Nutrient Variations and Their Use Efficiency of Pinus massoniana Seedling Tissues in Response to Low Phosphorus Conditions
Abstract
1. Introduction
2. Materials and Methods
2.1. Materials and Experimental Design
2.2. Plant Sampling
2.2.1. Nutrients and NSC Measurement and Reserves Calculation
2.2.2. Nutrient Resorption Efficiency
2.3. Data Analysis
3. Results
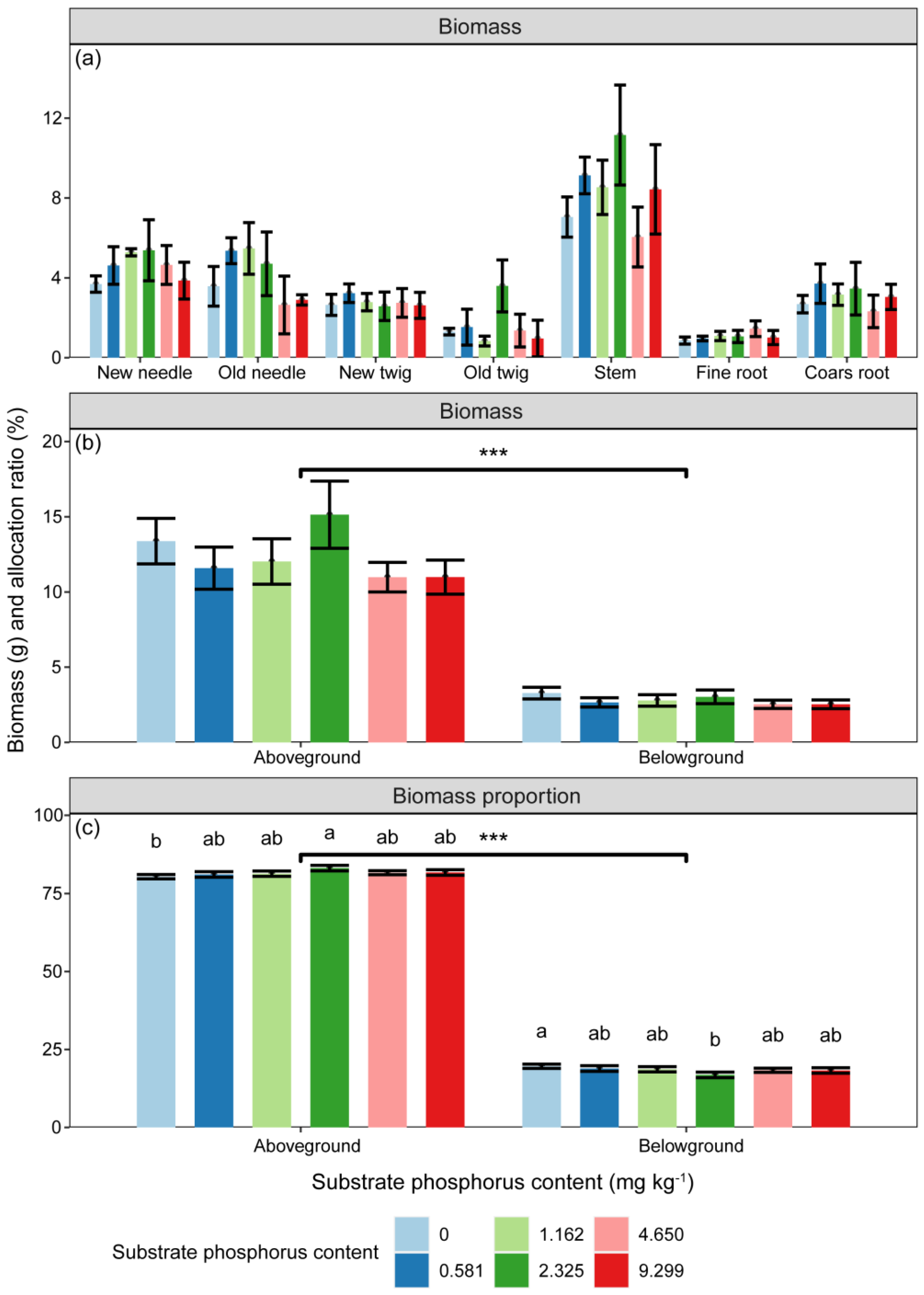
3.1. Variations in Biomass of Different Components with Substrate Phosphorus Treatment
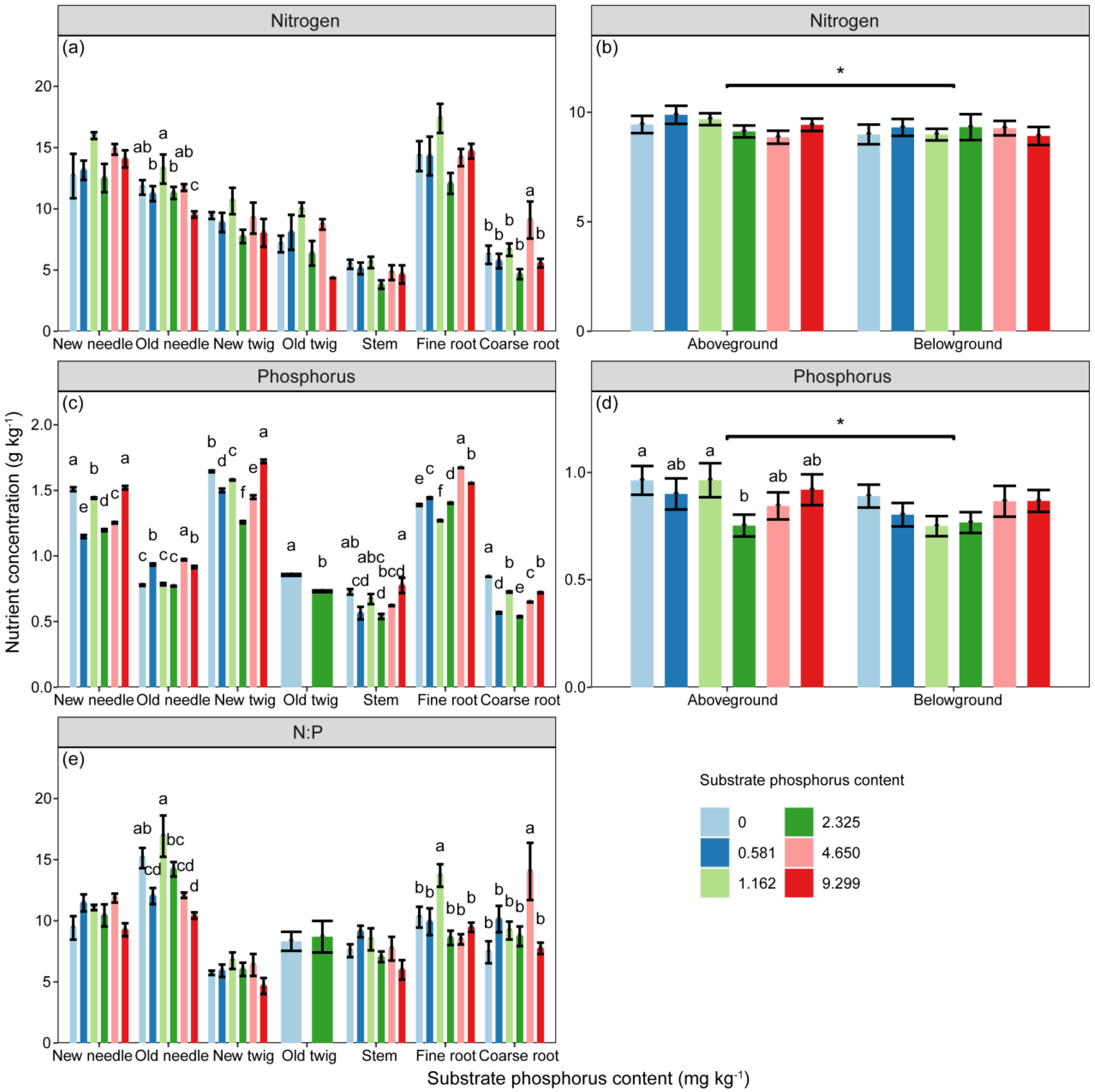
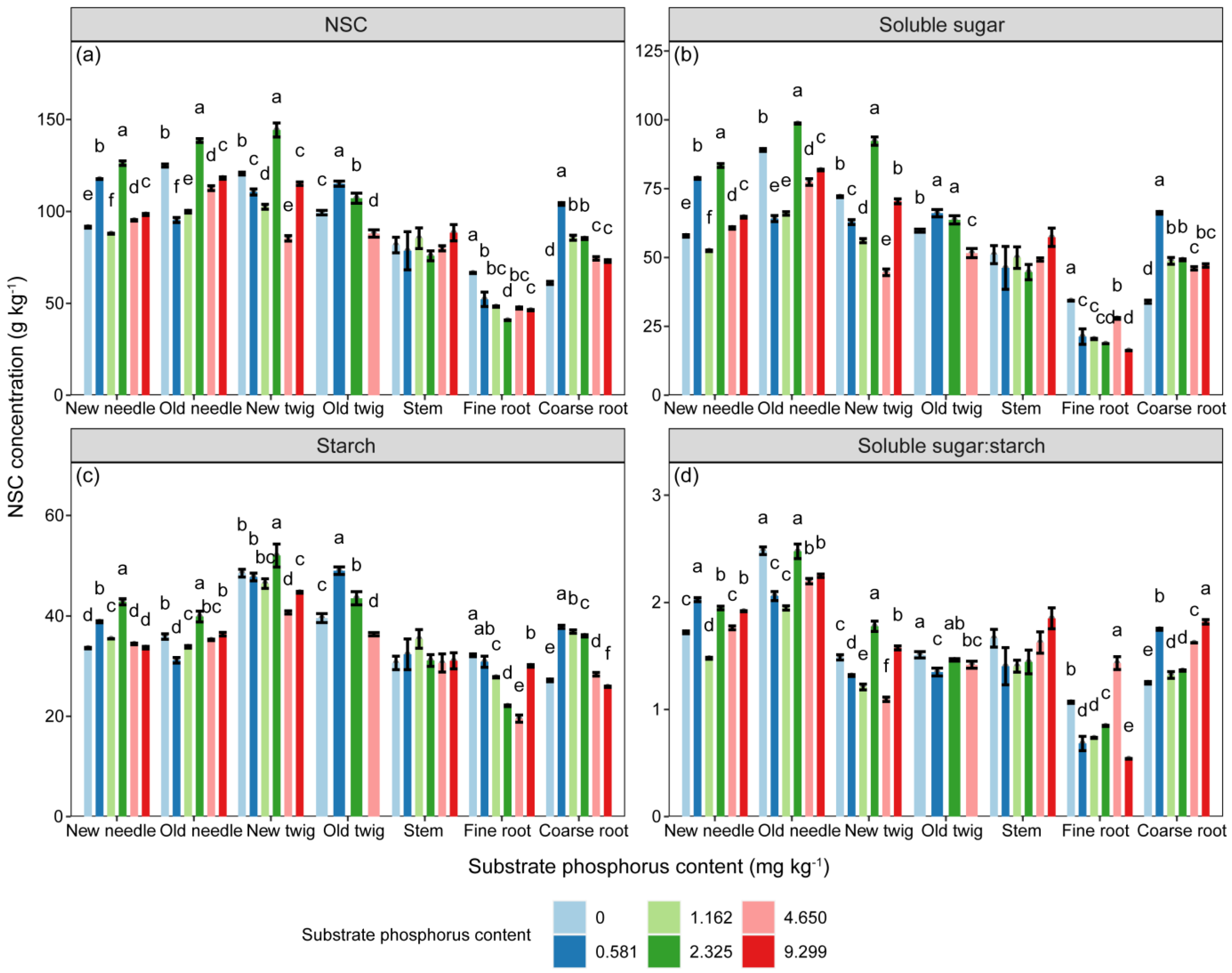
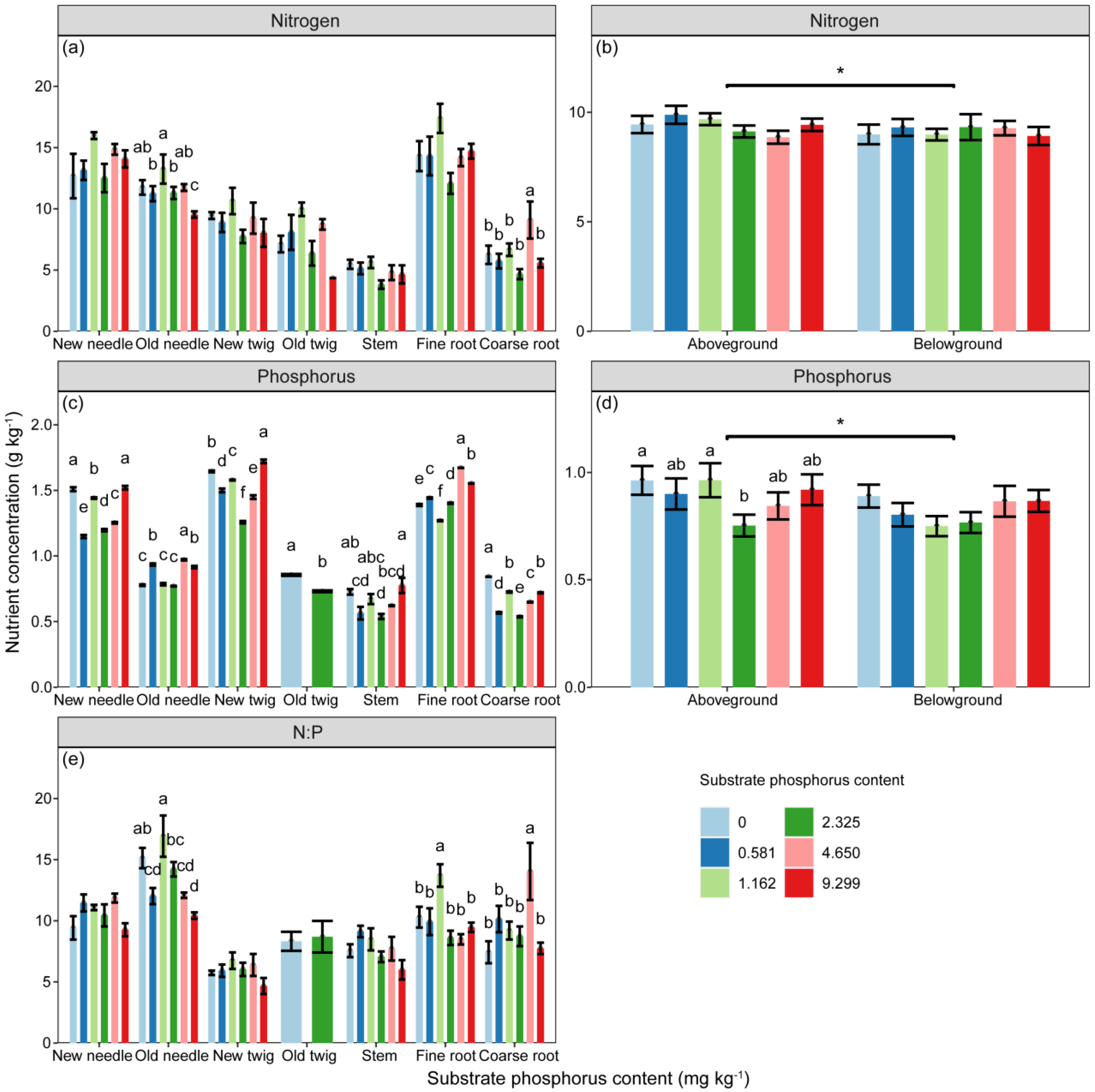
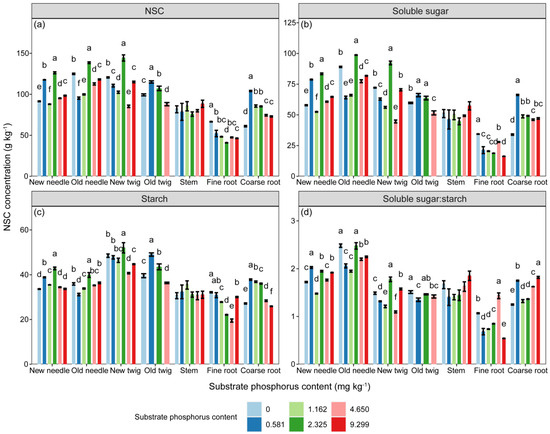
3.2. Changes in the Concentration of N, P, and NSC from Different Components with Substrate Phosphorus Treatment
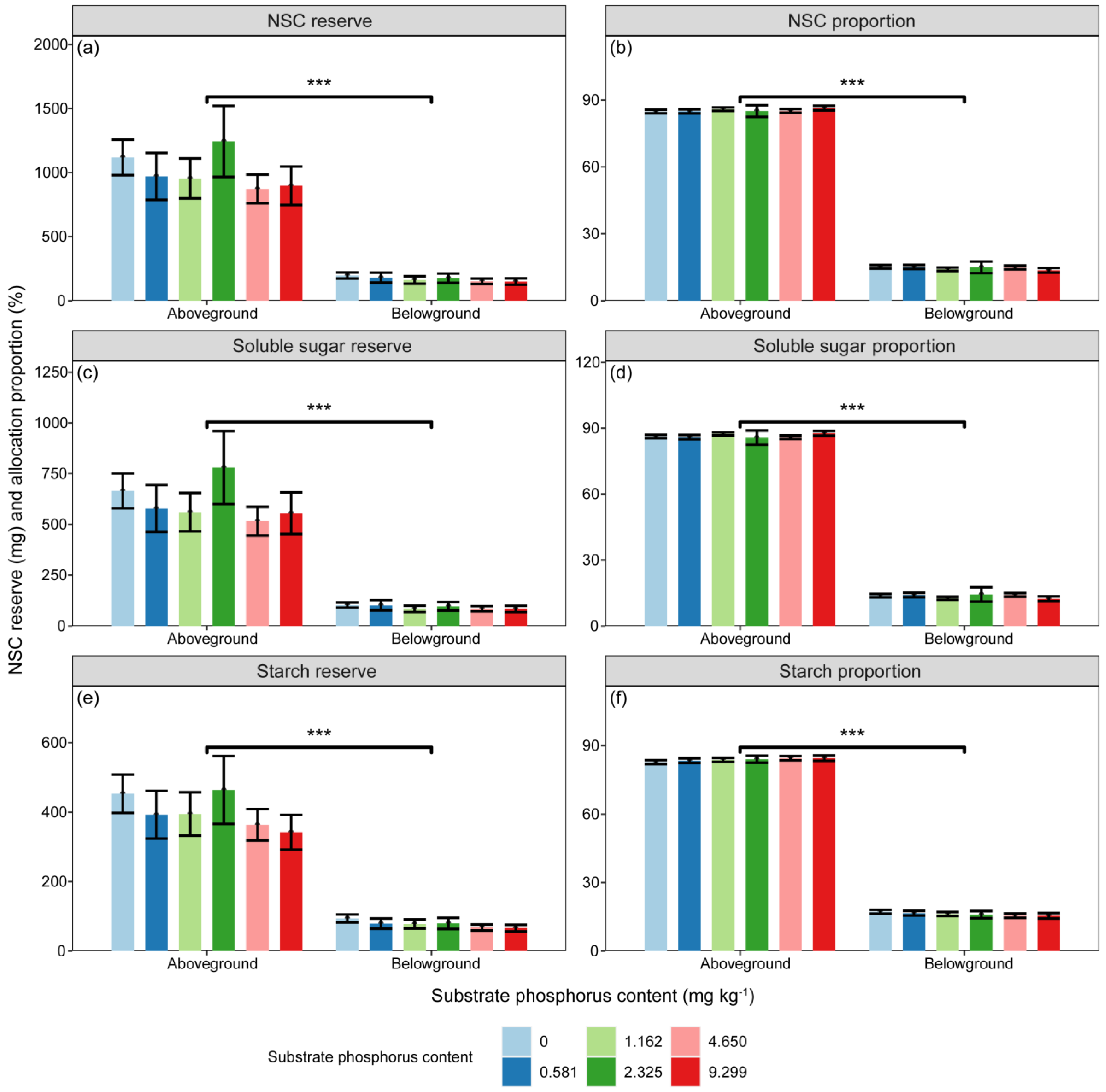
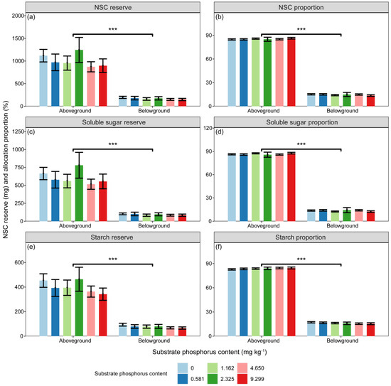
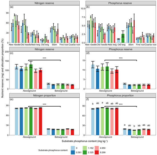
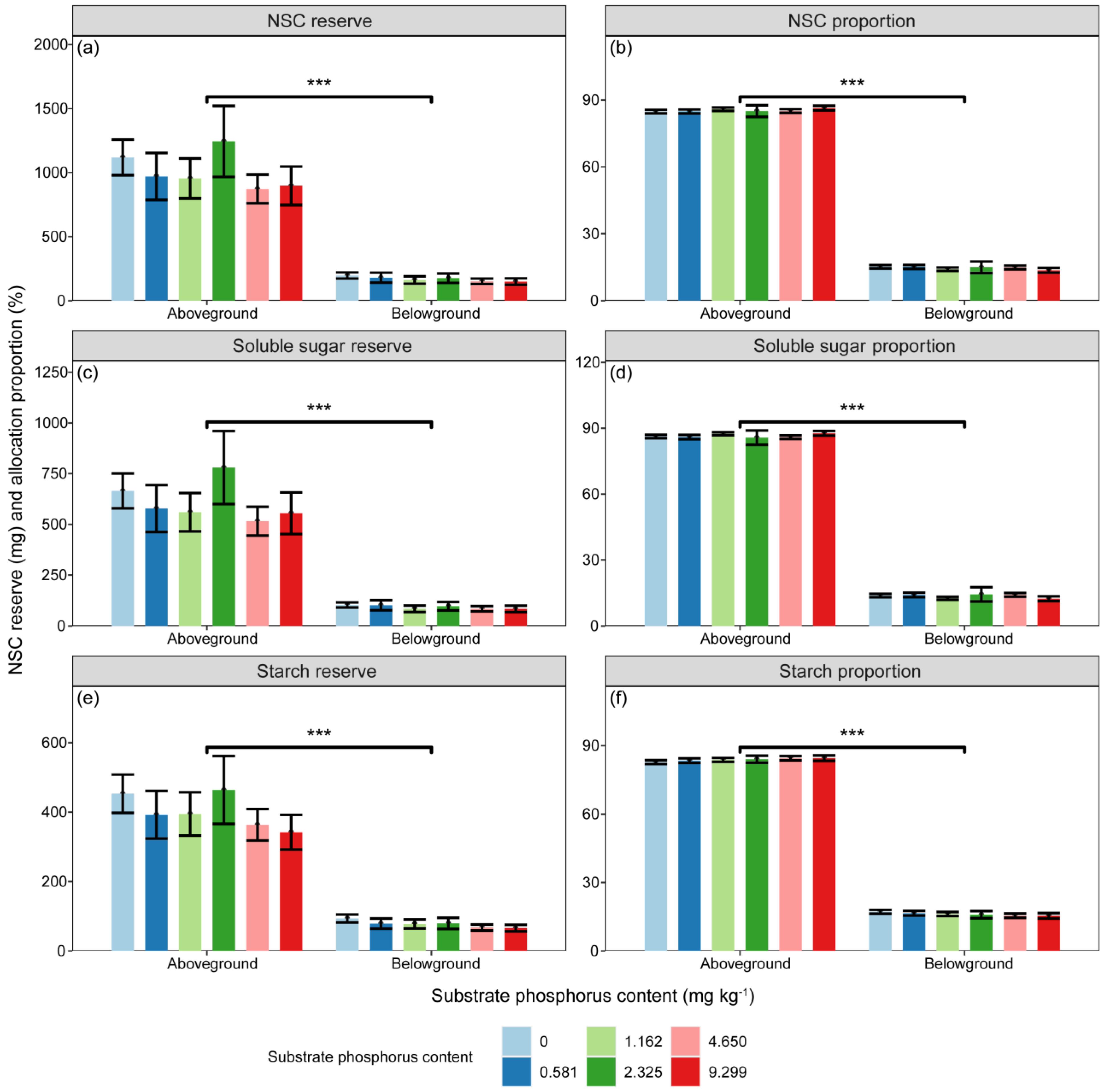
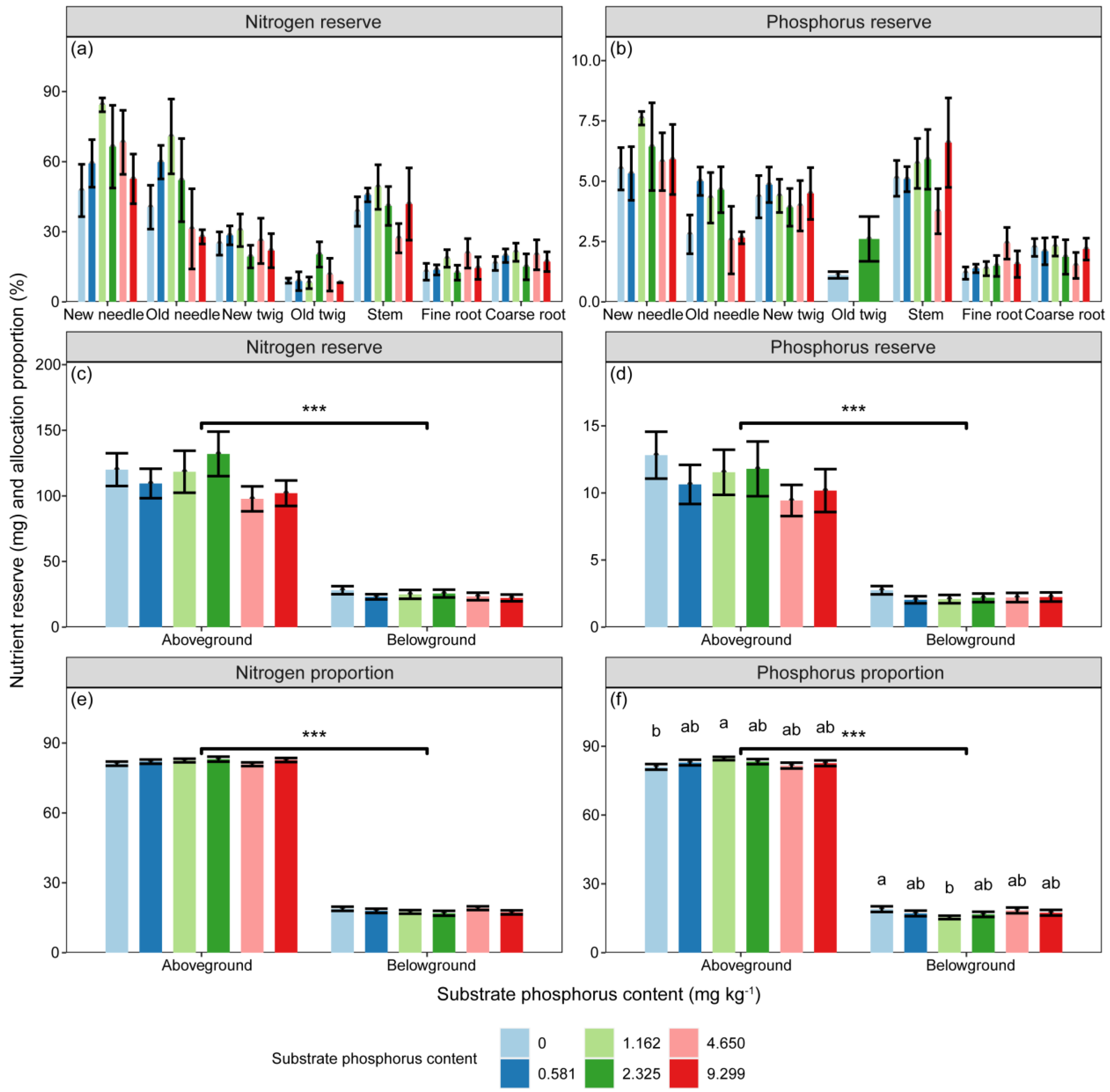
3.3. Changes in Reserve Size of Nutrient and NSC with Substrate Phosphorus Treatment
3.4. Nutrient Resorption Efficiency of Nitrogen and Phosphorus in Needles
