Response of Understory Plant Diversity to Soil Physical and Chemical Properties in Urban Forests in Beijing, China
Abstract
1. Introduction
2. Materials and Methods
2.1. Study Sites
2.1.1. Sampling Site Selection
2.1.2. Investigation of Understory Plants
2.1.3. Soil Sample Collection
2.2. Methods for Determining the Physical and Chemical Properties of Soils
2.3. Calculation Methods of Diversity Correlation Index Data Analysis
2.4. Data Analysis
3. Results
3.1. Soil Physicochemical Property Analysis
3.1.1. Soil Physical Property Characteristics
3.1.2. SOC and SOM Characteristics
3.1.3. Soil Chemical Property Characteristics
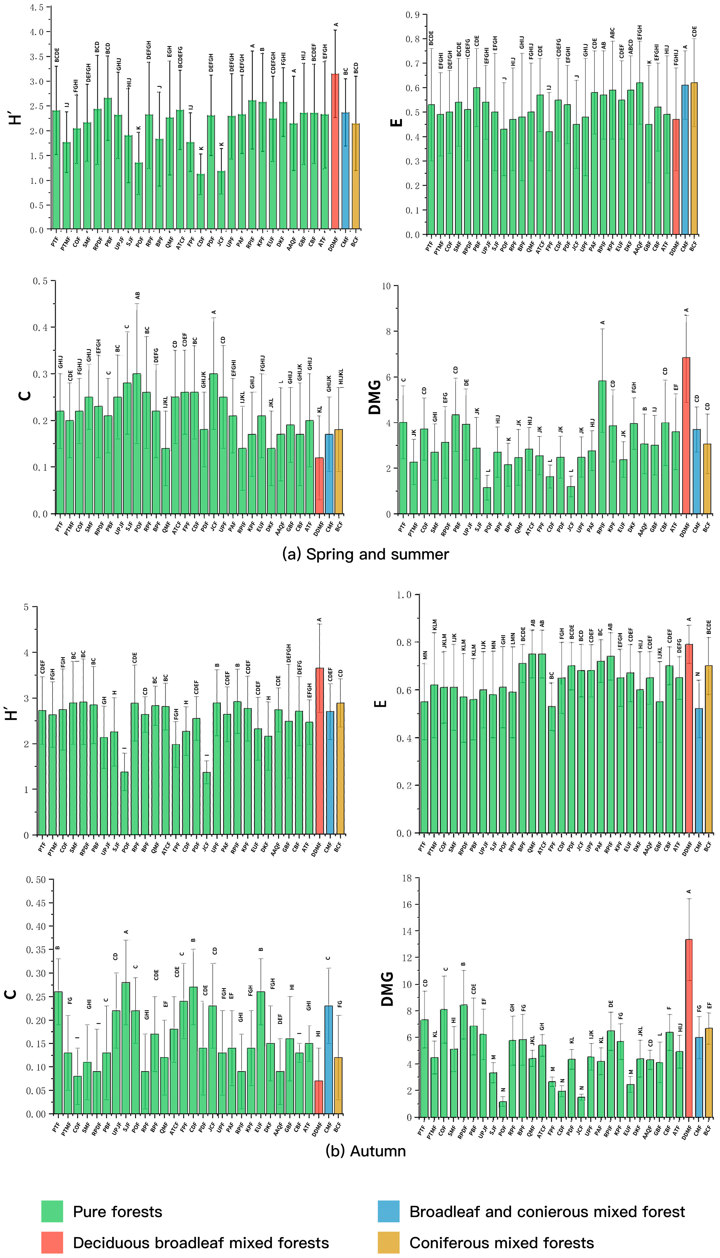
3.2. Understory Plant Diversity Characteristics
3.3. Correlations of Understory Plant Diversity with Soil
3.3.1. Correlations between Soil and Plant Diversity in Spring and Summer
3.3.2. Correlations between Soil and Plant Diversity in Autumn
4. Discussion
4.1. Diversity of Understory Plants in Different Communities
4.2. Effect of Different Community Types on Soil Physicochemical Properties
4.3. Relationship between Soil Factors and Understory Plant Diversity
4.4. Implications for Future Urban Forest Design
5. Conclusions
Author Contributions
Funding
Institutional Review Board Statement
Informed Consent Statement
Data Availability Statement
Conflicts of Interest
Appendix A
| No. | Family | Genus | Latin Scientific Name | Type |
|---|---|---|---|---|
| 1 | Cornaceae | Cornus | Cornus alba | Shrub |
| 2 | Tamaricaceae | Tamarix | Tamarix chinensis | Shrub |
| 3 | Rutaceae | Zanthoxulum | Zanthoxylum simulans | Shrub |
| 4 | Ebnaceae | Diospyros | Diospyros lotus | Shrub |
| 5 | Solanaceae | Lycium | Lycium chinense | Shrub |
| 6 | Oleaceae | Forsythia | Forsythia suspensa | Shrub |
| 7 | Oleaceae | Syringa | Syringa oblata | Shrub |
| 8 | Fabaceae | Cercis | Cercis chinensis | Shrub |
| 9 | Rosaceae | Amygdalus | Amygdalus triloba | Shrub |
| 10 | Rosaceae | Sorbaria | Sorbaria sorbifolia | Shrub |
| 11 | Rosaceae | Kerria | Kerria japonica | Shrub |
| 12 | Rosaceae | Kerria | Kerria japonica f. pleniflora | Shrub |
| 13 | Lythraceae | Lagerstroemia | Lagerstroemia indica | Shrub |
| 14 | Cupressaceae | Juniperus | Juniperus sabina | Evergreen Shrub |
| 15 | Buxaceae | Buxus | Buxus megistophylla | Evergreen Shrub |
| 16 | Cupressaceae | Juniperus | Juniperus procumbens | Evergreen Shrub |
| 17 | Asteraceae | Artemisia | Artemisia argyi | Herb |
| 18 | Amaranthaceae | Amaranthus | Amaranthus blitum | Herb |
| 19 | Poaceae | Imperata | Imperata cylindrica | Herb |
| 20 | Poaceae | Echinochloa | Echinochloa crus-galli | Herb |
| 21 | Boraginaceae | Bothriospermum | Bothriospermum chinense | Herb |
| 22 | Polygonaceae | Polygonum | Polygonum aviculare | Herb |
| 23 | Asteraceae | Xanthium | Xanthium strumarium | Herb |
| 24 | Fabaceae | Melilotus | Melilotus officinalis | Herb |
| 25 | Rosaceae | Potentilla | Potentilla supina | Herb |
| 26 | Plantaginaceae | Plantago | Plantago asiatica | Herb |
| 27 | Asteraceae | Lactuca | Lactuca indica | Herb |
| 28 | Alismataceae | Sagittaria | Sagittaria trifolia subsp. leucopetala | Herb |
| 29 | Convolvulaceae | Calystegia | Calystegia hederacea | Herb |
| 30 | Poaceae | Setaria | Setaria faberi | Herb |
| 31 | Asteraceae | Cirsium | Cirsium japonicum | Herb |
| 32 | Asteraceae | Artemisia | Artemisia sieversiana | Herb |
| 33 | Chenopodiaceae | Kochia | Kochia scoparia | Herb |
