Abstract
In recent decades, the global climate has changed significantly. The climate in Northwest China became warm-wet, especially in the Tianshan Mountains. In order to explore the response of tree growth to recent climate change, the two dominant trees species, Picea schrenkiana Fisch. et Mey. and Larix sibirica Ledeb., were studied with the dendrochronological method in the western Tianshan Mountains (WT) and the eastern Tianshan Mountains (ET). Our results showed that: (1) The tree growth of four sample sites in the WT significantly increased in recent decades, while the trees in the three sample sites in the ET significantly decreased. (2) In the WT, except for the Manas site, the tree-ring chronologies of the other three sites were significantly positively correlated with the mean annual minimum temperature. Tree-ring chronologies in the WT, except for Bangfanggou site, were significantly positively correlated with annual precipitation. In the ET, only the tree chronology of L. sibirica in the Balikun site was significantly negatively correlated with the annual temperatures, including the mean minimum, mean and mean maximum temperature. (3) The proportion of trees with a significant upward growth trend at each site decreased from west to east, and the proportion of trees with a significant downward growth trend at each site increased from west to east along the whole Tianshan Mountains. (4) The correlation of tree-ring chronologies with the annual temperature and annual precipitation was not stable during the study period. Warm-humidification promoted the growth of trees in the WT but inhibited tree growth in the ET, which may be exacerbated drought stress in the ET where the increase in precipitation was not enough to offset the increased evapotranspiration potential caused by warming.
1. Introduction
In recent decades, climate warming, atmospheric CO2 concentration increasing and changes in precipitation patterns have affected ecosystem productivity and water consumption [1,2,3]. In most parts of the world, temperatures are forecasted to continue to rise for future decades [4]. In general, higher temperatures promote tree growth in cold regions [5,6] and affect the forest structure and productivity [7,8,9].
However, some studies have shown that warming does not always promote tree growth and may also inhibit plant growth by exacerbating drought stress [10,11]. With the temperature increased, the temperature sensitivity of the radial growth of trees in some subarctic regions might reduce, even to a negative effect [12], which is called “divergence problem” in tree ring research [13,14].
At the same time, living in different environments, plant individuals of the same species exhibit divergent habits, appearance and physiology, which is called “cladogenic adaptation” [15]. For example, in the late twentieth century, Sabina przewalskii and Pinus tabulaeformis in the Qilian and Helan Mountains clearly showed growth divergence [16]. Picea glauca in western Alaska’s northern treeline showed a positive response to recent warming. Still, there was a large proportion of negative responders in the eastern part because of drought stress [17]. Therefore, it is important to study the response of the same tree species in various distribution areas to climate change for forest management [11].
Studying the response of individual tree growth to climate is as ecologically important as the chronology [14]. Changes in the proportion of positive and negative responses of a single tree to climate can better understand the mechanism of tree growth response to climate. Zhang and Martin [18] found that, in the high elevation of the northeastern Tibetan Plateau, the Picea crassifolia growth significantly correlated with growing season temperature. There were both increases in proportions with positive and negative responses.
Guo et al. [19] found that the proportion of spruce (Picea spp.) showed a positive response to the increase in growing season temperature; however, that of fir (Abies spp.) did not change, and there was a decrease in growth coherency for both two trees species on the Tibetan Plateau. Fang and Zhang [20] found that in the three extreme droughts years, the proportion of trees with high recovery increased, while the proportion with high resistance decreased.
The Tianshan Mountains were located in Xinjiang, Northwest China. It is widely distributed in the extremely arid inner Asia and has an important impact on the local ecosystem and society, called central Asia’s water tower [21,22]. Westerly circulation is the important factor that strongly shapes the climate, and it is a decreasing trend from the west to the east of the annual precipitation in the Tianshan Mountains [23]. In recent decades, both temperature and precipitation demonstrated an upward trend in the Tianshan Mountains.
The increasing temperature trend was more significant than precipitation, and it is becoming warm-humid [24]. If the increase in precipitation is insufficient to offset the increased evapotranspiration potential caused by warming, the water stress on plants will be further exacerbated [25,26]. This is a subalpine forest belt that primarily consists of P. schrenkiana extending from west to east over 1000 km with an altitude of 1500–2700 m in the Tianshan Mountains [27]. In the eastern Tianshan Mountains (ET), there is a mixture of L. sibirica and P. schrenkiana [28].
P. schrenkiana is a widely distributed tree species in the Tianshan Mountains. It is sensitive to climate change and is often used in the research of climate response and climate reconstruction [23,29]. L. sibirica is another dominant tree species only in the ET, and it is important to central Asia water and ecosystem conservation in the arid and semi-arid regions [30]. In the western Tianshan Mountains (WT), the tree growth of P. schrenkiana was significantly and positively correlated with temperature in warm seasons [31].
In the central Tianshan Mountains, P. schrenkiana growth was affected by precipitation in the previous August at different altitudinal gradients [32]. In the ET, in recent decades, Jiao et al. [28] found that, for two tree species (P. schrenkiana and L. sibirica), radial growth was mainly affected by drought during the growing season. However, it is unclear how trees in the WT and ET respond to the current warm-humid climate. Hence, we conducted a dendrochronological study on P. schrenkiana and L. sibirica from WT and ET.
Our aims are (1) to explore whether there are differences in radial growth and the growth-climate relationship between trees in the WT and ET and (2) to reveal how the growth of individual trees changes from east to west along the Tianshan Mountains under climate warming and humidification.
2. Materials and Methods
2.1. Study Area and Climate
The study was conducted at six sites on the north slope of the Tianshan Mountains, northwest China: Zhaosu (ZS), Gongliu (GL), Manas (MNS), Banfanggou (BFG), Jimsar (JMS) and Banglikun (BLK1 and BLK2) (Figure 1, Table 1).
Figure 1.
Locations of the sampling sites in the Tianshan Mountains.
Table 1.
Sampling site information.
