Next Article in Journal
Morphological, Physiological, and Biochemical Composition of Mulberry (Morus spp.) under Drought Stress
Previous Article in Journal
Diversity of Spontaneous Plants in Eco-Parks and Its Relationship with Environmental Characteristics of Parks
 
 
Font Type:
Arial Georgia Verdana
Font Size:
Aa Aa Aa
Line Spacing:
Column Width:
Background:
Article

Identifying Optimal Forest Management Maximizing Carbon Sequestration in Mountain Forests Impacted by Natural Disturbances: A Case Study in the Alps

Department of Forestry and Renewable Forest Resources, Biotechnical Faculty, University of Ljubljana, Jamnikarjeva 101, 1000 Ljubljana, Slovenia
*
Author to whom correspondence should be addressed.
Forests 2023, 14(5), 947; https://doi.org/10.3390/f14050947
Submission received: 28 February 2023 / Revised: 21 April 2023 / Accepted: 25 April 2023 / Published: 4 May 2023
(This article belongs to the Section Forest Ecology and Management)

Abstract

The role of forests in mitigating climate change by acting as a carbon sink is becoming increasingly important. Forest management practices can either positively or negatively affect the ability of forests to mitigate climate change. The objectives of our study were to: (a) investigate the effects of natural disturbances on long-term carbon sequestration dynamics in forests and (b) identify opportunities to adapt current forest management practices to increase carbon sequestration in forests. The study focused on mixed mountain forests in the Slovenian Alps, dominated by Norway spruce, and used the SLOMATRIX model to simulate forest development. Three forest management scenarios were simulated: (1) no management, (2) business-as-usual and (3) an optimized scenario maximizing carbon sequestration in forests while achieving the required harvest. Our results indicate that both forest management practices and natural disturbances have an impact on carbon sequestration dynamics. Optimizing harvests resulted in changes in the diameter structure and species composition of the harvested trees. Although natural disturbances can hinder the mitigation of climate change impacts, they can also catalyze forest adaptation to climate change and reduce the time required to reach carbon equilibrium.

1. Introduction

As climate change has progressed [1], forests have become increasingly important for carbon sequestration and storage [2], playing a crucial role in mitigating the effects of climate change. Carbon sequestration refers to the process of storing carbon in a carbon pool, while a sink is defined as a reservoir (natural or human, in soil, ocean, and plants) where a greenhouse gas, an aerosol or a precursor of a greenhouse gas is stored [1]. In addition to oceans, forests are the largest ecosystem acting mainly as a carbon sink.
Globally, forests have sequestered 35% of all emissions of greenhouse gases (hereafter referred to as GHGs) since the beginning of the Industrial Revolution [3]. Currently, Slovenian forests, which cover 58% of the country’s area, sequester about 30% of the GHGs produced in Slovenia each year [4]. Forests continuously store carbon in living tree biomass, deadwood, litter and forest soil [5], but as a whole, they can either act as a carbon sink or a carbon source. Forests act as a sink when the accumulation of carbon in woody biomass is greater than the summed losses due to biomass removal, decomposition, respiration [5] and gaseous and hydrologic fluxes of carbon from ecosystems [6]. In this case, a net increase in the forest carbon stock is observed. If a net decrease in the carbon stock is observed, the forest is a carbon source [7].
Two of the main observed impacts of climate change on European forests are: (i) increased forest productivity [8] and (ii) increased economic and ecological damage caused by natural disturbances. In addition, if climate change progresses, future modelling projections mainly agree on further increases in forest productivity [9], altered tree species composition [10], and a higher frequency and severity of natural disturbances [11]. However, forest productivity and disturbance are also strongly linked to forest management and should therefore be monitored, treated and/or projected simultaneously [12].
Active management can improve forest resilience and adaptation to projected climate change [13], but it can also reduce or enhance the mitigation role of forests. Forest management can promote growth, prevent early mortality and slow down decay, increasing the capacity of forest as a carbon sink and building the carbon stock in living and dead biomass, litter and forest soil (e.g., [7,14]). However, some forest management measures may also be in a trade-off relationship with carbon storage and carbon sequestration [15].
In Slovenia, for example, in the period 2014–2020, forests did not act as a carbon sink but instead emitted GHGs [16] due to high harvest rates as a response to natural disturbances. A significant proportion of forest area was affected by several successive disturbances, including large-scale windthrows in 2006–2008 [17], a severe ice storm in 2014 [18,19], several windstorms (2017, 2018) and a gradual increase in spruce bark beetle attacks throughout the period. Foresters were forced to harvest more wood than planned, resulting in net carbon emissions in the Slovenian forest sector [16]. This and several other findings [20,21,22] indicate the significant influence of natural disturbances on reducing carbon sequestration and the carbon stock in forests.
The carbon stock and carbon sequestration are two mutually exclusive forest ecosystem services that cannot be maximized simultaneously [2]. Forests with a high carbon stock have a high growing stock and high densities, resulting in low biomass increment. In contrast, managed (thinned) forests with a lower carbon stock have a more intensive growth and therefore a greater ability to accumulate woody biomass and sequester more carbon at a given time [7]. Increasing growing stock instead of increments can lead to the destabilization of stands and economic losses [2]. Furthermore, a study from Czech forests showed that carbon sequestration was the highest during the first years after disturbance, which is due to the accelerated growth of trees in the understory [23].
Several studies have examined the effects of different management practices on carbon sequestration and storage, for example, by comparing unmanaged and managed forests [5,15], different intensities of forest management [24,25], clear-cutting and selective felling [7,26] and areas with varying tree species diversity [27]. There are various approaches to carbon optimization, each pursuing diverse objectives such as forest carbon stock, carbon stock in wood products, revenues from wood products, the emission substitution effect, soil carbon and economic value [28]. Most studies concur that active forest management is necessary to optimize carbon sequestration over the long term [5,28,29,30,31]. Strategies for increasing carbon sequestration in forests include increasing the proportion of broadleaved species [29], expanding the rotation period [32] and increasing the stability and resilience of forests [11,33]. Most importantly, strategies and actions must be adapted to the specific stand and vegetation characteristics [28]. However, to our knowledge, no studies have focused on identifying the optimal harvest structure for maximizing carbon sequestration.
Following this, the question arose as to whether current forest management could be adjusted to maintain or even increase carbon sequestration in forests while considering the risk of natural disturbances. Our study focused on carbon sequestration in forests, including the carbon in live trees, deadwood and harvest residues, but excluding the carbon stored in wood products, substitution for non-timber products and fossil fuels, litter and forest soil, and the carbon in other flora and fauna. Active management through harvesting promotes the growth of trees remaining in the forests [7,8,14], while wood products from harvested trees prolong the duration of carbon stored in wood for short to long periods [34]. If carbon storage in wood products is considered, managed and unmanaged forest stands provide a similar amount of carbon storage [5]. Harvest rates and changes in forest growth can have far-reaching implications for the role of forests as a carbon sink or source [7], with natural disturbances playing a substantial role. Thus, the objectives of our study were to: (a) identify the possibilities of adapting current forest management practices to increase carbon sequestration in these forests and (b) examine the effects of natural disturbances on the long-term carbon sequestration dynamics in mixed montane forests. Our overarching goal was to maximize carbon sequestration while preserving active forest management through attaining the demanded levels of harvest while disregarding the need to provide all other ecosystem services.

