P.; Garbelotto, M. Environmental factors driving the recovery of bay laurels from Phytophthora ramorum infections: An application of numerical ecology to citizen science. Forests 2017, 8, 293. [Google Scholar] [CrossRef]
- Enderle, R.; Stenlid, J.; Vasaitis, R. An overview of ash (Fraxinus spp.) and the ash dieback disease in Europe. CABI Rev. 2019, 14, 1–12. [Google Scholar] [CrossRef]
- Havrdová, L.; Zahradnik, D.; Romportl, D.; Pešková, V.; Černý, K. Environmental and silvicultural characteristics influencing the extent of ash dieback in forest stands. Baltic For. 2017, 23, 168–182. [Google Scholar]
- Marçais, B.; Husson, C.; Godart, L.; Cael, O. Influence of site and stand factors on Hymenoscyphus fraxineus-induced basal lesions. Plant Pathol. 2016, 65, 1452–1461. [Google Scholar] [CrossRef]
- Grosdidier, M.; Scordia, T.; Ioos, R.; Marçais, B. Landscape epidemiology of ash dieback. J. Ecol. 2020, 108, 1789–1799. [Google Scholar] [CrossRef]
- Dal Maso, E.; Montecchio, L. Risk of natural spread of Hymenoscyphus fraxineus with environmental niche modelling and ensemble forecasting technique. Forest Res. 2014, 3, 1000131. [Google Scholar] [CrossRef]
- Havrdová, L.; Novotná, K.; Zahradník, D.; Buriánek, V.; Pešková, V.; Šrůtka, P.; Černý, K. Differences in susceptibility to ash dieback in Czech provenances of Fraxinus excelsior. Forest Pathol. 2016, 46, 281–288. [Google Scholar] [CrossRef]
- Marciulyniene, D.; Davydenko, K.; Stenlid, J.; Cleary, M. Can pruning help maintain vitality of ash trees affected by ash dieback in urban landscapes? Urban For. Urban Green. 2017, 27, 69–75. [Google Scholar] [CrossRef]
- Klesse, S.; Abegg, M.; Hopf, S.E.; Gossner, M.M.; Rigling, A.; Queloz, V. Spread and severity of ash dieback in Switzerland–tree characteristics and landscape features explain varying mortality probability. Front. For. Glob. Chang. 2021, 4, 645920. [Google Scholar] [CrossRef]
- Cerutti, A.V.; Careggio, P.P.; De Leo, S.; Freydoz, M.C.; Ceragioli, L.; Prinetti, F. Il Territorio e l’uomo in Valle d’Aosta—Parte I; Edizioni AIIG.: Aosta, Italy, 2010. [Google Scholar]
- Regione Autonoma Valle d’Aosta. Geoportale SCT—Sistema delle Conoscenze Territoriali—Assessorato Opere Pubbliche, Territorio e Ambiente—Dipartimento Programmazione, Risorse Idriche e Territorio—Pianificazione Territoriale—Ufficio Cartografico. 2013. Available online: https://geoportale.regione.vda.it/ (accessed on 15 February 2024).
- QGIS Development Team. QGIS Geographic Information System. Open Source Geospatial Foundation Project. QGIS 3.10 A Coruña. 2019. Available online: https://qgis.org/en/site/ (accessed on 16 February 2024).