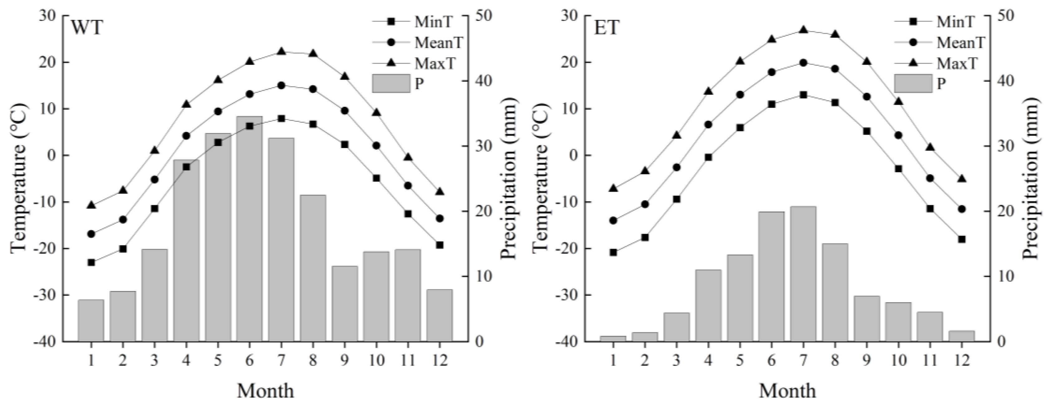
During the period of 1960–2019, monthly precipitation in the WT was generally higher than in the ET, while the monthly temperatures (the mean minimum, mean and mean maximum) in the WT were generally lower than in the ET (Figure 2). Based on the grid point climate data, the mean annual temperature in the WT (ET) was 1.0 °C (4.1 °C), the mean monthly maximum temperature was 22.2 °C (26.8 °C) in July, and the mean monthly minimum temperature was −23.0 °C (−20.8 °C) in January during the period 1960–2019 (Figure 2).
Figure 2.
The monthly mean minimum (MinT), mean (MeanT) and mean maximum (MaxT) temperatures and monthly precipitation (P) during 1960–2019.
In the WT (ET), annual precipitation was 223.6 mm (105.5 mm), 72.5% (79.8%) of which fell in the growing season (from March to August) (Figure 2). There was a significant upward trend in annual temperatures (especially the mean annual minimum temperature) and annual precipitation during 1960 to 2019 in both WT and ET (Figure 3). The rising rate of annual precipitation in the WT (11.68 mm/decade) was faster than that in the ET (4.09 mm/decade), and the rising rate of the mean annual minimum temperature in the WT (0.37 °C/decade) was lower than that in the ET (0.42 °C/decade) (Figure 3).
Figure 3.
Variability of annual temperatures and precipitation during 1960–2019. MinT: mean minimum temperature, MeanT: mean temperature, MaxT: mean maximum temperature and P: precipitation.
2.2. Tree-Ring Data and Meteorological Data
Fieldwork was conducted in July 2021. The four sites (ZS, GL, MNS and BFG) were located in the WT, and the other sites (JMS, BLK1 and BLK2) were in the ET (Figure 1, Table 1). We sampled in the middle of the altitude zone with forest distribution to study. More than 30 dominant individuals were chosen as sampling trees at each site. We took one core per tree from each sampling tree at the breast height (1.3 m) using a 5.15 mm diameter increment borer. All samples were brought back to the laboratory. Some samples that did not meet the requirements were removed, such as broken or heart rot.
All tree cores were preprocessed by using the standard method Stokes and Smile [33]. Visual cross-dating was conducted using the skeleton method under a binocular microscope. We then used the LINTAB 6 system with a resolution of 0.01 mm to measure the tree ring width. The results of cross-dating and annual ring width measurement were verified by the COFECHA program [34]. The errors in the process of cross-dating and ring width measurement were manually eliminated.
In order to reduce the impact of age-related growth rates, the ARSTAN program was used to detrend the cross-dated tree ring-width series using linear or negative exponential functions and then use the double-weighted average method to standardize the data. After standardization, the standard chronology was finally established [35]. We also used ARSTAN program for generating each individual tree ring series, and a total of 215 individual tree-ring indices were used for futher analyses (Table 1).
Monthly precipitation, temperature and potential evapotranspiration data of the WT (43.00° N–44.00° N, 81.00° E–87.5° E) and ET (43.00° N–44.00° N, 88.50° E–94.00° E) during 1960–2019 were obtained from the grid point data with an accuracy of 0.5° × 0.5° of the Royal Netherlands Meteorological Institute (http://climexp.knmi.nl, accessed on 23 January 2022).
2.3. Growth Coherency and Growth-Climate Relationship
Linear regression was used to identify the tree growth trend of each species and individual tree series within each site during the period 1960 to 2019. Pearson correlation coefficients between the tree-ring width chronologies/individual series and climate factors were calculated in SPSS 20.0 to determine the main factors affecting the tree growth in the Tianshan Mountains. To accurately depict the dynamic responses of tree radial growth to climate change, the moving correlation function was used to calculate the correlation coefficients between tree-ring chronologies and main climatic factors with a 30-year window and a 1-year step.