2. Materials and Methods

2.1. Study Area

The study area represents one of the main forest types in Slovenia, namely mixed mountain forests of Norway spruce (Picea abies (L.) Karst.), silver fir (Abies alba L.) and European beech (Fagus sylvatica L.) on carbonate bedrock with strong spruce dominance. The Jelovica study area is located in the Alps in northwestern Slovenia and covers 4788 ha of forests. The area extends from 500 m to 1600 m a.s.l., with the majority of forests situated at altitudes between 900 and 1300 m. The average annual temperature is 9.3 °C, with a mean monthly maximum of 21.6 °C in July and a mean minimum of −4.1 °C in January, and the average annual rainfall is between 1600 and 2200 mm [35]. Due to its location and altitude, the study area experiences an alpine and pre-alpine climate. Strong mountain winds may occasionally blow in some parts of the plateau.
In the study area, there is a mixture of uneven-aged and even-aged forests, with Norway spruce dominating the tree species composition (74% of the total stand volume), but European beech (13%), silver fir (11%) and other broadleaved and coniferous tree species (2%; e.g., sycamore maple Acer pseudoplatanus, rowan Sorbus aucuparia, European larch Larix decidua) are also present. The study area has undergone major changes in forest management over the past two decades. Natural disturbances in the period 2006–2021, especially windthrow and bark beetle attacks, have forced forest managers to harvest more timber than planned. The harvest has been dominated by the sanitary felling of dead or dying trees, predominately spruce. The proportion of beech in forest stands has increased due to the large amount of spruce timber harvested. The frequency of small clear-cuts has increased; previously they were not present at all, as close-to-nature silviculture has been practiced since the 1970s [36].

2.2. Data Provisioning and Analyses

2.2.1. Data Provisioning

In Slovenia, a forest inventory is regularly performed every 10 years for the same forest area, and the data are collected by the Slovenian Forest Service. Our study is based on data from three consecutive forest inventories in 2001, 2011 and 2021 in the study area [37]. The forest inventory was conducted on permanent sample plots (N = 1040) distributed in a 200 × 200 m grid. On each circular plot (0.04 ha), all trees with dbh ≥10 cm were measured (N = 37,820). Consecutive measurements enabled the identification of all ingrown trees, natural mortality and harvested trees on the plot.

2.2.2. Matrix Model

Forest development was simulated using the SLOMATRIX model [38], which is a density-dependent matrix population model. Compared to other models, the SLOMATRIX model was designed to simulate the development of uneven-aged stands by accounting for growth variations between individual trees [38]. In addition, it enables the direct use of forest inventory data [39]. The model had already been parameterized for the period 2002–2011 and validated in the Jelovica study area [38].
The model consists of four main modules, each of which simulates one of the crucial processes in uneven-aged forests, namely (i) the ingrowth of young trees (also called recruitment), (ii) harvest, (iii) natural mortality and (iv) growth, simulated as the transition of trees to higher diameter classes due to their diameter growth. Each module incorporates an empirically derived tree species-specific and stand-density and dbh-dependent nonlinear function that simulates a particular process concurrently with other processes. All modules are species-specific, and trees of each species are divided into three growth classes according to their diameter increment in the last forest inventory period [39]. Growth classes are represented by trees that exhibited diameter growth of (i) 0–2 cm 10 y−1, (ii) 2–4 cm 10 y−1 and (iii) ≥4 cm 10 y−1 during the last forest inventory period. Forest development was simulated for five species or groups of species, namely silver fir, European beech, Norway spruce, other conifers and other broadleaves. The simulation run was 100 years long with time steps of 10 years.
Data from forest inventories were used to parametrize the SLOMATRIX model and to initialize the simulations. The collected data were inspected, edited and prepared for further analysis and modeling. Consecutive tree measurements at intervals of 10 years enabled the parametrization of mortality and harvesting functions. We used binary logistic regression to parametrize species-specific factors in equations for simulating harvest and mortality. Other parameters were taken from [38].

2.2.3. Scenarios

Three basic forest management scenarios were simulated, namely (1) no management (NOM), (2) the business-as-usual scenario (BAU) and (3) the optimized scenario (COPT) for maximizing carbon sequestration in the next century. The NOM scenario imitated natural forest development as if there was no active management; therefore, the harvest was set to 0. The BAU forest management scenario imitated forest development under forest management as conducted in the penultimate management period 2002–2011. The probability functions for harvest, growth, ingrowth and natural mortality were calculated using the data from the period 2002–2011; they were developed, and the model performance had been validated on an independent dataset beforehand by Ficko et al. [38]. These functions were used in the model scenarios BAU, NOM and COPT. The COPT scenario represented the optimized scenario, the methodology of which is described in detail in Section 2.2.4. The input data on stand structure were derived from the latest forest inventory data and were used in all scenarios.
To model the effect of disturbances, we also developed a variation of the BAU and COPT scenarios, called DIST and COPT_DIST, respectively. The main difference between the two scenario variants was in the data used to parametrize the harvest and natural mortality equations. The parameters used in the NOM, BAU and COPT scenarios were previously parametrized by [39], using the data from the forest inventory period 2002–2011 (i.e., the period before extensive natural disturbances). Consequently, the simulated BAU scenario represented forest management in the penultimate management period 2002–2011. To develop the DIST and COPT_DIST scenarios, we reparametrized the model using the most recent data from the period 2012–2021. This enabled us to simulate forest development including severe disturbances that have impacted management over the latest 10-year period. During this period, forests in the study area experienced several snow-breaks (2008, 2020–2021), an ice-storm (2014) and two severe windstorms (2016, 2017), all followed by extensive spruce bark beetle outbreaks (Ips typographus L.), which caused a great deal of damage between the two inventories. A large proportion of dead trees were removed from forests and recorded as ‘harvested’ instead of ‘naturally dead’ trees (i.e., natural mortality). Based on the assessment of local forestry experts, we assumed that one-third of all trees marked as harvested died naturally. Therefore, in the 2021 inventory database, we recoded one-third of the trees marked as ‘harvested’ (randomly selected from the database) to trees marked as ‘natural mortality’. The recoded data were used to parameterize the harvest and mortality equations for the DIST and COPT_DIST scenarios; in the latter, only the equation for natural mortality was used.

2.2.4. Optimizing Carbon Sequestration

One of the study objectives was to identify forest management scenarios that would maximize carbon sequestration while maintaining the required harvest levels (COPT, COPT_DIST scenarios). To achieve this goal, linear programming (also called linear optimization [40]) was used to maximize the target variable (i.e., carbon sequestration) by changing the values of the adjustable variable (i.e., harvest), while at the same time, considering constraints of minimum and maximum amounts of harvested woody biomass per decade.
The optimization objective was to maximize the amount of carbon sequestered at the end of the 100-year simulation period by maximizing the summarized 10-year values of carbon sequestration. The adjustable variables were the species composition and diameter structure of harvested trees in each simulation period. To ensure forest management that meets the demand for timber and energy wood through active harvesting, we defined the constraints as the lower and upper limits of the simulated harvest. The planned harvest for the past management period [37] defined the minimal harvest constraint (17.1% of the growing stock). The maximum harvest limit was defined by the planned harvest for the next management period (22% of the growing stock). Optimization of the adjustable variable was carried out simultaneously with the growth simulation process. To perform the optimization, we used the What’sBest Excel add-in [41].
However, it should be noted that within the COPT and COPT_DIST scenarios, all other forest ecosystem services except carbon sequestration and timber production were ignored, which is in contrast to the forestry in the area that practices integrative multifunctional forest management [42].

