Evaluation of Accuracy in Estimating Diameter at Breast Height Based on the Scanning Conditions of Terrestrial Laser Scanning and Circular Fitting Algorithm
Abstract
1. Introduction
2. Materials and Methods
2.1. Study Area
2.2. Data Acquisition and Preprocessing
2.2.1. Field Survey for DBH and Individual Tree Locations
2.2.2. Data Collection and Preprocessing
2.2.3. Noise Point Removal for DBH Estimation
2.3. Estimation and Evaluation of DBH Using Circular Fitting
2.4. Construction and Evaluation of Influencing Factors on DBH Estimation
3. Results and Discussion
3.1. Evaluation of the Possibility of DBH Estimation Based on the Circular Fitting Method and Number of Scans
3.2. Accuracy Evaluation of DBH Estimation
3.3. Optimal Number of Scans for Estimating DBH Using TLS
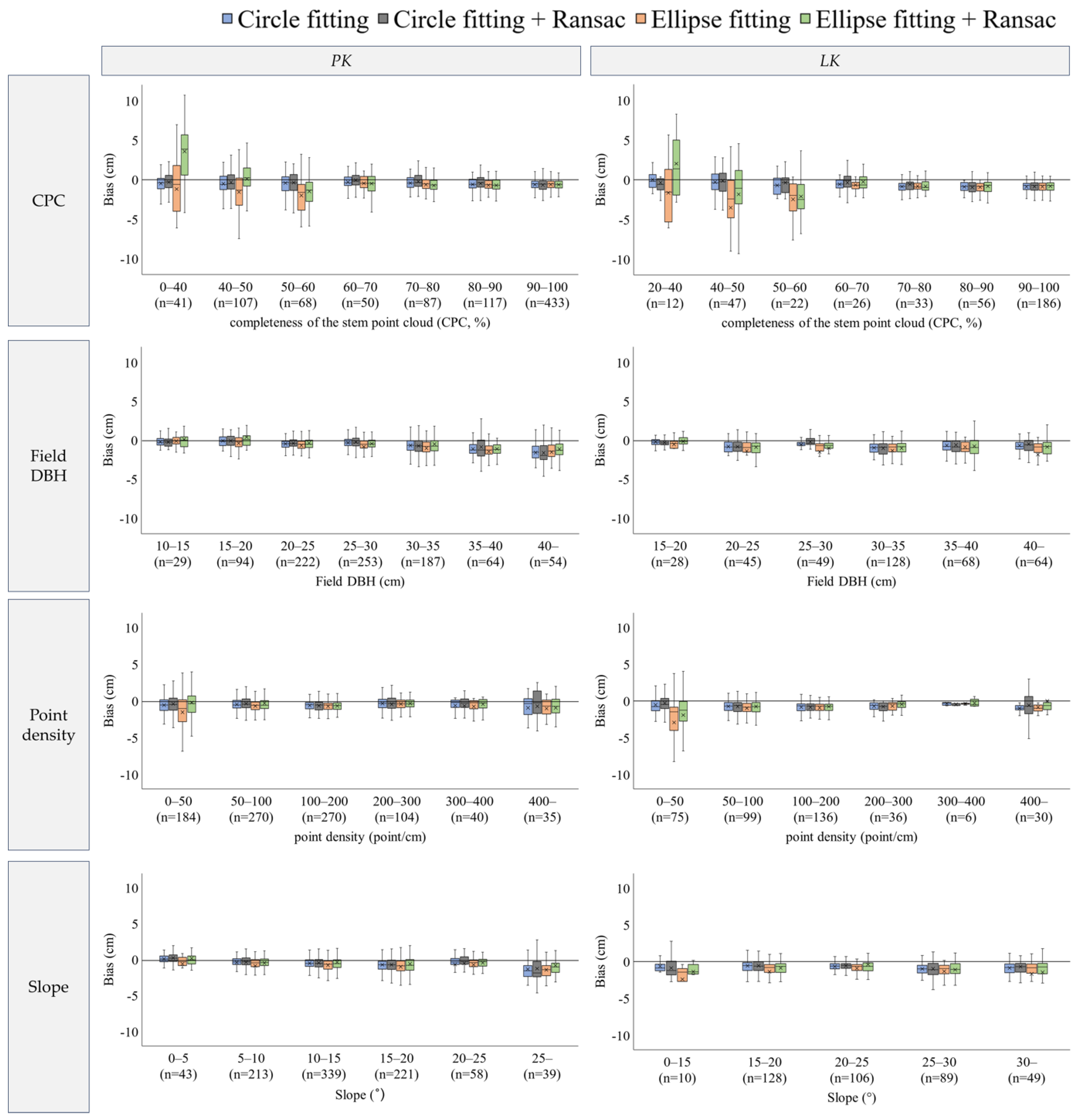
3.4. Evaluation of Factors Affecting the Accuracy of DBH Estimation
4. Conclusions
Author Contributions
Funding
Data Availability Statement
Conflicts of Interest
References
- Yim, J.S.; Kim, D.H.; Ko, C.U.; Kim, D.G.; Cho, H.J. Design and Implementation of System for Estimating Diameter at Breast Height and Tree Height using LiDAR point cloud data. JKSCI 2023, 28, 99–110. [Google Scholar]
- McTague, J.P.; Weiskittel, A. Evolution, history, and use of stem taper equations: A review of their development, application, and implementation. Can. J. For. Res. 2021, 51, 210–235. [Google Scholar] [CrossRef]
- Chen, J.; Yang, H.; Man, R.; Wang, W.; Sharma, M.; Peng, C.; Parton, J.; Zhu, H.; Deng, Z. Using machine learning to synthesize spatiotemporal data for modelling DBH-height and DBH-height-age relationships in boreal forests. For. Ecol. Manag. 2020, 466, 118104. [Google Scholar] [CrossRef]
- Semenzato, P.; Cattaneo, D.; Dainese, M. Growth prediction for five tree species in an Italian urban forest. Urban For. Urban Green. 2011, 10, 169–176. [Google Scholar] [CrossRef]
- Brokaw, N.; Thompson, J. The H for DBH. For. Ecol. Manag. 2000, 129, 89–91. [Google Scholar] [CrossRef]
- Binot, J.M.; Pothier, D.; Lebel, J. Comparison of relative accuracy and time requirement between the caliper, the diameter tape and an electronic tree measuring fork. For. Chron. 1995, 71, 197–200. [Google Scholar] [CrossRef]
- McRoberts, R.E.; Hahn, J.T.; Hefty, G.J.; Cleve, J.R.V. Variation in forest inventory field measurements. Can. J. For. Res. 1994, 24, 1766–1770. [Google Scholar] [CrossRef]
- Zhang, W.; Ke, Y.; Quackenbush, L.J.; Zhang, L. Using error-in-variable regression to predict tree diameter and crown width from remotely sensed imagery. Can. J. For. Res. 2010, 40, 1095–1108. [Google Scholar] [CrossRef]