3. Results
3.1. Temporal Variation of Tree Growth
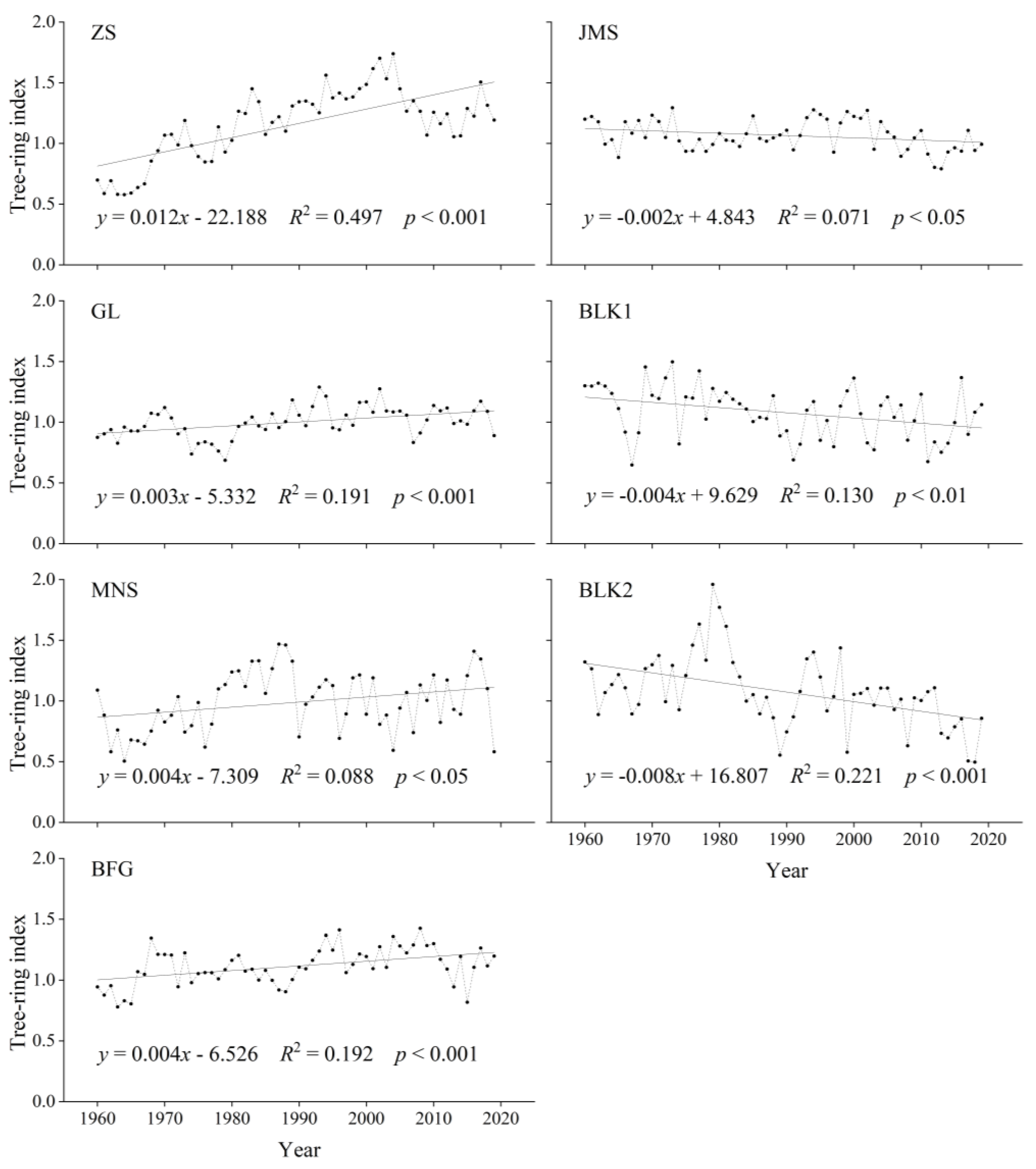
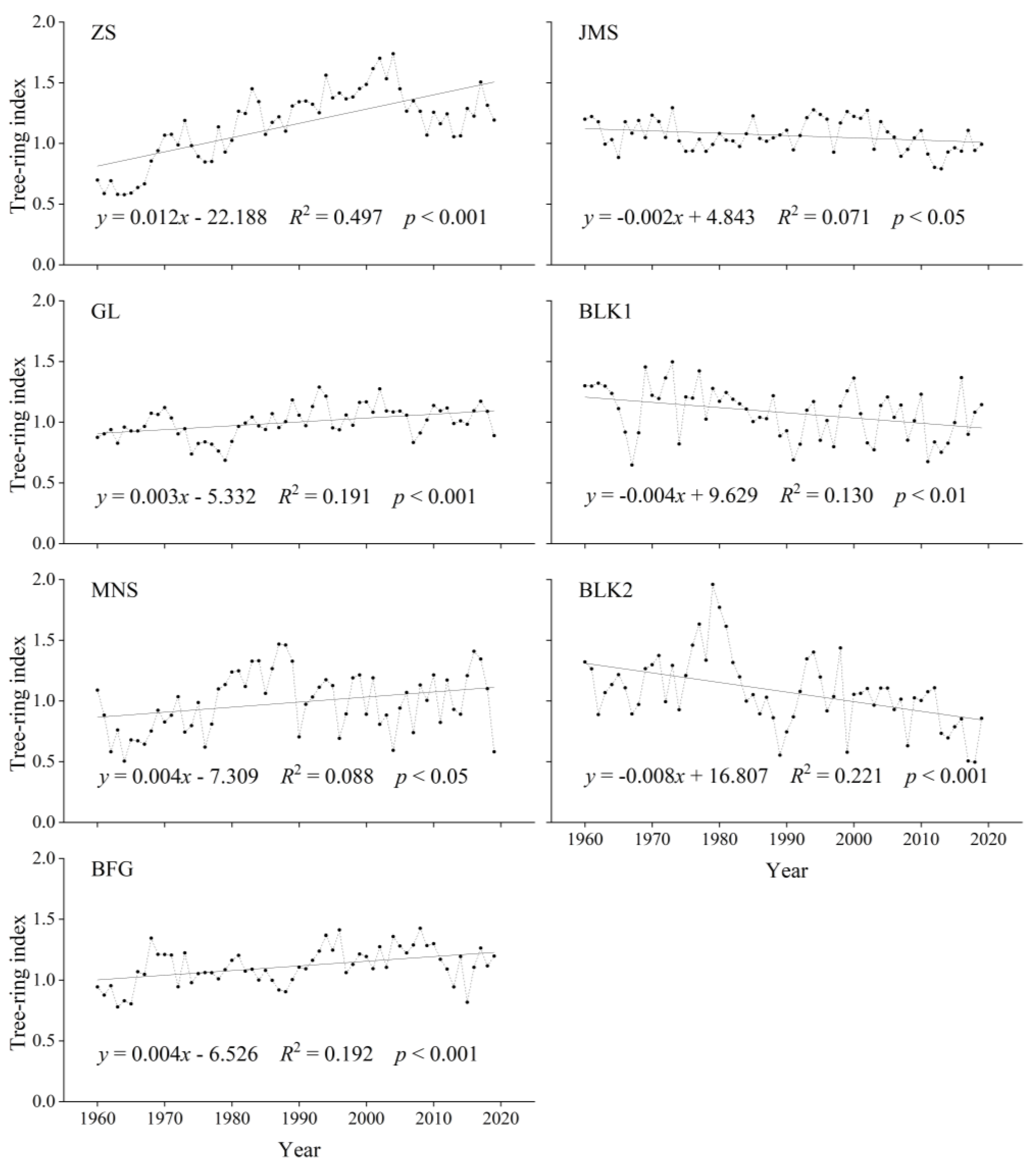
The trends of tree radial growth at four sites in the WT were significantly increasing from 1960 to 2019 (p < 0.05) (Figure 4). In contrast, at three sites in the ET, tree growth trend were significantly decreasing during 1960–2019 (p < 0.05) (Figure 4). In the Tianshan Mountains, the proportion of trees with a significant upward growth trend at each site decreased from west to east (Figure 5). The proportion of trees with a significant negative growth trend in the ET was higher than that in the WT (Figure 5).