2.3. Calculation of Carbon Sequestration

In the study, we focused on carbon sequestration in forests only, so it was calculated considering only the change in tree biomass and woody biomass of trees that have died naturally since they remained in forests (Equation (1)). We did not include harvested timber in the calculation because most of it is removed from the forest and does not represent direct sequestration. Nevertheless, it is important to note that in the long term, harvested wood can positively affect the carbon stock on a broader level (i.e., state or EU level) [43,44]. Equation (1) was used to calculate carbon sequestration in forests (adapted after [34]):
ΔC = Clive trees, t+n − Clive trees, t + Σ Cremaining deadwood, a
where ΔC is the change in carbon pool between time t and t + n (t C ha−1), Clive trees is the carbon in the above- and below-ground living tree biomass (t C ha−1) and is calculated according to Equation (S2) (Supplementary Material Section S1) and Table S1 (Supplementary Material Section S2) [43], Cremaining deadwood is carbon in the deadwood from natural mortality, stumps and harvest residues (t C ha−1) calculated according to Equation (S3) and Table S1, t is the start time of the simulation (years), n is the duration of the simulation (years) and a is the simulation interval (years).

2.4. Statistical Analyses

Differences in diameter structure and tree species composition of harvested trees between simulated forest management scenarios and in diameter distributions between growth classes were tested by the Kolmogorov–Smirnov test with a statistical significance flagged at p < 0.05.

3. Results

Our results show that both forest management practices and natural disturbances have an impact on the dynamics of carbon sequestration in mixed Alpine forests. All six simulations resulted in a steady increase in carbon stock for at least the next fifty years (Figure 1a). However, the results showed differences in the quantity of carbon sequestered and its dynamics. The NOM scenario simulated the highest values of sequestered carbon, as the entire volume increment was accumulated, all biomass remained in the forest, and the only carbon emissions came from the natural decomposition of the biomass. NOM carbon sequestration was simulated to reach 6.62 t C ha−1 y−1 over the 50-year simulation period.
In comparison, the BAU and COPT scenarios resulted in 55% less carbon sequestered after the same simulation period, with no significant differences between the BAU (2.99 t C ha−1 y−1) and COPT (2.96 t C ha−1 y−1) scenarios. The differences between the two scenarios were mainly in the first time step of the simulation, where carbon sequestration was 1.13 and 0.47 t C ha−1 y−1 under BAU and COPT, respectively.
Both the DIST and COPT_DIST scenarios simulated lower carbon sequestration than the BAU, COPT and NOM scenarios; however, differences were almost equidistant throughout the first 50 years of simulations. After the first 10-year period, the COPT_DIST scenario exhibited carbon emissions, while the DIST scenario simulated minimal sequestration (−0.64 vs. 0.07 t C ha−1 y−1, respectively). However, in the second 10-year period of the simulation, carbon sequestration in both scenarios was already equal and positive. Thereafter, carbon sequestration under COPT_DIST was slightly higher than that under DIST.
The simulations showed a decrease in basal area under all scenarios, except under NOM (Figure 1b). Over the 50-year simulation period, the lowest decrease was observed in BAU (−15%), while it was reduced by 24%, 26% and 27% in COPT, DIST and COPT_DIST, respectively. In the optimized scenarios, the basal area was reduced due to increased harvesting, while in the DIST scenario, the simulated reduction was due to increased natural mortality caused by natural disturbances.
Overall, the highest mortality was simulated under NOM, followed by DIST, COPT_DIST, COPT and BAU (Figure 1c). The differences were most pronounced in the first decade of the simulation, when mortality was extremely high in the DIST and COPT_DIST scenarios.
Considering the annual amount of harvested timber, two groups of scenarios can be identified: (i) BAU and DIST and (ii) COPT and COPT_DIST (Figure 1d). In the first 50 years of the simulation, the optimized COPT scenario simulated an 18%–21% higher annual harvested timber volume than BAU, and COPT_DIST simulated a 27%–36% higher annual harvested timber volume than DIST. The largest differences were observed in the beginning of the simulation, with a decreasing trend afterward.
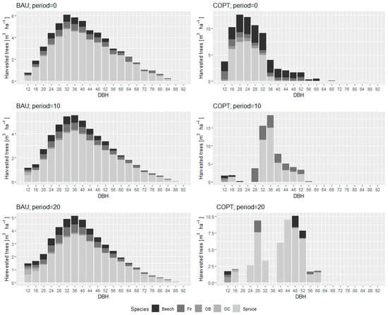
Optimized harvesting (COPT and COPT_DIST) resulted in a modified diameter structure and species composition of harvested trees compared to current harvesting (BAU and DIST). The BAU and DIST scenarios were characterized by right-skewed diameter distributions of harvested volume (Figure 2 and Figure 3), with peaks at 32–36 cm dbh in the first three 10-year simulation periods. The harvest under COPT significantly differed from that under BAU (KS test, p < 0.05; Table 1), while we did not discover significant differences in harvest under COPT and COPT_DIST scenarios. It was unequally distributed among the diameter classes and unique to each scenario and each 10-year simulation period. However, during the entire simulation period, the COPT and COPT_DIST harvest volume was concentrated in individual diameter classes rather than being normally distributed along the entire diameter distribution. In the first decade, however, the majority of harvested trees had a dbh of less than 30 cm, while the harvesting of trees thicker than 62 cm in dbh was almost absent in COPT and much greater in COPT_DIST.
The results also showed significant differences in diameter distributions of harvested trees between growth classes (KS test, all p < 0.05). In the first decade, the simulated harvest under COPT and COPT_DIST was dominated by slow-growing trees (84% and 87% of all harvested trees, respectively), whereas the distributions of harvested trees per growth class were much more homogeneous under BAU and DIST. This highlights the fact that slow-growing trees contribute less to carbon sequestration and that it is reasonable to harvest them first to allow the ingrowth of (faster growing) trees.
In the BAU and DIST scenarios, the species composition of harvested timber followed the composition of the stand volume (Figure 4). Furthermore, the diameter distribution of the harvested trees of individual species did not differ significantly between BAU and DIST (KS test; for spruce, beech and fir p > 0.05); in both scenarios, a significant dominance of spruce can be observed, followed by fir and beech in much smaller proportions. In contrast, COPT and COPT_DIST simulated the proportion of beech in the harvested volume to be around 30% in the first decade, while its share in the stand volume was only 11%. The proportion of beech in harvested timber decreased in the following 10-year periods, mainly at the expense of spruce, but also of fir. The latter was also simulated to be harvested at a much higher percentage in COPT and COPT_DIST than in BAU and DIST. This indicates that beech and fir are slower growing trees with lower volume increments than spruce.