| 34 | Orobanchaceae | Rehmannia | Rehmannia glutinosa | Herb |
| 35 | Euphorbiaceae | Euphorbia | Euphorbia humifusa | Herb |
| 36 | Apocynaceae | Cynanchum | Cynanchum thesioides | Herb |
| 37 | Rosaceae | Sanguisorba | Sanguisorba officinalis | Herb |
| 38 | Brassicaceae | Lepidium | Lepidium apetalum | Herb |
| 39 | Apocynaceae | Cynanchum | Cynanchum chinense | Herb |
| 40 | Brassicaceae | Orychophragmus | Orychophragmus violaceus | Herb |
| 41 | Caryophyllaceae | Stellaria | Stellaria media | Herb |
| 42 | Amaranthaceae | Amaranthus | Amaranthus retroflexus | Herb |
| 43 | Araceae | Lemna | Lemna minor | Herb |
| 44 | Boraginaceae | Trigonotis | Trigonotis peduncularis | Herb |
| 45 | Poaceae | Setaria | Setaria viridis | Herb |
| 46 | Poaceae | Cynodon | Cynodon dactylon | Herb |
| 47 | Brassicaceae | Rorippa | Rorippa indica | Herb |
| 48 | Poaceae | Chloris | Chloris virgata | Herb |
| 49 | Asteraceae | Artemisia | Artemisia annua | Herb |
| 50 | Amaranthaceae | Chenopodium | Chenopodium glaucum | Herb |
| 51 | Fabaceae | Kummerowia | Kummerowia striata | Herb |
| 52 | Zygophyllaceae | Tribulus | Tribulus terrestris | Herb |
| 53 | Solanaceae | Nicandra | Nicandra physalodes | Herb |
| 54 | Asteraceae | Crepidiastrum | Crepidiastrum sonchifolium | Herb |
| 55 | Poaceae | Setaria | Setaria pumila | Herb |
| 56 | Asteraceae | Helianthus | Helianthus tuberosus | Herb |
| 57 | Asteraceae | Sonchus | Sonchus brachyotus | Herb |
| 58 | Fabaceae | Glycine | Glycine soja | Herb |
| 59 | Papaveraceae | Corydalis | Corydalis pallida | Herb |
| 60 | Geraniaceae | Geranium | Geranium wilfordii | Herb |
| 61 | Amaranthaceae | Chenopodium | Chenopodium album | Herb |
| 62 | Polygonaceae | Polygonum | Polygonum persicaria | Herb |
| 63 | Convolvulaceae | Ipomoea | Ipomoea nil | Herb |
| 64 | Asteraceae | Senecio | Senecio nemorensis | Herb |
| 65 | Solanaceae | Solanum | Solanum nigrum | Herb |
| 66 | Poaceae | Phragmites | Phragmites australis | Herb |
| 67 | Apocynaceae | Apocynum | Apocynum venetum | Herb |
| 68 | Apocynaceae | Metaplexis | Metaplexis japonica | Herb |
| 69 | Cannabaceae | Humulus | Humulus scandens | Herb |
| 70 | Portulacaceae | Portulaca | Portulaca oleracea | Herb |
| 71 | Iridaceae | Iris | Iris lactea | Herb |
| 72 | Poaceae | Digitaria | Digitaria sanguinalis | Herb |
| 73 | Solanaceae | Datura | Datura stramonium | Herb |
| 74 | Fabaceae | Gueldenstaedtia | Gueldenstaedtia verna | Herb |
| 75 | Asteraceae | Artemisia | Artemisia japonica | Herb |
| 76 | Fabaceae | Medicago | Medicago sativa | Herb |
| 77 | Cucurbitaceae | Cucurbita | Cucurbita moschata | Herb |
| 78 | Asteraceae | Hemisteptia | Hemisteptia lyrata | Herb |
| 79 | Poaceae | Eleusine | Eleusine indica | Herb |
| 80 | Asteraceae | Artemisia | Artemisia dubia | Herb |
| 81 | Poaceae | Elymus | Elymus dahuricus | Herb |
| 82 | Plantaginaceae | Plantago | Plantago depressa | Herb |
| 83 | Asteraceae | Taraxacum | Taraxacum mongolicum | Herb |
| 84 | Asteraceae | Artemisia | Artemisia igniaria | Herb |
| 85 | Brassicaceae | Capsella | Capsella bursa-pastoris | Herb |
| 86 | Rubiaceaea | Rubia | Rubia cordifolia | Herb |
| 87 | Malvaceae | Abutilon | Abutilon theophrasti | Herb |
| 88 | Asteraceae | Lactuca | Lactuca tatarica | Herb |
| 89 | Convolvulaceae | Ipomoea | Ipomoea triloba | Herb |
| 90 | Asteraceae | Ambrosia | Ambrosia trifida | Herb |
