Abstract
Plant fitness and species persistence depend on seed quantity and their ability to germinate and produce viable offspring. Although maternal environment can have a great impact on seed quality, few studies are pointing to the transgenerational effect of maternal environment on germination rate and offspring traits. Moreover, global changes connected to nitrogen and phosphorus deposition can also impact plants’ reproductive performance. Here, we collected Taxus baccata L. seeds produced by the same genotype female plants grown in different nutritional regimes. We use them to analyze seed size and the impact of long-term fertilization on germination capacity and offspring traits. Our results show that long-term maternal fertilizer addition increases the ratio of large seeds produced, but at the same time decreases germination capacity compared to control and nonfertilized plants. Moreover, it was demonstrated that maternal environment impacts seed traits and germination rate, and seed mass rather than maternal environment impacts offspring performance. Therefore, the study provides information on how the maternal environment regulates seed traits and germination capacity as well as seedling growth to adapt to increased nitrogen and phosphorus deposition and improves prediction about plants’ response to global environmental changes.
1. Introduction
Nitrogen (N) and phosphorus are essential elements in plant growth, which positively impact the number of seeds and pollen grains, seedlings, and plant growth [1,2,3]. These elements are often described as limited in natural environments, but also forest ecosystems [4,5]. Anthropogenic nitrogen deposition increased significantly due to fossil fuel combustion and fertilizer use in agriculture and, according to predictions, will double by 2050 to reach 200 Tg N ha per year [6]. Higher deposition of nitrogen and other elements in the soil impacts the stability of ecosystems and the stoichiometry of carbon-nitrogen-phosphorus, in grasslands and forests [7,8]. Although the increase in nitrogen in an environment can result in higher biomass allocation in forest trees, its effect is species-specific, and its negative effect should be taken into account, especially in long-term models [9]. Negative nitrogen effects were already observed in the change of species dominance and a reduction of biodiversity grasses, but also in forest undergrowth [10,11,12,13,14]. Changes in global nitrogen-phosphorus cycles affected the nutrients available for plants and therefore observed global changes can further affect plant growth, defense, and also reproduction [15,16].
English yew (Taxus baccata L.) is an evergreen and wind-pollinated gymnosperm tree [17]. It is a dioecious species; thus, male and female strobili are produced by separate plants. Plants of T. baccata are characterized by the presence of a gender-related ecological difference [17,18,19], and female individuals are pointed to as more sensitive than males. Yew is a slowly growing, long-living species with a scattered distribution in Europe which shows insufficient regeneration [20,21,22,23]. Pollen limitation is one of the main reasons for T. baccata fruit abortion [20]; however, recent studies have shown that increased pollen production has not always resulted in good quality pollen grains [3]. Although long-term fertilizer addition positively impacted productivity, it negatively impacted the pollen grains quality of some gymnosperm species [3,24]. Similarly, the positive and negative impact of nitrogen deposition on seed production and quality was observed [25,26], which can indicate the presence of a species-specific response pattern.
The future of the population depends on plants’ responses to environmental changes, and both the quantity and quality of produced seeds. Plasticity allows them to respond to environmental changes by changing vegetative growth, defense, and reproductive potential. Therefore, a trade-off between growth and reproduction is observed, and plants invest part of the available resources into reproduction to ensure the production of numerous viable seeds [15]. There is a need to find an appropriate marker of seed quality that can be easily used to select proper seeds for future use. A good quality seed is a seed that possesses the ability to germinate and produce a viable seedling. Often the size or mass of the seed is pointed to as an indicator of seed quality concerning germination ability and further development [27,28,29,30,31,32,33]. Although plants should produce seeds of similar size within a given population to optimize the local fitness, the seed size is one of the most plastic components of plant life throughout history [31,34] that can change in response to environmental variation [35]. It is also under the control of many genetic and molecular mechanisms [36]. Furthermore, the size of the seeds produced by plants varies between and within the plant species and sometimes even within the same plant [37,38,39,40,41]. Therefore, the usage of seed size or mass criteria needs more attention, especially concerning germination ability and seedling growth.
The relationship between seed size and seedling development has been widely discussed and could be described by three hypotheses: the seedling size effect, the reserve effect, and the metabolic effect [39,42,43]. It has been proposed that larger seeds produce larger seedlings that are more vigorous and likely to survive; larger seeds contain more reserves that can be used for seedling growth and larger seedlings will have relatively slower nutrient consumption and slower relative growth rate during early seedling development. This suggests that seed size can be correlated with the quality of the seedling produced and used as a quality marker. Moreover, it was assumed that large-seeded species tend to perform better under a diversity of adverse environmental conditions [44]. Therefore, a consequence of higher resource storage in seeds could also be a higher likelihood of seed germination and improved seedling development.
The important issue in a global change context is to be able to predict plants’ responses and therefore to be able to control species distribution and plant growth. Plant response to environmental changes is a result of genetic variations and plasticity, which can be, however, subjected to selective pressure [45]. Plants’ adaptations toward environmental conditions in which they grow are called within-generation plasticity, and those towards the environment of their parents are called transgenerational plasticity. Although many studies indicate that maternal effects diminish over time [46,47], the impact of the maternal environment can be especially important in the early stages of next-generation seed development and seedling growth. The effect of the maternal environment can therefore be observed by the quantity and quality of seeds and obtained seedlings. T. baccata female plants produce seeds within a one-year cycle with the base of the strobila developing in the autumn of the previous year [17]. Therefore, due to the long period related to strobili and seed development, the impact of the maternal environment on seeds and seedling performance is very important.
In this study, we conducted a 5-year greenhouse experiment to evaluate the functional influence of long-term fertilization on seed size, seed germination, and offspring performance in Taxus baccata. We addressed the following questions: (1) Does long-term fertilization impact seed quality (seed mass and size) and thus impact germination rate? (2) Maternal environmental experiences or seed size: which has more of an impacts on germination rate and seedling growth? (3) Is there any relationship between seed mass and seedling growth? Therefore, we determined the differences in seed germination and seedling growth parameters, namely dry mass allocation to the belowground and underground parts of the seedling, obtained from seeds collected from Taxus baccata L. vegetatively propagated plants grown in two different nutritional regimes, originating from the same maternal plants. The effect of seed size on germination rate and the correlation between seed size and seedling traits was also analyzed.
2. Materials and Methods
2.1. Experimental Design
We conducted a 5-year maternal experiment with vegetatively propagated Taxus baccata L. female plants grown in two different nutritional regimes and performed an offspring experiment to analyze the impact of long-term fertilizer addition to maternal individuals on seed size and fitness of seedlings. An experiment was designed as presented in Figure 1. Shoots from control trees were rooted and used within the pot experiment. Detailed methodology for experimental design can be found in Pers-Kamczyc et al. [3,26]. Briefly, in 2012, 50 shoots of 10 different mature trees were rooted (we used different genotypes to minimalize the effect of a single genotype on observed plant features); later, an equal number of plants of the same genotype were randomly selected and grown in two different nutritional regimes (with and without fertilizer addition each year from 2013–2016). Each year, half of the plants received Osmocote Exact 5–6 M (ICL, Tel Aviv, Israel) fertilizer that was applied at the recommended dose of 6 g/L and the fertilized plants received 0.75 g N (N-NO3—0.33 g, N-NH4—0.42 g), 0.45 g P2O5, 0.6 g K2O, 0.125 g MgO, and microelements (22.5 mg Fe, 3.0 mg Mn, 1.0 mg B, 2.5 mg Cu, 1.0 mg Mo, 0.75 mg Zn) per liter of soil. The nonfertilized plants were grown without the use of any fertilizer or other supplements. The plants were grown in pots with the same soil type and under all environmental conditions (e.g., water, light). We used up to seven plants generated from 5 different maternal plants per treatment group (in total 60 plants) and an equal number of plants per genotype in both treatment groups (fertilized and nonfertilized) were always used.
Figure 1.
Experimental design.