4. Discussion

Our results indicate that the forest management regime significantly influences carbon sequestration and the overall carbon balance in the forest ecosystem, which is consistent with other studies [7,45,46]. Excluding the carbon stored in harvested wood products and the substitution effects of wood use, the no-management scenario (NOM) was found to be the optimal scenario for achieving maximum carbon sequestration over a 100-year period. However, it should be noted that this scenario is not feasible in the study area since active forest management is anticipated due to the high demand for timber and other woody products in the studied forests [37].
By maximizing carbon sequestration in forest biomass while limiting the minimum amount of timber harvested, we did not find much difference between the BAU and COPT scenarios in terms of long-term carbon sequestration (21.18 t C ha−1 100 y−1 and 25.37 t C ha−1 100 y−1, respectively). This seems odd at first glance, as a (much) higher carbon sequestration was expected under the optimized COPT scenario. However, this can be easily explained by the much higher amount of timber harvested in the COPT scenario. The BAU scenario was parametrized with data from the period 2002–2011, and thus this scenario simulated the total amount of wood harvested in that period. Considering the projected increase in forest productivity (e.g., [9]) and especially the higher demand for wood in the last decade and a half [24], the COPT scenario assumed that the target total amount of timber harvested would be 5% higher than planned in the period 2002–2011 [37,47], i.e., a total of 109,454 m3 per 10 years (2.2 m3 ha−1 y−1). Nevertheless, COPT is a plausible scenario that shows that a lower management adjustment can allow more timber to be harvested while simultaneously maintaining a positive carbon balance in the long term. In the COPT scenario, the model simulated a lower basal area, suggesting that younger and middle-aged forests with higher growth potential may better ensure and increase carbon sequestration [7]. In low-density forests, stand volume increment and stand volume accumulation, which are the main drivers of carbon sequestration in forests, are typically the highest [8].
Harvesting is the crucial factor influencing the amount and dynamics of carbon sequestration in managed forests [7,22]. A trade-off relationship between timber harvesting and carbon sequestration [28] was observed in our study, as the NOM scenario exhibited the highest carbon sequestration. Therefore, when optimizing carbon sequestration, the optimization tool always searched for the lowest possible harvesting amount, which in our case was the constraint on the minimal harvested timber required. If the limit were to be lowered, the amount of harvested timber would also decrease. However, it is crucial to satisfy the demands of forest owners for sufficient timber production in their forests. The simulation results might differ if carbon stored in wood products were included in the calculation as an additional long-term carbon storage [36,37]. In that case, harvested timber would not represent carbon emissions, resulting in a considerably higher carbon sequestration and possibly a different scenario of harvested timber. However, our focus was carbon sequestration in forests, and thus we did not include carbon stored in wood products in our calculations.
The main difference between the BAU and COPT scenarios was in the diameter structure of harvested trees. In COPT, the diameter distribution of harvested trees was mainly irregular, with the majority of simulated harvested trees being medium-sized (20–40 cm in dbh), no larger than 60 cm in dbh. In contrast, the BAU harvest exhibited a close-to-normal distribution, but with a substantial proportion of large trees. However, the main difference was that the COPT scenario simulated harvesting primarily within slow-growing trees in the first two decades to make room for young, faster-growing trees that would sequester more carbon. If foresters want to increase carbon sequestration in forests, they need to be able to identify slow-growing trees that should be harvested first. Therefore, a simple “tool” to differentiate slow-, medium- and fast-growing standing live trees based on easily recognizable tree parameters would be extremely useful in forestry practice.
In addition to the amount and diameter structure, the tree species composition of harvested timber is also an important feature in carbon sequestration dynamics [27]. According to our results, beech seems to be the slowest-growing tree species in the area, so the COPT and COPT_DIST scenarios simulated its high proportion in harvested timber. Furthermore, this proportion was higher than its proportion in the growing stock, indicating its gradual removal from forests. A similar but less pronounced effect was simulated for silver fir. However, we know that both species have many positive influences in mixed mountain forests, but even more so when these forests are secondary spruce-dominated forests. Beech improves forest soil properties (e.g., [48,49]), both increase forest flora and fauna diversity (e.g., [50]), and growth in mixed stands is usually higher than that in pure stands (e.g., [51,52]). Therefore, these aspects also have to be strongly considered when applying the modelling results to forest management practice.
When examining the effects of natural disturbances on carbon sequestration in the studied forests, our results were only partially consistent with other studies. Our simulations showed a strong effect of disturbances on carbon sequestration dynamics, which is consistent with most studies (e.g., [12,20,21]), but contrary to some studies, including some that compared disturbance severity and management effects on forest carbon sequestration potential, which indicated the dominance of forest management over the effect of natural disturbances [22,45]. There are several possible explanations for this inconsistency. First, the impact of disturbances depends on the time window examined after their occurrence. Lindroth et al. [20] and Knohl et al. [53] found negative effects on carbon sequestration immediately after windthrow, while others [21,22,45] reported that windthrow did not have a strictly negative impact on carbon sequestration over a longer period of time. Our results indicate both a noticeable negative effect in the first 10-year period and a much smaller negative effect in the long term. The influence of natural disturbance events depends on many additional factors related to the disturbance itself, such as the size, severity and type of disturbance [22], and to the condition of the forest before the disturbance, including its age, diameter structure, tree species composition [54], quality and number of trees in the understory [23], which determine how quickly the forest will recover and reestablish a positive carbon balance.
Second, the optimized scenarios had a relatively narrow window for finding the optimal solution, i.e., the number and structure of trees harvested, because we set the minimum required harvest level relatively high. This ensured that we simulated a scenario that adequately met timber needs, but left less room for management optimization. Based on other simulations, we can assume that optimization would result in harvesting at or near zero if the amount of harvesting was not limited.
The next reason could be the fact that Slovenia has a long history of near-natural, multifunctional and sustainable forest management aimed at maintaining vital, productive forests that already ensure high carbon sequestration. Slovenia is currently already at the upper limit of forest potential with respect to the carbon stock [2,55], and therefore it is more important to keep forests vital and resilient to all possible threats that could jeopardize this capacity than to further increase the carbon stock through carbon sequestration.
The last, but in our opinion crucial, reason is whether or not defective and dead trees were harvested due to damage caused by natural disturbances. This was also highlighted in Lindroth et al. [20] and Pilli et al. [26]. In the DIST and COPT_DIST scenarios, it was assumed that one-third of the harvested trees were already dead when harvested, so we redefined these trees as naturally dead when developing the model functions. However, in Slovenia, forest owners are obliged to remove spruce trees that have been attacked by bark beetles or damaged by windthrow or snow break from forests within a certain (short) period of time after the damage has been detected. If it is assumed that all trees that have been killed or severely damaged by natural disturbances are removed from the forest (13% of this woody biomass was still left in the forest as harvest residues [44]), the results suggest an even stronger negative impact of natural disturbances on forest carbon sequestration (Figure 5). In large-scale natural disturbance events, where a large proportion of damaged and dead trees are of good quality, it is not uncommon for most or even all of the downed wood to be removed from the forest [56]. In our case, the model indicated that it would take 30–40 years after the disturbance event for the forest to recover sufficiently to be a carbon sink. If the woody biomass of damaged and dead trees, especially of large trees, were to remain in the forest, the carbon would be stored there for some decades and would substantially increase the carbon storage in the forest and forest soils [2]. However, due to the high priority of economic goals of forest owners, timber extraction of naturally dead trees is common in Slovenia as well as in Europe (e.g., [57]).
However, natural disturbances can also have positive impacts on forests experiencing the influences of climate change. Disturbances may catalyze the adaptation of forests to climate change [58], and forests adapted to climate change may ensure larger carbon sequestration [12]. They may also have a positive effect on forest biodiversity [23], especially if low- to medium-severity disturbances occur [21], and on other forest ecosystem services and components of and processes in forest ecosystems.
Our study has some limitations that should be considered when generalizing the results. In the study, we only focused on two ecosystem services, namely timber production and carbon sequestration, while all other services were ignored. It is crucial, however, to consider all ecosystem services simultaneously [59], but we intentionally focused on only these two studied services. We are aware that for the integrative sustainable forest management [42], it is of utmost importance to provide all forest ecosystem services simultaneously and continuously. This may be the next challenge as such decision support systems are already available [44], but have not yet been developed for the Slovenian forestry sector. The next important limitation was that only the carbon sequestration in forests was considered and not the carbon sequestered in wood products. It is crucial to consider that in the long term, wood products from harvested timber can positively affect carbon balance on a broader level (i.e., state, Europe) [43,44]. The carbon stored in such products represents short- to long-term carbon storage [34] and is only gradually emitted to the atmosphere. In addition, the substitution of non-timber products and fossil fuels are also important issues of carbon balance and dynamics [60], but were also not considered in our study. Finally, we used the SLOMATRIX model [31,32] to simulate forest development under different forest management scenarios. There are many models that could have been used for this study, but many of them are not parametrized for our study area. Several studies (e.g., [61]) have shown that models can simulate diverse forest development for the same study area using the same input data. Therefore, using several models for such studies can be advantageous.