- Kattenborn, T.; Hernández, J.; Lopatin, J.; Kattenborn, G.; Fassnacht, F.E. Pilot study on the retrieval of DBH and diameter distribution of deciduous forest stands using cast shadows in uav-based orthomosaics. ISPRS Ann. 2018, 4, 93–99. [Google Scholar]
- Pitkänen, T.P.; Raumonen, P.; Kangas, A. Measuring stem diameters with TLS in boreal forests by complementary fitting procedure. ISPRS J. Photogramm. Remote Sens. 2019, 147, 294–306. [Google Scholar] [CrossRef]
- Donager, J.J.; Sánchez Meador, A.J.; Blackburn, R.C. Adjudicating perspectives on forest structure: How do airborne, terrestrial, and mobile Lidar-derived estimates compare? Remote Sens. 2021, 13, 2297. [Google Scholar] [CrossRef]
- Holopainen, M.; Kankare, V.; Vastaranta, M.; Liang, X.; Lin, Y.; Vaaja, M.; Yu, X.; Hyyppä, J.; Hyyppä, H.; Kaartinen, H. Tree mapping using airborne, terrestrial and mobile laser scanning—A case study in a heterogeneous urban forest. Urban For. Urban Green. 2013, 12, 546–553. [Google Scholar] [CrossRef]
- Liu, G.; Wang, J.; Dong, P.; Chen, Y.; Liu, Z. Estimating Individual Tree Height and Diameter at Breast Height (DBH) from Terrestrial Laser Scanning (TLS) Data at Plot Level. Forests. 2018, 9, 398. [Google Scholar] [CrossRef]
- Singh, A.; Kushwaha, S.K.P.; Nandy, S.; Padalia, H. An approach for tree volume estimation using RANSAC and RHT algorithms from TLS dataset. Appl. Geomat. 2022, 14, 785–794. [Google Scholar] [CrossRef]
- Ritter, T.; Schwarz, M.; Tockner, A.; Leisch, F.; Nothdurft, A. Automatic Mapping of Forest Stands Based on Three-Dimensional Point Clouds Derived from Terrestrial Laser-Scanning. Forests 2017, 8, 265. [Google Scholar] [CrossRef]
- Liu, C.; Xing, Y.; Duanmu, J.; Tian, X. Evaluating different methods for estimating diameter at breast height from terrestrial laser scanning. Remote Sens. 2018, 10, 513. [Google Scholar] [CrossRef]
- Koreň, M.; Mokroš, M.; Bucha, T. Accuracy of tree diameter estimation from terrestrial laser scanning by circle-fitting methods. Int. J. Appl. Earth Obs. Geoinf. 2017, 63, 122–128. [Google Scholar] [CrossRef]
- Kong, J.; Ding, X.; Liu, J.; Yan, L.; Wang, J. New hybrid algorithms for estimating tree stem diameters at breast height using a two dimensional terrestrial laser scanner. Sensors 2015, 15, 15661–15683. [Google Scholar] [CrossRef]
- Zhou, J.; Zhou, G.; Wei, H.; Zhang, X.; Wang, X. Evaluation of three methods for estimating diameter at breast height from terrestrial laser scanning data. In Proceedings of the IGARSS 2019-2019 IEEE International Geoscience and Remote Sensing Symposium, Yokohama, Japan, 28 July–2 August 2019; pp. 6674–6677. [Google Scholar]