3.5. Correlation between Substrate Phosphorus Treatment and Component Nutrient, NSC, and Resorption Efficiencies
4. Discussion
4.1. Effect of Low Phosphorus on Biomass Allocation in Different Components
4.2. Effect of Low Phosphorus on Nutrient Concentation and Its Reserve
4.3. The N:P Stoichiometric Characteristics under Low Phosphorus Conditions
4.4. Effect of Low Phosphorus on NSC Allocation in Different Components
5. Conclusions
Supplementary Materials
Author Contributions
Funding
Data Availability Statement
Acknowledgments
Conflicts of Interest
References
- Vance, C.P.; Uhde-Stone, C.; Alle, D.L. Phosphorus acquisition and use: Critical adaptations by plants for securing a nonrenewable resource. New Phytol. 2003, 157, 423–447. [Google Scholar] [CrossRef]
- Luo, Y.; Peng, Q.W.; Li, K.H.; Gong, Y.M.; Liu, Y.Y.; Han, W.X. Patterns of nitrogen and phosphorus stoichiometry among leaf, stem and root of desert plants and responses to climate and soil factors in Xinjiang, China. Catena 2021, 199, 105100. [Google Scholar] [CrossRef]
- Liu, X.; Sheng, H.; Jiang, S.Y.; Yuan, Z.W.; Zhang, C.S.; Elser, J.J. Intensification of phosphorus cycling in China since the 1600s. Proc. Natl. Acad. Sci. USA 2016, 113, 2609–2614. [Google Scholar] [CrossRef]