5. Conclusions

Our results suggest that it is possible to optimize current forest management to maintain or even increase the level of carbon sequestration in forests and that natural disturbances have both positive and negative effects on the role of forests in regard to climate change. While disturbances can hinder mitigation efforts through decreased carbon sequestration, they can also catalyze adaptation and reduce the time needed to reach equilibrium. In our study area, the frequent natural disturbances resulting from the altered tree species composition to almost pure spruce forests have led to economic losses. However, these disturbances may accelerate the change to a more climate change-adapted (mixed) tree species composition, which is important for our study area, the entire area of the Alps, and a large part of Central and Eastern Europe where secondary spruce forests cover a significant proportion of the forest area. Further research is needed to better understand the trade-offs and synergies between different forest management objectives and ecosystem services.

Supplementary Materials

The following supporting information can be downloaded at: https://www.mdpi.com/article/10.3390/f14050947/s1, Section S1: Calculation of carbon sequestration; Section S2: Table S1. Parameters used for calculation of the aboveground biomass of live trees (IPCC, 2003). References [34,43,44,62] are cited in the supplementary materials.

Author Contributions

Conceptualization, H.Š and M.K.; methodology and analyses, H.Š.; writing—original draft preparation, H.Š.; visualization, H.Š.; writing—review and editing, H.Š., M.K. and S.P. All authors have read and agreed to the published version of the manuscript.

Funding

This research was carried out in the framework of the project Forests for Future—optimizing forest carbon sinks through adapted forest management in Slovenia (project number 20_072), which is part of the European Climate Initiative (EUKI). The EUKI is a project financing instrument by the German Federal Ministry for Economic Affairs and Climate Action (BMWK). It is the overarching goal of the EUKI to foster climate cooperation within the European Union in order to mitigate greenhouse gas emissions. It does so through strengthening cross-border dialogue and cooperation as well as exchange of knowledge and experience. The EUKI call for project ideas is implemented by the Deutsche Gesellschaft für Internationale Zusammenarbeit (GIZ) GmbH. The opinions expressed in this document are the sole responsibility of the authors and do not necessarily reflect the views of the Federal Ministry for Economic Affairs and Climate Protection (BMWK). M.K. was also partly funded by the research core funding P4-0059 “Forest, forestry and renewable forest resources” provided by the Slovenian Research Agency (ARRS).

Institutional Review Board Statement

Not applicable.

Informed Consent Statement

Not applicable.

Data Availability Statement

Not applicable.

Acknowledgments

The authors would like to thank the project funder, the German Federal Ministry for the Environment, Nature Conservation and Nuclear Safety (BMU) and the Deutsche Gesellschaft für Internationale Zusammenarbeit (GIZ) GmbH which implemented the EUKI competition for project ideas. In addition, the authors would like to thank the Slovenia Forest Service for leading the project and providing forest inventory data. Finally, we would like to acknowledge the support from the Slovenian Research Agency (ARRS).

Conflicts of Interest

The authors declare no conflict of interest. The funders had no role in the design of the study; in the collection, analyses, or interpretation of data; in the writing of the manuscript; or in the decision to publish the results. The opinions put forward in this article are the sole responsibility of the authors and do not necessarily reflect the views of the Federal Ministry for the Environment, Nature Conservation and Nuclear Safety (BMU).