Figure 4.
Standard chronologies during 1960–2019 at seven sites in the Tianshan Mountains.
Figure 5.
Proportion of trees with a significantly positive, significantly negative and not significant growth trend at seven sites.
3.2. Relationships between Tree Growth and Annual Climate Factors
In the WT, the tree-ring width chronologies were positively correlated with the annual temperatures (the mean minimum, mean and mean maximum) and the annual precipitation during 1960–2019. However, they had negative correlations with the annual temperatures (the mean minimum, mean and mean maximum) during the same period in the ET (Figure 6). The positive correlation between the chronology and annual climate factors gradually weakens from the west to east in the Tianshan Mountains (Figure 6).
Figure 6.
The correlation between the chronology and annual climate factors during 1960–2019. MinT: mean minimum temperature, MeanT: mean temperature, MaxT: mean maximum temperature and P: precipitation. The 95% and 99% confidence levels were indicated by dashed and solid lines, respectively.
At ZS, the chronology of P. schrenkiana was extremely significantly and positively correlated with the annual temperatures (the mean minimum, mean and mean maximum) and annual precipitation (p < 0.01). At GL, the chronology of P. schrenkiana was significantly positively correlated with the mean annual minimum temperature (p < 0.05) and was extremely significantly positively correlated with the annual precipitation (p < 0.01). At MNS, a significant positive correlation was found between the chronology of P. schrenkiana and annual precipitation (p < 0.05). At BFG, a significant positive correlation was found between the chronology of P. schrenkiana and the mean annual minimum temperature (p < 0.05) (Figure 6).
At JMS and BLK1, the chronology of P. schrenkiana was not significantly correlated with the annual temperatures and annual precipitation. At BLK2, the chronology of L. sibirica was extremely significantly and negatively correlated with the annual temperatures (the mean minimum, mean and mean maximum) (p < 0.01) (Figure 6).
At WT sites other than MNS (includes ZS, GL and BFG), proportional contributions of the significant positive correlations between the ring-width indices of all P. schrenkiana trees and annual temperatures (the mean minimum, mean and mean maximum) and the annual precipitation were higher than that in the ET (includes JMS, BLK1 and BLK2) (Figure 7). In the ET, proportional contributions of the significant negative correlations between the individual series and annual temperatures (the mean minimum, mean and mean maximum) were higher than in the WT (Figure 7). In the Tianshan Mountains, proportional contributions of the significant positive correlations between the individual series and annual precipitation overall showed a decreasing trend from west to east (Figure 7).
Figure 7.
The proportional contributions of the significant positive, significant negative and not significant correlations between individual series and annual climate factors from 1960 to 2019. MinT: mean minimum temperature, MeanT: mean temperature, MaxT: mean maximum temperature and P: precipitation.
The proportional contributions (75.7%, 70.3%, 62.2% and 59.5%) of the significant positive correlation between individual series and annual climate factors (the mean minimum, mean, mean maximum temperature and precipitation) at ZS were higher than that at all other sites. The proportional contributions of the significant positive correlation at GL and BFG were above 20% but not more than 10% at MNS. The proportional contributions of the significant negative correlation between individual series and annual temperatures (the mean minimum, mean and mean maximum) at JMS, BLK1 and BLK2 were above 20%; however, the proportional contributions of the significant positive correlation were less than 20% (Figure 7).
3.3. Stability of Climate-Growth Relationships
In the WT, the positive correlation between the ZS chronology and annual temperatures was more stable than at the other three sites (Figure 8). The positive correlations between four sites’ chronologies and annual temperatures in the WT gradually weakened with time, even changing to negative at GL, MNS and BFG sites. In particular, the negative correlation was significant during 1978–2013 at MNS. In the ET, a significant positive correlation between the chronology and mean annual minimum temperature occurred at JMS during 1973–2004. A significant negative correlation between the chronology and mean annual maximum temperature occurred at BLK1 during 1968–1998 (Figure 8).
Figure 8.
Moving correlation between the tree-ring width chronologies and annual climate factors. MinT: mean minimum temperature, MeanT: mean temperature, MaxT: mean maximum temperature and P: precipitation. Moving window: 30 years. One asterisk represents p < 0.05.
Significant positive correlation between the chronology and annual precipitation occurred during the first half of the study period at ZS, GL and MNS sites. In the ET, there was no significant correlation between the chronology and annual precipitation at all sites (Figure 8).
4. Discussion
4.1. Response Differences of Tree Radial Growth to Climate Change between WT and ET
Tree radial growth at the different sites showed different responses to climate factors [36]. In this study, both warming and increased precipitation strongly promoted tree growth in the WT. However, warming had a strong negative impact on tree radial growth, and the effect of precipitation change was very weak in the ET (Figure 6). In general, warming promotes tree growth in subalpine regions [37], and increased precipitation promotes plant growth in semiarid or arid regions [38,39]. The effect of warming was closely related to water availability [40].
When the temperature does not exceed the threshold, warming can break unfavorable dormancy early, improve the accumulation of carbohydrates and plant photosynthesis and promote the growth of tree xylem, which is beneficial to tree growth [41,42,43]. However, since warming will cause a rapid increase of evapotranspiration, warm-humidification in arid regions does not necessarily lead to an increase of soil moisture.