- Gérard, F. Clay minerals, iron/aluminum oxides, and their contribution to phosphate sorption in soils—A myth revisited. Geoderma 2016, 262, 213–226. [Google Scholar] [CrossRef]
- Peñuelas, J.; Poulter, B.; Sardans, J.; Ciais, P.; van der Velde, M.; Bopp, L.; Boucher, O.; Godderi, Y.; Hinsinger, P.; Llusia, J.; et al. Human-induced nitrogen-phosphorus imbalances alter natural and managed ecosystems across the globe. Nat. Commun. 2013, 4, 2934. [Google Scholar] [CrossRef]
- Yu, Z.P.; Wang, M.H.; Huang, Z.Q.; Lin, T.C.; Vadeboncoeur, M.A.; Searle, E.B.; Chen, H.Y.H. Temporal changes in soil C-N-P stoichiometry over the past 60 years across subtropical China. Glob. Chang. Biol. 2018, 24, 1308–1320. [Google Scholar] [CrossRef] [PubMed]
- Prietzel, J.; Falk, W.; Reger, B.; Uhl, E.; Pretzsch, H.; Zimmermann, L. Half a century of Scots pine forest ecosystem monitoring reveals long-term effects of atmospheric deposition and climate change. Glob. Chang. Biol. 2020, 26, 5796–5815. [Google Scholar] [CrossRef] [PubMed]