References

  1. Ipcc Global Warming of 1.5 °C: IPCC Special Report on Impacts of Global Warming of 1.5 °C above Pre-Industrial Levels in Context of Strengthening Response to Climate Change, Sustainable Development, and Efforts to Eradicate Poverty, 1st ed.; Cambridge University Press: Cambridge, UK, 2022; ISBN 978-1-00-915794-0.
  2. Kindermann, G.E.; Schörghuber, S.; Linkosalo, T.; Sanchez, A.; Rammer, W.; Seidl, R.; Lexer, M.J. Potential Stocks and Increments of Woody Biomass in the European Union under Different Management and Climate Scenarios. Carbon Balance Manag. 2013, 8, 2. [Google Scholar] [CrossRef] [PubMed]
  3. D’Andrea, E.; Micali, M.; Sicuriello, F.; Cammarano, M.; Sermanni, A.G.; Ferlan, M.; Skudnik, M.; Mali, B.; Čater, M.; Simončič, P.; et al. Did ManFor C.BD Forest Treatments Influence Carbon Stock and Sequestration? Ital. J. Agron. 2016, 11, 118–166. [Google Scholar]
  4. Marenče, M. Environmental Report for 14 Regional Forest Management Plans for the Period 2021–2030; Slovenia Forest Service: Ljubljana, Slovenia, 2022. [Google Scholar]
  5. Klein, D.; Höllerl, S.; Blaschke, M.; Schulz, C. The Contribution of Managed and Unmanaged Forests to Climate Change Mitigation—A Model Approach at Stand Level for the Main Tree Species in Bavaria. Forests 2013, 4, 43–69. [Google Scholar] [CrossRef]
  6. Ciais, P.; Borges, A.V.; Abril, G.; Meybeck, M.; Folberth, G.; Hauglustaine, D.; Janssens, I.A. The Impact of Lateral Carbon FLuxes on the European Carbon Balance. Biogeosciences 2008, 5, 1259–1271. [Google Scholar] [CrossRef]
  7. Kauppi, P.E.; Stål, G.; Arnesson-Ceder, L.; Hallberg Sramek, I.; Hoen, H.F.; Svensson, A.; Wernick, I.K.; Högberg, P.; Lundmark, T.; Nordin, A. Managing Existing Forests Can Mitigate Climate Change. For. Ecol. Manag. 2022, 513, 120186. [Google Scholar] [CrossRef]
  8. Pretzsch, H. Forest Dynamics, Growth and Yield; From Measurement to Model; Springer: Berlin/Heidelberg, Germany, 2010; p. 664. ISBN 978-3-540-88306-7. [Google Scholar]
  9. Reyer, C.; Lasch-Born, P.; Suckow, F.; Gutsch, M.; Murawski, A.; Pilz, T. Projections of Regional Changes in Forest Net Primary Productivity for Different Tree Species in Europe Driven by Climate Change and Carbon Dioxide. Ann. For. Sci. 2014, 71, 211–225. [Google Scholar] [CrossRef]
  10. Hanewinkel, M.; Cullmann, D.A.; Schelhaas, M.-J.; Nabuurs, G.-J.; Zimmermann, N.E. Climate Change May Cause Severe Loss in the Economic Value of European Forest Land. Nat. Clim. Chang. 2013, 3, 203–207. [Google Scholar] [CrossRef]
  11. Seidl, R.; Schelhaas, M.-J.; Rammer, W.; Verkerk, P.J. Increasing Forest Disturbances in Europe and Their Impact on Carbon Storage. Nat. Clim. Chang. 2014, 4, 806–810. [Google Scholar] [CrossRef]
  12. Reyer, C.P.O.; Bathgate, S.; Blennow, K.; Borges, J.G.; Bugmann, H.; Delzon, S.; Faias, S.P.; Garcia-Gonzalo, J.; Gardiner, B.; Gonzalez-Olabarria, J.R.; et al. Are Forest Disturbances Amplifying or Canceling out Climate Change-Induced Productivity Changes in European Forests? Environ. Res. Lett. 2017, 12, 034027. [Google Scholar] [CrossRef]
  13. Keenan, R.J.; Reams, G.A.; Achard, F.; de Freitas, J.V.; Grainger, A.; Lindquist, E. Dynamics of Global Forest Area: Results from the FAO Global Forest Resources Assessment 2015. For. Ecol. Manag. 2015, 352, 9–20. [Google Scholar] [CrossRef]
  14. Yousefpour, R.; Nabel, J.E.M.S.; Pongratz, J. Simulating Growth-Based Harvest Adaptive to Future Climate Change. Biogeosciences 2019, 16, 241–254. [Google Scholar] [CrossRef]
  15. Hoel, M.; Sletten, T.M. Climate and Forests: The Tradeoff between Forests as a Source for Producing Bioenergy and as a Carbon Sink. Resour. Energy Econ. 2016, 43, 112–129. [Google Scholar] [CrossRef]
  16. Skudnik, M.; Grah, A.; Guček, M.; Hladnik, D.; Jevšenak, J.; Kovač, M.; Kušar, G.; Mali, B.; Pintar, A.M.; Pisek, R.; et al. Stanje in Spremembe Slovenskih Gozdov Med Letoma 2000 in 2018; Gozdarski Inštitut Slovenije, Silva Slovenica: Ljubljana, Slovenia, 2021; ISBN 978-961-6993-71-5. [Google Scholar]
  17. Klopčič, M.; Poljanec, A.; Gartner, A.; Bončina, A. Factors Related to Natural Disturbances in Mountain Norway Spruce (Picea Abies) Forests in the Julian Alps. Écoscience 2009, 16, 48–57. [Google Scholar] [CrossRef]
  18. Nagel, T.A.; Mikac, S.; Dolinar, M.; Klopcic, M.; Keren, S.; Svoboda, M.; Diaci, J.; Boncina, A.; Paulic, V. The Natural Disturbance Regime in Forests of the Dinaric Mountains: A Synthesis of Evidence. For. Ecol. Manag. 2017, 388, 29–42. [Google Scholar] [CrossRef]
  19. Klopčič, M.; Poljanec, A.; Dolinar, M.; Kastelec, D.; Bončina, A. Ice-Storm Damage to Trees in Mixed Central European Forests: Damage Patterns, Predictors and Susceptibility of Tree Species. For. Int. J. For. Res. 2020, 93, 430–443. [Google Scholar] [CrossRef]
  20. Lindroth, A.; Lagergren, F.; Grelle, A.; Klemedtsson, L.; Langvall, O.; Weslien, P.; Tuulik, J. Storms Can Cause Europe-Wide Reduction in Forest Carbon Sink. Glob. Chang. Biol. 2009, 15, 346–355. [Google Scholar] [CrossRef]
  21. Thom, D.; Seidl, R. Natural Disturbance Impacts on Ecosystem Services and Biodiversity in Temperate and Boreal Forests. Biol. Rev. 2016, 91, 760–781. [Google Scholar] [CrossRef]
  22. Williams, C.A.; Gu, H.; MacLean, R.; Masek, J.G.; Collatz, G.J. Disturbance and the Carbon Balance of US Forests: A Quantitative Review of Impacts from Harvests, Fires, Insects, and Droughts. Glob. Planet. Chang. 2016, 143, 66–80. [Google Scholar] [CrossRef]
  23. Mikoláš, M.; Svitok, M.; Bače, R.; Meigs, G.W.; Keeton, W.S.; Keith, H.; Buechling, A.; Trotsiuk, V.; Kozák, D.; Bollmann, K.; et al. Natural Disturbance Impacts on Trade-Offs and Co-Benefits of Forest Biodiversity and Carbon. Proc. R. Soc. B 2021, 288, 20211631. [Google Scholar] [CrossRef]
  24. Jevšenak, J.; Klopčič, M.; Mali, B. The Effect of Harvesting on National Forest Carbon Sinks up to 2050 Simulated by the CBM-CFS3 Model: A Case Study from Slovenia. Forests 2020, 11, 1090. [Google Scholar] [CrossRef]
  25. Fürstenau, C. The Impact of Silvicultural Strategies and Climate Change on Carbon Sequestration and Other Forest Ecosystem Functions; Institutional Repository of the Potsdam University: Potsdam, Germany, 2008. [Google Scholar]
  26. Pilli, R.; Grassi, G.; Kurz, W.A.; Moris, J.V.; Viñas, R.A. Modelling Forest Carbon Stock Changes as Affected by Harvest and Natural Disturbances. II. EU-Level Analysis. Carbon Balance Manag. 2016, 11, 20. [Google Scholar] [CrossRef] [PubMed]
  27. Silva Pedro, M.; Rammer, W.; Seidl, R. Tree Species Diversity Mitigates Disturbance Impacts on the Forest Carbon Cycle. Oecologia 2015, 177, 619–630. [Google Scholar] [CrossRef] [PubMed]
  28. Carle, M.-A.; D’Amours, S.; Azouzi, R.; Rönnqvist, M. A Strategic Forest Management Model for Optimizing Timber Yield and Carbon Sequestration. For. Sci. 2021, 67, 205–218. [Google Scholar] [CrossRef]
  29. Hennigar, C.R.; MacLean, D.A.; Amos-Binks, L.J. A Novel Approach to Optimize Management Strategies for Carbon Stored in Both Forests and Wood Products. For. Ecol. Manag. 2008, 256, 786–797. [Google Scholar] [CrossRef]
  30. Dalmonech, D.; Marano, G.; Amthor, J.S.; Cescatti, A.; Lindner, M.; Trotta, C.; Collalti, A. Feasibility of Enhancing Carbon Sequestration and Stock Capacity in Temperate and Boreal European Forests via Changes to Management Regimes. Agric. For. Meteorol. 2022, 327, 109203. [Google Scholar] [CrossRef]
  31. Kucuker, D.M. Analyzing the Effects of Various Forest Management Strategies and Carbon Prices on Carbon Dynamics in Western Turkey. J. Environ. Manag. 2019, 249, 109356. [Google Scholar] [CrossRef] [PubMed]
  32. Perez-Garcia, J.; Lippke, B.; Comnick, J.; Manriquez, C. An assessment of carbon pools, storage, and wood products market substitution using life-cycle analysis results. Wood Fiber Sci. 2005, 37, 140–148. [Google Scholar]
  33. Brnkalakova, S.; Melnykovych, M.; Nijnik, M.; Barlagne, C.; Pavelka, M.; Udovc, A.; Marek, M.; Kovac, U.; Kluvánková, T. Collective Forestry Regimes to Enhance Transition to Climate Smart Forestry. Environ. Policy Gov. 2022, 32, 492–503. [Google Scholar] [CrossRef]
  34. Blattert, C.; Lemm, R.; Thees, O.; Hansen, J.; Lexer, M.J.; Hanewinkel, M. Segregated versus Integrated Biodiversity Conservation: Value-Based Ecosystem Service Assessment under Varying Forest Management Strategies in a Swiss Case Study. Ecol. Indic. 2018, 95, 751–764. [Google Scholar] [CrossRef]
  35. SEA, The Archive of Climate Observations. Available online: https://Meteo.Arso.Gov.Si/Met/En/Weather/ (accessed on 20 January 2023).
  36. Klopčič, M.; Bončina, A. Stand Dynamics of Silver Fir (Abies Alba Mill.)-European Beech (Fagus Sylvatica L.) Forests during the Past Century: A Decline of Silver Fir? Forestry 2011, 84, 259–271. [Google Scholar] [CrossRef]
  37. Jelovica, F.M.P. Forest Management Plan for Forest Management Unit Jelovica 2012–2021; Slovenia Forest Service: Bled, Slovenia, 2012. [Google Scholar]
  38. Ficko, A.; Roessiger, J.; Bončina, A. Can the Use of Continuous Cover Forestry Alone Maintain Silver Fir (Abies Alba Mill.) in Central European Mountain Forests? Forestry 2016, 89, 412–421. [Google Scholar] [CrossRef]
  39. Roessiger, J.; Ficko, A.; Clasen, C.; Griess, V.C.; Knoke, T. Variability in Growth of Trees in Uneven-Aged Stands Displays the Need for Optimizing Diversified Harvest Diameters. Eur. J. Forest. Res. 2016, 135, 283–295. [Google Scholar] [CrossRef]