If the increase in precipitation is not enough to offset the increased evapotranspiration potential caused by warming, tree growth may be inhibited by exacerbated drought stress [25,26]. Trees enhanced the intrinsic water use efficiency and reduced the stomatal conductance to prevent them from losing too much water, which caused tree growth to decline [44,45].
Moreover, the temperature sensitivity of L. sibirica was higher than that of P. schrenkiana on the annual scale at BLK (Figure 6). The tree growth of both species was negatively affected by temperature, and climate warming lead to radial growth decline. These results are similar to those of Jiao et al. [28].
4.2. Response Stability of Tree Growth to Climate Change
Minimum temperature was the important climate factor restricting tree radial growth at the high-elevation sites [46,47]. Our results also showed that mean annual minimum temperature has a stronger impact on tree growth than mean and mean maximum temperatures at most sites. In addition, the stability of the positive correlation between tree growth and annual temperatures weakened with time in the WT.
Even in MNS, there was a significant negative correlation between the chronology and temperatures during 1978–2013, while the stability of tree growth with precipitation was only significant during the first half of the study period (Figure 8). In arid and semi-arid regions, tree radial growth is mainly restricted by drought [48]. In the Republic of Moldova, although the growth of Quercus robur L. and Fraxinus excelsior L. is primarily water-limited, their correlation with precipitation was found to be unstable by using the 25-year moving correlation analyses [49].
Temperature, precipitation and other environmental factors can strongly drive plant growth, altering plant adaptation strategies [50]. P. schrenkiana is a drought and cold tolerant tree species distributed in the Tianshan Mountains [23,51,52], and its growth is usually affected by minimum temperature and moisture [47,53]. As temperature and precipitation increased, the positive response of tree radial growth weakened [32,54]. Although the sensitivity of tree radial growth to temperature and precipitation decreased in the WT, tree growth will still increase in the future.
4.3. Spatial Patterns of Tree Growth Trend
There was an increasing trend of tree radial growth in the WT and a decreasing trend of tree growth in the ET (Figure 4), and these were consistent with the study of Qi et al. [55] and Jiao et al. [28], which might be caused by the balance of water and heat demand. From 1960 to 2019, the mean annual temperature (1.0 °C) in the WT was 3.1 °C lower than that in the ET (4.1 °C), and the annual precipitation in the former (105.5 mm) was only 47.2% of that in the latter (223.6 mm) (Figure 2).
The rising trend of annual potential evapotranspiration (8.79 mm/decade) was faster than the rising trend of annual precipitation in the ET (4.09 mm/decade) (Figure 3 and Figure 9), the increase of precipitation is not enough to offset the increased evapotranspiration potential caused by climate warming in the ET, and tree growth is under more drought stress [25,26]. In Lithuania, temperature and precipitation were found to have increased significantly in recent decades; however, increased July temperatures exacerbated drought stress in Scots pine (Pinus sylvestris L.) in the western region [56].
Figure 9.
Variability of the annual potential evapotranspiration during 1960–2019.
Additionally, individual trees with a significant increase (decrease) in growth trend decreased (increased) overall from west to east (Figure 5). Between and within different study sites, diverse growth responses are triggered by unprecedented climatic changes [57]. Changes in tree growth trends at above seven sites in the Tianshan Mountains reflect their response divergence. The proportion of individual trees whose growth was significantly positively correlated with temperature and precipitation overall showed a decreasing trend from west to east, and the proportion of individual trees whose growth was significantly negatively correlated with temperature in the ET was higher than that in the WT (Figure 7).
Therefore, trees in the WT were mainly affected by the positive effects of temperature and precipitation. Trees in the ET were mainly negatively affected by the temperature, which was generally considered sensitive to warming-caused drought [26]. However, the percentage of trees with an increased growth trend was lower, and tree growth was less correlated with climate factors in MNS. This is likely because the sampling site (altitude: 1708 m) was lower than other sites (altitude > 2100 m).
Differences in altitude often result in differences in temperature and precipitation and the sensitivity of tree-ring chronologies to climate [58]. In the Changbai Mountains, the positive correlations between Larix olgensis growth and temperature in June showed an increasing trend from low elevations to high elevations [59]. Therefore, we speculated that the positive correlation of tree growth with temperature and precipitation would also increase in the MNS region with the elevation within a certain range.
Based on the results of this study, we predict that the warm-humidification in the Tianshan Mountains will continue, that the growth of WT forests will continue to increase, and that the growth of ET forests will be under more drought stress. Therefore, more attention should be paid to ET forests to cope with future climate change.
5. Conclusions
In the Tianshan Mountains, the annual temperatures (the mean minimum, mean and mean maximum) and annual precipitation in the WT and ET significantly increased during 1960–2019. It has become warm-wet in recent decades; however, the annual precipitation and its trend in the WT were higher than in the ET, and the mean annual minimum temperature and its trend were the opposite. The tree growth at the four sites in the WT significantly increased, while tree growth at the three sites in the ET significantly decreased.
Tree growth in the WT (except for MNS) showed a significant positive correlation with the mean annual minimum temperature. The chronologies in the WT (except for BFG) showed a significant positive correlation with the annual precipitation. However, in the ET, only the chronology of L. sibirica showed a significant negative correlation with the annual temperatures.
In studying the growth trend of individual trees, we found that the proportion of individual trees with a significant negative growth trend increased from west to east. At the same time, from west to east, the diversity in the proportion of trees with a positive growth trend might be related to the decrease in the proportion of positive correlations between individual tree ring-width series and temperature and precipitation. However, the sensitivity of tree-ring chronologies to temperature and precipitation was not stable and weakened with time through the study period. Therefore, we should take different measures to manage the forests in the WT and ET to cope with climate change.
Author Contributions
Conceptualization, Z.P., Y.Z. and L.Z.; methodology, Z.P. and Y.Z.; formal analysis, Z.P., J.C. and M.G.; investigation, Z.P. and Q.L.; writing—original draft preparation, Z.P., Y.Z. and L.Z.; writing—review and editing, Y.Z., L.Z. and Q.M.; funding acquisition, Y.Z. All authors have read and agreed to the published version of the manuscript.