- Deng, Q.; Hui, D.F.; Dennis, S.; Reddy, K.C. Responses of terrestrial ecosystem phosphorus cycling to nitrogen addition: A meta-analysis. Glob. Ecol. Biogeogr. 2017, 26, 713–728. [Google Scholar] [CrossRef]
- Wright, S.J.; Turner, B.L.; Yavitt, J.B.; Hams, K.E.; Kaspari, M.; Tanner, E.V.J.; Bujan, J.; Griffin, E.A.; Mayor, J.R.; Pasquini, S.C.; et al. Plant responses to fertilization experiments in lowland, species-rich, tropical forests. Ecology 2018, 99, 1129–1138. [Google Scholar] [CrossRef]
- Chapin, F.S.; Schulze, A.E.; Mooney, H.A. The ecology and economics of storage in plants. Annu. Rev. Ecol. Syst. 1990, 21, 423–447. [Google Scholar] [CrossRef]
- Richardson, A.D.; Carbone, M.S.; Keenan, T.F.; Czimczik, C.I.; Hollinger, D.Y.; Murakami, P.; Schaberg, P.G.; Xu, X.M. Seasonal dynamic and age of stem wood nonstructural carbohydrates in temperate forest trees. New Phytol. 2013, 197, 850–861. [Google Scholar] [CrossRef]
- Liu, J.F.; Arend, M.; Yang, W.J.; Schaub, M.; Ni, Y.Y.; Gessler, A.; Jiang, Z.P.; Rigling, A.; Li, M.H. Effects of drought on leaf carbon source and growth of European beech are modulated by soil type. Sci. Rep. 2017, 7, 42462. [Google Scholar] [CrossRef]