  40. García, O. Linear Programming and Related Approaches in Forest Planning. N. Z. J. For. Sci. 1990, 20, 307–331. [Google Scholar]
  41. Lindo Systems Inc. 2012 “What’s Best” Version 12.0.1.5. Excel Add-in for Linear, Non-Linear, and Integer Modeling. Available online: http://Www.Lindo.Com/Index.Php?Option=com_content&view=article&id=3&Itemid=11 (accessed on 13 March 2022).
  42. Tina Simončič; Andrej Bončina Are Forest Functions a Useful Tool for Multi-Objective Forest Management Planning? Expiriences from Slovenia. Croat. J. For. Eng. 2015, 36, 239–305.
  43. IPCC. Good Practice Guidance for Land Use, Land-Use Change and Forestry/The Intergovernmental Panel on Climate Change; Penman, J., Gytarsky, M., Hiraishi, T., Krug, T., Kruger, D., Pipatti, R., Buendia, L., Miwa, K., Ngara, T., Tanabe, K., et al., Eds.; Hayama: Kanagawa, Japan, 2003; ISBN 4-88788-003-0. [Google Scholar]
  44. Thrippleton, T.; Blattert, C.; Bont, L.G.; Mey, R.; Zell, J.; Thürig, E.; Schweier, J. A Multi-Criteria Decision Support System for Strategic Planning at the Swiss Forest Enterprise Level: Coping With Climate Change and Shifting Demands in Ecosystem Service Provisioning. Front. For. Glob. Chang. 2021, 4, 693020. [Google Scholar] [CrossRef]
  45. Akujärvi, A.; Shvidenko, A.; Pietsch, S.A. Modelling the Impacts of Intensifying Forest Management on Carbon Budget across a Long Latitudinal Gradient in Europe. Environ. Res. Lett. 2019, 14, 034012. [Google Scholar] [CrossRef]
  46. Härkönen, S.; Neumann, M.; Mues, V.; Berninger, F.; Bronisz, K.; Cardellini, G.; Chirici, G.; Hasenauer, H.; Koehl, M.; Lang, M.; et al. A Climate-Sensitive Forest Model for Assessing Impacts of Forest Management in Europe. Environ. Model. Softw. 2019, 115, 128–143. [Google Scholar] [CrossRef]
  47. Jelovica, F.M.P. Forest Management Plan for Forest Management Unit Jelovica 2002–2011; Slovenia Forest Service: Bled, Slovenia, 2002. [Google Scholar]
  48. Achilles, F.; Tischer, A.; Bernhardt-Römermann, M.; Heinze, M.; Reinhardt, F.; Makeschin, F.; Michalzik, B. European Beech Leads to More Bioactive Humus Forms but Stronger Mineral Soil Acidification as Norway Spruce and Scots Pine—Results of a Repeated Site Assessment after 63 and 82 Years of Forest Conversion in Central Germany. For. Ecol. Manag. 2021, 483, 118769. [Google Scholar] [CrossRef]
  49. Rehschuh, S.; Jonard, M.; Wiesmeier, M.; Rennenberg, H.; Dannenmann, M. Impact of European Beech Forest Diversification on Soil Organic Carbon and Total Nitrogen Stocks–A Meta-Analysis. Front. For. Glob. Chang. 2021, 4, 606669. [Google Scholar] [CrossRef]
  50. Vacek, Z.; Prokůpková, A.; Vacek, S.; Bulušek, D.; Šimůnek, V.; Hájek, V.; Králíček, I. Mixed vs. Monospecific Mountain Forests in Response to Climate Change: Structural and Growth Perspectives of Norway Spruce and European Beech. For. Ecol. Manag. 2021, 488, 119019. [Google Scholar] [CrossRef]
  51. Pretzsch, H.; Schütze, G. Effect of Tree Species Mixing on the Size Structure, Density, and Yield of Forest Stands. Eur. J. For. Res. 2016, 135, 1–22. [Google Scholar] [CrossRef]
  52. Cicșa, A.; Tudoran, G.-M.; Cicșa (Boroeanu), M.; Dobre, A.-C.; Spârchez, G. Effect of Species Composition on Growth and Yield in Mixed Beech–Coniferous Stands. Forests 2022, 13, 1651. [Google Scholar] [CrossRef]
  53. Knohl, A.; Kolle, O.; Minayeva, T.; Milyukova, I.; Vygodskaya, N.; Foken, T.; Ernst Detlef, S. Carbon Exchange of a Russian Boreal Forest after Windthrow. Glob. Chang. Biol. 2002, 8, 231–246. [Google Scholar] [CrossRef]
  54. Alvarez, S.; Ortiz, C.; Díaz-Pinés, E.; Rubio, A. Influence of Tree Species Composition, Thinning Intensity and Climate Change on Carbon Sequestration in Mediterranean Mountain Forests: A Case Study Using the CO2Fix Model. Mitig. Adapt. Strateg. Glob. Chang. 2016, 21, 1045–1058. [Google Scholar] [CrossRef]
  55. Nabuurs, G.-J.; Schelhaas, M.-J.; Mohren, G.; Frits, M.J.; Field, C.B. Temporal Evolution of the European Forest Sector Carbon Sink from 1950 to 1999: European Forest Sector Carbon Sink. Glob. Chang. Biol. 2003, 9, 152–160. [Google Scholar] [CrossRef]
  56. Ogris, N.; de Groot, M. Verjetnostna in Količinska Napoved Sanitarnega Poseka Smreke Zaradi Podlubnikov v Sloveniji v 2022. Napovedi o Zdravju Gozdov, 2022. Available online: https://www.zdravgozd.si/prognoze_zapis.aspx?idpor=61 (accessed on 20 January 2023).
  57. Dobor, L.; Hlásny, T.; Rammer, W.; Zimová, S.; Barka, I.; Seidl, R. Is Salvage Logging Effectively Dampening Bark Beetle Outbreaks and Preserving Forest Carbon Stocks? J. Appl. Ecol. 2020, 57, 67–76. [Google Scholar] [CrossRef]
  58. Thom, D.; Rammer, W.; Seidl, R. Disturbances Catalyze the Adaptation of Forest Ecosystems to Changing Climate Conditions. Glob. Chang. Biol. 2017, 23, 269–282. [Google Scholar] [CrossRef]
  59. Mina, M.; Bugmann, H.; Cordonnier, T.; Irauschek, F.; Klopcic, M.; Pardos, M.; Cailleret, M. Future Ecosystem Services from European Mountain Forests under Climate Change. J. Appl. Ecol. 2017, 54, 389–401. [Google Scholar] [CrossRef]
  60. Taverna, R.; Hofer, P.; Werner, F.; Kaufmann, E.; Thürig, E. CO2-Effekte der Schweizer Wald-und Holzwirtschaft; Umwelt-Wiessen Nr. 0739; Bundesamt für Umwelt: Bern, Switzerlad, 2007. [Google Scholar]
  61. Irauschek, F.; Barka, I.; Bugmann, H.; Courbaud, B.; Elkin, C.; Hlásny, T.; Klopcic, M.; Mina, M.; Rammer, W.; Lexer, M.J. Evaluating Five Forest Models Using Multi-Decadal Inventory Data from Mountain Forests. Ecol. Model. 2021, 445, 109493. [Google Scholar] [CrossRef]
  62. Mackensen, J.; Bauhus, J.; Webber, E. Decomposition rates of coarse woody debris—A review with particular emphasis on Australian tree species. Aust. J. Bot. 2003, 51, 27–37. [Google Scholar] [CrossRef]
Figure 1. Simulated dynamics of (a) carbon sequestration, (b) stand basal area, (c) natural mortality and (d) harvested timber over the 100-year simulation period under different forest management scenarios, namely business-as-usual management in the pre-disturbance period 2002–2011 (BAU), management in the disturbance period 2012–2021 (DIST), an optimized scenario using the functions from the pre-disturbance period 2002–2011 (COPT), an optimized scenario using the functions from the post-disturbance period 2012–2021 (COPT_DIST) and a no management scenario (NOM).
Figure 1. Simulated dynamics of (a) carbon sequestration, (b) stand basal area, (c) natural mortality and (d) harvested timber over the 100-year simulation period under different forest management scenarios, namely business-as-usual management in the pre-disturbance period 2002–2011 (BAU), management in the disturbance period 2012–2021 (DIST), an optimized scenario using the functions from the pre-disturbance period 2002–2011 (COPT), an optimized scenario using the functions from the post-disturbance period 2012–2021 (COPT_DIST) and a no management scenario (NOM).
Forests 14 00947 g001
Figure 2. Diameter distributions of the volume of harvested trees under the BAU and COPT forest management scenarios.
Figure 2. Diameter distributions of the volume of harvested trees under the BAU and COPT forest management scenarios.
Forests 14 00947 g002
Figure 3. Diameter distributions of the volume of harvested trees under the DIST and COPT_DIST forest management scenarios.
Figure 3. Diameter distributions of the volume of harvested trees under the DIST and COPT_DIST forest management scenarios.
Forests 14 00947 g003
Figure 4. The dynamics of tree species composition (in the stand volume) of (A) remaining living trees and (B) harvested trees under different forest management scenarios.
Figure 4. The dynamics of tree species composition (in the stand volume) of (A) remaining living trees and (B) harvested trees under different forest management scenarios.
Forests 14 00947 g004
Figure 5. Simulated dynamics of the net carbon sequestration under DIST and COPT_DIST scenarios if all trees that have been killed or severely damaged by natural disturbances are left in the forest (DIST, COPT_DIST) or removed from forests (DIST_mort, COPT_DIST_mort) (in both scenarios, 13% of total woody biomass remained in forests as harvest residues).
Figure 5. Simulated dynamics of the net carbon sequestration under DIST and COPT_DIST scenarios if all trees that have been killed or severely damaged by natural disturbances are left in the forest (DIST, COPT_DIST) or removed from forests (DIST_mort, COPT_DIST_mort) (in both scenarios, 13% of total woody biomass remained in forests as harvest residues).
Forests 14 00947 g005
Table 1. p-values indicating the significance of differences in the diameter distributions of harvested trees between forest management scenarios for the first two simulated periods using the Kolmogorov–Smirnov chi-square test.
Table 1. p-values indicating the significance of differences in the diameter distributions of harvested trees between forest management scenarios for the first two simulated periods using the Kolmogorov–Smirnov chi-square test.
Period 0–10 YearsPeriod 11–20 Years
BAUCOPTDISTBAUCOPTDIST
COPT0.0079 0.0031
DIST0.99520.0079 0.91800.003
COPT_DIST0.30270.30270.30270.08870.4930.08872
Disclaimer/Publisher’s Note: The statements, opinions and data contained in all publications are solely those of the individual author(s) and contributor(s) and not of MDPI and/or the editor(s). MDPI and/or the editor(s) disclaim responsibility for any injury to people or property resulting from any ideas, methods, instructions or products referred to in the content.