Funding
This study was funded by the National Natural Science Foundation of China (No. 31971460) and the National Key Research and Development Program of China (2021YFD2200401).
Institutional Review Board Statement
Not applicable.
Informed Consent Statement
Not applicable.
Data Availability Statement
Not applicable.
Conflicts of Interest
The authors declare that they have no conflict of interest.
References
- Dore, M.H.I. Climate change and changes in global precipitation patterns: What do we know? Environ. Int. 2005, 31, 1167–1181. [Google Scholar] [CrossRef]
- Sheng, W.; Ren, S.; Yu, G.; Fang, H.; Jiang, C.; Zhang, M. Patterns and driving factors of WUE and NUE in natural forest ecosystems along the North-South Transect of Eastern China. J. Geogr. Sci. 2011, 21, 651–665. [Google Scholar] [CrossRef]
- Tian, L.; Benton, M.J. Predicting biotic responses to future climate warming with classic ecogeographic rules. Curr. Biol. 2020, 30, R744–R749. [Google Scholar] [CrossRef]
- Naumann, G.; Alfieri, L.; Wyser, K.; Mentaschi, L.; Betts, R.A.; Carrao, H.; Spinoni, J.; Vogt, J.; Feyen, L. Global changes in drought conditions under different levels of warming. Geophys. Res. Lett. 2018, 45, 3285–3296. [Google Scholar] [CrossRef]
- Holtmeier, F.K.; Broll, G. Sensitivity and response of northern hemisphere altitudinal and polar treelines to environmental change at landscape and local Scales. Glob. Ecol. Biogeogr. 2005, 14, 395–410. [Google Scholar] [CrossRef]
- Silva, L.C.R.; Sun, G.; Zhu-Barker, X.; Liang, Q.; Wu, N.; Horwath, W.R. Tree growth acceleration and expansion of alpine forests: The synergistic effect of atmospheric and edaphic change. Sci. Adv. 2016, 2, e1501302. [Google Scholar] [CrossRef] [Green Version]
- Loranger, H.; Zotz, G.; Bader, M.Y. Early establishment of trees at the alpine treeline: Idiosyncratic species responses to temperature-moisture interactions. AoB Plants 2016, 8, plw053. [Google Scholar] [CrossRef] [PubMed] [Green Version]
- Wieser, G.; Oberhuber, W.; Gruber, A. Effects of climate change at treeline: Lessons from space-for-time studies, manipulative experiments, and long-term observational records in the central Austrian alps. Forests 2019, 10, 508. [Google Scholar] [CrossRef] [Green Version]
- Astigarraga, J.; Andivia, E.; Zavala, M.A.; Gazol, A.; Cruz-Alonso, V.; Vicente-Serrano, S.M.; Ruiz-Benito, P. Evidence of non-stationary relationships between climate and forest responses: Increased sensitivity to climate change in Iberian forests. Glob. Chang. Biol. 2020, 26, 5063–5076. [Google Scholar] [CrossRef]
- Zhuang, L.; Axmacher, J.C.; Sang, W. Different radial growth responses to climate warming by two dominant tree species at their upper altitudinal limit on Changbai Mountain. J. For. Res. 2017, 28, 795–804. [Google Scholar] [CrossRef]
- Jiao, L.; Chen, K.; Liu, X.; Qi, C.; Xue, R. Comparison of the response stability of Siberian larch to climate change in the Altai and Tianshan. Ecol. Indic. 2021, 128, 107823. [Google Scholar] [CrossRef]
- Wilmking, M.; Myers-Smith, I. Changing climate sensitivity of black spruce (Picea mariana Mill.) in a peatland-forest landscape in Interior Alaska. Dendrochronologia 2008, 25, 167–175. [Google Scholar] [CrossRef]
- D’Arrigo, R.; Wilson, R.; Liepert, B.; Cherubini, P. On the ‘divergence problem’ in northern forests: A review of the tree-ring evidence and possible causes. Glob. Planet. Chang. 2008, 60, 289–305. [Google Scholar] [CrossRef]
- Zhang, Y.; Guo, M.; Wang, X.; Gu, F.; Liu, S. Divergent tree growth response to recent climate warming of Abies faxoniana at alpine treelines in east edge of Tibetan Plateau. Ecol. Res. 2018, 33, 303–311. [Google Scholar] [CrossRef]
- Suvanto, S.; Nöjd, P.; Henttonen, H.M.; Beuker, E.; Mäkinen, H. Geographical patterns in the radial growth response of Norway spruce provenances to climatic variation. Agric. For. Meteorol. 2016, 222, 10–20. [Google Scholar] [CrossRef] [Green Version]
- Zhang, Y.; Wilmking, M.; Gou, X. Changing relationships between tree growth and climate in Northwest China. Plant Ecol. 2008, 201, 39–50. [Google Scholar] [CrossRef]
- Wilmking, M.; Juday, G.P. Longitudinal variation of radial growth at Alaska’s northern treeline-recent changes and possible scenarios for the 21st century. Glob. Planet. Chang. 2005, 47, 282–300. [Google Scholar] [CrossRef]
- Zhang, Y.; Martin, W. Divergent growth responses and increasing temperature limitation of Qinghai spruce growth along an elevation gradient at the northeast Tibet Plateau. For. Ecol. Manag. 2010, 260, 1076–1082. [Google Scholar] [CrossRef]
- Guo, M.; Zhang, Y.; Liu, S.; Gu, F.; Wang, X.; Li, Z.; Shi, C.; Fan, Z. Divergent growth between spruce and fir at alpine treelines on the east edge of the Tibetan Plateau in response to recent climate warming. Agric. For. Meteorol. 2019, 276–277, 107631. [Google Scholar] [CrossRef]