| 91 | Crassulaceae | Phedimus | Phedimus aizoon | Herb |
| 92 | Asteraceae | Bidens | Bidens pilosa | Herb |
| 93 | Boraginaceae | Tournefortia | Tournefortia sibirica | Herb |
| 94 | Papaveraceae | Chelidonium | Chelidonium majus | Herb |
| 95 | Rosaceae | Duchesnea | Duchesnea indica | Herb |
| 96 | Polygonaceae | Rumex | Rumex japonicus | Herb |
| 97 | Fabaceae | Vicia | Vicia unijuga | Herb |
| 98 | Convolvulaceae | Convolvulus | Convolvulus arvensis | Herb |
| 99 | Euphorbiaceae | Acalypha | Acalypha australis | Herb |
| 100 | Mazaceae | Mazus | Mazus pumilus | Herb |
| 101 | Rosaceae | Potentilla | Potentilla chinensis | Herb |
| 102 | Lamiaceae | Leonurus | Leonurus sibiricus | Herb |
| 103 | Lamiaceae | Lagopsis | Lagopsis supina | Herb |
| 104 | Lamiaceae | Elsholtzia | Elsholtzia ciliata | Herb |
| 105 | Asteraceae | Helianthus | Helianthus annuus | Herb |
| 106 | Poaceae | Eragrostis | Eragrostis minor | Herb |
| 107 | Asteraceae | Cirsium | Cirsium arvense var. integrifolium | Herb |
| 108 | Amaranthaceae | Chenopodium | Chenopodium ficifolium | Herb |
| 109 | Asteraceae | Erigeron | Erigeron canadensis | Herb |
| 110 | Asteraceae | Inula | Inula japonica | Herb |
| 111 | Commelinaceae | Commelina | Commelina communis | Herb |
| 112 | Lamiaceae | Leonurus | Leonurus japonicus | Herb |
| 113 | Asteraceae | Artemisia | Artemisia capillaris | Herb |
| 114 | Poaceae | Zea | Zea mays | Herb |
| 115 | Convolvulaceae | Ipomoea | Ipomoea purpurea | Herb |
| 116 | Violaceae | Viola | Viola prionantha | Herb |
| 117 | Brassicaceae | Eruca | Eruca vesicaria subsp. sativa | Herb |
| 118 | Asteraceae | Ixeris | Ixeris chinensis | Herb |
| 119 | Amaranthaceae | Salsola | Salsola collina | Herb |
| 120 | Asteraceae | Artemisia | Artemisia scoparia | Herb |
| 121 | Violaceae | Viola | Viola philippica | Herb |
| 122 | Fabaceae | Medicago | Medicago lupulina | Herb |
| 123 | Lamiaceae | Perilla | Perilla frutescens | Herb |
| 124 | Oxalidaceae | Oxalis | Oxalis corniculata | Herb |
| 125 | Brassicaceae | Descurainia | Descurainia sophia | Herb |
| 126 | Poaceae | Eragrostis | Eragrostis pilosa | Herb |
| 127 | Asteraceae | Carduus | Carduus nutans | Herb |
| 128 | Asteraceae | Aster | Aster tataricus | Herb |
| 129 | Asteraceae | Aster | Aster altaicus | Herb |
| 130 | Euphorbiaceae | Euphorbia | Euphorbia esula | Herb |
| 131 | Primulaceae | Androsace | Androsace umbellata | Herb |
| 132 | Asteraceae | Youngia | Youngia japonica | Herb |
| 133 | Brassicaceae | Rorippa | Rorippa palustris | Herb |
| 134 | Amaranthaceae | Achyranthes | Achyranthes bidentata | Herb |
| 135 | Asteraceae | Artemisia | Artemisia caruifolia | Herb |
| 136 | Urticaceae | Urtica | Urtica angustifolia | Herb |
| 137 | Fabaceae | Vicia | Vicia sepium | Herb |
| 138 | Poaceae | Poa | Poa annua | Herb |
| 139 | Papaveraceae | Corydalis | Corydalis bungeana | Herb |
| 140 | Poaceae | Cleistogenes | Cleistogenes hancei | Herb |
| 141 | Cyperaceae | Carex | Carex breviculmis | Herb |
| 142 | Menispermaceae | Menispermum | Menispermum dauricum | Herb |
| 143 | Fabaceae | Amphicarpaea | Amphicarpaea edgeworthii | Herb |
| 144 | Fabaceae | Trifolium | Trifolium repens | Herb |
| 145 | Asteraceae | Artemisia | Artemisia selengensis | Herb |
| 146 | Asteraceae | Artemisia | Artemisia desertorum | Herb |
| 147 | Asteraceae | Artemisia | Artemisia mongolica | Herb |
| 148 | Amaranthaceae | Amaranthus | Amaranthus spinosus | Herb |