Open-pollinated seeds produced by the same genotype but grown in different maternal conditions (control tree, fertilized, and nonfertilized plants) were used to describe seed mass and morphometric parameters, germination ability, and seedling growth. We collected all seeds produced by plants. All seeds collected from the same genotype plants grown in the same treatment group were pulled together and treated as biological replicates (Figure 1).
2.2. Seed Size and Morphology
In 2016, we collected mature arils from fertilized and nonfertilized plants and from pot experiments as well as from five control trees. Arils were removed and seeds were cleaned by gently rubbing with fine sand. After rinsing, the seeds were dried to 10% humidity and stored at 3 °C until all seed lots were collected. Individual seeds were scanned (scanner Epson Perfection V700 Photo, Seiko Epson, Tokyo, Japan) and analyzed with WinSEEDLETM Analysis system for seeds (Reagent Instruments Inc., Quebec, QC, Canada) to describe the projected area and curved length and width (measurements followed the object curvature). All measurements in WinSEEDLETM were performed and calculated automatically by the software. Seeds were individually weighted. Therefore, each seed was characterized by the following characteristics: seed mass, projected area, curved length, curved width, and seed mass to projected area ratio. Subsequently, we analyzed the distributions of the seed mass and the seeds were divided into three groups according to the seed size. The seed mass placed within the 1st quartile was described as small, and those of the 4th quartile were described as large, the rest of the seeds were described as medium. The seeds of the experimental plants were divided according to the treatment group and the seed size, whereas seeds from control trees were grown together within each genotype. After analysis, the seeds were stored at 3 °C before the beginning of the stratification procedure.
2.3. Metabolite Profile
GC-MS nontargeted analysis of collected seeds was performed according to Pers-Kamczyc et al. [26] all described in detail, so seeds collected from maternal trees were analyzed at the same time as nonfertilized and fertilized seeds. We analyzed four samples per group, and each time, seeds from the same genotype grown in different treatment groups were analyzed. Ten randomly selected seeds were used as biological samples. Each time, analyses were completed in technical repetitions.
Raw MS data were converted to ABF format and analyzed using MSDial software package v. 3.96. To eliminate the retention time (Rt) shift and determine the retention indexes (RI) for each compound, the alkane series mixture (C-10 to C-36) was injected into the GC-MS system. Identified artifacts (alkanes, column bleed, plasticizers, MSTFA, and reagents) were excluded from further analysis. The obtained normalized results (using the total ion current (TIC) approach and the LOWESS algorithm) were then exported to Excel for preformatting and then used for preformatting and statistical analyses. Analysis was executed by the Laboratory of Mass Spectrometry, Institute of Bioorganic Chemistry, Polish Academy of Sciences, Poznan, Poland.
Then, a data matrix containing feature name (identified compound name), sample information (four biological replicates per sample), and relative abundance (calculated by peak area) was prepared and submitted to MetaboAnalyst (https://www.metaboanalyst.ca/, accessed on 19 January 2021). After that, the data matrix was performed using three categories of normalization, including normalization by median square root data transformation and autoscaling via the online data analysis software MetaboAnalyst embedded algorithm. The differential metabolites were screened by parameters including fold change FC > |2.0|, VIP value > 1, and p-value < 0.05. Then, these candidates were marked for pathway identification to explore their biological roles during seed germination. We performed a comparison between seeds from nonfertilized plants and fertilized plants with seeds from control trees; our previous publication presented a comparison between nonfertilized and fertilized seeds [26].
2.4. Germination Rate and the Ratio of Viable Seeds
The study aimed to analyze the rate of germination and the proportion of viable seeds that could germinate or remain in the soil as a seed soil bank. To analyze the germination rate, the process of stratification started in June 2017. The seeds were subjected to germination, according to the protocol of Suszka [48]. Yew seeds are characterized by deep dormancy. Their germination needs a two-phase stratification in a moist medium (sand and peat, 1:1 by vol.). Its first phase was at a cyclically alternating temperature 15 °C~20 °C (24 + 24 h) and lasted 30 weeks, the second phase lasted around 19 weeks at a constant temperature of 3 °C. Germination requires an alternating temperature 3 °C~20 °C (8/16 h per day). Throughout the stratification period, all seed lots were controlled, ventilated, and humidified, and maintain in the same conditions. Seeds started to have cracked seed coats in May 2018 and were inspected weekly up to the end of August 2018. The seeds were described as germinated when the radical was observed to be twice as long as the seed. Germination capacity was described as the ratio of germinated seeds to the total number of seeds proceeding stratification.
To check the ratio of viable but non-germinating seeds, we controlled the condition of the embryo by cutting (6 November 2018) all remaining seeds that did not germinate even after additional months at 3 °C. After seed harvesting, the embryos are white and as they mature and their color changes to light yellow-green, which is an important feature that allows one to assess the course of the seed maturation process. The seeds were described as viable in two cases, when an emergency radical was observed or when the embryo was intact white or light yellow-green. The proportion of viable seeds was described as the number of viable seeds to all non-germinated seeds that remained in the soil.
2.5. Seedling Growth
The aim of the study was not to follow the process of the seedlings’ development but to investigate resource allocation. Therefore, all germinated seeds possessing radicals twice as long as the seed length were seeded. The seeds were seeded in June 2018 in a 0.5 L pot under the same soil conditions (sand × perlite × peat, 1 × 1 × 3 by vol.). The pots were kept in the same water conditions and grown under the same greenhouse conditions. Furthermore, meteorological conditions (temperature and precipitation) were monitored throughout the year (Figure 2) and the data obtained did not differ from long-term observations [26].
Figure 2.
Meteorological conditions during 2018 in Kórnik, Poland. (a) Mean monthly maximum (red) and minimum (green) values of air temperature (°C). Data presented as a mean with standard deviation; (b) monthly mean of total precipitation (mm).
Afterward, plants were harvested after 3 months (150 days). The harvested material was divided into leaf, stem, and root fractions, and the fresh mass of the needles was determined. The plant material was then oven-dried (65 °C, one week) until a constant weight was established. Total mass, leaf mass ratio (LMR; leaf dry mass divided by total plant dry mass), LDMC (dry mass of a leaf divided by its fresh mass), and root mass ratio (RMR; root dry mass divided by total plant dry mass) were calculated for each individual. In total, 45 seedlings were analyzed; thus, 15 randomly chosen seedlings from the treatment and control groups were selected (Figure 1).
2.6. Statistical Analysis
One-way ANOVA was used to determine the effect of the maternal environment on seed mass and morphometric parameters, germination ratio, and offspring biomass and two-way ANOVA with a full factorial design was used to determine the maternal environment and seed size on seed traits, germination ratio, and seedling performance. All data were presented as a mean with SEM; however, data that presented climatic conditions were presented as a mean with SD. The mean was significantly different at p < 0.05. All the above statistical analyses were performed with JMP 16.0 (SAS Institute Inc., Cary, NC, USA) and all figures were prepared using R algorithms (www.r-project (accessed on 18 February 2021)).
The chi-squared test was used to determine the maternal environmental effect on the percentage of seeds with different seed sizes, and the results were significant at p < 0.05.
Data obtained from a GC-MS description of the metabolites of seeds were also analyzed via principal component analysis and correlation and pattern analyses were performed using MetaboAnalyst 2.0, a comprehensive tool suite for metabolomic data analysis (http://metaboanalyst.ca/ (accessed on 18 September 2021); [49]), following data log10 transformation and scaling manipulations.
All data presented represent the mean ± SE (1 SE). Means were considered significantly different at p < 0.05.
3. Results
3.1. Seed Size and Morphology
In total, we analyzed 1271 seeds and639 were weighed from fertilized plants, whereas 632 were from nonfertilized plants. The median seed mass of all individually weighed seeds was 53.49 mg, and seeds were classified as small when the seed mass was below 48.1 mg, medium when the seed mass ranged between 48.1 and 59.0 mg, and large with a seed mass greater than 59.1 mg. The lightest seed from fertilized plants (maternal fertilizer addition, F seeds) was 18.70 mg and the heaviest was 83.10 mg, whereas seed mass in nonfertilized plants (nonfertilized seed, NF seed) ranged between 15.60 mg and 75.40 mg.