- Fang, O.; Zhang, Q. Tree resilience to drought increases in the Tibetan Plateau. Glob. Chang. Biol. 2019, 25, 245–253. [Google Scholar] [CrossRef]
- Sorg, A.; Bolch, T.; Stoffel, M.; Solomina, O.; Beniston, M. Climate change impacts on glaciers and runoff in Tien Shan (Central Asia). Nat. Clim. Chang. 2012, 2, 725–731. [Google Scholar] [CrossRef]
- Deng, H.; Chen, Y.; Li, Q.; Lin, G. Loss of terrestrial water storage in the Tianshan mountains from 2003 to 2015. Int. J. Remote Sens. 2019, 40, 8342–8358. [Google Scholar] [CrossRef]
- Wang, T.; Bao, A.; Xu, W.; Yu, R.; Zhang, Q.; Jiang, L.; Nzabarinda, V. Tree-ring-based assessments of drought variability during the past 400 years in the Tianshan Mountains, arid Central Asia. Ecol. Indic. 2021, 126, 107702. [Google Scholar] [CrossRef]
- Li, Q.; Chen, Y.; Shen, Y.; Li, X.; Xu, J. Spatial and temporal trends of climate change in Xinjiang, China. J. Geogr. Sci. 2011, 21, 1007–1018. [Google Scholar] [CrossRef]
- Seneviratne, S.I.; Corti, T.; Davin, E.L.; Hirschi, M.; Jaeger, E.B.; Lehner, I.; Orlowsky, B.; Teuling, A.J. Investigating soil moisture-climate interactions in a changing climate: A review. Earth Sci. Rev. 2010, 99, 125–161. [Google Scholar] [CrossRef]
- Jiao, L.; Jiang, Y.; Wang, M.; Kang, X.; Zhang, W.; Zhang, L.; Zhao, S. Responses to climate change in radial growth of Picea schrenkiana along elevations of the eastern Tianshan Mountains, northwest China. Dendrochronologia 2016, 40, 117–127. [Google Scholar] [CrossRef]
- Xu, W.; Chen, X.; Luo, G.; Zhang, Q.; Lin, Q. Soil properties at the tree limits of the coniferous forest in response to varying environmental conditions in the Tianshan Mountains, northwest China. Environ. Earth Sci. 2011, 63, 741–750. [Google Scholar] [CrossRef]
- Jiao, L.; Jiang, Y.; Zhang, W.; Wang, M.; Wang, S.; Liu, X. Assessing the stability of radial growth responses to climate change by two dominant conifer trees species in the Tianshan Mountains, northwest China. For. Ecol. Manag. 2019, 433, 667–677. [Google Scholar] [CrossRef]
- Zhang, R.; Yuan, Y.; Gou, X.; He, Q.; Shang, H.; Zhang, T.; Ermenbaev, B.; Yu, S.; Qin, L.; Fan, Z. Tree-ring-based moisture variability in western Tianshan Mountains since AD 1882 and its possible driving mechanism. Agric. For. Meteorol. 2016, 218, 267–276. [Google Scholar] [CrossRef]
- Chen, F.; Yuan, Y.; Yu, S.; Zhang, T.; Shang, H.; Zhang, R.; Qin, L.; Fan, Z. A 225-year long drought reconstruction for east Xinjiang based on Siberia larch (Larix sibirica) tree-ring widths: Reveals the recent dry trend of the eastern end of Tien Shan. Quat. Int. 2015, 358, 42–47. [Google Scholar] [CrossRef]
- Yu, S.; Yuan, Y.; Wei, W.; Chen, F.; Zhang, T.; Shang, H.; Zhang, R.; Qing, L. A 352-year record of summer temperature reconstruction in the western Tianshan Mountains, China, as deduced from tree-ring density. Quat. Res. 2013, 80, 158–166. [Google Scholar] [CrossRef]
- Wang, T.; Ren, H.; Ma, K. Climatic signals in tree ring of Picea schrenkiana along an altitudinal gradient in the central Tianshan Mountains, northwestern China. Trees 2005, 19, 736–742. [Google Scholar] [CrossRef]
- Stokes, M.A.; Smiley, T.L. An Introduction to Tree-Ring Dating; University of Chicago Press: Chicago, IL, USA, 1968. [Google Scholar]
- Holmes, R.L. Computer-assisted quality control in tree-ring dating and measurement. Tree-Ring Bull. 1983, 43, 68–78. [Google Scholar]
- Cook, E.R.; Briffa, K.R.; Shiyatov, S.; Mazepa, V. Tree-ring standardization and growth-trend estimation. In Methods of Dendrochronology: Applications in the Environmental Sciences; Kluwer: Dordrecht, The Netherlands, 1990; pp. 104–123. [Google Scholar]
- Zhou, P.; Huang, J.; Liang, H.; Rossi, S.; Bergeron, Y.; Shishov, V.V.; Jiang, S.; Kang, J.; Zhu, H.; Dong, Z. Radial growth of Larix sibirica was more sensitive to climate at low than high altitudes in the Altai Mountains, China. Agric. For. Meteorol. 2021, 304, 108392. [Google Scholar] [CrossRef]
- Shi, C.; Schneider, L.; Hu, Y.; Shen, M.; Sun, C.; Xia, J.; Forbes, B.C.; Shi, P.; Zhang, Y.; Ciais, P. Warming-induced unprecedented high-elevation forest growth over the monsoonal Tibetan Plateau. Environ. Res. Lett. 2020, 15, 054011. [Google Scholar] [CrossRef]
- Siyum, Z.G.; Ayoade, J.O.; Onilude, M.A.; Feyissa, M.T. Climate forcing of tree growth in dry Afromontane Forest fragments of Northern Ethiopia: Evidence from multi-species responses. For. Ecosyst. 2019, 6, 15. [Google Scholar] [CrossRef] [Green Version]
- Holdrege, M.C.; Beard, K.H.; Kulmatiski, A. Woody plant growth increases with precipitation intensity in a cold semiarid system. Ecology 2021, 102, e03212. [Google Scholar] [CrossRef]
- Zheng, P.; Wang, D.; Jia, G.; Yu, X.; Liu, Z.; Wang, Y.; Zhang, Y. Variation in water supply leads to different responses of tree growth to warming. For. Ecosyst. 2022, 9, 100003. [Google Scholar] [CrossRef]
- Fu, Y.H.; Campioli, M.; Deckmyn, G.; Janssens, I.A. Sensitivity of leaf unfolding to experimental warming in three temperate tree species. Agric. For. Meteorol. 2013, 181, 125–132. [Google Scholar] [CrossRef]