- Liu, M.H.; Wang, Y.X.; Li, Q.; Xiao, W.F.; Song, X.Z. Photosynthesis, ecological stoichiometry, and non-structural carbohydrate response to simulated nitrogen deposition and phosphorus addition in Chinese Fir forests. Forests 2019, 10, 1068. [Google Scholar] [CrossRef]
- Yu, L.; Song, M.Y.; Xia, Z.C.; Korpelainen, H.; Li, C.Y. Plant-plant interactions and resource dynamics of Abies fabri and Picea brachytyla as affected by phosphorus fertilization. Environ. Exp. Bot. 2019, 168, 103893. [Google Scholar] [CrossRef]
- Deng, X.X.; Xiao, W.F.; Shi, Z.; Zeng, L.X.; Lei, L. Combined effects of drought and shading on growth and non-structural carbohydrates in Pinus massoniana Lamb. seedlings. Forests 2020, 11, 18. [Google Scholar] [CrossRef]
- Koerselman, W.; Meuleman, A.F. The vegetation N: P ratio: A new tool to detect the nature of nutrient limitation. J. Appl. Ecol. 1996, 33, 1441–1450. [Google Scholar] [CrossRef]
- Sterner, R.W.; Elser, J.J. Ecological Stoichiometry: The Biology of Elements from Molecules to the Biosphere; Princeton University Press: Princeton, NJ, USA, 2002; Available online: http://www.jstor.org/stable/j.ctt1jktrp3 (accessed on 9 February 2024).