| 149 | Amaranthaceae | Amaranthus | Amaranthus viridis | Herb |
| 150 | Fabaceae | Melilotus | Melilotus albus | Herb |
| 151 | Euphorbiaceae | Euphorbia | Euphorbia maculata | Herb |
| 152 | Euphorbiaceae | Euphorbia | Euphorbia hypericifolia | Herb |
| 153 | Equisetaceae | Equisetum | Equisetum arvense | Herb |
| 154 | Euphorbiaceae | Euphorbia | Euphorbia dentata | Herb |
| 155 | Asteraceae | Ambrosia | Ambrosia artemisiifolia | Herb |
| 156 | Asteraceae | Erigeron | Erigeron annuus | Herb |
| 157 | Asteraceae | Xanthium | Xanthium spinosum | Herb |
| 158 | Rubiaceaea | Paederia | Paederia foetida | Herb |
| 159 | Amaranthaceae | Alternanthera | Alternanthera sessilis | Herb |
| 160 | Brassicaceae | Lepidium | Lepidium densiflorum | Herb |
| 161 | Papaveraceae | Corydalis | Corydalis yanhusuo | Herb |
| 162 | Cyperaceae | Carex | Carex giraldiana | Herb |
| 163 | Asteraceae | Echinacea | Echinacea purpurea | Herb |
| 164 | Asteraceae | Gaillardia | Gaillardia aristata | Herb |
| 165 | Asteraceae | Coreopsis | Coreopsis lanceolata | Herb |
| 166 | Asteraceae | Artemisia | Artemisia anethifolia | Herb |
References
- Liu, J.H.; Gao, H.; Zhang, L.H.; Chen, L.P.; Zhao, N.X.; Gao, Y.B. Comparative analysis of inter-specific association within the Stipa grandis-S. krylovii community in typical steppe of Inner Mongolia; China. Chin. J. Plant Ecol. 2010, 5, 525–531. [Google Scholar]
- Condit, R.; Ashton, P.S.; Baker, P.; Bunyavejchewin, S.; Gunatilleke, S.; Gunatilleke, N.; Hubbell, S.P.; Foster, R.B.; Itoh, A.; LaFrankie, J.V.; et al. Spatial Patterns in the Distribution of Tropical Tree Species. Science 2000, 288, 1414–1418. [Google Scholar] [CrossRef]
- Rota, E.; Caruso, T.; Bargagli, R. Community structure; diversity and spatial organization of enchytraeids in Mediterranean urban holm oak stands. Eur. J. Soil Biol. 2014, 62, 83–91. [Google Scholar] [CrossRef]
- Zhao, Y.; Zhao, M.; Qi, L.; Zhao, C.; Zhang, W.; Zhang, Y.; Wen, W.; Yuan, J. Coupled Relationship between Soil Physicochemical Properties and Plant Diversity in the Process of Vegetation Restoration. Forests 2022, 13, 648. [Google Scholar] [CrossRef]
- Pielou, E.C.J. The Measurement of Diversity in Different Types of Biological Collections. J. Theor. Biol. 1966, 13, 131–144. [Google Scholar] [CrossRef]
- Gatti, R.C.; Castaldi, S.; Lindsell, J.A.; Coomes, D.A.; Marchetti, M.; Maesano, M.; Di Paola, A.; Paparella, F.; Valentini, R. The impact of selective logging and clearcutting on forest structure; tree diversity and above-ground biomass of African tropical forests. Ecol. Res. 2015, 30, 119–132. [Google Scholar] [CrossRef]
- Gamfeldt, L.; Snall, T.; Bagchi, R.; Jonsson, M.; Gustafsson, L.; Kjellander, P.; Ruiz-Jaen, M.C.; Froberg, M.; Stendahl, J.; Philipson, C.D.; et al. Higher levels of multiple ecosystem services are found in forests with more tree species. Nat. Publ. Group 2013, 4, 1340. [Google Scholar] [CrossRef]
- You, Y.M.; Xu, J.Y.; Cai, D.X.; Liu, S.R.; Zhu, H.G.; Wen, Y.G. Environmental factors affecting plant species diversity of understory plant communities in a Castanopsis hystrix plantation chronosequence in Pingxiang; Guangxi; China. Acta Ecol. Sin. 2016, 36, 164–172. [Google Scholar]
- Wang, M.Z.; Bi, H.J.; Jin, S.; Liu, J.; Liu, Y.H.; Wang, Y.; Qi, J.Q.; Hao, J.F. Effects of stand density on understory species diversity and soil physicochemical properties of a Cupressus funebris plantation in Yunding Mountain. Acta Ecol. Sin. 2019, 39, 981–988. [Google Scholar]