- Fonti, P.; Bryukhanova, M.V.; Myglan, V.S.; Kirdyanov, A.V.; Naumova, O.V.; Vaganov, E.A. Temperature-induced responses of xylem structure of Larix sibirica (Pinaceae) from the Russian Altay. Am. J. Bot. 2013, 100, 1332–1343. [Google Scholar] [CrossRef]
- Dusenge, M.E.; Duarte, A.G.; Way, D.A. Plant carbon metabolism and climate change: Elevated CO2 and temperature impacts on photosynthesis, photorespiration and respiration. New Phytol. 2019, 221, 32–49. [Google Scholar] [CrossRef] [Green Version]
- Wu, G.; Liu, X.; Chen, T.; Xu, G.; Wang, W.; Zeng, X.; Wang, B.; Zhang, X. Long-term variation of tree growth and intrinsic water-use efficiency in Schrenk spruce with increasing CO2 concentration and climate warming in the western Tianshan Mountains, China. Acta Physiol. Plant. 2015, 37, 150. [Google Scholar] [CrossRef]
- Liang, E.; Leuschner, C.; Dulamsuren, C.; Wagner, B.; Hauck, M. Global warming-related tree growth decline and mortality on the north-eastern Tibetan plateau. Clim. Chang. 2016, 134, 163–176. [Google Scholar] [CrossRef]
- Wang, T.; Zhang, Q.; Ma, K. Treeline dynamics in relation to climatic variability in the central Tianshan Mountains, northwestern China. Glob. Ecol. Biogeogr. 2006, 15, 406–415. [Google Scholar] [CrossRef]
- Huo, Y.; Gou, X.; Liu, W.; Li, J.; Zhang, F.; Fang, K. Climate-growth relationships of Schrenk spruce (Picea schrenkiana) along an altitudinal gradient in the western Tianshan mountains, northwest China. Trees 2017, 31, 429–439. [Google Scholar] [CrossRef] [Green Version]
- Barber, V.A.; Juday, G.P.; Finney, B.P. Reduced growth of Alaskan white spruce in the twentieth century from temperature-induced drought stress. Nature 2000, 405, 668–673. [Google Scholar] [CrossRef]
- Roibu, C.C.; Sfeclă, V.; Mursa, A.; Ionita, M.; Nagavciuc, V.; Chiriloaei, F.; Leșan, I.; Popa, I. The climatic response of tree ring width components of ash (Fraxinus excelsior L.) and common oak (Quercus robur L.) from Eastern Europe. Forests 2020, 11, 600. [Google Scholar] [CrossRef]
- Mainali, J.; All, J.; Jha, P.K.; Bhuju, D.R. Responses of montane forest to climate variability in the central Himalayas of Nepal. Mt. Res. Dev. 2015, 35, 66–77. [Google Scholar] [CrossRef]
- Wu, G.; Liu, X.; Chen, T.; Xu, G.; Wang, B.; Kang, H.; Li, C.; Zeng, X. The positive contribution of iWUE to the resilience of Schrenk spruce (Picea schrenkiana) to extreme drought in the western Tianshan Mountains, China. Acta Physiol. Plant. 2020, 42, 168. [Google Scholar] [CrossRef]
- Leroy, S.A.; Giralt, S.R. Humid and cold periods in the last 5600 years in Arid Central Asia revealed by palynology of Picea schrenkiana from Issyk-Kul. Holocene 2021, 31, 380–391. [Google Scholar] [CrossRef]
- Zhang, R.; Yuan, Y.; Gou, X.; Zhang, T.; Zou, C.; Ji, C.; Fan, Z.; Shang, H.; Li, X. Intra-annual radial growth of Schrenk spruce (Picea schrenkiana Fisch. et Mey) and its response to climate on the northern slopes of the Tianshan Mountains. Dendrochronologia 2016, 40, 36–42. [Google Scholar] [CrossRef]
- Briffa, K.R.; Schweingruber, F.H.; Jones, P.D.; Osborn, T.J.; Shiyatov, S.G.; Vaganov, E.A. Reduced sensitivity of recent tree-growth to temperature at high northern latitudes. Nature 1998, 391, 678–682. [Google Scholar] [CrossRef]
- Qi, Z.; Liu, H.; Wu, X.; Hao, Q. Climate-driven speedup of alpine treeline forest growth in the Tianshan mountains, northwestern China. Glob. Chang. Biol. 2015, 21, 816–826. [Google Scholar] [CrossRef]
- Linkevičius, E.; Kliučius, A.; Šidlauskas, G.; Augustaitis, A. Variability in Growth Patterns and Tree-Ring Formation of East European Scots Pine (Pinus sylvestris L.) Provenances to Changing Climatic Conditions in Lithuania. Forests 2022, 13, 743. [Google Scholar] [CrossRef]
- Driscoll, W.W.; Wiles, G.C.; D’Arrigo, R.D.; Wilmking, M. Divergent tree growth response to recent climatic warming, Lake Clark National Park and Preserve, Alaska. Geophys. Res. Lett. 2005, 32, L20703. [Google Scholar] [CrossRef] [Green Version]
- Gou, X.; Chen, F.; Yang, M.; Li, J.; Peng, J.; Jin, L. Climatic response of thick leaf spruce (Picea crassifolia) tree-ring width at different elevations over Qilian Mountains, northwestern China. J. Arid Environ. 2005, 61, 513–524. [Google Scholar] [CrossRef]
- Chen, L.; Wu, S.; Pan, T. Variability of climate-growth relationships along an elevation gradient in the Changbai Mountain, northeastern China. Trees 2011, 25, 1133–1139. [Google Scholar] [CrossRef]
Publisher’s Note: MDPI stays neutral with regard to jurisdictional claims in published maps and institutional affiliations. |
© 2022 by the authors. Licensee MDPI, Basel, Switzerland. This article is an open access article distributed under the terms and conditions of the Creative Commons Attribution (CC BY) license (https://creativecommons.org/licenses/by/4.0/).