- Güsewell, S. N:P ratios in terrestrial plants: Variation and functional significance. New Phytol. 2004, 164, 243–266. [Google Scholar] [CrossRef] [PubMed]
- Han, W.X.; Tang, L.Y.; Chen, Y.H.; Fang, J.Y. Relationship between the relative limitation and resorption efficiency of nitrogen vs. phosphorus in woody plants. PLoS ONE 2013, 8, e83366. [Google Scholar] [CrossRef] [PubMed]
- Han, W.X.; Fang, J.Y.; Guo, D.L.; Zhang, Y. Leaf nitrogen and phosphorus stoichiometry across 753 terrestrial plant species in China. New Phytol. 2005, 168, 377–385. [Google Scholar] [CrossRef]
- Tian, D.; Yan, Z.B.; Niklas, K.J.; Han, W.X.; Kattge, J.; Reich, P.B.; Luo, Y.K.; Chen, Y.H.; Tang, Z.Y.; Hu, H.F.; et al. Global leaf nitrogen and phosphorus stoichiometry and their scaling exponent. Natl. Sci. Rev. 2018, 5, 723–739. [Google Scholar] [CrossRef]
- Yuan, Z.Y.; Chen, H.Y.H.; Reich, P.B. Global-scale latitudinal patterns of plant fine-root nitrogen and phosphorus. Nat. Commun. 2011, 2, 344. [Google Scholar] [CrossRef]
- Ma, Y.Z.; Zhong, Q.L.; Jin, B.J.; Lu, H.D.; Guo, B.Q.; Zheng, Y.; Li, M.; Cheng, D.L. Spatial changes and influencing factors of fine root carbon, nitrogen and phosphorus stoichiometry of plants in China. Chin. J. Plant Ecol. 2015, 39, 159–166. [Google Scholar] [CrossRef]
- Aerts, R. Nutrient Resorption from Senescing Leaves of Perennials: Are there General Patterns? J. Ecol. 1996, 84, 597–608. [Google Scholar] [CrossRef]
- Wang, K.; Wang, G.G.; Song, L.N.; Zhang, R.S.; Yan, T.; Li, Y.H. Linkages between nutrient resorption and ecological stoichiometry and homeostasis along a chronosequence of Mongolian pine plantations. Front. Plant Sci. 2021, 12, 692683. [Google Scholar] [CrossRef] [PubMed]
- Chen, H.; Reed, S.C.; Lü, X.T.; Xiao, K.C.; Wang, K.L.; Li, D.J. Coexistence of multiple leaf nutrient resorption strategies in a single ecosystem. Sci. Total Environ. 2021, 772, 144951. [Google Scholar] [CrossRef] [PubMed]
- Jian, Z.J.; Ni, Y.Y.; Lei, L.; Xu, J.; Xiao, W.F.; Zeng, L.X. Phosphorus is the key soil indicator controlling productivity in planted Masson pine forests across subtropical China. Sci. Total Environ. 2022, 822, 153525. [Google Scholar] [CrossRef] [PubMed]
- Huang, X.; Huang, C.B.; Teng, M.J.; Zhou, Z.X.; Wang, P.C. Net primary productivity of Pinus massoniana dependence on climate, soil and forest characteristics. Forests 2020, 11, 404. [Google Scholar] [CrossRef]
- Ni, Y.Y.; Jian, Z.J.; Zeng, L.X.; Liu, J.F.; Lei, L.; Zhu, J.H.; Xu, J.; Xiao, W.F. Climate, soil nutrients, and stand characteristics jointly determine large-scale patterns of biomass growth rates and allocation in Pinus massoniana plantations. For. Ecol. Manag. 2022, 504, 119839. [Google Scholar] [CrossRef]
- Jian, Z.J.; Ni, Y.Y.; Xu, J.; Lei, L.; Zeng, L.X.; Xiao, W.F. Soil fertility in the Pinus massoniana forests of China. Acta Ecol. Sin. 2021, 41, 5279–5288. [Google Scholar] [CrossRef]
- Epstein, E. Mineral Nutrition of Plants: Principles and Perspectives; John Wiley and Sons: New York, NY, USA, 1972. [Google Scholar]
- Ames, B.N. Assay of inorganic phosphate, total phosphate and phosphatases. Methods Enzymol. 1996, 8, 115–118. [Google Scholar]
- Seifter, S.; Dayton, S.; Novic, B.; Muntwyler, E. The Estimation of Glycogen with the Anthrone Reagent. Arch. Biochem. 1950, 25, 191–200. [Google Scholar]
- Schönbeck, L.; Gessler, A.; Hoch, G.; McDowell, N.G.; Rigling, A.; Schaub, M.; Li, M.H. Homeostatic levels of nonstructural carbohydrates after 13 yr of drought and irrigation in Pinus sylvestris. New Phytol. 2018, 219, 1314–1324. [Google Scholar] [CrossRef] [PubMed]
- Xu, L.; He, N.P.; Yu, G.R. Nitrogen storage in China’s terrestrial ecosystems. Sci. Total Environ. 2019, 709, 136201. [Google Scholar] [CrossRef] [PubMed]
- Cartaxana, P.; Catarino, F. Nitrogen resorption from senescing leaves of three salt marsh plant species. Plant Ecol. 2002, 159, 95–102. [Google Scholar] [CrossRef]
- Wright, I.J.; Westoby, M. Nutrient concentration, resorption and lifespan: Leaf traits of Australian sclerophyll species. Funct. Ecol. 2003, 17, 10–19. [Google Scholar] [CrossRef]
- Yan, L.; Wen, Y.G.; Zhou, X.G.; Li, H.Y.; Wu, W.X.; Sunoj, V.S.J.; Lambers, H.; Finnegan, P.M. Adding Castanopsis hystrix to a Pinus massoniana plantation changed leaf phosphorus and nitrogen investment and soil nitrogen concentrations. Plant Soil 2023. [Google Scholar] [CrossRef]
- Vergutz, L.; Manzoni, S.; Porporato, A.; Novais, R.F.; Jackson, R.B. Global resorption efficiencies and concentrations of carbon and nutrients in leaves of terrestrial plants. Ecol. Monogr. 2012, 82, 205–220. [Google Scholar] [CrossRef]
- Xu, J.; Lei, L.; Zeng, L.X.; Ni, Y.Y.; Jian, Z.J.; Deng, X.X.; Xiao, W.F. The responses of C allocation of new needle and fine root affected the phosphorus adaptation of Pinus massoniana seedlings. J. Soil Sci. Plant Nutr. 2023. [Google Scholar] [CrossRef]