- Tilman, D. Resource competition and community structure. Monogr. Popul. Biol. 1982, 17, 1–296. [Google Scholar]
- Waldrop, M.P.; Holloway, J.; Smith, D.B.; Goldhaber, M.B.; Drenovsky, R.E.; Scow, K.M.; Dick, R.; Howard, D.M.; Wylie, B.K.; Grace, J.B. The interacting roles of climate; soils; and plant production on soil microbial communities at a continental scale. Ecology 2017, 98, 1957–1967. [Google Scholar] [CrossRef] [PubMed]
- Li, G.; Barfknecht, D.F.; Gibson, D.J. Disturbance effects on productivity–plant diversity relationships from a 22-year-old successional field. J. Veg. Sci. 2020, 32, e12970. [Google Scholar] [CrossRef]
- Paquette, A.; Sousa-Silva, R.; Maure, F.; Cameron, E.; Belluau, M.; Messier, C. Praise for diversity: A functional approach to reduce risks in urban forests. Urban For. Urban Green. 2021, 62, 127157. [Google Scholar] [CrossRef]
- Wen, P.Y.; Jin, G.Z. Effects of topography on species diversity in a typical mixed broadleaved-Korean pine forest. Acta Ecol. Sin. 2019, 39, 945–956. [Google Scholar]
- Grytnes, J.A.; Birks, H.J.B.; Peglar, S.M. Plant species richness in Fennoscandia: Evaluating the relative importance of climate and history. Nord. J. Bot. 1999, 19, 489–503. [Google Scholar] [CrossRef]
- Li, L.; Wen, Z.; Wei, S.; Lian, J.; Ye, W. Functional Diversity and Its Influencing Factors in a Subtropical Forest Community in China. Forests 2022, 13, 966. [Google Scholar] [CrossRef]
- Guisan, A.; Zimmermann, N.E. Predictive habitat distribution models in ecology. Ecol. Model. 2000, 135, 147–186. [Google Scholar] [CrossRef]
- Thysell, D.R.; Carey, A.B. Effects of Forest Management on Understory and Overstory Vegetation: A retrospective Study. Usda For. Serv. Gen. Tech. Rep. 2000, 19, 55–89. [Google Scholar]
- Lin, L.; Dai, L.; Lin, Z.B.; Wu, J.T.; Yan, W.; Wang, Z.J. Plant Diversity and Its Relationship with Soil Physicochemical Properties of Urban Forest Communities in Central Guizhou. Ecol. Environ. 2021, 30, 2130–2141. [Google Scholar] [CrossRef]
- Ares, A.; Neill, A.R.; Puettmann, K.J. Understory abundance; species diversity and functional attribute response to thinning in coniferous stands. For. Ecol. Manag. 2010, 260, 1104–1113. [Google Scholar] [CrossRef]
- Enescu, R.E.; Dincă, L.; Zup, M.; Davidescu, Ș.; Vasile, D. Assessment of Soil Physical and Chemical Properties among Urban and Peri-Urban Forests: A Case Study from Metropolitan Area of Brasov. Forests 2022, 13, 1070. [Google Scholar] [CrossRef]
- Parhizkar, M.; Shabanpour, M.; Miralles, I.; Zema, D.A.; Lucas-Borja, M.E. Effects of plant species on soil quality in natural and planted areas of a forest park in Northern Iran. Sci. Total Environ. 2021, 778, 146310. [Google Scholar] [CrossRef]
- Wang, M.; Gong, Y.; Lafleur, P.; Wu, Y. Patterns and drivers of carbon; nitrogen and phosphorus stoichiometry in Southern China’s grasslands. Sci. Total Environ. 2021, 785, 147201. [Google Scholar] [CrossRef]
- Nunes, J.A.; Schaefer, C.E.; Júnior, W.G.F.; Neri, A.V.; Correa, G.R.; Enright, N. Soil-vegetation relationships on a banded ironstone ‘island’; Carajas Plateau; Brazilian Eastern Amazonia. An. Acad. Bras. Ciências 2015, 87, 2097–2110. [Google Scholar] [CrossRef] [PubMed]
- Schoenholtz, S.H.; Van, M.; Burger, J.A. A review of chemical and physical properties as indicators of forest soil quality: Challenges and opportunities. For. Ecol. Manag. 2000, 138, 335–356. [Google Scholar] [CrossRef]