- Olofsson, K.; Holmgren, J.; Olsson, H. Tree Stem and Height Measurements using Terrestrial Laser Scanning and the RANSAC Algorithm. Remote Sens. 2014, 6, 4323–4344. [Google Scholar] [CrossRef]
- Torralba, J.; Carbonell-Rivera, J.P.; Ruiz, L.Á.; Crespo-Peremarch, P. Analyzing TLS scan distribution and point density for the estimation of forest stand structural parameters. Forests 2022, 13, 2115. [Google Scholar] [CrossRef]
- Wang, Y.; Lehtomäki, M.; Liang, X.; Pyörälä, J.; Kukko, A.; Jaakkola, A.; Liu, J.; Feng, Z.; Chen, R.; Hyyppä, J. Is field-measured tree height as reliable as believed—A comparison study of tree height estimates from field measurement, airborne laser scanning and terrestrial laser scanning in a boreal forest. ISPRS J. Photogramm. Remote Sens. 2019, 147, 132–145. [Google Scholar] [CrossRef]
- Cabo, C.; Ordóñez, C.; López-Sánchez, C.A.; Armesto, J. Automatic dendrometry: Tree detection, tree height, and diameter estimation using terrestrial laser scanning. Int. J. Appl. Earth Obs. Geoinf. 2018, 69, 164–174. [Google Scholar] [CrossRef]
- Liang, X.; Litkey, P.; Hyyppa, J.; Kaartinen, H.; Vastaranta, M.; Holopainen, M. Automatic Stem Mapping Using Single-Scan Terrestrial Laser Scanning. IEEE Trans. Geosci. Remote Sens. 2011, 50, 661–670. [Google Scholar] [CrossRef]
- Lee, Y.K.; Son, Y.W.; Oh, J.S. Effects of Nitrogen and Phosphorus Fertilization on Aboveground Biomass and Distribution of Nutrient Content of Pinus rigida and Larix kaempferi Plantations in Yangpyeong area, Gyeonggi Province. J. Korea For. Energy 2004, 23, 1–18. [Google Scholar]
- Korea Forest Service. The 8th National Forest Inventory and Forest Health Monitoring—Field Manual; Korea Forest Service: Daejeon, Republic of Korea, 2021; p. 37. [Google Scholar]
- Pokswinski, S.; Gallagher, M.R.; Skowronski, N.S.; Loudermilk, E.L.; Hawley, C.; Wallace, D.; Everland, A.; Wallace, J.; Hiers, J.K. A simplified and affordable approach to forest monitoring using single terrestrial laser scans and transect sampling. MethodsX 2021, 8, 101484. [Google Scholar] [CrossRef] [PubMed]
- Calders, K.; Adams, J.; Armston, J.; Bartholomeus, H.; Bauwens, S.; Bentley, L.P.; Chave, J.; Danson, F.M.; Demol, M.; Disney, M. Terrestrial laser scanning in forest ecology: Expanding the horizon. Remote Sens. Environ. 2020, 251, 112102. [Google Scholar] [CrossRef]
- Zhang, W.; Qi, J.; Wan, P.; Wang, H.; Xie, D.; Wang, X.; Yan, G. An Easy-to-Use Airborne LiDAR Data Filtering Method Based on Cloth Simulation. Remote Sens. 2016, 8, 501. [Google Scholar] [CrossRef]