- Alvarez-Clare, S.; Mack, M.C.; Brooks, M.E. A direct test of nitrogen and phosphorus limitation to net primary productivity in a lowland tropical wet forest. Ecology 2013, 94, 1540–1551. [Google Scholar] [CrossRef]
- Gutiérrez, G.V.; Pérez-Aviles, D.; Raczka, N.; Pereira-Arias, D.; Tijerín-Triviño, J.; Pereira-Arias, L.D.; Medvigy, D.; Waring, B.G.; Morrisey, E.; Brzostek, E.; et al. Throughfall exclusion and fertilization effects on tropical dry forest tree plantations, a large-scale experiment. Biogeosciences 2023, 20, 2143–2160. [Google Scholar] [CrossRef]
- Mariotte, P.; Cresswell, T.; Johansen, M.P.; Harrison, J.J.; Keitel, C.; Dijkstra, F.A. Plant uptake of nitrogen and phosphorus among 671 grassland species affected by drought along a soil available phosphorus gradient. Plant Soil 2020, 448, 121–132. [Google Scholar] [CrossRef]
- Wright, I.J.; Reich, P.B.; Westoby, M.; Ackerly, D.D.; Baruch, Z.; Bongers, F.; Cavender-Bares, J.; Chapin, T.; Cornelissen, J.H.C.; Diemer, M.; et al. The worldwide leaf economics spectrum. Nature 2004, 428, 821–827. [Google Scholar] [CrossRef]
- Sun, X.B.; Li, D.J.; Lü, X.T.; Fang, Y.T.; Ma, Z.L.; Wang, Z.C.; Chu, C.J.; Li, M.M.; Chen, H. Widespread controls of leaf nutrient resorption by nutrient limitation and stoichiometry. Funct. Ecol. 2023, 37, 1653–1662. [Google Scholar] [CrossRef]
- Jackson, R.B.; Mooney, H.A.; Schulze, E.D. A global budget for fine root biomass, surface area, and nutrient contents. Proc. Natl. Acad. Sci. USA 1997, 94, 7362–7366. [Google Scholar] [CrossRef]
- Gordon, W.S.; Jackson, R.B. Nutrient concentrations in fine roots. Ecology 2000, 81, 275–280. [Google Scholar] [CrossRef]
- Hayes, P.; Turner, B.L.; Lambers, H.; Laliberté, E. Foliar nutrient concentrations and resorption efficiency in plants of contrasting nutrient-acquisition strategies along a 2-million-year dune chronosequence. J. Ecol. 2014, 102, 396–410. [Google Scholar] [CrossRef]
- Lang, F.; Krüger, J.; Amelung, W.; Willbold, S.; Frossard, E.; Bünemann, E.K.; Bauhus, J.; Nitschke, R.; Kandeler, E.; Marhan, S.; et al. Soil phosphorus supply controls P nutrition strategies of beech forest ecosystems in Central Europe. Biogeochemistry 2017, 136, 5–29. [Google Scholar] [CrossRef]
- Grau, O.; Peñuelas, J.; Ferry, B.; Freycon, V.; Blanc, L.; Desprez, M.; Baraloto, C.; Chave, J.; Descroix, L.; Dourdain, A.; et al. Nutrient-cycling mechanisms other than the direct absorption from soil may control forest structure and dynamics in poor Amazonian soils. Sci. Rep. 2017, 7, srep45017. [Google Scholar] [CrossRef] [PubMed]
- Guo, Q.Q.; Li, H.E.; Sun, X.G.; An, Z.F.; Ding, G.J. Patterns of needle nutrient resorption and ecological stoichiometry homeostasis along a chronosequence of Pinus massoniana plantations. Forests 2023, 14, 607. [Google Scholar] [CrossRef]
- Aerts, R.; Chapin, F.S., III. The mineral nutrition of wild plants revisited: A re-evaluation of processes and patterns. Adv. Ecol. Res. 1999, 30, 1–67. [Google Scholar] [CrossRef]
- Craine, J.M.; Morrow, C.; Stock, W.D. Nutrient concentration ratios and co-limitation in South African grasslands. New Phytol. 2008, 179, 829–836. [Google Scholar] [CrossRef] [PubMed]
- Zhang, J.H.; Hedin, L.O.; Li, M.X.; Xu, L.; Yan, P.; Dai, G.H.; He, N.P. Leaf N:P ratio does not predict productivity trends across natural terrestrial ecosystems. Ecology 2022, 103, e3789. [Google Scholar] [CrossRef] [PubMed]
- Sardans, J.; Rivas-Ubach, A.; Peñuelas, J. The C:N:P stoichiometry of organisms and ecosystems in a changing world: A review and perspectives. Perspect. Plant Ecol. 2012, 14, 33–47. [Google Scholar] [CrossRef]
- Selvaraj, S.; Duraisamy, V.; Huang, Z.J.; Guo, F.T.; Ma, X.Q. Influence of long-term successive rotations and stand age of Chinese fir (Cunninghamia lanceolata) plantations on soil properties. Geoderma 2017, 306, 127–134. [Google Scholar] [CrossRef]
- Schreeg, L.A.; Santiago, L.S.; Wright, S.J.; Turner, B.L. Stem, root, and older leaf N:P ratios are more responsive indicators of soil nutrient availability than new foliage. Ecology 2014, 95, 2062–2068. [Google Scholar] [CrossRef] [PubMed]
- Yan, Z.B.; Guan, H.Y.; Han, W.X.; Han, T.S.; Guo, Y.L.; Fang, J.Y. Reproductive organ and young tissues show constrained elemental composition in Arabidopsis thaliana. Ann. Bot. 2016, 117, 431–439. [Google Scholar] [CrossRef] [PubMed]
- Poorter, H.; Niinemets, Ü.; Poorter, L.; Wright, I.J.; Villar, R. Causes and consequences of variation in leaf mass per area (LMA): A meta-analysis. New Phytol. 2009, 182, 565–588. [Google Scholar] [CrossRef]
- Yu, Q.; Chen, Q.S.; Elser, J.J.; He, N.P.; Wu, H.H.; Zhang, G.M.; Wu, J.G.; Bai, Y.F.; Han, X.G. Linking stoichiometric homoeostasis with ecosystem structure, functioning and stability. Ecol. Lett. 2010, 13, 1390–1399. [Google Scholar] [CrossRef]
- Sistla, S.A.; Appling, A.P.; Lewandowska, A.M.; Taylor, B.N.; Wolf, A.A. Stoichiometric flexibility in response to fertilization along gradients of environmental and organismal nutrient richness. Oikos 2015, 124, 949–959. [Google Scholar] [CrossRef]