- Xu, W.; Liu, L.; He, T.; Cao, M.; Sha, L.; Hu, Y.; Li, Q.; Li, J. Soil properties drive a negative correlation between species diversity and genetic diversity in a tropical seasonal rainforest. Sci. Rep. 2016, 6, 20652. [Google Scholar] [CrossRef]
- Li, X.P.; Dong, L. Species Composition and Community Types of Spontaneous Plants in Various Parks of Beijing. Landsc. Archit. 2020, 27, 8. [Google Scholar]
- Wang, C.; Jia, B.; Qie, G.F.; Jin, J.L.; Gu, L.; Zhang, C.; Sun, R.L. Effect and Development Countermeasures of Beijing Plain Afforestation. J. Chin. Urban For. 2017, 15, 6–11. [Google Scholar]
- Zheng, Y.L.; Wang, H.Y.; Xie, Y.L.; Li, X.; Qin, Q.Q.; Yang, D.D. Effect of tree species on soil fertility quality in plain afforestation area, Beijing. Sci. Soil Water Conserv. 2018, 16, 89–98. [Google Scholar]
- Jiang, J.; Lu, Y.C.; Qin, Y.S.; Meng, B.N.; Wei, Q.; Xiao, J.W. Ecological stoichiometric characteristics of leaf-litter-soil for four dominant tree species in plain afforestation area; Beijing. Ecol. Environ. Sci. 2020, 29, 702–708. [Google Scholar]
- Li, X.; Jia, B.; Zhang, W.; Ma, J.; Liu, X. Woody plant diversity spatial patterns and the effects of urbanization in Beijing, China. Urban For. Urban Green. 2020, 56, 126873. [Google Scholar] [CrossRef]
- Fang, J.Y.; Wang, X.P.; Shen, Z.H.; Tang, Z.Y.; He, J.S.; Yu, D.; Jiang, Y.; Wang, Z.H.; Zheng, C.Y.; Zhu, J.L.; et al. The main contents; methods and technical specifications of plant community inventory. Biodiversity 2009, 17, 533–548. [Google Scholar]
- Li, G. Handbook of Biodiversity Monitoring Techniques; China Environment Press: Beijing, China, 2014; pp. 47–50. [Google Scholar]
- LY/T 1210-1999; Collection and Preparation of Forest Soil Samples. National Forestry and Grassland Administration: Beijing, China, 1999.
- Zhang, Y.; Liu, T.; Guo, J.; Tan, Z.; Dong, W.; Wang, H. Changes in the understory diversity of secondary Pinus tabulaeformis forests are the result of stand density and soil properties. Glob. Ecol. Conserv. 2021, 28, e06128. [Google Scholar] [CrossRef]
- Akhtaruzzaman, M.; Haque, M.E.; Osman, K.T. Morphological; Physical and Chemical Characteristics of Hill Forest Soils at Chittagong University; Bangladesh. Open J. Soil Sci. 2014, 4, 26–35. [Google Scholar] [CrossRef]
- LY/T 1215-1999; Determination of Moisture-Physical Properties of Forest Soils. National Forestry and Grassland Administration: Beijing, China, 1999.
- LY/T 1213-1999; Determination of Water Content of Forest Soils. National Forestry and Grassland Administration: Beijing, China, 1999.
- HJ 615-2011; Determination of Organic Carbon in Soil by Oxidation-Spectrophotometric Method with Potassium Dichromate. Ministry of Ecology and Environment of the People’s Republic of China: Beijing, China, 2011.
- LY/T 1228-1999; Determination of Total Nitrogen in Forest Soils. National Forestry and Grassland Administration: Beijing, China, 1999.
- LY/T 1232-1999; Determination of Total Phosphorus in Forest Soils. National Forestry and Grassland Administration: Beijing, China, 1999.
- LY/T 1233-1999; Determination of Effective Phosphorus in Forest Soils. National Forestry and Grassland Administration: Beijing, China, 1999.
- LY/T 1236-1999; Determination of Fast-Acting Potassium in Forest Soils. National Forestry and Grassland Administration: Beijing, China, 1999.