- Fareed, N.; Flores, J.P.; Das, A.K. Analysis of UAS-LiDAR Ground Points Classification in Agricultural Fields Using Traditional Algorithms and PointCNN. Forests 2023, 15, 483. [Google Scholar] [CrossRef]
- Heinzel, J.; Huber, M.O. Detecting tree stems from volumetric TLS data in forest environments with rich understory. Remote Sens. 2016, 9, 9. [Google Scholar] [CrossRef]
- Wang, F.; Heenkenda, M.K.; Freeburn, J.T. Estimating tree diameter at breast height (DBH) using an iPad Pro LiDAR Sensor. Remote Sens. Lett. 2022, 13, 568–578. [Google Scholar] [CrossRef]
- Gander, W.; Golub, G.H.; Strebel, R. Least-squares fitting of circles and ellipses. BIT Numer. Math. 1994, 34, 558–578. [Google Scholar] [CrossRef]
- Fischler, M.A.; Bolles, R.C. Random sample consensus: A paradigm for model fitting with applications to image analysis and automated cartography. Commun. ACM 1981, 24, 381–395. [Google Scholar] [CrossRef]
- Xie, Y.; Yang, T.; Wang, X.; Chen, X.; Pang, S.; Hu, J.; Wang, A.; Chen, L.; Shen, Z. Applying a Portable Backpack Lidar to Measure and Locate Trees in a Nature Forest Plot Accuracy and Error Analyses. Remote Sens. 2022, 14, 1806. [Google Scholar] [CrossRef]
- Xie, Y.; Zhang, J.; Chen, X.; Pang, S.; Zeng, H.; Shen, Z. Accuracy assessment and error analysis for diameter at breast height measurement of trees obtained using a novel backpack LiDAR system. For. Ecosyst. 2020, 7, 33. [Google Scholar] [CrossRef]
- Mokros, M.; Mikita, T.; Singh, A.; Tomaštík, J.; Chudá, J.; Wężyk, P.; Kuželka, K.; Surový, P.; Klimánek, M.; Zięba-Kulawik, K.; et al. Novel low-cost mobile mapping systems for forest inventories as terrestrial laser scanning alternatives. Int. J. Appl. Earth Obs. Geoinf. 2021, 104, 102512. [Google Scholar]
- Panagiotidis, D.; Abdollahnejad, A.; Slavik, M. 3D point cloud fusion from UAV and TLS to assess temperate managed forest structures. Int. J. Appl. Earth Obs. Geoinf. 2022, 112, 102917. [Google Scholar] [CrossRef]
- Ruhan, A.; Du, W.; Ying, H.; Wei, B.; Shan, Y.; Dai, H. Estimation of Aboveground Biomass of Individual Trees by Backpack LiDAR Based on Parameter-Optimized Quantitative Structural Models (AdQSM). Forests 2023, 14, 475. [Google Scholar] [CrossRef]
- Srinivasan, S.; Popescu, S.C.; Eriksson, M.; Sheridan, R.D.; Ku, N.W. Terrestrial Laser Scanning as an Effective Tool to Retrieve Tree Level Height, Crown Width, and Stem Diameter. Remote Sens. 2015, 7, 1877–1896. [Google Scholar] [CrossRef]
- Liu, S.; Tan, K.; Tao, P.; Yang, J.; Zhang, W.; Wang, Y. Rigorous Density Correction Model for Single-Scan TLS Point Clouds. IEEE Trans. Geosci. Remote Sens. 2023, 61, 5701318. [Google Scholar] [CrossRef]