The maternal environment affected the seed mass (p < 0.0001), as well as the seed ratio within the seed size groups (χ2(2, N=1271) = 35.35, p < 0.001). Moreover, interaction between maternal environment and seed size on seed mass was observed (p < 0.0001, Table 1). The maternal environment did not affect the impact ratio of medium seeds (F: 51.02%, 326/639 vs. NF: 48.89%, 309/632, χ2(2, N=1271) = 0.574, p = 0.449). However, fertilized plants produced 0.6× more large seeds (F: 30.20%, 193/639), but also 0.54× fewer small seeds (F: 18.93%, 121/639) than nonfertilized plants (NF: large: 19.46%, 123/632 and small: 31.64%, 200/632, Table 1). Moreover, fertilized plants produced heavier seeds in both groups of large and small seeds compared to nonfertilized counterparts (Table 1).
Table 1.
Long-term maternal treatment-induced changes in seed mass and morphometric parameters according to the seed size classes of Taxus baccata L.
Similarly, maternal fertilizer addition affected the parameters of the seed morphology; therefore, fertilized plants produced seeds with a larger projected area (22.33 ± 0.08 mm2, p < 0.0001), which were longer (6.49 ± 0.01 mm, p < 0.0001) and wider (4.48 ± 0.01 mm, p < 0.0001) than their nonfertilized counterparts (20.69 ± 0.11 mm2, 6.28 ± 0.02 mm, 4.35 ± 0.01 mm, respectively). We also observed an effect of the interaction between maternal fertilizer addition and seed size on seed mass in the projected area (p < 0.0001), curved length (p < 0.0001), and width (p < 0.0001). We observed that small and medium NF seeds had a higher seed mass to projected area ratio compared to F seeds (p < 0.0001); however, the maternal environment did not impact the SMA of large seeds. Analysis of seeds from control trees pointed to a lack of small seeds, so only medium (80.4%, 525/653) and large (19.6%, 128/653) seeds were collected. Medium seeds were characterized by a mean seed mass equaling 51.92 ± 0.17 mg, projected area of 22.06 ± 0.09 mm2, curved length of 6.54 ± 0.02 mm, and curved width of 4.42 ± 0.02 mm, as well as an SMA ratio of 2.39 ± 0.01, whereas large seeds were characterized by values of: 66.36 ± 0.16 mg, 25.71 ± 0.07 mm2, 6.97 ± 0.01 mm, 4.80 ± 0.01 mm, and 2.59 ± 0.01, respectively.
3.2. Effect of the Maternal Environment on the Metabolite Profile of Seeds
In all samples, we detected 194 metabolites using a nontargeted GC-MS metabolomic strategy. Unsupervised PCA and partial least squares-discriminant analysis (PLS-DA) showed separations between treatment groups (Figure 3). Maternal environmental treatment impacted metabolites; thus, PLS-DA analyses showed a clear separation between seeds from fertilized as well as nonfertilized plants when compared to control trees (Figure 3). Although we observed metabolites that could be pointed as significantly different based on fold change (NF vs. tree: 27 upregulated and 15 downregulated; F vs. tree: 46 upregulated and 19 downregulated), according to p-values and VIP score, they were not treated as differentiated metabolites.
Figure 3.
Results of the metabolome data analysis of dry seeds collected from Taxus baccata L. plants grown in fertilized (green) and nonfertilized (red) conditions compared to control tree (blue). (a,c) Principal component analysis scores plot between selected principal components (PC). The explained variances are shown in brackets; (b,d) partial least squares-discriminant analysis (PLS-DA)—plot between the selected components. The explained variances are shown in brackets.
We did not identify differential metabolites between seed control trees and fertilized or nonfertilized plants, nor between fertilized and nonfertilized plants as previously described [26]. Hierarchical dendrogram analysis shows that both the genotype and the maternal environment can change the metabolome of seeds. We observed that all analyzed genotypes behave in the same manner when mature maternal control trees and nonfertilized plants were compared. The metabolome of plants possessing the same genotype was clustered together as the two closest clusters and each genotype generated individual clusters (Figure 4a). The effects of the maternal environment are also presented (Figure 4b). The dissimilarity between the metabolomes of the seeds collected from the maternal control trees and seeds collected from the same genotype but grown with the addition of fertilizer is shown; therefore, two main clusters were generated: one for the control trees and one for the fertilized plant seeds. However, when the metabolomes of seeds collected from fertilized and nonfertilized plants were compared, there was no unique influence of genotype and/or environment (Figure 4c).
Figure 4.
Dendrograms of the metabolome of (a) seeds from nonfertilized plants vs. seeds collected from a maternal control tree; (b) seeds from fertilized plants vs. seeds collected from a maternal control tree; (c) seeds from fertilized plants vs. seeds from nonfertilized plants, generated by MetaboAnalyst 4.0 (https://www.metaboanalyst.ca, accessed on 18 September 2021) with Euclidean distances and ward.D algorithm.
3.3. Germination Capacity
In total, we used 1838 seeds for stratification; therefore, we had 625 F seeds, 595 NF seeds, and 618 control seeds. The seeds proceeded with the stratification process and started to germinate after 18 weeks of the cold stratification phase.
Seed origin impacted the seeds’ germination rate (Figure 5). Seeds from all groups (experimental and control) started to germinate at the same time; however, about twice fewer seeds from experimental plants could be classified as germinated seeds compared to seeds collected from control trees. Long-term maternal fertilizer addition significantly decreased the germination rate by 13.04% (F: 68.64%, 429/625; χ2(2, N=1838) = 130.19, p < 0.001) compared to seeds from nonfertilized plants (NF: 81.68%, 486/595) and by 25.2% compared to seeds from control trees (T: 93.46%, 580/618) (Figure 5a, χ2(2, N=1271) = 35.35, p < 0.001). Those differences were observed throughout the whole monitored period (Figure 5c).
Figure 5.
Seed germination capacity and rate: (a) effect of the maternal environment (fertilized—maternal fertilizer addition; nonfertilized—lack of maternal fertilizer addition; tree—mature maternal tree); (b) effect of seed size and maternal environment (green—maternal fertilizer addition; red —lack of maternal fertilizer addition). Data were presented as a mean with a standard error of the mean; (c) changes induced by maternal fertilizer addition and seed size in seed cumulative germination rate (%).
Although the size of the seed was affected by the maternal environment, we did not observe the effect of the seed size on the germination rate (p = 0.586) nor the interaction between the maternal environment and the size of the seed (P(DF=2, F=0.54) = 0.589) (Figure 5b). However, we observed that seed size impacted the timing of germination (Figure 5c). A similar seed germination pattern related to seed size was observed; thus, the value of the germination ratio decreases as follows: medium, small, and large seeds, regardless of maternal fertilizer experiences.
Maternal seed origin impacted viable seed ratio (χ2(2, N=343) =19.99, p < 0.001). Although the seeds from the maternal fertilizer addition group were numerous, those seeds had the lowest ratio of viable seeds (58.67%, 115/196). Furthermore, nonfertilized (83.48%, 91/109) as well as control (71.05%, 27/38) seeds, were characterized by a high percentage of viable but non-germinated seeds among all remaining seeds at the end of the experiment. Similarly, when all germinated seeds and viable seeds within the group were summed, control seeds (98.22%, 607/618) and nonfertilized seeds (96.97%, 577/595) had similar ratios of potentially germinating seeds, which were significantly higher compared to fertilized seeds (87.04%, 544/625) (χ2(2, N=1838) = 1420.52, p < 0.001).
3.4. Seedlings Traits
The origin of the seeds affected some of the traits of the offspring; however, there were no differences in leaf mass ratio (p = 0.644) nor the root mass ratio (p = 0.674), as well as LDMC (p = 0.126), shoot-to-root ratio (p = 0.613), and total dry mass (p = 0.078) between the seedlings of NF and F seeds, compared to the control seedlings (Figure 6). Seed origin was related to the seedlings’ aboveground mass (p = 0.016) and needle dry mass (p = 0.058). We observed a decrease of about 28% in seedlings’ aboveground mass as well as needle dry mass in nonfertilized (43.98 ± 3.76 mg and 25.60 ± 2.83 mg) and fertilized (44.18 ± 4.02 mg and 25.99 ± 2.64 mg) seedlings compared to control seedlings (59.20 ± 4.17 mg and 34.50 ± 2.93 mg).