- Güsewell, S. Nutrient resorption of wetland graminoids is related to the type of nutrient limitation. Funct. Ecol. 2005, 19, 344–354. [Google Scholar] [CrossRef]
- Zhang, P.; Lü, X.T.; Li, M.H.; Wu, T.G.; Jin, G.Z. N limitation increases along a temperate forest succession: Evidences from leaf stoichiometry and nutrient resorption. J. Plant Ecol. 2022, 15, 1021–1035. [Google Scholar] [CrossRef]
- Raessler, M.; Wissuwa, B.; Breul, A.; Unger, W.; Grimn, T. Chromatographic analysis of major non-structural carbohydrates in several wood species—An analytical approach for higher accuracy of data. Anal. Methods 2010, 2, 532–538. [Google Scholar] [CrossRef]
- Mei, L.; Xiong, Y.M.; Gu, J.C.; Wang, Z.Q.; Guo, D.L. Whole-tree dynamics of non-structural carbohydrate and nitrogen pools across different seasons and in response to girdling in two temperate trees. Oecologia 2015, 1177, 333–344. [Google Scholar] [CrossRef] [PubMed]
- Freschet, G.T.; Roumet, C.; Comas, L.H.; Weemstra, M.; Bengough, A.G.; Rewald, B.; Bardgett, R.D.; De Deyn, G.B.; Johnson, D.; Klimešová, J.; et al. Root traits as drivers of plant and ecosystem functioning: Current understanding, pitfalls and future research needs. New Phytol. 2020, 232, 1123–1158. [Google Scholar] [CrossRef] [PubMed]







| Phosphorus Treatment | Ca(NO3)2·4H2O /g·kg−1 | KH2PO4 /g·kg−1 | MgSO4 /g·kg−1 | KCl /g·kg−1 |
|---|---|---|---|---|
| No phosphorus, 0 AP | 0.945 | 0 | 0.120 | 0.253 |
| 1/4 times of available phosphorus, 1/4 AP | 0.945 | 0.002 | 0.120 | 0.253 |
| 1/2 times of available phosphorus, 1/2 AP | 0.945 | 0.003 | 0.120 | 0.252 |
| 1 time of available phosphorus, AP | 0.945 | 0.006 | 0.120 | 0.250 |
| 2 times of available phosphorus, 2 AP | 0.945 | 0.012 | 0.120 | 0.247 |
| 4 times of available phosphorus, 4 AP | 0.945 | 0.024 | 0.120 | 0.240 |
| Indicator | P Treatment | Component | P Treatment * Component | |||
|---|---|---|---|---|---|---|
| F-Value | p | F-Value | p | F-Value | p | |
| Biomass | 2.755 | 0.022 * | 37.378 | <0.001 *** | 0.666 | 0.901 |
| Component N concentration | 10.812 | <0.001 *** | 113.420 | <0.001 *** | 1.040 | 0.423 |
| Component P concentration | 168.836 | <0.001 *** | 2972.137 | <0.001 *** | 38.829 | <0.001 *** |
| N reserve | 2.639 | 0.027 * | 31.001 | <0.001 *** | 0.910 | 0.605 |
| P reserve | 1.112 | 0.358 | 23.069 | <0.001 *** | 0.683 | 0.868 |
| N:P | 9.494 | <0.001 *** | 47.373 | <0.001 *** | 3.271 | <0.001 *** |
| Non-structural carbohydrates concentration | 46.906 | <0.001 *** | 475.822 | <0.001 *** | 25.300 | <0.001 *** |
| Soluble sugar concentration | 50.292 | <0.001 *** | 546.409 | <0.001 *** | 29.245 | <0.001 *** |
| Starch concentration | 42.389 | <0.001 *** | 279.784 | <0.001 *** | 15.217 | <0.001 *** |
| Non-structural carbohydrates reserve | 5.742 | <0.001 *** | 27.776 | <0.001 *** | 0.655 | 0.902 |
| Soluble sugar reserve | 5.623 | <0.001 *** | 28.070 | <0.001 *** | 0.806 | 0.740 |
| Starch reserve | 6.153 | <0.001 *** | 27.877 | <0.001 *** | 0.539 | 0.969 |
| Soluble sugar: starch | 30.896 | <0.001 *** | 380.467 | <0.001 *** | 18.120 | <0.001 *** |
| Phosphorus resorption efficiency | 250.840 | <0.001 *** | ||||
| Nitrogen resorption efficiency | 3.511 | 0.025 * | ||||
| Nitrogen resorption efficiency: phosphorus resorption efficiency | 7.411 | 0.002 ** | ||||
Disclaimer/Publisher’s Note: The statements, opinions and data contained in all publications are solely those of the individual author(s) and contributor(s) and not of MDPI and/or the editor(s). MDPI and/or the editor(s) disclaim responsibility for any injury to people or property resulting from any ideas, methods, instructions or products referred to in the content. |
© 2024 by the authors. Licensee MDPI, Basel, Switzerland. This article is an open access article distributed under the terms and conditions of the Creative Commons Attribution (CC BY) license (https://creativecommons.org/licenses/by/4.0/).
Share and Cite
Xu, J.; Jian, Z.; Zhang, Y.; Deng, X.; Lei, L.; Zeng, L.; Xiao, W.; Ni, Y. Nutrient Variations and Their Use Efficiency of Pinus massoniana Seedling Tissues in Response to Low Phosphorus Conditions. Forests 2024, 15, 351. https://doi.org/10.3390/f15020351
Xu J, Jian Z, Zhang Y, Deng X, Lei L, Zeng L, Xiao W, Ni Y. Nutrient Variations and Their Use Efficiency of Pinus massoniana Seedling Tissues in Response to Low Phosphorus Conditions. Forests. 2024; 15(2):351. https://doi.org/10.3390/f15020351
Chicago/Turabian StyleXu, Jin, Zunji Jian, Yuanzheng Zhang, Xiuxiu Deng, Lei Lei, Lixiong Zeng, Wenfa Xiao, and Yanyan Ni. 2024. "Nutrient Variations and Their Use Efficiency of Pinus massoniana Seedling Tissues in Response to Low Phosphorus Conditions" Forests 15, no. 2: 351. https://doi.org/10.3390/f15020351
APA StyleXu, J., Jian, Z., Zhang, Y., Deng, X., Lei, L., Zeng, L., Xiao, W., & Ni, Y. (2024). Nutrient Variations and Their Use Efficiency of Pinus massoniana Seedling Tissues in Response to Low Phosphorus Conditions. Forests, 15(2), 351. https://doi.org/10.3390/f15020351