- EPPO. PM 7/117 (1) Hymenoscyphus pseudoalbidus. EPPO Bull. 2013, 43, 449–461. [Google Scholar] [CrossRef]
- Müller, E.; Stierlin, H.R. Sanasilva Tree Crown Photos with Percentages of Foliage Loss; Swiss Federal Institute for Forest, Snow, and Landscape Research: Birmensdorf, Switzerland, 1990. [Google Scholar]
- Durrant, D.; Eichhorn, J.; Ferretti, M.; Roskams, P.; Szepesi, A. Manual on Methods and Criteria for Harmonized Sampling, Assessment, Monitoring and Analysis of the Effects of Air Pollution on Forests, Part II, Visual Assessment of Crown Condition; United Nations Economic Commission for Europe Convention on Long-Range Transboundary Air Pollution; United Nations: New York, NY, USA, 2006. [Google Scholar]
- Lione, G.; Giordano, L.; Turina, M.; Gonthier, P. Hail-induced infections of the chestnut blight pathogen Cryphonectria parasitica depend on wound size and may lead to severe diebacks. Phytopathology 2020, 110, 1280–1293. [Google Scholar] [CrossRef]
- Baral, H.-O.; Bemmann, M. Hymenoscyphus fraxineus vs Hymenoscyphus albidus—A comparative light microscopic study on the causal agent of European ash dieback and related foliicolous, stroma-forming species. Mycology 2014, 5, 228–290. [Google Scholar] [CrossRef] [PubMed]
- Chandelier, A.; André, F.; Laurent, F. Detection of Chalara fraxinea in common ash (Fraxinus excelsior) using real time PCR. Forest Pathol. 2010, 40, 87–95. [Google Scholar] [CrossRef]
- Husson, C.; Scala, B.; Caël, O.; Frey, P.; Feau, N.; Ioos, R.; Marçais, B. Chalara fraxinea is an invasive pathogen in France. Eur. J. Plant Pathol. 2011, 130, 311–324. [Google Scholar] [CrossRef]
- Dokmanic, I.; Parhizkar, R.; Ranieri, J.; Vetterli, M. Euclidean distance matrices: Essential theory, algorithms, and applications. IEEE Signal Process. Mag. 2015, 32, 12–30. [Google Scholar] [CrossRef]
- Lione, G.; Brescia, F.; Giordano, L.; Gonthier, P. Effects of seasonality and climate on the propagule deposition patterns of the chestnut blight pathogen Cryphonectria parasitica in orchards of the Alpine district of north western Italy. Agriculture 2022, 12, 644. [Google Scholar] [CrossRef]
- Mitchell, A. The ESRI Guide to GIS Analysis, Volume 2: Spatial Measurements and Statistics; ESRI Press: Redlands, CA, USA, 2009. [Google Scholar]
- Crawley, M.J. The R Book, 2nd ed.; John Wiley and Sons Ltd.: West Sussex, UK, 2013. [Google Scholar]
- Hosmer, D.W.; Lemeshow, S. Applied Logistic Regression; Johns Wiley and Sons Ltd.: Hoboken, NJ, USA, 1989. [Google Scholar]
- Hothorn, T.; Hornik, K.; Zeileis, A. Unbiased recursive partitioning: A conditional inference framework. J. Comput. Graph. Stat. 2006, 15, 651–674. [Google Scholar] [CrossRef]
- Zeileis, A.; Leisch, F.; Hornik, K.; Kleiber, C. strucchange: An R package for testing for structural change in linear regression models. J. Stat. Softw. 2002, 7, 1–38. [Google Scholar] [CrossRef]
- Hothorn, T.; Zeileis, A. partykit: A modular toolkit for recursive partytioning in R. J. Mach. Learn. Res. 2015, 16, 3905–3909. [Google Scholar]
- Gerber, H.U.; Leung, B.P.K.; Shiu, E.S.W. Indicator function and Hattendorff theorem. N. Am. Actuar. J. 2003, 7, 38–47. [Google Scholar] [CrossRef]
- Wagenmakers, E.J.; Farrell, S. AIC model selection using Akaike weights. Psychon. Bull. Rev. 2004, 11, 192–196. [Google Scholar] [CrossRef]
- Grueber, C.E.; Nakagawa, S.; Laws, R.J.; Jamieson, I.G. Multimodel inference in ecology and evolution: Challenges and solutions. J. Evol. Biol. 2011, 24, 699–711. [Google Scholar] [CrossRef] [PubMed]
- Robin, X.; Turck, N.; Hainard, A.; Tiberti, N.; Lisacek, F.; Sanchez, J.C.; Müller, M. pROC: An open-source package for R and S+ to analyze and compare ROC curves. BMC Bioinform. 2011, 12, 77. [Google Scholar] [CrossRef] [PubMed]
- LeDell, E.; Petersen, M.; van der Laan, M. Computationally efficient confidence intervals for cross-validated area under the ROC curve estimates. Electron. J. Stat. 2015, 9, 1583. [Google Scholar] [CrossRef] [PubMed]
- Pewsey, A.; Neuhäuser, M.; Ruxton, G.D. Circular Statistics in R; Oxford University Press: Oxford, UK, 2013. [Google Scholar]
- Mardia, K.V. A multi-sample uniform scores test on a circle and its parametric competitor. J. R. Stat. Soc. Ser. B-Stat. Methodol. 1972, 34, 102–113. [Google Scholar] [CrossRef]
- Rao, J.S. Large sample tests for the homogeneity of angular data. Sankhya Ser. B 1967, 28, 172–174. [Google Scholar]
- Lione, G.; Giraudo, M.; Gonthier, P. Modelling the front dynamics of invasive plant pathogens through the analysis of spatial gradients. J. Plant Pathol. 2024, submitted.