Figure 6.
Maternal long-term-induced changes in offspring growth parameters (±SEM) and proportional biomass allocation of English yew (Taxus baccata L.). Seedlings were developed from seeds produced by female clone plants grown under different long-term nutritional conditions (green—fertilized, red—nonfertilized) and mature control trees (blue). (a) Aboveground dry mass (mg) per seedling; (b) needle dry mass (mg) per seedling; (c) root dry mass (mg) per seedling; (d) seedling dry mass (mg) per seedling; (e) LDMC—the dry mass of a leaf divided by its fresh mass; (f) LMR—leaf dry mass divided by total plant dry mass; (g) RMR—root dry mass divided by total plant dry mass; (h) root-to-shoot ratio—root dry mass divided by aboveground dry mass. Measurements were taken at the end of the experiment after 150 days of growth. Different letters indicate statistical significant differences between means.
Maternal fertilizer addition had no effect on offspring performance; thus, NF and F seedlings had a similar total dry mass (p= 0.860), root dry mass (p = 0.821) and aboveground dry mass (p = 0.636), as well as similar leaf (p = 0.945) and root mass ratio (p = 0.562) and root-to-shoot ratio (p = 0.570) (Figure 2 and Figure 3).
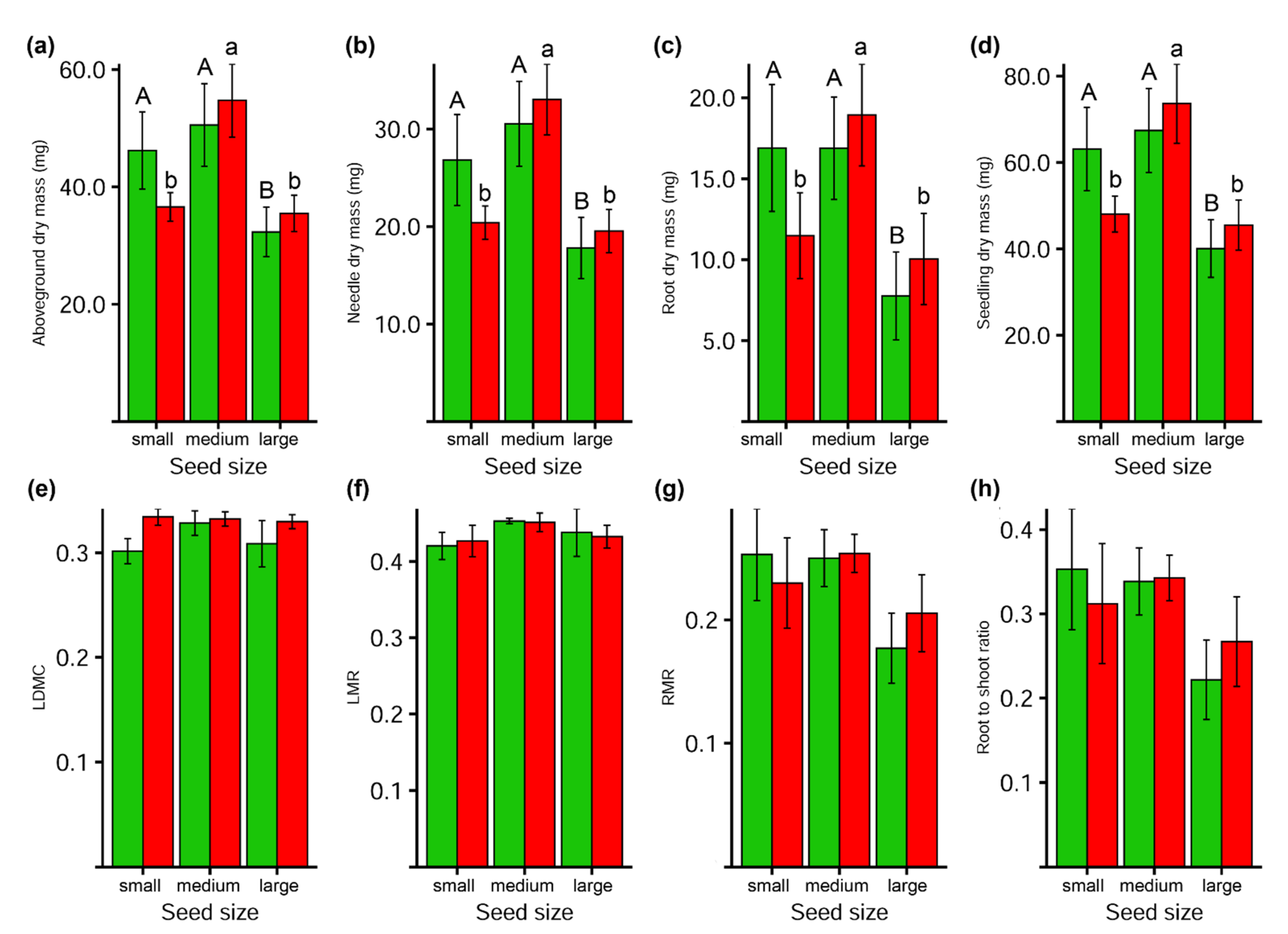
Analysis of biomass allocation of F and NF seedlings revealed that biomass allocation was not related to the maternal environment, but to seed mass (Figure 6 and Figure 7). We observed a significant impact of seed size on the dry mass of the root (p = 0.017), total dry mass (p = 0.001), dry aboveground mass (p = 0.001), and the dry mass of the needle (p = 0.001). Seedlings produced from medium seeds were similar to seedlings produced from small seeds but had 0.6× greater total dry mass, 0.5× greater root dry mass, and 0.6× greater aboveground dry mass compared to seedlings produced from large seeds. There was no effect of seed size on seedlings’ RMR (p = 0.115), LMR (p = 0.356), and LDMC (p = 0.404) as well as the root-to-shoot ratio (p = 0.168).
Figure 7.
Maternal long-term-induced changes in offspring growth parameters and proportional biomass allocation of English yew (Taxus baccata L.) concerning seed size classes (small, medium, and large). Seedlings developed from seeds produced by female clone plants grown in different long-term nutritional conditions (green—fertilized, red—nonfertilized). (a) Aboveground dry mass (mg) per seedling; (b) needle dry mass (mg) per seedling; (c) root dry mass (mg) per seedling; (d) seedling dry mass (mg) per seedling; (e) LDMC—the dry mass of a leaf divided by its fresh mass; (f) LMR—leaf dry mass divided by total plant dry mass; (g) RMR—root dry mass divided by total plant dry mass; (h) root-to-shoot ratio—root dry mass divided by aboveground dry mass. Measurements were taken at the end of the experiment after 150 days of growth. Data are presented as a mean with a standard error of the mean. Different letters within the seed size classes of the same nutritional conditions indicate the statistical significant differences between means.
4. Discussion
In this study, we showed that, under experimental conditions, the direction of selection on seed size in T. baccata was influenced by long-term maternal fertilizer addition that acted via germination ability and seedling growth.
The maternal environment has an impact on the quantity and quality of seeds and therefore can play an important role on seedling performance and the future stability of the population [50]. Our data confirm the impact of the maternal environment on seed size; therefore, asymmetry in seed size was observed. An increase in large seed ratio produced by fertilized Taxus baccata plants was observed as well as an increase in smaller seed ratio produced by nonfertilized plants, whereas all of the seeds collected from control trees belonged to medium and large seed size groups, without any small seeds (Table 1). Moreover, in our recent study, fertilized plants were characterized by lower seed efficiency and differences in plant growth [18,19,26,51]. These data are in line with the available resource allocation theory, which indicates that plants invest the available resources in growth, defense, and reproduction [15]. They nicely follow the optimal balance between size and number of offspring [52] that larger seeds are produced at the cost of seed number [11,26].