Share and Cite

MDPI and ACS Style

Štraus, H.; Podvinšek, S.; Klopčič, M. Identifying Optimal Forest Management Maximizing Carbon Sequestration in Mountain Forests Impacted by Natural Disturbances: A Case Study in the Alps. Forests 2023, 14, 947. https://doi.org/10.3390/f14050947

AMA Style

Štraus H, Podvinšek S, Klopčič M. Identifying Optimal Forest Management Maximizing Carbon Sequestration in Mountain Forests Impacted by Natural Disturbances: A Case Study in the Alps. Forests. 2023; 14(5):947. https://doi.org/10.3390/f14050947

Chicago/Turabian Style

Štraus, Hana, Suzana Podvinšek, and Matija Klopčič. 2023. "Identifying Optimal Forest Management Maximizing Carbon Sequestration in Mountain Forests Impacted by Natural Disturbances: A Case Study in the Alps" Forests 14, no. 5: 947. https://doi.org/10.3390/f14050947

APA Style

Štraus, H., Podvinšek, S., & Klopčič, M. (2023). Identifying Optimal Forest Management Maximizing Carbon Sequestration in Mountain Forests Impacted by Natural Disturbances: A Case Study in the Alps. Forests, 14(5), 947. https://doi.org/10.3390/f14050947

Note that from the first issue of 2016, this journal uses article numbers instead of page numbers. See further details here.

Article Metrics

Back to TopTop