- Zhang, B.; Bilder, C.; Biggerstaff, B.; Schaarschmidt, F.; Hitt, B.; binGroup: Evaluation and Experimental Design for Binomial Group Testing. R Package Version 2.2-1. 2018. Available online: https://CRAN.R-project.org/package=binGroup (accessed on 9 February 2024).
- Efron, B.; Tibshirani, R.J. An Introduction to the Bootstrap; Chapman & Hall/CRC: New York, NY, USA, 1994. [Google Scholar]
- Agostinelli, C.; Lund, U. R Package ‘Circular’: Circular Statistics (version 0.5-0). 2023. Available online: https://CRAN.R-project.org/package=circular (accessed on 9 February 2024).
- Barton, K.; MuMIn: Multi-Model Inference. R Package Version 1.43.6. 2019. Available online: https://cran.r-project.org/web/packages/MuMIn/index.html (accessed on 9 February 2024).
- Blaker, H. Confidence curves and improved exact confidence intervals for discrete distributions. Can. J. Stat.-Rev. Can. Stat. 2000, 28, 783–798. [Google Scholar] [CrossRef]
- DiCiccio, T.J.; Efron, B. Bootstrap confidence intervals. Stat. Sci. 1996, 11, 189–228. [Google Scholar] [CrossRef]
- McKinney, L.V.; Nielsen, L.R.; Hansen, J.K.; Kjær, E.D. Presence of natural genetic resistance in Fraxinus excelsior (Oleraceae) to Chalara fraxinea (Ascomycota): An emerging infectious disease. Heredity 2011, 106, 788–797. [Google Scholar] [CrossRef]
- McKinney, L.V.; Thomsen, I.M.; Kjaer, E.D.; Nielsen, L.R. Genetic resistance to Hymenoscyphus pseudoalbidus limits fungal growth and symptom occurrence in Fraxinus excelsior. Forest Pathol. 2012, 42, 69–74. [Google Scholar] [CrossRef]
- Timmermann, V.; Nagy, N.E.; Hietala, A.M.; Børja, I.; Solheim, H. Progression of ash dieback in Norway related to tree age, disease history and regional aspects. Baltic For. 2017, 23, 150–158. [Google Scholar]
- Linaldeddu, B.T.; Bottecchia, F.; Bregant, C.; Maddau, L.; Montecchio, L. Diplodia fraxini and Diplodia subglobosa: The main species associated with cankers and dieback of Fraxinus excelsior in north-eastern Italy. Forests 2020, 11, 883. [Google Scholar] [CrossRef]
- Linaldeddu, B.T.; Bregant, C.; Montecchio, L.; Brglez, A.; Piškur, B.; Ogris, N. First report of Diplodia fraxini and Diplodia subglobosa causing canker and dieback of Fraxinus excelsior in Slovenia. Plant Dis. 2022, 106, 26–29. [Google Scholar] [CrossRef] [PubMed]
- Slippers, B.; Wingfield, M.J. Botryosphaeriaceae as endophytes and latent pathogens of woody plants: Diversity, ecology and impact. Fungal Biol. Rev. 2007, 21, 90–106. [Google Scholar] [CrossRef]
- Orusa, T.; Borgogno Mondino, E. Exploring short-term climate change effects on rangelands and broad-leaved forests by free satellite data in Aosta Valley (Northwest Italy). Climate 2021, 9, 47. [Google Scholar] [CrossRef]
- Kerr, G.; Cahalan, C. A review of site factors affecting the early growth of ash (Fraxinus excelsior L.). For. Ecol. Manag. 2004, 188, 225–234. [Google Scholar] [CrossRef]
- Erfmeier, A.; Haldan, K.L.; Beckmann, L.M.; Behrens, M.; Rotert, J.; Schrautzer, J. Ash dieback and its impact in near-natural forest remnants–a plant community-based inventory. Front. Plant Sci. 2019, 10, 658. [Google Scholar] [CrossRef] [PubMed]