More importantly, this study demonstrated that the seed size of the T. baccata seeds is related to the germination time and the germination rate, especially when the maternal environment is taken into account (Figure 5). Generally, smaller seeds germinate faster and this provides a greater competitive advantage in the early successional stages. Germination was first started with small seeds, then medium, and in the end, with large seeds, regardless of the addition of maternal fertilizer. It was assumed that seed size is related to seed coat thickness and water absorption, and therefore small seeds are more water-permeable [31] and germinate faster than large seeds [53,54]. This pattern of germination can also be related to the ratio of the mass of the seeds to the projected area, which increased in the same order as the evidence of germination. It may suggest that the SMA ratio can be used to justify the variation in germination time between seed size classes in T. baccata, similar to Copaifera langsdorffi [31]. Larger seeds are generally associated with a higher germination potential [28] due to higher allocation of resources in seeds and better seedling performance [55]. Our results are partially in line; thus, large but also medium and even small seeds of nonfertilized T. baccata plants were characterized by a higher cumulative germination rate, compared to fertilized counterparts. This can be related to a better accumulation of resources (higher values of the SMA ratio) in seeds produced by nonfertilized plants. This could be also related to nitrogen accumulation in seeds produced by fertilized plants; the higher content of nitrogen was connected with a lower germination capacity of J. communis seeds [56]. However, according to our previously published data [26], T. baccata seeds of both groups had similar levels of nitrogen and phosphorus as well as C-N and N-P ratios. It has to be mentioned that analyses were completed on randomly selected seeds without relation to their size. Moreover, although we did not observe statistical differences in metabolites profile, we noticed some up- and downregulated metabolites due to different nutrient availability. Our main goal was to compare nonfertilized and fertilized plants; thus, they were produced by “younger” and smaller plants compared to the control trees. However, this allows us to highlight the maternal effect on the seed metabolome. The environmental impact on the seed metabolome is stronger than the effect of genotype, so plants from the same genotype grown in fertilized conditions clustered in two groups (Figure 4b). This was also confirmed by plants of the same genotypes clustering together when grown in similar conditions (Figure 4a). Future studies are needed to explain the long-term fertilizer impact on the seed metabolome as well as seed germination and seedling development.
Moreover, when we analyzed the total germination rate with seed size and maternal environment taken into account, we observed the following pattern of decreased germination rates in nonfertilized seeds: large, small, and medium seeds and, as if reflected in a mirror, the pattern of fertilized seeds: medium, small, and large seeds. The seed germination of Taxus baccata was affected by long-term maternal fertilizer addition. We noticed that the germination rate of seeds from nonfertilized and control trees was higher than from seeds produced by fertilized plants. In addition, maternal fertilizer addition resulted in a decrease in the ratio of viable seeds and, finally, in a decrease in seedling recruitment. Variation in seed size and its impact on germination rate and time can be associated with different seed performances between habitats [30,31,57]. In transient habitats, smaller seeds that germinate earlier are favored, whereas in predictable, stable habitats, larger seeds with more reserves are favored. The data suggest the presence of transgenerational plasticity of seed size and the germination ability in Taxus baccata.
Seed size is a functional trait and is related to offspring fitness and survival. Its effect on seedling performance is highly variable; light conditions [27], nutrient availability, and other factors can affect seedling growth [1]. According to the hypothesis of the reserve effect, it is assumed that large seeds tend to produce larger seedlings, so extra reserves improve seedling growth [39,42,43]. It is assumed that seedlings from larger seeds have an advantage over small seeds, so they could store more nutrients that can be used to further develop seedlings [58]. The functional relationship between the seed mass of Quercus and the performance of the seedlings was observed; therefore, the correlation between the seed mass and the mass of the seedlings increased in the shade [29]. This indicates that seed size and stored reserves can be important in unfavorable conditions. In addition, a larger seed of Castanea sativa Mill produced a larger seedling growth; however, seed size did not affect the germination rate [32]. On the other hand, small seeds require less time to start germination than larger seeds, so they can produce seedlings earlier and colonize the area [59].
Seedling development depends on the development of leaves and roots that allow their resources to be acquired and stored in seeds (carbon, nitrogen, and phosphorus), which are fully available for developing seedlings. Seed size plays an important role in the dynamics of seedling growth, which was indicated by Maskova and Herben [60]. It was proposed that greater seed size is an adaptation to the fast development of shoots, a trait that may be highly beneficial in a nutrient-rich and productive environment. We observed that medium seedlings of T. baccata have a better ability to produce better quality seedlings regardless of the maternal fertilizer addition compared to small or large seeds. Moreover, although seedlings obtained from the seeds of fertilized trees had similar a RMR and root-to-shoot ratio compared to nonfertilized and control plants, they had lower biomass allocation, both to aboveground as well as belowground seedling parts, which can indicate that the seedlings’ growth rate was slowed down or stopped when plants reached a size sufficient enough to allow them to survive in the enriched environment. It could also indicate that nonfertilized seedlings are better adapted to environmental conditions by higher biomass allocations, which could produce more energy due to a greater photosynthetic apparatus. Our observations are partially in line with those discussing the impact of seed size on the dynamic of seedling growth [60], and confirm that the production of seeds of larger sizes can be an adaptation to fast shoot development, a trait that may be highly beneficial in a nutrient-rich and productive environment; however, this was observed for seeds of nonfertilized plants. Nevertheless, the presented data also point to the possible impact of nitrogen deposition on biomass allocation by plants into the higher biomass production into the aboveground part of plants, but not into the root. A similar effect was observed in forests, where a significant impact of nitrogen deposition on the resource allocation to aboveground biomass was observed [9,61]. Those observed changes within biomass allocation could be related to evidence of uprooting trees, especially those grown in an area with higher N deposition, where enhanced plant growth due to climate warming can also be observed.
Although carbon and nitrogen are important elements during seedling development [62], seed N concentration and content are key proxies for seed quality and further reproductive success [63,64]. It should be underlined that nitrogen addition also had a positive impact on sexual reproduction and seedling growth [65], as well as on seed productivity [26] and pollen productivity [3,24]. However, nitrogen accumulation in seeds can harm seedling growth [56] and the germination ability of pollen grains [3,24].
We observed a significant decrease in the germination rate of fertilized seeds regardless of seed size, but we did not observe the negative impact of maternal fertilizer addition on seedling growth parameters under similar greenhouse environmental conditions. However, though proportionally more seeds from fertilized plants were classified as large seed class and large-seeded seedlings had significantly lower aboveground mass and root dry mass, it can be assumed that long-term fertilizer addition could decrease seedling performance in general. Unfortunately, we were not able to analyze the seedlings’ survival; thus, some of the seedlings were accidentally destroyed when grown under the greenhouse. Additionally, chemical composition related to seed size was not described in this study since it would significantly decrease the number of seeds for germination tests; however, according to optimal resource allocation, chemical composition of seeds should be similar in the same environment [52]. According to our previous study, we assumed that the seeds of T. baccata were characterized by similar C and N content, as well as C-N ratio and resources; therefore, there was no effect of maternal fertilizer addition on the C-N ratio and profile of primary metabolites in seeds produced by genetically identical, vegetatively propagated plants grown under different nutritional conditions [26]. However, this finding should be taken with caution, since large seeds of the herb Phytolacca americana were characterized by an increased C-N ratio and a decrease in N content compared to small seeds [66]. Additionally observed was a significant effect of long-term maternal fertilizer addition on the chemical composition of seeds produced by fertilized plants of Juniperus communis. Those plants produced heavier seeds characterized by a decreased C-N ratio and increased N content compared to their nonfertilized counterparts [26]. Similarly, N deposition led to an increase in total N content and a decrease in the C:N ratio in the seeds of herb the Anemona nemorosa [67]. Moreover, it has to be mentioned that we observed the effect of maternal environment and genotype on seeds’ primary metabolites, so samples from the same genotype or maternal environment were closely clustered. Therefore, the observed lower germination rate of fertilized seeds compared to nonfertilized seeds may be a result of other factors, e.g., secondary metabolites, accumulated mRNAs, and/or proteins or others [36,68,69].