- Bauwens, S.; Bartholomeus, H.; Calders, K.; Lejeune, P. Forest Inventory with Terrestrial LiDAR: A Comparison of Static and Hand-Held Mobile Laser Scanning. Forests 2016, 7, 127. [Google Scholar] [CrossRef]
- Du, S.; Lindenbergh, R.; Ledoux, H.; Stoter, J.; Nan, L. AdTree: Accurate, detailed, and Automatic Modelling of Laser-Scanned Trees. Remote Sens. 2019, 11, 2074. [Google Scholar] [CrossRef]
- Raumonen, P.; Kaasalainen, M.; Åkerblom, M.; Kaasalainen, S.; Kaartinen, H.; Vastaranta, M.; Holopainen, M.; Disney, M.; Lewis, P. Fast Automatic Precision Tree Models from Terrestrial Laser Scanner Data. Remote Sens. 2013, 5, 491–520. [Google Scholar] [CrossRef]
- Delagrange, S.; Jauvin, C.; Rochon, P. PypeTree: A Tool for Reconstructing Tree Perennial Tissues from Point Clouds. Sensors 2014, 14, 4271–4289. [Google Scholar] [CrossRef] [PubMed]
- Wang, F.; Sun, Y.; Jia, W.; Li, D.; Zhang, X.; Tang, Y.; Guo, H. A Novel Approach to Characterizing Crown Vertical Profile Shapes using Terrestrial Laser Scanning (TLS). Remote Sens. 2023, 15, 3272. [Google Scholar] [CrossRef]
- Wang, F.; Sun, Y.; Jia, W.; Zhu, W.; Li, D.; Zhang, X.; Tang, Y.; Guo, H. Development of estimation models for individual tree aboveground biomass based on TLS-derived parameters. Forests 2023, 14, 351. [Google Scholar] [CrossRef]









| Species | Plot | Number of Trees (n) | Stem Density (Stems/ha) | DBH (cm) | Basal Area (m2/ha) | |||
|---|---|---|---|---|---|---|---|---|
| Min | Max | Mean | Std | |||||
| PK | 1 | 37 | 925 | 12.9 | 43.0 | 27.6 | 8.2 | 1258 |
| 2 | 25 | 625 | 12.5 | 50.3 | 30.0 | 8.3 | 925 | |
| 3 | 44 | 1100 | 15.0 | 47.0 | 26.5 | 7.0 | 1438 | |
| 4 | 44 | 1100 | 12.0 | 42.0 | 25.9 | 6.0 | 1408 | |
| 5 | 35 | 875 | 16.0 | 42.8 | 28.5 | 6.0 | 1230 | |
| Total | 185 | 925 | 12.0 | 50.3 | 27.4 | 7.1 | 1252 | |
| LK | 1 | 18 | 450 | 22.3 | 38.2 | 31.2 | 4.8 | 692 |
| 2 | 13 | 325 | 20.1 | 40.5 | 31.3 | 6.5 | 501 | |
| 3 | 13 | 325 | 16.9 | 46.5 | 33.2 | 8.6 | 532 | |
| 4 | 11 | 275 | 23.9 | 47.5 | 37.3 | 8.7 | 506 | |
| 5 | 23 | 575 | 16.2 | 42.8 | 31.0 | 7.5 | 879 | |
| Total | 78 | 390 | 16.2 | 47.5 | 32.3 | 7.3 | 622 | |
| Species | PK (n = 185) | LK (n = 78) | |||||||||
|---|---|---|---|---|---|---|---|---|---|---|---|
| Number of Scans | 1 | 3 | 5 | 7 | 9 | 1 | 3 | 5 | 7 | 9 | |
| Raw data | CF | 174 | 184 | 185 | 185 | 185 | 74 | 78 | 78 | 78 | 78 |
| RCF | 174 | 184 | 185 | 185 | 185 | 74 | 78 | 78 | 78 | 78 | |
| EF | 164 | 184 | 185 | 185 | 185 | 65 | 74 | 76 | 76 | 76 | |
| REF | 168 | 184 | 185 | 185 | 185 | 72 | 78 | 77 | 76 | 78 | |