- Beniston, M. Mountain weather and climate: A general overview and a focus on climatic change in the Alps. Hydrobiologia 2006, 562, 3–16. [Google Scholar] [CrossRef]
- Ghelardini, L.; Migliorini, D.; Santini, A.; Pepori, A.L.; Maresi, G.; Vai, N.; Montuschi, C.; Carrari, E.; Feducci, M.; Capretti, P.; et al. From the Alps to the Apennines: Possible spread of ash dieback in Mediterranean areas. In Dieback of European Ash (Fraxinus spp.)—Consequences and Guidelines for Sustainable Management; Vasaitis, R., Enderle, R., Eds.; SLU Service/Repro: Uppsala, Sweden, 2017; pp. 140–149. [Google Scholar]
- Fones, H.N.; Mardon, C.; Gurr, S.J. A role for the asexual spores in infection of Fraxinus excelsior by the ash-dieback fungus Hymenoscyphus fraxineus. Sci. Rep. 2016, 6, 34638. [Google Scholar] [CrossRef]
- Burns, P.; Timmermann, V.; Yearsley, J.M. Meteorological factors associated with the timing and abundance of Hymenoscyphus fraxineus spore release. Int. J. Biometeorol. 2022, 66, 493–506. [Google Scholar] [CrossRef]
- Kirisits, T. Ascocarp formation of Hymenoscyphus fraxineus on several-year-old pseudosclerotial leaf rachises of Fraxinus excelsior. Forest Pathol. 2015, 45, 254–257. [Google Scholar] [CrossRef]
- Schoebel, C.N.; Prospero, S.; Gross, A.; Rigling, D. Detection of a conspecific mycovirus in two closely related native and introduced fungal hosts and evidence for interspecific virus transmission. Viruses 2018, 10, 628. [Google Scholar] [CrossRef] [PubMed]
- Centro Funzionale Regione Autonoma Valle d’Aosta 2024. Vento. Available online: https://cf.regione.vda.it/vento.php (accessed on 16 February 2024).



| Site Code | Location (Municipality) | x 1 | y 2 | el 3 | sect 4 | sl 5 | as 6 | dbh 7 | h 8 | ab 9 |
|---|---|---|---|---|---|---|---|---|---|---|
| A | Entreves (Courmayeur) | 341,316 | 5,075,640 | 1307 | H | 16.8 | 211 | 15.9 (6.2) | 10.8 (4.0) | 20 |
| B | Chabodey (La Salle) | 349,002 | 5,066,317 | 1192 | H | 43.0 | 52 | 6.0 (2.1) | 9.1 (2.5) | 15 |
| C | Lenteney (La Salle) | 350,448 | 5,065,962 | 851 | H | 0.5 | 45 | 12.8 (11.7) | 12.6 (8.7) | 10 |
| D | Valsavarenche (Valsavarenche) | 359,759 | 5,055,843 | 1239 | H | 36.4 | 261 | 8.7 (2.5) | 8.8 (2.6) | 15 |
| E | Buillet (Introd) | 358,546 | 5,060,513 | 979 | H | 97.3 | 334 | 12.0 (2.2) | 12.2 (2.8) | 10 |
| F | Courmayeur (Courmayeur) | 341,788 | 5,074,415 | 1246 | H | 39.1 | 95 | 6.4 (2.1) | 7.7 (1.3) | 10 |
| G | Verrand (Pré-Saint-Didier) | 342,429 | 5,071,661 | 1189 | H | 40.0 | 211 | 10.9 (4.1) | 12.1 (3.6) | 35 |
| H | Elevaz (Pré-Saint-Didier) | 341,679 | 5,067,384 | 1273 | H | 65.8 | 141 | 10.7 (8.5) | 9.7 (6.3) | 25 |
| I | Fenêtre (La Salle) | 351,287 | 5,066,944 | 1117 | H | 73.6 | 149 | 12.9 (6.2) | 11.7 (2.7) | 35 |
| L | Derby (La Salle) | 351,324 | 5,065,019 | 847 | H | 35.3 | 52 | 13.2 (7.6) | 10.9 (4.4) | 10 |
| M | Croix Blanche (Villeneuve) | 359,789 | 5,061,355 | 886 | H | 37.0 | 304 | 6.9 (1.4) | 8.2 (1.5) | 5 |
| N | Chessin (Antey-Saint-André) | 390,441 | 5,070,429 | 785 | L | 13.0 | 129 | 14.8 (6.1) | 11.6 (3.3) | 15 |
| O | Arbaz (Challand-Saint-Anselme) | 401,107 | 5,063,836 | 1380 | L | 72.5 | 118 | 9.1 (5.8) | 7.0 (1.9) | 15 |
| P | Bois de Cretes (Challand-Saint-Anselme) | 402,035 | 5,061,547 | 900 | L | 18.4 | 334 | 17.5 (5.2) | 19.4 (4.0) | 85 |