Our results are in agreement with those suggesting the negative impact of nitrogen deposition on J. communis seed quality and seedling viability [25,70]. A similar negative impact of fertilizer addition on seed viability was observed in Kosteletzkya pentacarpos [64], where seed germination was reduced by 20%. Long-term fertilizer addition of nitrogen also resulted in an increase in nitrogen content in Anemone nemorosa seeds [67] but also reduced forest cover of many species in a beech forest (Anemone nemorosa, Maianthemum bifolium, Oxalis acetosella, Poa nemoralis, and Viola rivaniana) and flowering frequency in Anemone nemorosa (1.5×) and Dentaria bulbifera (2.7×) [14]. Those observations are in agreement with the negative effect of anthropogenic deposition of minerals in ecosystems [10,71]. Atmospheric N deposition was pointed out as a critical factor in reducing terrestrial plant species richness; thus, an average of 16% reduction in plant species richness due to N enrichment was observed [10]. As reviewed by Bobbink et al. [11], nitrogen deposition can negatively affect many terrestrial ecosystems. Seed germination can be influenced negatively by nutrients, especially nitrogen, due to significantly decreased soil pH [71]. This can further result in depressed germination due to decreased nutrient availability and therefore impact the availability of mineral ions. However, the negative impact of nitrogen can result from its impact on soil microbial content and animals and their negative effect on seeds [2]. However, although there are different hypotheses related to the negative impact of nitrogen deposition on seed germination and seedling survival in natural stands, all seeds collected in this study were sown in the greenhouse pot environment conditions with the same light, soil, and amount of water. Therefore, all negative impacts of nitrogen deposition in soil was negligible, but we still observed a lower germination rate of T. baccata seeds from long-term fertilized plants. This suggests that other factors can have an impact on T. baccata germination and seedling growth and future research should be performed to understand nitrogen’s impact on plants’ cell physiology at the molecular level (e.g., transcriptome, proteome, or metabolome) [4].
5. Conclusions
Taxus baccata L. is a slowly growing and engaged species with regeneration problems; therefore, seed performance and germination rate, as well as seedling performance, are very important in the context of ongoing environmental changes. We found that long-term maternal fertilizer addition significantly affected the seed traits of T. baccata and offspring performance. Maternal fertilizer addition increased the seed size and the seed mass, as well as the percentage of large seeds produced by fertilized plants. However, this simultaneously led to a decrease in the germination rate, which in consequence could affect the regeneration of seedlings under the canopy. Seed size, rather than maternal environment, impacted offspring performance; thus, seedlings from medium seeds produced seedlings with greater biomass. Our findings show that seed germination is sensitive to nutrient availability (mainly N and P), and environmental N enrichment can be a cause of decreased seedling density and reduction or even loss of species in a natural population.
According to our results, when seeds from the same species are considered, seedlings’ performance depends on both the maternal environment (e.g., fertilizer additions) and seed size. Our findings suggest that the effect of environmental nutritional enrichment can have a transgenerational effect on this plant species. These findings also indicate that the maternal environmental effect should be considered in models that describe vegetation dynamics in response to environmental changes.
Author Contributions
Conceptualization, methodology, formal analysis, supervision, project administration, funding acquisition, investigation, and resources, E.P.-K.; seeds stratification, J.S.; data curation and visualization, E.P.-K.; writing—original draft preparation, E.P.-K.; writing—review and editing, J.S. All authors have read and agreed to the published version of the manuscript.
Funding
This research was funded by National Science Centre, grant number 2019/03/X/NZ8/01887 and the statutory research financed by the Institute of Dendrology, Polish Academy of Sciences.
Institutional Review Board Statement
Not applicable.
Informed Consent Statement
Not applicable.
Data Availability Statement
The dataset analyzed during the current study are available from the corresponding author on reasonable request.
Acknowledgments
Authors would like to thank M. Łuczak for her enthusiastic technical assistance during seed analysis.
Conflicts of Interest
The authors declare no conflict of interest. The funders had no role in the design of the study; in the collection, analyses, or interpretation of data; in the writing of the manuscript; or in the decision to publish the results.
References
- Marschner, H. Mineral Nutrition of Higher Plants, 2nd ed.; Academic Press: London, UK, 1995. [Google Scholar]
- Bogdziewicz, M.; Crone, E.E.; Steele, M.A.; Zwolak, R. Effects of nitrogen deposition on reproduction in a masting tree: Benefits of higher seed production are trumped by negative biotic interactions. J. Ecol. 2017, 105, 310–320. [Google Scholar] [CrossRef]
- Pers-Kamczyc, E.; Iszkuło, G.; Rabska, M.; Wrońska-Pilarek, D.; Kamczyc, J. More isn’t always better—The effect of environmental nutritional richness on male reproduction of Taxus baccata L. Environ. Exp. Bot. 2019, 162, 468–478. [Google Scholar] [CrossRef]
- Guignard, M.S.; Leitch, A.R.; Acquisti, C.; Eizaguirre, C.; Elser, J.J.; Hessen, D.O.; Jeyasingh, P.D.; Neiman, M.; Richardson, A.E.; Soltis, P.S.; et al. Impacts of nitrogen and phosphorus: From genomes to natural ecosystems and agriculture. Front. Ecol. Evol. 2017, 5, 70. [Google Scholar] [CrossRef] [Green Version]
- Braun, S.; Thomas, V.F.D.; Quiring, R.; Flückiger, W. Does nitrogen deposition increase forest production. The role of phosphorus. Environ. Pollut. 2010, 158, 2043–2052. [Google Scholar] [CrossRef]
- Galloway, J.N.; Aber, J.D.; Erisman, J.W.; Seitzinger, S.P.; Howarth, R.W.; Cowling, E.B.; Cosby, B.J. The nitrogen cascade. Bioscience 2003, 53, 341–356. [Google Scholar] [CrossRef]
- Maaroufi, N.I.; De Long, J.R. Global change impacts on forest soils: Linkage between soil biota and carbon-nitrogen-phosphorus stoichiometry. Front. For. Glob. Chang. 2020, 3, 16. [Google Scholar] [CrossRef] [Green Version]
- Mao, W.; Felton, A.J.; Zhang, T. Linking changes to intraspecific trait diversity to community functional diversity and biomass in response to snow and nitrogen addition within an inner Mongolian grassland. Front. Plant Sci. 2017, 8, 339. [Google Scholar] [CrossRef] [Green Version]
- Etzold, S.; Ferretti, M.; Reinds, G.J.; Solberg, S.; Gessler, A.; Waldner, P.; Schaub, M.; Simpson, D.; Benham, S.; Hansen, K.; et al. Nitrogen deposition is the most important environmental driver of growth of pure, even-aged and managed European forests. For. Ecol. Manag. 2020, 458, 117762. [Google Scholar] [CrossRef]