| Denoised data | CF | 174 | 184 | 185 | 185 | 185 | 74 | 78 | 78 | 78 | 78 |
| RCF | 174 | 184 | 185 | 185 | 185 | 74 | 78 | 78 | 78 | 78 | |
| EF | 164 | 184 | 185 | 185 | 185 | 71 | 78 | 78 | 78 | 78 | |
| REF | 168 | 184 | 185 | 185 | 185 | 72 | 78 | 78 | 78 | 78 | |
| Species | PK | LK | ||||||||||
|---|---|---|---|---|---|---|---|---|---|---|---|---|
| Number of Scans | 1 | 3 | 5 | 7 | 9 | 1 | 3 | 5 | 7 | 9 | ||
| Raw data | CF | RMSE | 3.27 | 1.53 | 1.55 | 1.55 | 1.46 | 3.21 | 2.92 | 2.23 | 2.59 | 1.64 |
| r2 | 0.81 | 0.96 | 0.96 | 0.96 | 0.96 | 0.83 | 0.86 | 0.91 | 0.89 | 0.96 | ||
| RCF | RMSE | 2.95 | 1.59 | 1.85 | 1.80 | 1.79 | 2.54 | 2.02 | 1.57 | 1.33 | 1.28 | |
| r2 | 0.84 | 0.95 | 0.94 | 0.94 | 0.94 | 0.89 | 0.94 | 0.96 | 0.97 | 0.98 | ||
| EF | RMSE | 4.71 | 2.24 | 1.54 | 1.45 | 1.32 | 7.12 | 3.53 | 1.92 | 1.90 | 1.72 | |
| r2 | 0.70 | 0.91 | 0.96 | 0.96 | 0.97 | 0.53 | 0.78 | 0.93 | 0.93 | 0.95 | ||
| REF | RMSE | 4.58 | 1.75 | 1.17 | 1.01 | 1.03 | 6.06 | 2.72 | 1.38 | 1.12 | 1.33 | |
| r2 | 0.67 | 0.94 | 0.98 | 0.99 | 0.99 | 0.59 | 0.89 | 0.98 | 0.99 | 0.98 | ||
| Denoised data | CF | RMSE | 3.08 | 1.12 | 1.10 | 1.06 | 1.03 | 1.68 | 1.25 | 1.14 | 1.03 | 1.09 |
| r2 | 0.84 | 0.98 | 0.98 | 0.99 | 0.99 | 0.95 | 0.99 | 0.99 | 0.99 | 0.99 | ||
| RCF | RMSE | 2.69 | 1.29 | 1.31 | 1.25 | 1.18 | 2.00 | 1.57 | 1.35 | 1.30 | 1.13 | |
| r2 | 0.87 | 0.97 | 0.98 | 0.98 | 0.98 | 0.93 | 0.97 | 0.98 | 0.98 | 0.99 | ||
| EF | RMSE | 4.13 | 1.56 | 1.27 | 1.11 | 1.02 | 6.19 | 2.65 | 1.11 | 1.09 | 1.10 | |
| r2 | 0.78 | 0.96 | 0.98 | 0.99 | 0.99 | 0.63 | 0.90 | 0.99 | 0.99 | 0.99 | ||
| REF | RMSE | 4.05 | 1.73 | 1.16 | 1.20 | 0.97 | 6.52 | 2.46 | 1.22 | 1.84 | 1.26 | |
| r2 | 0.74 | 0.94 | 0.98 | 0.98 | 0.99 | 0.53 | 0.91 | 0.98 | 0.95 | 0.98 | ||
| Dependent Variable | Sum of Squares | df | Mean Square | F | Sig. | |
|---|---|---|---|---|---|---|
| Absolute Deviation of CF | Between Groups | 30.43 | 4 | 7.61 | 12.94 | 0.00 |
| Within Groups | 752.27 | 1280 | 0.59 | |||
| Total | 782.70 | 1284 | ||||
| Absolute Deviation of RCF | Between Groups | 24.07 | 4 | 6.02 | 7.21 | 0.00 |
| Within Groups | 1067.70 | 1280 | 0.83 | |||
| Total | 1091.78 | 1284 | ||||
| Absolute Deviation of EF | Between Groups | 1021.90 | 4 | 255.48 | 81.95 | 0.00 |
| Within Groups | 3990.38 | 1280 | 3.12 | |||
| Total | 5012.28 | 1284 | ||||
| Absolute Deviation of REF | Between Groups | 604.61 | 4 | 151.15 | 53.44 | 0.00 |
| Within Groups | 3620.47 | 1280 | 2.83 | |||
| Total | 4225.08 | 1284 | ||||
| Dependent Variable | Number of Scanning (I) | Number of Scanning (J) | MeanDifference (I–J) | Std. Error | Sig. | 95% Confidence Interval | |