- National Soil Census Office. Soil Census Techniques in China; Agricultural Press: Beijing, China, 1992. [Google Scholar]
- Pielou, E.C. Ecological Diversity; John Wiley & Sons: New York, NY, USA, 1975. [Google Scholar]
- Fang, J.Y.; Shen, Z.H.; Tang, Z.Y.; Wang, Z.H. The protocol for the survey plan for plant species diversity of China’s mountains. Biodivers. Sci. 2004, 12, 5–9. [Google Scholar]
- Feest, A.; Aldred, T.D.; Jedamzik, K. Biodiversity quality: A paradigm for biodiversity. Ecol. Indic. 2010, 10, 1077–1082. [Google Scholar] [CrossRef]
- Tilman, D.; Reich, P.B.; Lsbell, F. Biodiversity impacts ecosystem productivity as much as resources; disturbance; or herbivory. Proc. Natl. Acad. Sci. USA 2012, 109, 10394–10397. [Google Scholar] [CrossRef]
- Qin, X.X.; Liu, Y.Q.; Xing, F.W. Species Diversity in Undergrowth of Artificial Forests on Lower Hilly Land. J. Trop. Subtrop. Bot. 2003, 11, 223–228. [Google Scholar]
- Paquette, A.; Messier, C. The role of plantations in managing the world’s forests in the Anthropocene. Front. Ecol. Environ. 2010, 8, 27–34. [Google Scholar] [CrossRef]
- Lv, X.; Jia, G.; Yu, X.; Niu, L. Vegetation and Topographic Factors Affecting SOM, SOC, and N Contents in a Mountainous Watershed in North China. Forests 2022, 13, 742. [Google Scholar] [CrossRef]
- Wei, C.H.; Shen, G.; Pei, Z.X.; Ren, M.L.; Lu, J.L.; Wang, Q.; Wang, W.J. Effects of Different Plants Cultivation on Soil Physical-chemical Properties and Fine Root Growth in Saline-alkaline Soil in Songnen Plain Northeastern China. Bull. Bot. Res. 2015, 35, 759–764. [Google Scholar]
- Kirkby, C.A.; Richardson, A.E.; Wade, L.J.; Batten, G.D.; Blanchard, C.; Kirkegaard, J.A. Carbon-nutrient stoichiometry to increase soil carbon sequestration. Soil Biol. Biochem. 2013, 60, 77–86. [Google Scholar] [CrossRef]
- Antisari, L.V.; Marinari, S.; Dell’Abate, M.; Baffi, C.; Vianello, G. Plant cover and epipedon SOM stability as factors affecting brown soil profile development and microbial activity. Geoderma 2011, 161, 212–224. [Google Scholar] [CrossRef]
- Yu, X.; Wang, X.; Wu, T.; Ma, Q.X.; Ma, Y.; Xie, L.; Song, N.P. Relationship between restoration of plant diversity and soil habitat in desert steppe. Acta Ecol. Sin. 2021, 41, 8516–8524. [Google Scholar]
- Trettin, C.C.; Jurgensen, M.F.; Gale, R.; McLaughlin, J.W. Recovery of carbon and nutrient pools in a northern forested wetland 11 years after harvesting and site preparation. For. Ecol. Manag. 2011, 262, 1826–1833. [Google Scholar] [CrossRef]
- Hagen-Thorn, A.; Callesen, I.; Armolaitis, K.; Nihlgård, B. The impact of six European tree species on the chemistry of mineral topsoil in forest plantations on former agricultural land. For. Ecol. Manag. 2004, 195, 373–384. [Google Scholar] [CrossRef]
- Wang, K.B.; Chen, M.L.; Qin, J.; Liu, Y.; An, H.; Shangguan, Z.P. Plant Species Diversity and the Relation with Soil Properties in Natural Succession Process in Ziwuling Area. Acta Bot. Boreali-Occident. Sin. 2007, 10, 2089–2096. [Google Scholar]
- Liu, X.; Tan, N.; Zhou, G.; Zhang, D.; Zhang, Q.; Liu, S.; Chu, G.; Liu, J. Plant diversity and species turnover co-regulate soil nitrogen and phosphorus availability in Dinghushan forests; southern China. Plant Soil 2021, 464, 257–272. [Google Scholar] [CrossRef]
- Kooch, Y.; Samadzadeh, B.; Hosseini, S.M. The effects of broad-leaved tree species on litter quality and soil properties in a plain forest stand. Catena 2017, 150, 223–229. [Google Scholar] [CrossRef]
- De Groote, S.R.E.; Vanhellemont, M.; Baeten, L.; De Schrijver, A.; Martel, A.; Bonte, D.; Lens, L.; Verheyen, K. Tree species diversity indirectly affects nutrient cycling through the shrub layer and its high-quality litter. Plant Soil 2018, 427, 335–350. [Google Scholar] [CrossRef]
- Zhao, C.J.; Kang, M.Y.; Lei, Q. Relationships between plant community characteristics and environmental factors in the typical profiles from Dzungaria Basin. J. Ecol. 2011, 31, 2669–2677. [Google Scholar]
- Kaufmann, S.; Hauck, M.; Leuschner, C. Comparing the plant diversity of paired beech primeval and production forests; management reduces cryptogam; but not vascular plant species richness. For. Ecol. Manag. 2017, 400, 58–67. [Google Scholar] [CrossRef]










| District | Sample Site | Longitude (°N) | Latitude (°W) | District | Sample Site | Longitude (°N) | Latitude (°W) |
|---|---|---|---|---|---|---|---|
| DX (Daxing) | DX1 | 39.681165 | 116.508758 | PG (Pinggu) | PG1 | 40.121068 | 117.178731 |
| DX2 | 39.681206 | 116.59744 | PG2 | 40.066124 | 117.010529 | ||