- Soons, M.B.; Hefting, M.M.; Dorland, E.; Lamers, L.P.M.; Versteeg, C.; Bobbink, R. Nitrogen effects on plant species richness in herbaceous communities are more widespread and stronger than those of phosphorus. Biol. Conserv. 2017, 212, 390–397. [Google Scholar] [CrossRef]
- Bobbink, R.; Hicks, K.; Galloway, J.; Spranger, T.; Alkemade, R.; Ashmore, M.; Bustamante, M.; Cinderby, S.; Davidson, E.; Dentener, F.; et al. Global assessment of nitrogen deposition effects on terrestrial plant diversity: A synthesis. Ecol. Appl. 2010, 20, 30–59. [Google Scholar] [CrossRef] [Green Version]
- Bobbink, R. Plant Species Richness and the Exceedance of Empirical Nitrogen Critical Loads: An Inventory; Utrecht University, Faculty of Biology: Utrecht, The Netherlands, 2004. [Google Scholar]
- Velthof, G.; Barot, S.; Bloem, J.; Butterbach-Bahl, K.; de Vries, W.; Kros, J.; Lavelle, P.; Olesen, J.E.; Oenema, O. Nitrogen as a threat to European soil quality. In The European Nitrogen Assessment. Sources, Effects and Policy Perspectives; Cambridge University Press: Cambridge, UK, 2011; pp. 495–510. [Google Scholar] [CrossRef]
- Falkengren-Grerup, U. Effects on beech forest species of experimentally enhanced nitrogen deposition. Flora 1993, 188, 85–91. [Google Scholar] [CrossRef]
- Obeso, J.R. The costs of reproduction in plants. New Phytol. 2002, 155, 321–348. [Google Scholar] [CrossRef]
- Bazzaz, F.A.; Chiariello, N.R.; Coley, P.D.; Pitelka, L.F. Resources to allocating defense and new assessments of the costs and benefits of allocation patterns in plants are relating ecological roles to resource use. Bioscience 1987, 37, 58–67. [Google Scholar] [CrossRef] [Green Version]
- Thomas, P.A.; Polwart, A. Taxus baccata. J. Ecol. 2003, 91, 489–524. [Google Scholar] [CrossRef]
- Nowak, K.; Giertych, M.J.; Pers-Kamczyc, E.; Thomas, P.A.; Iszkuło, G. Rich but not poor conditions determine sex-specific differences in growth rate of juvenile dioecious plants. J. Plant Res. 2021, 134, 947–962. [Google Scholar] [CrossRef]
- Robakowski, P.; Pers-Kamczyc, E.; Ratajczak, E.; Thomas, P.A.P.A.; Ye, Z.-P.P.; Rabska, M.; Iszkuło, G. Photochemistry and antioxidative capacity of female and male Taxus baccata L. acclimated to different nutritional environments. Front. Plant Sci. 2018, 9, 742. [Google Scholar] [CrossRef]
- Sanz, R.; Pulido, F. Pollen limitation and fruit abortion in a declining rare tree, the Eurasian yew (Taxus baccata L.): A reproductive cost of ecological marginality. Plant Biosyst.—Int. J. Deal. All Asp. Plant Biol. 2015, 149, 818–826. [Google Scholar] [CrossRef]
- Iszkuło, G.; Pers-Kamczyc, E.; Nalepka, D.; Rabska, M.; Walas, Ł.; Dering, M. Postglacial migration dynamics helps to explain current scattered distribution of Taxus baccata. Dendrobiology 2016, 76, 81–89. [Google Scholar] [CrossRef]
- Vencurik, J.; Bosela, M.; Sedmáková, D.; Pittner, J.; Kucbel, S.; Jaloviar, P.; Parobeková, Z.; Saniga, M. Tree species diversity facilitates conservation efforts of European yew. Biodivers. Conserv. 2019, 28, 791–810. [Google Scholar] [CrossRef]
- Iszkuło, G. Success and failure of endangered tree species: Low temperatures and low light availability affect survival and growth of european yew (Taxus baccata L.) seedlings. Polish J. Ecol. 2010, 58, 259–271. [Google Scholar]
- Pers-Kamczyc, E.; Tyrała-Wierucka, Ż.; Rabska, M.; Wrońska-Pilarek, D.; Kamczyc, J. The higher availability of nutrients increases the production but decreases the quality of pollen grains in Juniperus communis L. J. Plant Physiol. 2020, 248, 153156. [Google Scholar] [CrossRef] [PubMed]
- Gruwez, R.; De Frenne, P.; De Schrijver, A.; Leroux, O.; Vangansbeke, P.; Verheyen, K. Negative effects of temperature and atmospheric depositions on the seed viability of common juniper (Juniperus communis). Ann. Bot. 2014, 113, 489–500. [Google Scholar] [CrossRef] [Green Version]
- Pers-Kamczyc, E.; Mąderek, E.; Kamczyc, J. Seed quantity or quality?—Reproductive responses of female of two dioecious woody species to long term-fertilisation. Int. J. Mol. Sci. 2022, 23, 3187. [Google Scholar] [CrossRef]
- Poorter, L.; Rose, S.A. Light-dependent changes in the relationship between seed mass and seedling traits: A meta-analysis for rain forest tree species. Oecologia 2005, 142, 378–387. [Google Scholar] [CrossRef]
- Domic, A.I.; Capriles, J.M.; Camilo, G.R. Evaluating the fitness effects of seed size and maternal tree size on Polylepis tomentella (Rosaceae) seed germination and seedling performance. J. Trop. Ecol. 2020, 36, 115–122. [Google Scholar] [CrossRef]
- Quero, J.L.; Villar, R.; Marañón, T.; Zamora, R.; Poorter, L. Seed-mass effects in four Mediterranean Quercus species (Fagaceae) growing in contrasting light environments. Am. J. Bot. 2007, 94, 1795–1803. [Google Scholar] [CrossRef] [Green Version]
- Larios, E.; Venable, D.L. Selection for seed size: The unexpected effects of water availability and density. Funct. Ecol. 2018, 32, 2216–2224. [Google Scholar] [CrossRef]
- Souza, M.L.; Fagundes, M. Seed size as key factor in germination and seedling development of Copaifera langsdorffii (Fabaceae). Am. J. Plant Sci. 2014, 5, 2566–2573. [Google Scholar] [CrossRef] [Green Version]
- Tumpa, K.; Vidaković, A.; Drvodelić, D.; Šango, M.; Idžojtić, M.; Perković, I.; Poljak, I. The effect of seed size on germination and seedling growth in sweet chestnut (Castanea sativa mill.). Forests 2021, 12, 858. [Google Scholar] [CrossRef]
- Saatkamp, A.; Cochrane, A.; Commander, L.; Guja, L.K.K.; Jimenez-Alfaro, B.; Larson, J.; Nicotra, A.; Poschlod, P.; Silveira, F.A.O.; Cross, A.T.T.; et al. A research agenda for seed-trait functional ecology. New Phytol. 2019, 221, 1764–1775. [Google Scholar] [CrossRef] [PubMed] [Green Version]
- Bennett, E.; Roberts, J.A.; Wagstaff, C. Manipulating resource allocation in plants. J. Exp. Bot. 2012, 63, 3391–3400. [Google Scholar] [CrossRef] [Green Version]
- Soper Gorden, N.L.; Winkler, K.J.; Jahnke, M.R.; Marshall, E.; Horky, J.; Huddelson, C.; Etterson, J.R. Geographic patterns of seed mass are associated with climate factors, but relationships vary between species. Am. J. Bot. 2016, 103, 60–72. [Google Scholar] [CrossRef] [Green Version]
- Li, N.; Li, Y. Signaling pathways of seed size control in plants. Curr. Opin. Plant Biol. 2016, 33, 23–32. [Google Scholar] [CrossRef]
- Wu, H.; Meng, H.; Wang, S.; Wei, X.; Jiang, M. Geographic patterns and environmental drivers of seed traits of a relict tree species. For. Ecol. Manage. 2018, 422, 59–68. [Google Scholar] [CrossRef]
- Moles, A.T.; Westoby, M. Seed size and plant strategy across the whole life cycle. Oikos 2006, 113, 91–105. [Google Scholar] [CrossRef]
- Gómez, J.M. Bigger is not always better: Conflicting selective pressures on seed size in Quercus ilex. Evolution 2004, 58, 71–80. [Google Scholar] [CrossRef]
- Kołodziejek, J. Effect of seed position and soil nutrients on seed mass, germination and seedling growth in Peucedanum oreoselinum (Apiaceae). Sci. Rep. 2017, 7, 1959. [Google Scholar] [CrossRef]