| Q | Grand Brissogne (Brissogne) | 375,765 | 5,063,852 | 1122 | M | 44.7 | 70 | 11.2 (7.2) | 10.0 (3.9) | 10 |
| R | Pied de Ville (Valpelline) | 373,024 | 5,076,999 | 1089 | M | 53.7 | 348 | 11.2 (5.4) | 6.1 (1.9) | 5 |
| S | Étroubles (Étroubles) | 362,853 | 5,075,438 | 1280 | M | 27.1 | 183 | 10.3 (7.2) | 6.4 (2.1) | 15 |
| T | Rean (Saint-Marcel) | 380,784 | 5,065,119 | 836 | M | 3.3 | 302 | 20.4 (12.5) | 17.4 (5.0) | 10 |
| U | La Fabbrica (Valpelline) | 369,490 | 5,075,094 | 895 | M | 46.2 | 307 | 6.8 (2.2) | 9.0 (2.0) | 10 |
| V | Pont (Saint-Rémy-en-Bosses) | 358,069 | 5,075,298 | 1483 | M | 20.7 | 319 | 22.7 (12.4) | 17.0 (4.9) | 20 |
| Primer/Probe Name | Sequence (5′-3′) | References |
|---|---|---|
| Cf-F | CCCTTGTGTATATTATATTGTTGCTTTAGC | [49] |
| Cf-R | GGGTCCTCTAGCAGGCACAGT | [49] |
| Cf-S | 6FAM-TCTGGGCGTCGGCCTCGG-BHQ1 | [49] |
| Halb-F | TATATTGTTGCTTTAGCAGGTCGC | [50] |
| Halb-R | ATCCTCTAGCAGGCACGGTC | [50] |
| Halb-P | HEX-CCGGGGCGTTGGCCTCG-BHQ2 | [50] |
| Input Variable | βh(P) | β0(P) | LRT | AIC | AICW | AUC (CI95%) | Score |
|---|---|---|---|---|---|---|---|
| P4, P7 | 110.46 | 68.2% | 0.75 (0.64–0.87) | 1 | |||
| x, y | 114.35 | 9.8% | 0.71 (0.59–0.84) | 2 | |||
| Psp | 114.71 | 8.2% | 0.71 (0.59–0.82) | 3 | |||
| P4 | 115 | 7.1% | 0.70 (0.59–0.81) | 4 | |||
| 115.84 | 4.6% | 0.69 (0.58–0.80) | 5 | ||||
| y | 119.11 | 0.9% | 0.64 (0.51–0.76) | 6 | |||
| el | 119.28 | 0.8% | 0.64 (0.51–0.76) | 7 | |||
| x | 121.95 | 0.2% | 0.64 (0.53–0.76) | 8 | |||
| P7 | 124.23 | 0.1% | 0.57 (0.44–0.69) | 9 | |||
| - (null model) | - | - | 123.16 | 0.1% | 0.50 (0.28–0.72) | 10 |
Disclaimer/Publisher’s Note: The statements, opinions and data contained in all publications are solely those of the individual author(s) and contributor(s) and not of MDPI and/or the editor(s). MDPI and/or the editor(s) disclaim responsibility for any injury to people or property resulting from any ideas, methods, instructions or products referred to in the content. |
© 2024 by the authors. Licensee MDPI, Basel, Switzerland. This article is an open access article distributed under the terms and conditions of the Creative Commons Attribution (CC BY) license (https://creativecommons.org/licenses/by/4.0/).
Share and Cite
Lione, G.; Ongaro, S.; Prencipe, S.; Giraudo, M.; Gonthier, P. Drivers of Hymenoscyphus fraxineus Infections in the Inner-Alpine Valleys of Northwestern Italy. Forests 2024, 15, 732. https://doi.org/10.3390/f15040732
Lione G, Ongaro S, Prencipe S, Giraudo M, Gonthier P. Drivers of Hymenoscyphus fraxineus Infections in the Inner-Alpine Valleys of Northwestern Italy. Forests. 2024; 15(4):732. https://doi.org/10.3390/f15040732
Chicago/Turabian StyleLione, Guglielmo, Silvia Ongaro, Simona Prencipe, Marianna Giraudo, and Paolo Gonthier. 2024. "Drivers of Hymenoscyphus fraxineus Infections in the Inner-Alpine Valleys of Northwestern Italy" Forests 15, no. 4: 732. https://doi.org/10.3390/f15040732
APA StyleLione, G., Ongaro, S., Prencipe, S., Giraudo, M., & Gonthier, P. (2024). Drivers of Hymenoscyphus fraxineus Infections in the Inner-Alpine Valleys of Northwestern Italy. Forests, 15(4), 732. https://doi.org/10.3390/f15040732