| DX3 | 39.669858 | 116.321655 | MY (Miyun) | MY1 | 40.397534 | 116.76196 | |
| DX4 | 39.507692 | 116.319536 | MY2 | 40.373566 | 116.946701 | ||
| DX5 | 39.774158 | 116.256056 | HR (Huairou) | HR1 | 40.278431 | 116.667219 | |
| FS (Fangshan) | FS1 | 39.635622 | 115.966366 | HR2 | 40.330371 | 116.700131 | |
| FS2 | 39.76578 | 116.202661 | HD (Haidian) | HD1 | 40.089601 | 116.282661 | |
| FT (Fengtai) | FT1 | 39.846551 | 116.222275 | HD2 | 39.943478 | 116.264863 | |
| FT2 | 39.796151 | 116.355014 | HD3 | 40.06604 | 116.146538 | ||
| FT3 | 39.852475 | 116.459305 | SY (Shunyi) | SY1 | 40.129908 | 116.713629 | |
| FT4 | 39.812886 | 116.379154 | SY2 | 40.123078 | 116.831259 | ||
| CP (Changping) | CP1 | 40.095728 | 116.362866 | SY3 | 40.084625 | 116.559386 | |
| CP2 | 40.082261 | 116.421362 | SY4 | 40.18036 | 116.670752 | ||
| CP3 | 40.063893 | 116.388207 | SY5 | 40.23692 | 116.791866 | ||
| CP4 | 40.098987 | 116.45221 | TZ (Tongzhou) | TZ1 | 39.801547 | 116.881987 | |
| CP5 | 40.097294 | 116.371731 | TZ2 | 39.756524 | 116.628646 | ||
| CP6 | 40.176499 | 116.330578 | TZ3 | 39.947695 | 116.706227 | ||
| CP7 | 40.150183 | 116.285046 | YQ (Yanqing) | YQ1 | 40.473383 | 115.887473 | |
| CP8 | 40.107098 | 116.36192 | YQ2 | 40.48354 | 115.907326 | ||
| CY (Chaoyang) | CY1 | 39.904041 | 116.488239 | ||||
| CY2 | 39.998927 | 116.578898 | |||||
| CY3 | 40.048159 | 116.535358 | |||||
| CY4 | 40.026288 | 116.501034 |
| Type | Name | Abbreviation | Number of Plots |
|---|---|---|---|
| Pure forests | Betula platyphylla forests | BPF | 40 |
| Robinia pseudoacacia forests | RPF | 39 | |
| Tufted Acer truncatum forests | ATCF | 22 | |
| Eucommia ulmoides forests | EUF | 19 | |
| Platanus acerifolia forests | PAF | 34 | |
| Styphnolobium japonicum forests | SJF | 43 | |
| Salix matsudana forests | SMF | 23 | |
| Robinia pseudoacacia f. decaisneana forests | RPDF | 45 | |
| Ulmus pumila ‘Jinye’ forests | UPJF | 22 | |
| Koelreuteria paniculata forests | KPF | 25 | |
| Populus tomentosa forests | PTMF | 31 | |
| Quercus mongolica forests | QMF | 19 | |
| Ailanthus altissima ‘Qiantou’ forests | AAQF | 51 | |
| Catalpa bungei forests | CBF | 30 | |
| Populus davidiana forests | 16 | ||
| Diospyros kaki forests | DKF | 12 | |
| Robinia pseudoacacia ‘Idaho’ forests | RPIF | 45 | |
| Fraxinus pennsylvanica forests | FPF | 47 | |
| Ginkgo biloba forests | GBF | 30 | |
| Ulmus pumila forests | UPF | 33 | |
| Acer truncatum forests | ATF | 35 | |
| Catalpa ovata forests | COF | 41 | |
| Pinus bungeana forests | PBF | 60 | |
| Platycladus orientalis forests | POF | 36 | |
| Juniperus chinensis forests | JCF | 39 | |
| Pinus tabuliformis forests | PTF | 78 | |
| Cedrus deodara forests | CDF | 35 | |
| Deciduous broadleaf mixed forests | Deciduous broadleaf mixed forests | DDMF | 102 |
| Broadleaf and coniferous mixed forests | Broadleaf and coniferous mixed forests | BCF | 77 |
| Coniferous mixed forests | Coniferous mixed forests | CMF | 60 |
Disclaimer/Publisher’s Note: The statements, opinions and data contained in all publications are solely those of the individual author(s) and contributor(s) and not of MDPI and/or the editor(s). MDPI and/or the editor(s) disclaim responsibility for any injury to people or property resulting from any ideas, methods, instructions or products referred to in the content. |
© 2023 by the authors. Licensee MDPI, Basel, Switzerland. This article is an open access article distributed under the terms and conditions of the Creative Commons Attribution (CC BY) license (https://creativecommons.org/licenses/by/4.0/).
Share and Cite
Meng, X.; Fan, S.; Dong, L.; Li, K.; Li, X. Response of Understory Plant Diversity to Soil Physical and Chemical Properties in Urban Forests in Beijing, China. Forests 2023, 14, 571. https://doi.org/10.3390/f14030571
Meng X, Fan S, Dong L, Li K, Li X. Response of Understory Plant Diversity to Soil Physical and Chemical Properties in Urban Forests in Beijing, China. Forests. 2023; 14(3):571. https://doi.org/10.3390/f14030571
Chicago/Turabian StyleMeng, Xiangyu, Shunxin Fan, Li Dong, Kun Li, and Xiaolu Li. 2023. "Response of Understory Plant Diversity to Soil Physical and Chemical Properties in Urban Forests in Beijing, China" Forests 14, no. 3: 571. https://doi.org/10.3390/f14030571
APA StyleMeng, X., Fan, S., Dong, L., Li, K., & Li, X. (2023). Response of Understory Plant Diversity to Soil Physical and Chemical Properties in Urban Forests in Beijing, China. Forests, 14(3), 571. https://doi.org/10.3390/f14030571