- Michaels, H.J.; Benner, B.; Hartgerink, A.P.; Lee, T.D.; Rice, S.; Willson, M.F.; Bertin, R.I. Seed size variation: Magnitude, distribution, and ecological correlates. Evol. Ecol. 1988, 2, 157–166. [Google Scholar] [CrossRef] [Green Version]
- Westoby, M.; Jurado, E.; Leishman, M. Comparative evolutionary ecology of seed size. Trends Ecol. Evol. 1992, 7, 368–372. [Google Scholar] [CrossRef]
- Moles, A.T.; Westoby, M. Seedling survival and seed size: A synthesis of the literature. J. Ecol. 2004, 92, 372–383. [Google Scholar] [CrossRef]
- Milberg, P.; Lamont, B.B. Seed/cotyledon size and nutrient content play a major role in early performance of species on nutrient-poor soils. New Phytol. 1997, 137, 665–672. [Google Scholar] [CrossRef] [Green Version]
- Gratani, L. Plant phenotypic plasticity in response to environmental factors. Hidawi Publ. Corp. Adv. Bot. 2014, 2014, 208747. [Google Scholar] [CrossRef] [Green Version]
- Vayda, K.; Donohue, K.; Auge, G.A. Within- and trans-generational plasticity: Seed germination responses to light quantity and quality. AoB Plants 2018, 10, ply023. [Google Scholar] [CrossRef]
- Auge, G.A.; Leverett, L.D.; Edwards, B.R.; Donohue, K. Adjusting phenotypes via within- and across-generational plasticity. New Phytol. 2017, 216, 343–349. [Google Scholar] [CrossRef] [Green Version]
- Suszka, B. Conditions for after-ripening and germination of seeds and for seedling emergence of English yew (Taxus baccata L.). Arbor. Kórnickie 1985, 30, 285–338. [Google Scholar]
- Xia, J.; Psychogios, N.; Young, N.; Wishart, D.S. MetaboAnalyst: A web server for metabolomic data analysis and interpretation. Nucleic Acids Res. 2009, 37, W652–W660. [Google Scholar] [CrossRef] [Green Version]
- Green, P.T.; Juniper, P.A. Seed–seedling allometry in tropical rain forest trees: Seed mass-related patterns of resource allocation and the ‘reserve effect’. J. Ecol. 2004, 92, 397–408. [Google Scholar] [CrossRef]
- Nowak, K.; Giertych, M.J.; Pers-Kamczyc, E.; Thomas, P.A.; Iszkuło, G. Defence is a priority in female juveniles and adults of Taxus baccata L. Forests 2021, 12, 844. [Google Scholar] [CrossRef]
- McGinley, M.A.; Charnov, E.L. Multiple resources and the optimal balance between size and number of offspring. Evol. Ecol. 1988, 2, 77–84. [Google Scholar] [CrossRef]
- Khera, N.; Saxena, A.K.; Singh, R.P. Seed size variability and its influence on germination and seedling growth of five multipurpose tree species. Seed Sci. Technol. 2004, 32, 319–330. [Google Scholar] [CrossRef]
- Murali, K.S. Patterns of seed size, germination and seed viability of tropical tree species in Southern India. Biotropica 1997, 29, 271–279. [Google Scholar] [CrossRef]
- Benard, R.B.; Toft, C.A. Effect of seed size on seedling performance in a long-lived desert perennial shrub (Ericameria nauseosa: Asteraceae). Int. J. Plant Sci. 2015, 168, 1027–1033. [Google Scholar] [CrossRef]
- Gruwez, R.; De Frenne, P.; De Schrijver, A.; Vangansbeke, P.; Verheyen, K. Climate warming and atmospheric deposition affect seed viability of common juniper (Juniperus communis) via their impact on the nutrient status of the plant. Ecol. Res. 2017, 32, 135–144. [Google Scholar] [CrossRef]
- Macera, L.G.; Pereira, S.R.; de Souza, A.L.T. Survival and growth of tree seedlings as a function of seed size in a gallery forest under restoration. Acta Bot. Bras. 2017, 31, 539–545. [Google Scholar] [CrossRef] [Green Version]
- Leishman, M.R.; Wright, I.J.; Moles, A.T.; Westoby, M. The evolutionary ecology of seed size. In Seeds: The Ecology of Regeneration in Plant Communities, 2nd ed.; Fenner, M., Ed.; CAB International: Wallingford, UK, 2000; pp. 31–57. [Google Scholar] [CrossRef] [Green Version]
- Leishman, M.R. Does the seed size/number trade-off model determine plant community structure? An assessment of the model mechanisms and their generality. Oikos 2001, 93, 294–302. [Google Scholar] [CrossRef]
- Mašková, T.; Herben, T. Root:shoot ratio in developing seedlings: How seedlings change their allocation in response to seed mass and ambient nutrient supply. Ecol. Evol. 2018, 8, 7143–7150. [Google Scholar] [CrossRef] [Green Version]
- Niemczyk, M.; Chmura, D.J.; Socha, J.; Wojda, T.; Mroczek, P.; Gil, W.; Thomas, B.R. How geographic and climatic factors affect the adaptation of Douglas-fir provenances to the temperate continental climate zone in Europe. Eur. J. For. Res. 2021, 140, 1341–1361. [Google Scholar] [CrossRef]
- Osuna, D.; Prieto, P.; Aguilar, M. Control of seed germination and plant development by carbon and nitrogen availability. Front. Plant Sci. 2015, 6, 1023. [Google Scholar] [CrossRef]
- De Frenne, P.; Kolb, A.; Graae, B.J.; Decocq, G.; Baltora, S.; De Schrijver, A.; Brunet, J.; Chabrerie, O.; Cousins, S.A.O.; Dhondt, R.; et al. A latitudinal gradient in seed nutrients of the forest herb Anemone nemorosa. Plant Biol. 2011, 13, 493–501. [Google Scholar] [CrossRef]
- Abeli, T.; Brancaleoni, L.; Marchesini, R.; Orsenigo, S.; Rossi, G.; Gerdol, R. Fertiliser application positively affects plants performance but reduces seed viability in seashore mallow (Kosteletzkya pentacarpos): Implication for biomass production and species conservation. Ann. Appl. Biol. 2017, 170, 263–272. [Google Scholar] [CrossRef]
- Gao, S.; Wang, J.; Knops, J.M.H.; Wang, J. Nitrogen addition increases sexual reproduction and improves seedling growth in the perennial rhizomatous grass Leymus chinensis. BMC Plant Biol. 2020, 20, 106. [Google Scholar] [CrossRef]
- He, J.S.; Flynn, D.F.B.; Wolfe-Bellin, K.; Fang, J.; Bazzaz, F.A. CO2 and nitrogen, but not population density, alter the size and C/N ratio of Phytolacca americana seeds. Funct. Ecol. 2005, 19, 437–444. [Google Scholar] [CrossRef]
- De Frenne, P.; Blondeel, H.; Brunet, J.; Carón, M.M.; Chabrerie, O.; Cougnon, M.; Cousins, S.A.O.; Decocq, G.; Diekmann, M.; Graae, B.J.; et al. Atmospheric nitrogen deposition on petals enhances seed quality of the forest herb Anemone nemorosa. Plant Biol. 2018, 20, 619–626. [Google Scholar] [CrossRef]
- Erb, M.; Kliebenstein, D.J. Plant Secondary Metabolites as Defenses, Regulators, and Primary Metabolites: The Blurred Functional Trichotomy1[OPEN]. Plant Physiol. 2020, 184, 39–52. [Google Scholar] [CrossRef] [PubMed]
- Klupczyńska, E.A.; Pawłowski, T.A. Regulation of seed dormancy and germination mechanisms in a changing environment. Int. J. Mol. Sci. 2021, 22, 1357. [Google Scholar] [CrossRef] [PubMed]
- Verheyen, K.; Adriaenssens, S.; Gruwez, R.; Michalczyk, I.M.; Ward, L.K.; Rosseel, Y.; Van den Broeck, A.; García, D. Juniperus communis: Victim of the combined action of climate warming and nitrogen deposition? Plant Biol. 2009, 11, 49–59. [Google Scholar] [CrossRef] [PubMed]
- Zhong, M.; Miao, Y.; Han, S.; Wang, D. Nitrogen addition decreases seed germination in a temperate steppe. Ecol. Evol. 2019, 9, 8441–8449. [Google Scholar] [CrossRef]
Publisher’s Note: MDPI stays neutral with regard to jurisdictional claims in published maps and institutional affiliations. |
© 2022 by the authors. Licensee MDPI, Basel, Switzerland. This article is an open access article distributed under the terms and conditions of the Creative Commons Attribution (CC BY) license (https://creativecommons.org/licenses/by/4.0/).