|---|---|---|---|---|---|---|---|
| Lower Bound | Upper Bound | ||||||
| Absolute Deviation of CF | 9 | 1 | −0.42 * | 0.08 | 0.00 | −0.64 | −0.21 |
| 3 | −0.11 | 0.06 | 0.52 | −0.29 | 0.06 | ||
| 5 | −0.04 | 0.06 | 1.00 | −0.22 | 0.14 | ||
| 7 | −0.00 | 0.06 | 1.00 | −0.17 | 0.16 | ||
| Absolute Deviation of RCF | 9 | 1 | −0.39 * | 0.09 | 0.00 | −0.63 | −0.15 |
| 3 | −0.17 | 0.07 | 0.20 | −0.37 | 0.04 | ||
| 5 | −0.06 | 0.07 | 0.99 | −0.27 | 0.15 | ||
| 7 | −0.05 | 0.07 | 1.00 | −0.25 | 0.15 | ||
| Absolute Deviation of EF | 9 | 1 | −2.41 * | 0.23 | - | −3.07 | −1.74 |
| 3 | −0.36 * | 0.11 | 0.01 | −0.66 | −0.06 | ||
| 5 | −0.09 | 0.07 | 0.84 | −0.28 | 0.09 | ||
| 7 | −0.03 | 0.06 | 1.00 | −0.20 | 0.14 | ||
| Absolute Deviation of ECF | 9 | 1 | −1.86 * | 0.21 | 0.00 | −2.47 | −1.26 |
| 3 | −0.42 * | 0.10 | 0.00 | −0.71 | −0.13 | ||
| 5 | −0.04 | 0.06 | 1.00 | −0.22 | 0.14 | ||
| 7 | −0.07 | 0.08 | 0.99 | −0.29 | 0.15 | ||
Disclaimer/Publisher’s Note: The statements, opinions and data contained in all publications are solely those of the individual author(s) and contributor(s) and not of MDPI and/or the editor(s). MDPI and/or the editor(s) disclaim responsibility for any injury to people or property resulting from any ideas, methods, instructions or products referred to in the content. |
© 2024 by the authors. Licensee MDPI, Basel, Switzerland. This article is an open access article distributed under the terms and conditions of the Creative Commons Attribution (CC BY) license (https://creativecommons.org/licenses/by/4.0/).
Share and Cite
Lee, Y.; Lee, J. Evaluation of Accuracy in Estimating Diameter at Breast Height Based on the Scanning Conditions of Terrestrial Laser Scanning and Circular Fitting Algorithm. Forests 2024, 15, 313. https://doi.org/10.3390/f15020313
Lee Y, Lee J. Evaluation of Accuracy in Estimating Diameter at Breast Height Based on the Scanning Conditions of Terrestrial Laser Scanning and Circular Fitting Algorithm. Forests. 2024; 15(2):313. https://doi.org/10.3390/f15020313
Chicago/Turabian StyleLee, Yongkyu, and Jungsoo Lee. 2024. "Evaluation of Accuracy in Estimating Diameter at Breast Height Based on the Scanning Conditions of Terrestrial Laser Scanning and Circular Fitting Algorithm" Forests 15, no. 2: 313. https://doi.org/10.3390/f15020313
APA StyleLee, Y., & Lee, J. (2024). Evaluation of Accuracy in Estimating Diameter at Breast Height Based on the Scanning Conditions of Terrestrial Laser Scanning and Circular Fitting Algorithm. Forests, 15(2), 313. https://doi.org/10.3390/f15020313
